Exogenous Phytosulfokine α (PSKα) Alleviates Chilling Injury of Kiwifruit by Regulating Ca2+ and Protein Kinase-Mediated Reactive Oxygen Species Metabolism
Abstract
:1. Introduction
2. Materials and Methods
2.1. Chemicals and Reagents
2.2. Fruit Material and Treatments
2.3. Assay of Firmness and Color Changes (L* Values)
2.4. Total Soluble Solids (TSS) and Titratable Acidity (TA)
2.5. Chilling Injury (CI) Incidence and Chilling Injury Index (CII)
2.6. Measurement of Electrical Leakage and Malondialdehyde (MDA) Content
2.7. The Rate of O2− Production and H2O2 Content Assay
2.8. Detection of Calmodulin (CaM) Content
2.9. Ca2+−ATPase and MAPK Activities
2.10. Detection of NOX, SOD, CAT, APX, and GR Activities
2.11. Statistical Analysis
3. Results
3.1. Firmness, Color Change, TSS, and TA Content
3.2. Chilling Injury Incidence, Chilling Injury Index, MDA, and Electrolyte Leakage
3.3. H2O2 Content and Generation Rate of O2−·
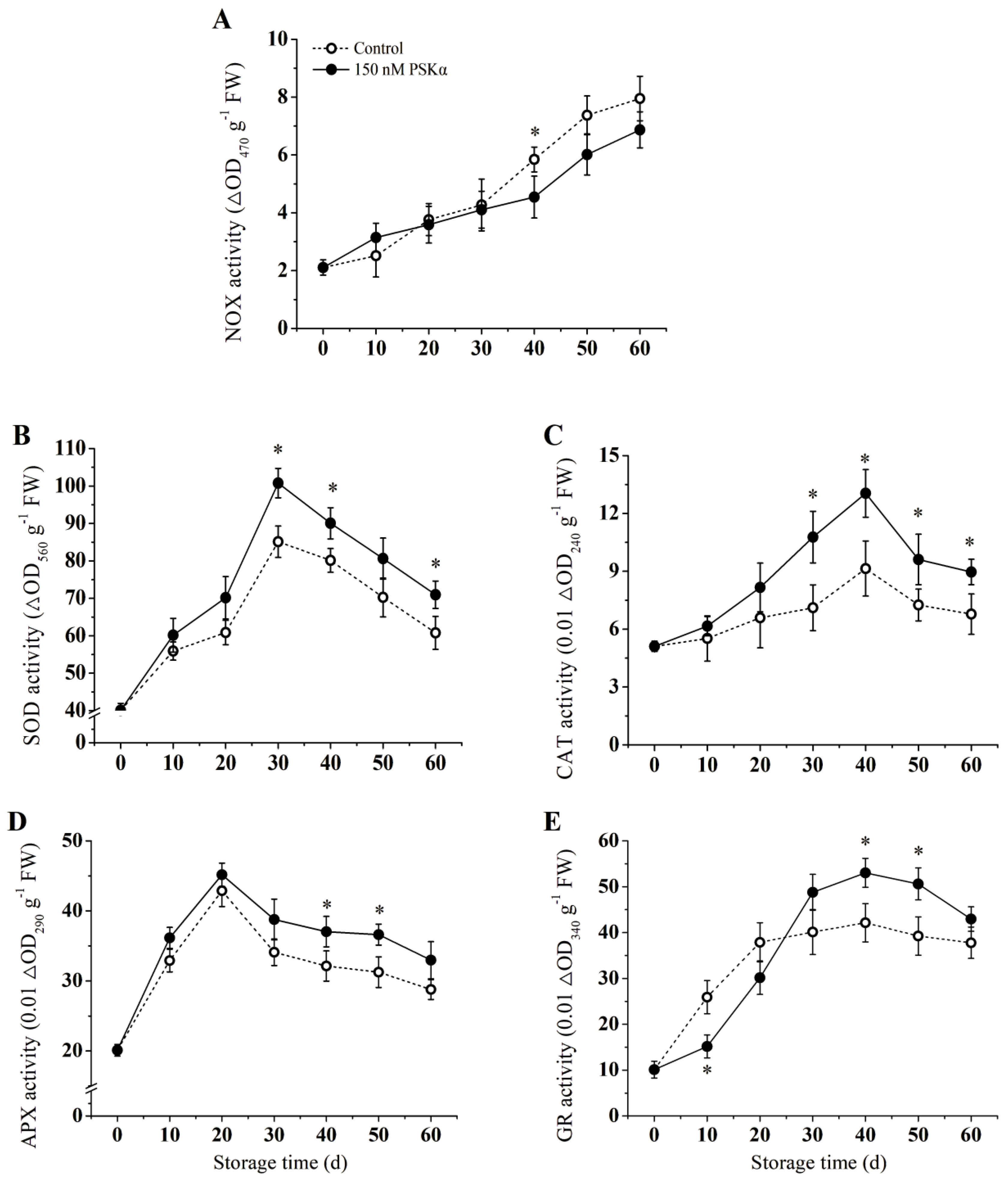
3.4. Activities of NOX, SOD, CAT, APX, and GR
3.5. CaM Content and Activities of Ca2+−ATPase and MAPK
4. Discussion
5. Conclusions
Author Contributions
Funding
Institutional Review Board Statement
Informed Consent Statement
Data Availability Statement
Conflicts of Interest
References
- FAO. Faostat. Available online: https://www.fao.org/faostat/zh/#data/QCL (accessed on 8 October 2023).
- Suo, J.T.; Li, H.; Ban, Q.; Han, Y.; Meng, K.; Jin, M.J.; Zhang, Z.K.; Rao, J.P. Characteristics of chilling injury-induced lignification in kiwifruit with different sensitivities to low temperatures. Postharvest. Biol. Tec. 2018, 135, 8–18. [Google Scholar] [CrossRef]
- Wang, D.; Huang, H.; Jiang, Y.M.; Duan, X.W.; Lin, X.Y.; Aghdam, M.S.; Luo, Z.S. Exogenous phytosulfokine α (PSKα) alleviates chilling injury of banana by modulating metabolisms of nitric oxide, polyamine, proline, and γ-aminobutyric acid. Food Chem. 2022, 380, 132179. [Google Scholar] [CrossRef] [PubMed]
- Aghdam, M.S.; Alikhani-Koupaei, M. Exogenous phytosulfokine α (PSKα) applying delays senescence and relief decay in strawberry fruits during cold storage by sufficient intracellular ATP and NADPH availability. Food Chem. 2021, 336, 127685. [Google Scholar] [CrossRef] [PubMed]
- Song, H.W.; Wang, X.F.; Hu, W.C.; Yang, X.H.; Diao, E.J.; Shen, T.; Qiang, Q. A cold-induced phytosulfokine peptide is related to the improvement of loquat fruit chilling tolerance. Food Chem. 2017, 232, 434–442. [Google Scholar] [CrossRef]
- Mittler, R.; Zandalinas, S.I.; Fichman, Y.; Breusegem, F.V. Reactive oxygen species signalling in plant stress responses. Nat. Rev. Mol. Cell Biol. 2022, 23, 663–679. [Google Scholar] [CrossRef]
- Wang, D.; Li, W.X.; Li, D.; Li, L.; Luo, Z.S. Effect of high carbon dioxide treatment on reactive oxygen species accumulation and antioxidant capacity in fresh-cut pear fruit during storage. Sci. Hortic. 2021, 281, 109925. [Google Scholar] [CrossRef]
- Wang, X.Q.; Yuan, S.Z.; Shi, J.Y.; Zhao, Y.Q.; Lu, H.S.; Jiang, X.; Lv, J.Y.; Xu, X.B.; Zuo, J.H.; Wang, Q. Hydroxypropyl cellulose reduces chilling injury in green bell pepper (Capsisum annuum L.) by regulating the activity and gene expression of enzymes involved in antioxidant and membrane lipid metabolism. Sci. Hortic. 2023, 312, 111884. [Google Scholar] [CrossRef]
- Liu, Y.F.; Liu, Y.; Chen, Q.M.; Yin, F.L.; Song, M.B.; Cai, W.; Shuai, L. Methyl jasmonate treatment alleviates chilling injury and improves antioxidant system of okra pod during cold storage. Food Sci. Nutr. 2023, 11, 2049–2060. [Google Scholar] [CrossRef]
- Jiang, L.; Han, Z.H.; Liu, J.L.; Xiang, Y.; Xu, X.B.; Jiang, Y.M.; Jiang, G.X.; Zhang, Z.K. Intermittent stepwise cooling and warming ameliorate chilling injury and improve quality in postharvest ‘Guifei’ mango fruit. LWT 2023, 181, 114740. [Google Scholar] [CrossRef]
- Shah, H.M.S.; Singh, Z.; Hasan, M.U.; Afrifa-Yamoah, E.; Woodward, A. Preharvest melatonin application alleviates red drupelet reversion, improves antioxidant potential and maintains postharvest quality of ‘Elvira’ blackberry. Postharvest. Biol. Tech. 2023, 203, 112418. [Google Scholar] [CrossRef]
- Aghdam, M.S.; Sayyari, M.; Luo, Z.S. Exogenous application of phytosulfokine α (PSKα) delays yellowing and preserves nutritional quality of broccoli florets during cold storage. Food Chem. 2020, 333, 127481. [Google Scholar] [CrossRef] [PubMed]
- Guo, S.Y.; Zhang, Y.Q.; Li, M.; Zeng, P.; Zhang, Q.; Li, X.; Xu, Q.L.; Li, T.; Wang, X.J.; Kang, Z.S. TaBln1, a member of the Blufensin family, negatively regulates wheat resistance to stripe rust by reducing Ca2+ influx. Plant. Physiol. 2022, 189, 1380–1396. [Google Scholar] [CrossRef] [PubMed]
- Ma, X.H.; Xu, J.Y.; Han, D.; Huang, W.X.; Dang, B.J.; Jia, W.; Xu, Z.C. Combination of β-aminobutyric acid and Ca2+ alleviates chilling stress in tobacco (Nicotiana tabacum L.). Frontiers Plant Sci. 2020, 11, 556. [Google Scholar] [CrossRef] [PubMed]
- Liu, J.; Li, F.J.; Shan, Y.X.; Zhou, Y.J.; Liang, L.; Qu, H.X.; Jiang, Y.M.; Chen, J.X. Determination of H+ and Ca2+ fluxes in cold-stored banana fruit using non-invasive micro-test technology. Postharvest. Biol. Tec. 2019, 153, 169–175. [Google Scholar] [CrossRef]
- Pu, Y.J.; Cisse, E.H.M.; Zhang, L.J. Coupling exogenous melatonin with ca alleviated chilling stress in Dalbergia odorifera T. Chen. Trees 2021, 35, 1541–1554. [Google Scholar] [CrossRef]
- Yang, S.L.; Lan, S.S.; Deng, F.F. Effects of calcium and calmodulin antagonists on chilling stress-induced proline accumulation in Jatropha curcas L. J. Plant Growth Regul. 2016, 35, 815–826. [Google Scholar] [CrossRef]
- Furuya, T.; Matsuoka, D.; Nanmori, T. Membrane rigidification functions upstream of the MEKK1-MKK2-MPK4 cascade during cold acclimation in Arabidopsis thaliana. Febs Lett. 2014, 588, 2025–2030. [Google Scholar] [CrossRef]
- Xu, J.; Zhang, S.Q. Mitogen-activated protein kinase cascades in signaling plant growth and development. Trends Plant Sci. 2015, 20, 56–64. [Google Scholar] [CrossRef]
- Zhao, C.Z.; Wang, P.C.; Si, T.; Hsu, C.C.; Wang, L.; Zayed, O.; Yu, Z.P.; Zhu, Y.F.; Dong, J.; Tao, W.A.; et al. MAP kinase cascades regulate the cold response by modulating ICE1 protein stability. Dev. Cell. 2017, 43, 618–629. [Google Scholar] [CrossRef]
- Pan, J.W.; Zhang, M.Y.; Kong, X.P.; Xing, X.; Liu, Y.K.; Zhou, Y.; Liu, Y.; Sun, L.P.; Li, D.Q. ZmMPK17, a novel maize group D MAP kinase gene, is involved in multiple stress responses. Planta 2012, 235, 661–676. [Google Scholar] [CrossRef]
- Tylewicz, U.; Tappi, S.; Genovese, J.; Mozzon, M.; Rocculi, P. Metabolic response of organic strawberries and kiwifruit subjected to PEF assisted-osmotic dehydration. Innov. Food Sci. Emerg. 2019, 56, 102190. [Google Scholar] [CrossRef]
- Ruangchakpet, A.; Sajjaanantakul, T. Effect of browning on total phenolic, flavonoid content and antioxidant activity in Indian gooseberry (Phyllanthus emblica Linn.). Int. J. Agric. Nat. Reso. 2007, 41, 331–337. [Google Scholar]
- Bradford, M.M. A rapid and sensitive method for the quantitation of microgram quantities of Protein Utilizing the Principle of Protein-Dye Binding. Anal. Biochem. 1976, 72, 248–254. [Google Scholar] [CrossRef]
- Aghdam, M.S.; Sayyari, M.; Luo, Z.S. Exogenous phytosulfokine α application delays senescence and promotes antioxidant nutrient accumulation in strawberry fruit during cold storage by triggering endogenous phytosulfokine α signaling. Postharvest Biol. Tec. 2021, 175, 111473. [Google Scholar]
- Aghdam, M.S.; Luo, Z. Exogenous application of phytosulfokine α (PSKα) delays senescence in broccoli florets during cold storage by ensuring intracellular ATP availability and avoiding intracellular ROS accumulation. Sci. Hortic. 2021, 276, 109745. [Google Scholar] [CrossRef]
- Endo, H.; Miyazaki, K.; Ose, K.; Imahori, Y. Hot water treatment to alleviate chilling injury and enhance ascorbate-glutathione cycle in sweet pepper fruit during postharvest cold storage. Sci. Hortic. 2019, 257, 108715. [Google Scholar] [CrossRef]
- Li, H.Z.; Jiang, X.C.; Lv, X.Z.; Ahammed, G.J.; Guo, Z.X.; Qi, Z.Y.; Yu, J.Q.; Zhou, Y.H. Tomato GLR3.3 and GLR3.5 mediate cold acclimation-induced chilling tolerance by regulating apoplastic H2O2 production and redox homeostasis. Plant Cell Environ. 2019, 42, 3326–3339. [Google Scholar] [CrossRef]
- Li, X.; Bao, Z.Y.; Chen, Y.N.; Lan, Q.Q.; Song, C.B.; Shi, L.Y.; Chen, W.; Cao, S.F.; Yang, Z.F.; Zheng, Q.B. Exogenous glutathione modulates redox homeostasis in okra (Abelmoschus esculentus) during storage. Postharvest Biol. Technol. 2023, 195, 112145. [Google Scholar] [CrossRef]
- Lin, D.; Yan, R.Y.; Xing, M.Y.; Liao, S.Y.; Chen, J.Y.; Gan, Z.Y. Fucoidan treatment alleviates chilling injury in cucumber by regulating ROS homeostasis and energy metabolism. Frontiers Plant Sci. 2023, 13, 1–13. [Google Scholar] [CrossRef]
- Peng, X.; Zhang, Y.A.; Wan, C.P.; Gan, Z.Y.; Chen, C.Y.; Chen, J.J. Antofine triggers the resistance against penicillium italicum in ponkan fruit by driving AsA-GSH cycle and ROS-scavenging system. Front. Microbiol. 2022, 13, 874430. [Google Scholar] [CrossRef]
- Aghdam, M.S.; Moradi, M.; Razavi, F.; Rabiei, V. Exogenous phenylalanine application promotes chilling tolerance in tomato fruits during cold storage by ensuring supply of NADPH for activation of ros scavenging systems. Sci. Hortic. 2019, 246, 818–825. [Google Scholar] [CrossRef]
- Liu, A.R.; Chen, S.C.; Chang, R.; Liu, D.L.; Chen, H.R.; Ahammed, G.J.; Lin, X.M.; He, C.X. Arbuscular mycorrhizae improve low temperature tolerance in cucumber via alterations in H2O2 accumulation and ATPase activity. J. Plant Res. 2014, 127, 775–785. [Google Scholar] [CrossRef] [PubMed]
- Luo, Z.S.; Li, D.D.; Du, R.X.; Mou, W.S. Hydrogen sulfide alleviates chilling injury of banana fruit by enhanced antioxidant system and proline content. Sci. Hortic. 2015, 183, 144–151. [Google Scholar] [CrossRef]
- Ali, S.; Khan, A.S.; Nawaz, A.; Naz, S.; Ejaz, S.; Shah, A.A.; Haider, M.W. The combined application of Arabic gum coating and γ-aminobutyric acid mitigates chilling injury and maintains eating quality of ‘Kinnow’ mandarin fruits. Int. J. Biol. Macromol. 2023, 236, 123966. [Google Scholar] [CrossRef] [PubMed]
- Hou, Y.Y.; Liu, L.L.; Liu, Y.; Zhao, L.Y.; Bao, Y.Q.; Zheng, Y.H.; Jin, P. N-α-Lauroyl-L-arginine ethyl ester hydrochloride combined with hot water treatment alleviates chilling injury of postharvest cucumber fruit. Sci. Hortic. 2023, 315, 111986. [Google Scholar] [CrossRef]
- Sivankalyyani, V.; Sela, N.; Feygenberg, O.; Zemach, H.; Maurer, D.; Alkan, N. Transcriptome Dynamics in Mango Fruit Peel Reveals Mechanisms of Chilling Stress. Front. Plant Sci. 2020, 7, 1579. [Google Scholar] [CrossRef] [PubMed]
- Ali, A.F.; Hatamnia, A.A.; Malekzadeh, P.; Sayyari, M.; Aghdam, M.S. Exogenous dopamine ameliorates chilling injury in banana fruits by enhancing endogenous dopamine and glycine betaine accumulation and promoting ROS scavenging system activity. Postharvest. Biol. Tec. 2023, 205, 112521. [Google Scholar] [CrossRef]
- Pan, Y.G.; Yuan, M.Q.; Zhang, W.M.; Zhang, Z.K. Effect of low temperatures on chilling injury in relation to energy status in papaya fruit during storage. Postharvest Biol. Tec. 2017, 125, 181–187. [Google Scholar] [CrossRef]
- López-López, M.E.; López-Valenzuela, J.Á.; Delgado-Vargas, F.; López-Angulo, G.; Carrillo-López, A.; Ayón-Reyna, L.E.; Vega-García, M.O. A treatment combining hot water with calcium lactate improves the chilling injury tolerance of mango fruit. HortScience 2018, 53, 217–223. [Google Scholar] [CrossRef]
- Elbagoury, M.M.; Turoop, L.; Runo, S.; Sila, D.N. Regulatory influences of methyl jasmonate and calcium chloride on chilling injury of banana fruit during cold storage and ripening. Food Sci. Nutr. 2021, 9, 929–942. [Google Scholar] [CrossRef]
- Wu, Z.F.; Tu, M.M.; Yang, X.P.; Xu, J.H.; Yu, Z.F. Effect of cutting on the reactive oxygen species accumulation and energy change in postharvest melon fruit during storage. Sci. Hortic. 2019, 257, 108752. [Google Scholar] [CrossRef]
- Li, D.; Limwachiranonet, J.; LI, L.; Du, R.X.; Luo, Z.S. Involvement of energy metabolism to chilling tolerance induced by hydrogen sulfide in cold-stored banana fruit. Food Chem. 2016, 208, 272–278. [Google Scholar] [CrossRef] [PubMed]
- Zhang, X.Y.; Ma, M.J.; Ye, B.; Liu, L.; Ji, S.J. Calcium ion improves cold resistance of green peppers (Capsicum annuum L.) by regulating the activity of protective enzymes and membrane lipid composition. Sci. Hortic. 2021, 277, 109789. [Google Scholar] [CrossRef]
- Zhang, X.D.; Xin, L.; Wang, C.; Sun, S.; Lyu, Y.H. Short-term hypobaric treatment enhances chilling tolerance in peaches. J. Food Process. Pres. 2021, 45, e15362. [Google Scholar] [CrossRef]
- Deng, W.; Zhao, X.H. Calcium maintained higher quality and enhanced resistance against chilling stress by regulating enzymes in reactive oxygen and biofilm metabolism of Chinese winter jujube fruit. J. Food Biochem. 2020, 44, 4. [Google Scholar]
- Koushesh, S.M.; Arzani, K.; Barzegar, M. Impact of Postharvest Calcium Treatments on Storage Life, Biochemical Attributes and Chilling Injury of Apricot. J. Agr. Sci. Tech. 2018, 18, 1355–1366. [Google Scholar]
- Hou, Y.Y.; Zhao, L.Y.; Xie, B.; Hu, S.Q.; Zheng, Y.H.; Jin, P. EjCaM7 and EjCAMTA3 synergistically alleviate chilling-induced lignification in loquat fruit by repressing the expression of lignin biosynthesis genes. Postharvest. Biol. Tec. 2022, 192, 112010. [Google Scholar] [CrossRef]
- Teige, M.; Scheikl, E.; Eulgem, T.; Dóczi, R.; Ichimura, K.; Shinozaki, K.; Dangl, J.L.; Hirt, H. The MKK2 pathway mediates cold and salt stress signaling in Arabidopsis. Mol. Cell 2004, 15, 141–152. [Google Scholar] [CrossRef]





Disclaimer/Publisher’s Note: The statements, opinions and data contained in all publications are solely those of the individual author(s) and contributor(s) and not of MDPI and/or the editor(s). MDPI and/or the editor(s) disclaim responsibility for any injury to people or property resulting from any ideas, methods, instructions or products referred to in the content. |
© 2023 by the authors. Licensee MDPI, Basel, Switzerland. This article is an open access article distributed under the terms and conditions of the Creative Commons Attribution (CC BY) license (https://creativecommons.org/licenses/by/4.0/).
Share and Cite
Wang, D.; Ren, X.; Meng, L.; Zheng, R.; Li, D.; Kong, Q. Exogenous Phytosulfokine α (PSKα) Alleviates Chilling Injury of Kiwifruit by Regulating Ca2+ and Protein Kinase-Mediated Reactive Oxygen Species Metabolism. Foods 2023, 12, 4196. https://doi.org/10.3390/foods12234196
Wang D, Ren X, Meng L, Zheng R, Li D, Kong Q. Exogenous Phytosulfokine α (PSKα) Alleviates Chilling Injury of Kiwifruit by Regulating Ca2+ and Protein Kinase-Mediated Reactive Oxygen Species Metabolism. Foods. 2023; 12(23):4196. https://doi.org/10.3390/foods12234196
Chicago/Turabian StyleWang, Di, Xueyan Ren, Lingkui Meng, Renyu Zheng, Dong Li, and Qingjun Kong. 2023. "Exogenous Phytosulfokine α (PSKα) Alleviates Chilling Injury of Kiwifruit by Regulating Ca2+ and Protein Kinase-Mediated Reactive Oxygen Species Metabolism" Foods 12, no. 23: 4196. https://doi.org/10.3390/foods12234196
APA StyleWang, D., Ren, X., Meng, L., Zheng, R., Li, D., & Kong, Q. (2023). Exogenous Phytosulfokine α (PSKα) Alleviates Chilling Injury of Kiwifruit by Regulating Ca2+ and Protein Kinase-Mediated Reactive Oxygen Species Metabolism. Foods, 12(23), 4196. https://doi.org/10.3390/foods12234196

