Reduction of Membrane Lipid Metabolism in Postharvest Hami Melon Fruits by n-Butanol to Mitigate Chilling Injury and the Cloning of Phospholipase D-β Gene
Abstract
1. Introduction
2. Materials and Methods
2.1. Materials and Reagents
2.2. Instruments and Equipment
2.3. Methods
2.3.1. Sample Handling
2.3.2. Determination of the Chilling Injury Index
2.3.3. Determination of Cell Membrane Permeability
2.3.4. Determination of MDA Content
2.3.5. Determination of the Contents of PI and PA
2.3.6. Determination of the Contents of Fatty Acids
2.3.7. Assay of LOX
- (1)
- Preparation of reaction substrate: The enzyme reaction substrate used in the test was 10 mmol/L sodium linoleate, and the amount of 70 mg sodium linoleate, 70 mLTriton X-100, and 4 mL anaerobic water were mixed (to avoid bubbles). After titration with 0.5 mol/L sodium hydroxide, the solution was clarified, the volume was 25 mL, and the volume was divided into 1.0–1.5 mL and stored at −18 °C until use.
- (2)
- Extraction of crude enzyme solution: 2.0 g of pulp tissue was placed in a mortar, ground with liquid nitrogen, added with 10 mL of 50 mmol/L (pH 7.0) phosphate buffer precooled at 4 °C, centrifuged at 15,000× g (4 °C) for 15 min, and the supernatant was used for LOX activity determination.
- (3)
- Determination of enzyme activity: the reaction system of 3 mL contained 25 μL sodium linoleate mother liquor, 2.775 mL buffer, and 0.2 mL enzyme solution, and the reaction temperature was 30 °C. The LOX activity was measured at 234 nm. The timing began 15 s after adding the enzyme solution, and the OD value change was recorded within 1 min. The enzyme activity was measured as ∆OD234/gFW·min. The procedure was repeated 3 times.
2.3.8. Assay of PLD
2.3.9. RNA Extraction, cDNA Synthesis, and Primer Analysis by Quantitative Fluorescent PCR (Q-PCR)
2.3.10. Gene Cloning
2.3.11. Data Processing and Analysis
3. Results
3.1. Effects of n-Butanol Treatment on Chilling Injury Symptoms and Chilling Injury Index of Hami Melon Fruits during Storage
3.2. Effect of n-Butanol on Cell Membrane Permeability and the MDA Content of Hami Melon
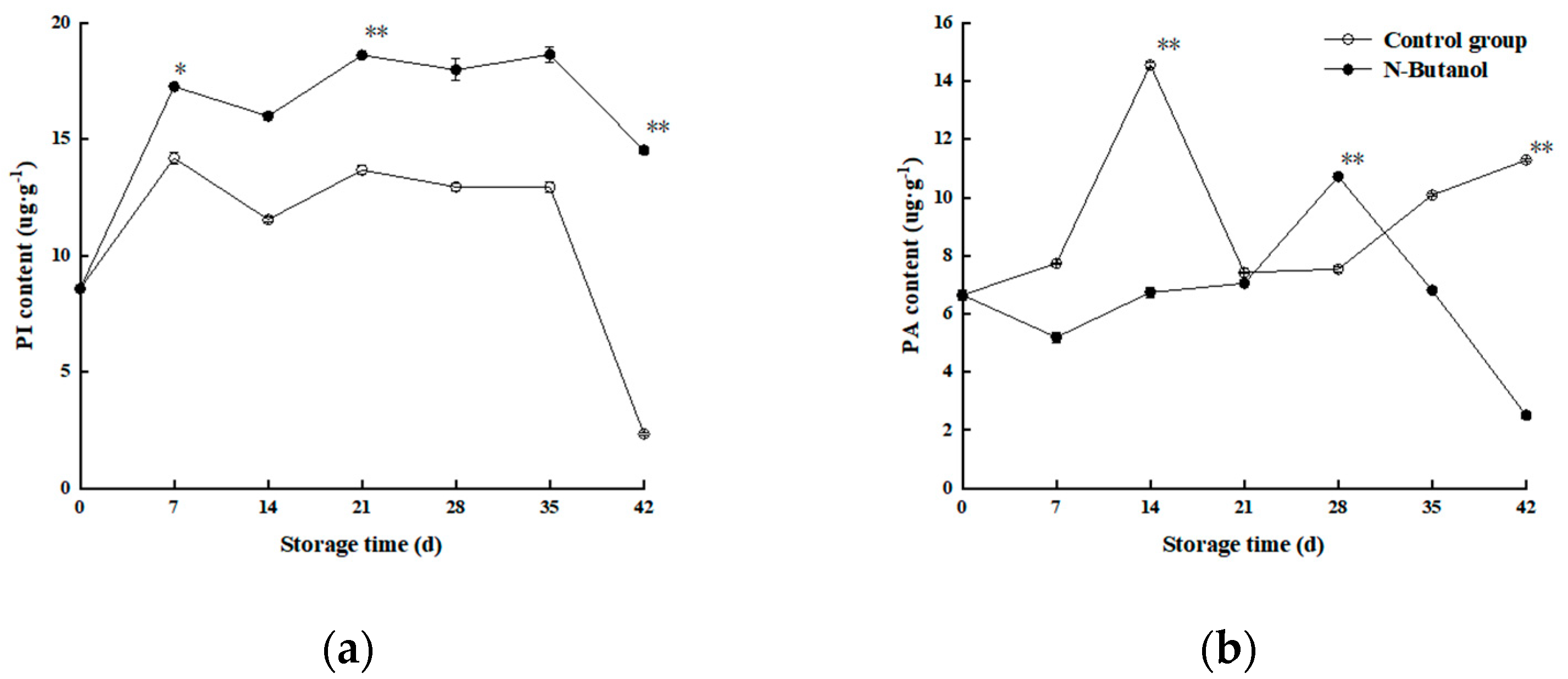
3.3. Effect of n-Butanol on the PI and PA Contents of Hami Melon
3.4. Effect of n-Butanol on Saturated Fatty Acid Content of Hami Melon
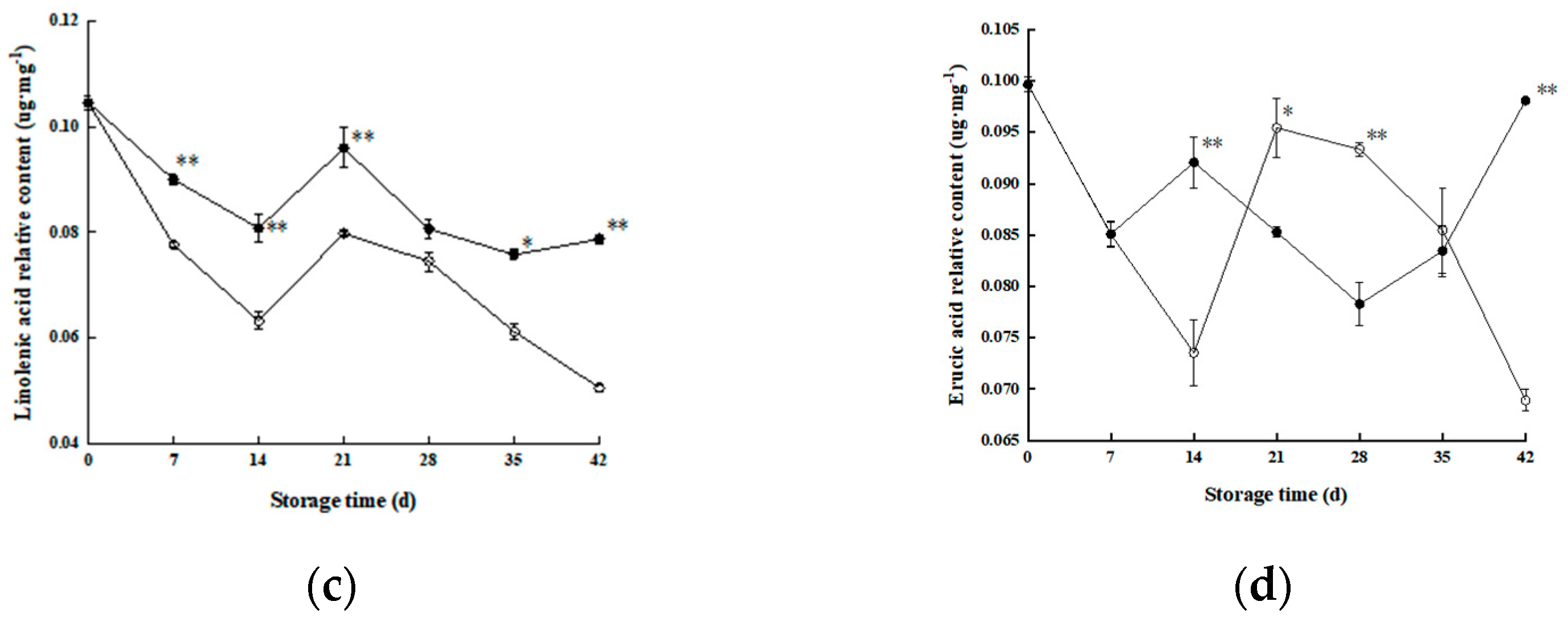
3.5. Effect of n-Butanol on the Unsaturated Fatty Acid Content of Hami Melon
3.6. Effect of n-Butanol on LOX Activity and CmLOX Expression in Hami Melon
3.7. Effect of n-Butanol on PLD Activity and CmPLD-β Expression in Hami Melon
3.8. Sequence Analysis of the Hami Melon PLD-β Gene
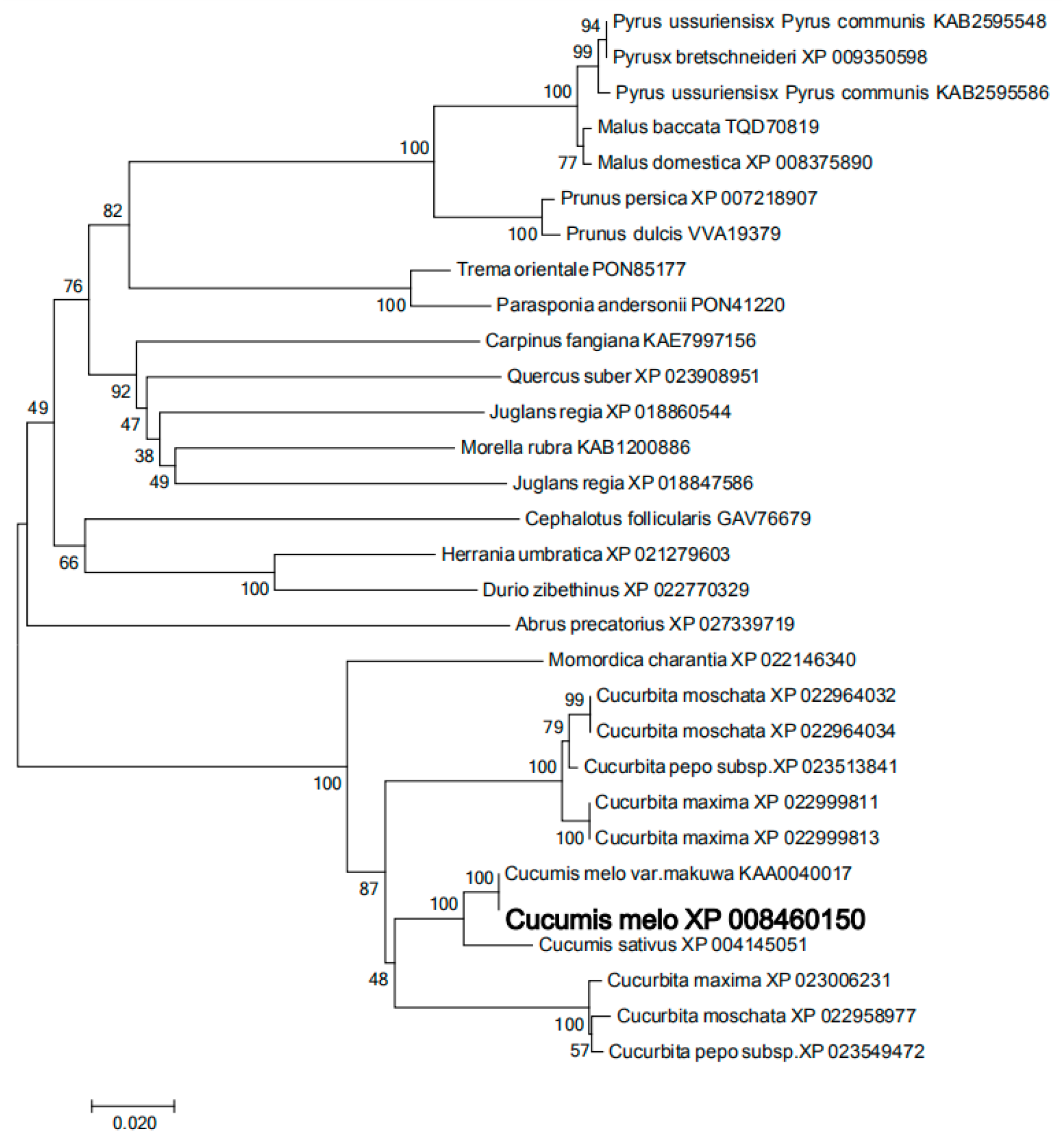
3.8.1. Evolutionary Tree Analysis of the Base Sequence Homology of Hami Melon Rind PLD-β Gene with Multiple Species
3.8.2. Evolutionary Tree Analysis of Nucleic Acid Sequence Homology of PLD-β Gene in Hami Melon Pericarp with Multiple Species
3.8.3. Twofold Comparison of the CmPLD-β Gene and Target Gene in Hami Melon Pericarp
4. Discussion
5. Conclusions
Author Contributions
Funding
Data Availability Statement
Conflicts of Interest
References
- Ning, M.; Tang, F.; Chen, J.; Song, W.; Cai, W.; Zhang, Q.; Zhao, X.; Yang, X.; Shan, C.; Hao, G. Low-temperature adaptation and preservation revealed by changes in physiological-biochemical characteristics and proteome expression patterns in post-harvest Hami melon during cold storage. Planta 2022, 255, 91. [Google Scholar] [CrossRef] [PubMed]
- Shan, Y.; Zhang, D.; Luo, Z.; Li, T.; Qu, H.; Duan, X.; Jiang, Y. Advances in chilling injury of postharvest fruit and vegetable: Extracellular ATP aspects. Compr. Rev. Food Sci. Food Saf. 2022, 21, 4251–4273. [Google Scholar] [CrossRef]
- de Bruxelles, G.L.; Roberts, M.R. Signals Regulating Multiple Responses to Wounding and Herbivores. Crit. Rev. Plant Sci. 2001, 20, 487–521. [Google Scholar] [CrossRef]
- Igbavboa, U.; Hamilton, J.; Kim, H.Y.; Sun, G.Y.; Wood, W.G. Anew role for apolipoprotein E: Modulating transport of polyunsaturated phospholipid molecular species in synaptic plasma membranes. J. Neurochem. 2002, 80, 255–261. [Google Scholar] [CrossRef]
- Abousalham, A.; Nari, J.; Teissère, M.; Ferté, N.; Noat, G.; Verger, R. Study of fatty acid specificity of sunflower phospholipase D using detergent phospholipids micelles. Biochemistry 1997, 248, 374–379. [Google Scholar] [CrossRef] [PubMed]
- Lin, Y.; Lin, L.; Lin, Y.; Lin, M.; Ritenour, M.A.; Lin, H. Comparison between two cultivars of longan fruit cv. ‘Dongbi’ and ‘Fuyan’ in the metabolisms of lipid and energy and its relation to pulp breakdown. Food Chem. 2023, 398, 133885. [Google Scholar] [CrossRef]
- Takeshi, Y.; Masaharu, K.; Hiromoto, Y.; Makoto, H. The Role of Phospholipase D in Plant. Oleoscience 2013, 13, 471–476. [Google Scholar] [CrossRef]
- Xu, D.; Lam, S.M.; Zuo, J.; Yuan, S.; Lv, J.; Shi, J.; Gao, L.; Chen, B.; Sui, Y.; Shui, G.; et al. Lipidomics reveals the difference of membrane lipid catabolism between chilling injury sensitive and non-sensitive green bell pepper in response to chilling. Postharvest Biol. Technol. 2021, 182, 111714. [Google Scholar] [CrossRef]
- Ma, M.; Zhu, Z.; Cheng, S.; Zhou, Q.; Zhou, X.; Kong, X.; Hu, M.; Yin, X.; Wei, B.; Ji, S. Methyl jasmonate alleviates chilling injury by regulating membrane lipid composition in green bell pepper. Sci. Hortic. 2020, 266, 109308. [Google Scholar] [CrossRef]
- Liu, J.; Li, Q.; Chen, J.; Jiang, Y. Revealing Further Insights on Chilling Injury of Postharvest Bananas by Untargeted Lipidomics. Foods 2020, 9, 894. [Google Scholar] [CrossRef]
- Wan, S.; Li, M.; Ma, F.; Yuan, J.; Liu, Z.; Zheng, W.; Zhan, J. Genome-wide identification of phospholipase D (PLD) gene family and their responses to low-temperature stress in peach. AIP Conf. Proc. 2019, 2110, 020011. [Google Scholar]
- Chen, G.; Hou, Y.; Zheng, Y.; Jin, P. 2,4-epibrassinolide enhance chilling tolerance of loquat fruit by regulating cell wall and membrane fatty acid metabolism. Sci. Hortic. 2022, 295, 110813. [Google Scholar] [CrossRef]
- Du, D.; Cheng, T.; Pan, H.; Yang, W.; Wang, J.; Zhang, Q. Genome-wide identification, molecular evolution and expression analyses of the phospholipase D gene family in three Rosaceae species. Sci. Hortic. 2013, 153, 13–21. [Google Scholar] [CrossRef]
- Li, L.; Li, J.; Sun, J.; Yi, P.; Li, C.; Zhou, Z.; Xin, M.; Sheng, J.; Shuai, L.; Li, Z.; et al. Role of Phospholipase D Inhibitor in Regulating Expression of Senescencerelated Phospholipase D gene in Postharvest Longan Fruit. Curr. Bioinform. 2019, 14, 649–657. [Google Scholar] [CrossRef]
- Bernardo, P.; Maria, C. Innovative Preservation Technology for the Fresh Fruit and Vegetables. Foods 2021, 10, 719. [Google Scholar]
- Dhonukshe, P.; Laxalt, A.M.; Goedhart, J.; Gadella, T.W.; Munnik, T. Phospholipase D activation correlates with microtubule reorganization in living plant cells. Plant Cell Online 2003, 15, 2666–2679. [Google Scholar] [CrossRef]
- Sheng, L.; Zhou, X.; Liu, Z.Y.; Wang, J.W.; Zhou, Q.; Wang, L.; Zhang, Q.; Ji, S.J. Changed activities of enzymes crucial to membrane lipid metabolism accompany pericarp browning in ‘Nanguo’ pears during refrigeration and subsequent shelf life at room temperature. Postharvest Biol. Technol. 2016, 117, 1–8. [Google Scholar] [CrossRef]
- Bhushan, B.; Kumar, S.; Mahawar, M.K.; Jalgaonkar, K.; Dukare, A.S.; Bibwe, B.; Meena, V.S.; Negi, N.; Narwal, R.K.; Pal, A. Nullifying phosphatidic acid effect and controlling phospholipase D associated browning in litchi pericarp through combinatorial application of hexanal and inositol. Sci. Rep. 2019, 9, 2402. [Google Scholar] [CrossRef] [PubMed]
- Zhang, T.; Zhang, Q.; Pan, Y.; Che, F.; Wang, Q.; Meng, X.; Rao, J. Changes of polyamines and CBFs expressions of two Hami melon (Cucumis melo L.) cultivars during low temperature storage. Sci. Hortic. 2017, 224, 8–16. [Google Scholar] [CrossRef]
- Yang, B.; Shiping, T.; Hongxia, L.; Jie, Z.; Jiankang, C.; Yongcai, L.; Weiyi, Z. Effect of temperature on chilling injury, decay and quality of Hami melon during storage. Postharvest Biol. Technol. 2003, 29, 229–232. [Google Scholar] [CrossRef]
- Zhang, T.; Che, F.; Pan, Y.; Liu, H.; Rao, J. Relationship between chilling tolerance of Hami melon fruit and cell membrane fatty acid. Hortic. J. 2015, 42, 2421–2428. [Google Scholar]
- Cao, J.; Jiang, M.; Zhao, Y. Postharvest Physiological and Biochemical Experiments of Fruits and Vegetable; China Light Industry Press: Beijing, China, 2007. [Google Scholar]
- Xu, J.; Cao, Q.; Deng, L.; Yao, S.; Wang, W.; Zeng, K. Membrane lipid metabolism in the pathogenesis of low-maturity citrus fruit oil cell disease. Food Sci. 2016, 24, 262–270. [Google Scholar]
- Ge, W.; Kong, X.; Zhao, Y.; Wei, B.; Zhou, Q.; Ji, S. Insights into the metabolism of membrane lipid fatty acids associated with chilling injury in post-harvest bell peppers. Food Chem. 2019, 295, 26–35. [Google Scholar] [CrossRef]
- Malekzadeh, P.; Khosravi-Nejad, F.; Hatamnia, A.A.; Sheikhakbari Mehr, R. Impact of postharvest exogenous γ-aminobutyric acid treatment on cucumber fruit in response to chilling tolerance. Physiol. Mol. Biol. Plants Int. J. Funct. Plant Biol. 2017, 23, 827–836. [Google Scholar] [CrossRef] [PubMed]
- Aghdam, M.S.; Asghari, M.; Khorsandi, O.; Mohayeji, M. Alleviation of postharvest chilling injury of tomato fruit by salicylic acid treatment. J. Food Sci. Technol. 2014, 51, 2815–2820. [Google Scholar] [CrossRef]
- Alba-Jiménez, J.E.; Benito-Bautista, P.; Nava, G.M.; Rivera-Pastrana, D.M.; Vázquez-Barrios, M.E.; Mercado-Silva, E.M. Chilling injury is associated with changes in microsomal membrane lipids in guava fruit (Psidium guajava L.) and the use of controlled atmospheres reduce these effects. Entia Hortic. 2018, 240, 94–101. [Google Scholar] [CrossRef]
- Wang, J.; Mao, L.C.; Li, X.W.; Lv, Z.; Liu, C.H.; Huang, Y.Y.; Li, D.D. Oxalic acid pretreatment reduces chilling injury in Hami melons (Cucumis melo var reticulatus Naud.) by regulating enzymes involved in antioxidative pathways. Entia Hortic. 2018, 241, 201–208. [Google Scholar] [CrossRef]
- Yu, L.; Shi, H. Effect of two mulberry (Morus alba L.) leaf polyphenols on improving the quality of fresh-cut cantaloupe during storage. Food Control 2021, 121, 107624. [Google Scholar] [CrossRef]
- Gong, D.; Bi, Y.; Zhang, X.; Han, Z.; Zong, Y.; Li, Y.; Sionov, E.; Prusky, D. Benzothiadiazole treatment inhibits membrane lipid metabolism and straight-chain volatile compound release in Penicillium expansum-inoculated apple fruit. Postharvest Biol. Technol. 2021, 181, 111671. [Google Scholar] [CrossRef]
- Wang, C.; Gao, Y.; Tao, Y.; Wu, X.; Zhibo, C. Influence of γ-irradiation on the reactive-oxygen metabolism of blueberry fruit during cold storage. Innov. Food Sci. Emerg. Technol. 2017, 41, 397–403. [Google Scholar] [CrossRef]
- Wang, Y.; Ji, S.; Dai, H.; Kong, X.; Hao, J.; Wang, S.; Zhou, X.; Zhao, Y.; Wei, B.; Cheng, S.; et al. Changes in membrane lipid metabolism accompany pitting in blueberry during refrigeration and subsequent storage at room temperature. Front. Plant Sci. 2019, 10, 829. [Google Scholar] [CrossRef] [PubMed]












| Instrument Name | Instrument Model | Instrument Manufacturers |
|---|---|---|
| Nitrogen purge instrument | Thermo | Reacti-thermo (MA, USA) |
| Mass Spectrometer | Q Exactive (MA, USA) | |
| UPLC | Vanquish (MA, USA) | |
| Freeze dryer | Four rings | LGJ-10 (Beijing, China) |
| Enzyme Markers | HBS-1101 | Nanjing Detie Test Equipment Co. (Nanjing, China) |
| Category | Accession Number | Sequence (5′ to 3′) |
|---|---|---|
| CmPLD | CmPLD-F | CAGGCAGAGAATGAGAACAACA |
| CmPLD-R | AGGGGATATGTGGATAATCCGT | |
| CmLOX | CmLOX-F | GCACAACACGCAGCACTAAA |
| CmLOX-R | CTCTGGA TCGTTCTCGTCGG | |
| 18S | 18S-F | GCTGTCACTGTTTTTGGCGT |
| 18S-R | GCACCACCCTTCAAATGAGC |
| Primer Name | Primer Sequences |
|---|---|
| PLD-F | ACCCATACCCTCGTCCAATTCCATCTC |
| PLD-R | TGTCCGTCTGGAACATGGGCATCTTG |
| PLD-F | AGCCATGTAAGCCTGGAGCTGCTCTAAG |
| PLD-R | TGAACTCCATAGGGTTACAAAGGCCACTC |
| PLD-F | TCCATATCACAATCCTTACCCATACCCTC |
| PLD-R | AGATAGTGAGGTTCTCCTGAATTCCAAG |
| PLD-F | ACACACATGCATACATACTGTCGCTC |
| PLD-R | ACTCCATAGGGTTACAAAGGCCACTC |
Disclaimer/Publisher’s Note: The statements, opinions and data contained in all publications are solely those of the individual author(s) and contributor(s) and not of MDPI and/or the editor(s). MDPI and/or the editor(s) disclaim responsibility for any injury to people or property resulting from any ideas, methods, instructions or products referred to in the content. |
© 2023 by the authors. Licensee MDPI, Basel, Switzerland. This article is an open access article distributed under the terms and conditions of the Creative Commons Attribution (CC BY) license (https://creativecommons.org/licenses/by/4.0/).
Share and Cite
Huang, S.; Bi, Y.; Li, H.; Liu, C.; Wang, X.; Wang, X.; Lei, Y.; Zhang, Q.; Wang, J. Reduction of Membrane Lipid Metabolism in Postharvest Hami Melon Fruits by n-Butanol to Mitigate Chilling Injury and the Cloning of Phospholipase D-β Gene. Foods 2023, 12, 1904. https://doi.org/10.3390/foods12091904
Huang S, Bi Y, Li H, Liu C, Wang X, Wang X, Lei Y, Zhang Q, Wang J. Reduction of Membrane Lipid Metabolism in Postharvest Hami Melon Fruits by n-Butanol to Mitigate Chilling Injury and the Cloning of Phospholipase D-β Gene. Foods. 2023; 12(9):1904. https://doi.org/10.3390/foods12091904
Chicago/Turabian StyleHuang, Shuai, Ying Bi, Hui Li, Caihong Liu, Xue Wang, Xinyu Wang, Yaxin Lei, Qi Zhang, and Jing Wang. 2023. "Reduction of Membrane Lipid Metabolism in Postharvest Hami Melon Fruits by n-Butanol to Mitigate Chilling Injury and the Cloning of Phospholipase D-β Gene" Foods 12, no. 9: 1904. https://doi.org/10.3390/foods12091904
APA StyleHuang, S., Bi, Y., Li, H., Liu, C., Wang, X., Wang, X., Lei, Y., Zhang, Q., & Wang, J. (2023). Reduction of Membrane Lipid Metabolism in Postharvest Hami Melon Fruits by n-Butanol to Mitigate Chilling Injury and the Cloning of Phospholipase D-β Gene. Foods, 12(9), 1904. https://doi.org/10.3390/foods12091904

