Effect of Lipase and Phospholipase A1 on Foaming and Batter Properties of Yolk Contaminated Egg White
Abstract
1. Introduction
2. Materials and Methods
2.1. Materials
2.2. Sample Preparation
2.2.1. Preparation of Compound EW Solutions and Enzymolysis of EY
2.2.2. Preparation of Batters
2.2.3. Preparation of Cakes
2.3. Determination of Enzymatic EY
2.3.1. Measurement of Zeta Potential
2.3.2. Particle Size Distribution
2.4. Foamability and Foam Stability
2.5. Properties of Batter
2.5.1. Rheological Properties of Batter
2.5.2. Microstructure Observation
2.5.3. Specific Density of Batters
2.6. Properties of Cakes
2.6.1. Specific Volume of Cakes
2.6.2. Texture Profile Analysis (TPA)
2.7. Statistical Analysis
3. Results
3.1. Zeta Potential
3.2. Particle Size
3.3. Foaming Properties
3.4. Characteristics of Batters
3.4.1. Rheological Properties
3.4.2. Bubble Morphology Analysis
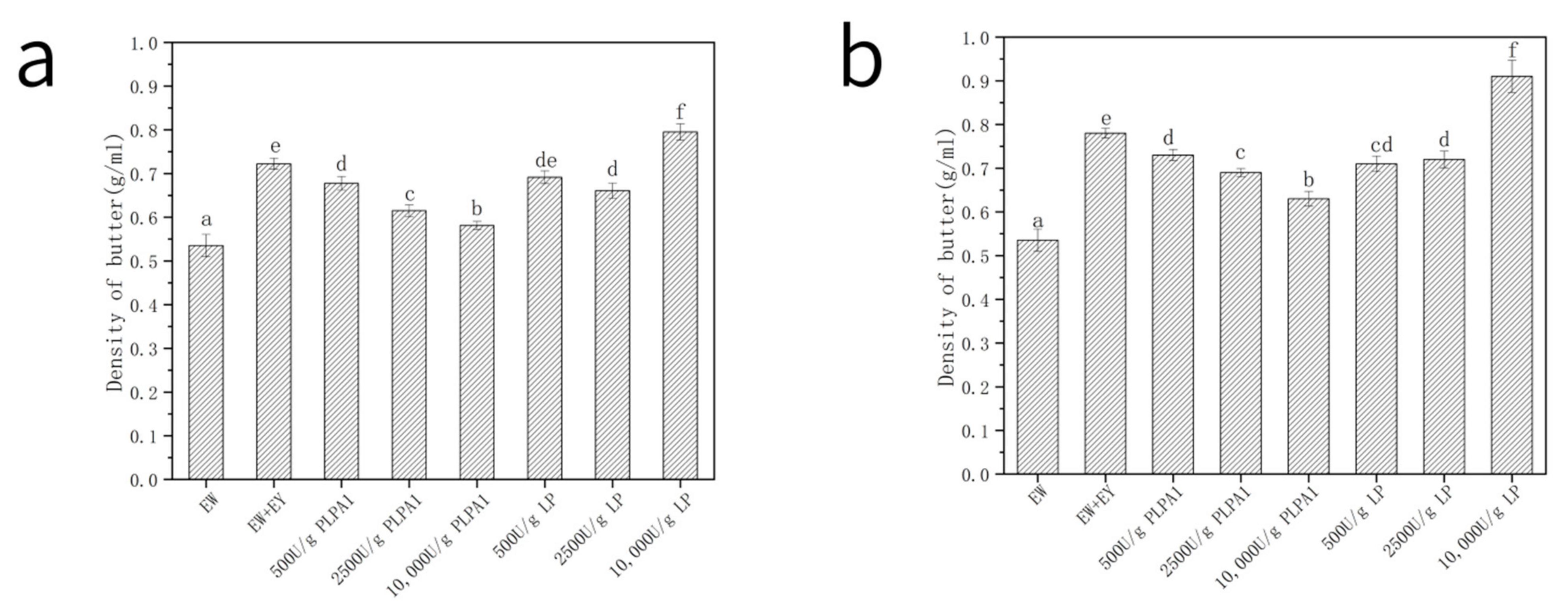
3.4.3. Batter Specific Density
3.5. Characteristics of Cakes
3.5.1. Cake Section and Specific Volume
3.5.2. Textural Properties
3.6. Correlation Analysis
4. Conclusions
Author Contributions
Funding
Data Availability Statement
Acknowledgments
Conflicts of Interest
References
- Wouters, A.G.B.; Rombouts, I.; Fierens, E.; Brijs, K.; Blecker, C.; Delcour, J.A.; Murray, B.S. Foaming and air-water interfacial characteristics of solutions containing both gluten hydrolysate and egg white protein. Food Hydrocoll. 2018, 77, 176–186. [Google Scholar] [CrossRef]
- Patino, J.M.R.; Pilosof, A.M. Protein–polysaccharide interactions at fluid interfaces. Food Hydrocoll. 2011, 25, 1925–1937. [Google Scholar] [CrossRef]
- Sun, J.J.; Chang, C.H.; Su, Y.J.; Gu, L.P.; Yang, Y.J.; Li, J.H. Impact of saccharides on the foam properties of egg white: Correlation between rheological, interfacial properties and foam properties. Food Hydrocoll. 2022, 122, 107088. [Google Scholar] [CrossRef]
- Rafe, A.; Glikman, D.; Rey, N.G.; Haller, N.; Kulozik, U.; Braunschweig, B. Structure-property relations of β-lactoglobulin/κ-carrageenan mixtures in aqueous foam. Colloids Surf. A Physicochem. Eng. Asp. 2022, 640, 128267. [Google Scholar] [CrossRef]
- Duan, X.; Li, J.Y.; Zhang, Q.J.; Zhao, T.; Li, M.; Xu, X.M.; Liu, X.B. Effect of a multiple freeze-thaw process on structural and foaming properties of individual egg white proteins. Food Chem. 2017, 228, 243–248. [Google Scholar] [CrossRef]
- Wang, G.; Wang, T. Effects of Yolk Contamination, Shearing, and Heating on Foaming Properties of Fresh Egg White. J. Food Sci. 2009, 74, C147–C156. [Google Scholar] [CrossRef]
- Huopalahti, R.; López-Fandiño, R.; Anton, M.; Schade, R. Composition and structure of hen egg yolk. In Bioactive Egg Compounds; Springer: Berlin/Heidelberg, Germany, 2007. [Google Scholar] [CrossRef]
- Sirvente, H.; Beaumal, V.; Gaillard, C.; Bialek, L.; Hamm, D.; Anton, M. Structuring and functionalization of dispersions containing egg yolk, plasma and granules induced by mechanical treatments. J. Agric. Food Chem. 2007, 55, 9537–9544. [Google Scholar] [CrossRef]
- Li, X.; Wang, Y.M.; Sun, C.F.; Lv, J.H.; Yang, Y.J. Comparative Study on Foaming Properties of Egg White with Yolk Fractions and Their Hydrolysates. Foods 2021, 10, 2238. [Google Scholar] [CrossRef]
- Jia, J.; Xiong, D.D.; Bai, J.; Yuan, Y.R.; Song, Q.; Lan, T.; Tian, L.J.; Guo, C.F.; Liu, X.B.; Wang, C.X.; et al. Investigation on flavor and physicochemical properties of angel food cakes prepared by lactic acid fermented egg white. LWT-Food Sci. Technol. 2022, 164, 113659. [Google Scholar] [CrossRef]
- Berry, T.K.; Yang, X.; Foegeding, E.A. Foams Prepared from Whey Protein Isolate and Egg White Protein: 2. Changes Associated with Angel Food Cake Functionality. J. Food Sci. 2009, 74, E269–E277. [Google Scholar] [CrossRef]
- Arunepanlop, B.; Morr, C.V.; Karleskind, D.; Laye, I. Partial replacement of egg white proteins with whey proteins in angel food cakes. J. Food Sci. 1996, 61, 1085–1093. [Google Scholar] [CrossRef]
- Li, X.; Wang, Y.M.; Lv, J.H.; Yang, Y.J. Investigations of foaming, interfacial and structural properties of dispersions, batters and cakes formed by industrial yolk-contaminated egg white protein. LWT-Food Sci. Technol. 2022, 154, 112776. [Google Scholar] [CrossRef]
- Yang, G.; De Santi, C.; de Pascale, D.; Pucciarelli, S.; Pucciarelli, S.; Miceli, C. Characterization of the first eukaryotic cold-adapted patatin-like phospholipase from the psychrophilic Euplotes focardii: Identification of putative determinants of thermal-adaptation by comparison with the homologous protein from the mesophilic Euplotes crassus. Biochimie 2013, 95, 1795–1806. [Google Scholar] [CrossRef] [PubMed]
- Guadarrama-Lezama, A.Y.; Carrillo-Navas, H.; Vernon-Carter, E.J.; Alvarez-Ramirez, J. Rheological and thermal properties of dough and textural and microstructural features of bread obtained from nixtamalized corn/wheat flour blends. J. Cereal Sci. 2016, 69, 158–165. [Google Scholar] [CrossRef]
- Chang, C.H.; Xu, Y.L.; Shi, M.C.; Su, Y.J.; Li, X.; Li, J.H.; Yang, Y.J. Effect of dry-heat and guar gum on properties of egg white powder: Analysis of forming capacity and baking performance. Food Hydrocoll. 2020, 99, 105333. [Google Scholar] [CrossRef]
- Li, X.; Li, J.; Chang, C.; Wang, C.; Zhang, M.; Su, Y.; Yang, Y. Foaming characterization of fresh egg white proteins as a function of different proportions of egg yolk fractions. Food Hydrocoll. 2019, 90, 118–125. [Google Scholar] [CrossRef]
- Rafe, A.; Razavi, S.M.; Farhoosh, R. Rheology and microstructure of basil seed gum and β-lactoglobulin mixed gels. Food Hydrocoll. 2013, 30, 134–142. [Google Scholar] [CrossRef]
- Sansano, M.; Heredia, A.; Glicerina, V.; Balestra, F.; Romani, S.; Andres, A. Influence of chitosan on thermal, microstructural and rheological properties of rice and wheat flours-based batters. LWT-Food Sci. Technol. 2018, 87, 529–536. [Google Scholar] [CrossRef]
- Segnini, S.; Pedreschi, F.; Dejmek, P. Volume measurement method of potato chips. Int. J. Food Prop. 2004, 7, 37–44. [Google Scholar] [CrossRef]
- Reza Mousavi, S.M.; Ali, R.; Samira, Y. Textural, mechanical, and microstructural properties of restructured pimiento alginate-guar gels. J. Texture Stud. 2019, 50, 155–164. [Google Scholar] [CrossRef]
- Tang, S.T.; Zhou, X.; Gouda, M.; Cai, Z.X.; Jin, Y.G. Effect of enzymatic hydrolysis on the solubility of egg yolk powder from the changes in structure and functional properties. LWT-Food Sci. Technol. 2019, 110, 214–222. [Google Scholar] [CrossRef]
- Strixner, T.; Sterr, J.; Kulozik, U.; Gebhardt, R. Structural Study on Hen-egg Yolk High Density Lipoprotein (HDL) Granules. Food Biophys. 2014, 9, 314–321. [Google Scholar] [CrossRef]
- Dickinson, E. Food emulsions and foams: Stabilization by particles. Curr. Opin. Colloid Interface Sci. 2010, 15, 40–49. [Google Scholar] [CrossRef]
- Wilde, P.J. Interfaces: Their role in foam and emulsion behaviour. Curr. Opin. Colloid Interface Sci. 2001, 5, 176–181. [Google Scholar] [CrossRef]
- Dauphas, S.; Beaumal, V.; Riaublanc, A.; Anton, M. Hen egg yolk low-density lipoproteins film spreading at the air-water and oil-water interfaces. J. Agric. Food Chem. 2006, 54, 3733–3737. [Google Scholar] [CrossRef]
- Kamat, V.B.; Lawrence, G.A.; Hart, C.J.; Yoell, R. Contribution of egg yolk lipoproteins to cake structure. J. Sci. Food Agric. 1973, 24, 77–88. [Google Scholar] [CrossRef]
- JIN, Y.G.; Huang, D.; Ding, T.; MA, M.H.; OH, D.H. Effect of phospholipase A1 on the physicochemical and functional properties of hen’s egg yolk, plasma and granules. J. Food Biochem. 2013, 37, 70–79. [Google Scholar] [CrossRef]
- Murray, B.S. Stabilization of bubbles and foams. Curr. Opin. Colloid Interface Sci. 2007, 12, 232–241. [Google Scholar] [CrossRef]
- Wilderjans, E.; Luyts, A.; Brijs, K.; Delcour, J.A. Ingredient functionality in batter type cake making. Trends Food Sci. Technol. 2013, 30, 6–15. [Google Scholar] [CrossRef]
- McDonough, F.; Hargrove, R.; Mattingly, W.; Posati, L.; Alford, J. Composition and properties of whey protein concentrates from ultrafiltration. J. Dairy Sci. 1974, 57, 1438–1443. [Google Scholar] [CrossRef]
- Rafe, A.; Razavi, S.M. The effect of p H and calcium ion on rheological behaviour of β-lactoglobulin-basil seed gum mixed gels. Int. J. Food Sci. Technol. 2013, 48, 1924–1931. [Google Scholar] [CrossRef]
- Hicsasmaz, Z.; Yazgan, Y.; Bozoglu, F.; Katnas, Z. Effect of polydextrose-substitution on the cell structure of the high-ratio cake system. Lebensm. -Wiss. Und-Technol. -Food Sci. Technol. 2003, 36, 441–450. [Google Scholar] [CrossRef]
- Brooker, B.E. The stabilisation of air in foods containing fat—A review. Food Struct. 1993, 12, 115–122. [Google Scholar]
- Conforti, F.D. Cake manufacture. Bak. Prod. Sci. Technol. 2014, 563–584. [Google Scholar]
- Bell, A.V.; Berger, K.G.; Russo, J.V.; White, G.W.; Weathers, T.L. A study of the micro-baking of sponges and cakes using cine and television microscopy. J. Food Technol. 1975, 10, 147–156. [Google Scholar] [CrossRef]
- Pateras, I.M.C.; Howells, K.F.; Rosenthal, A.J. Hot-stage microscopy of cake batter bubbles during simulated baking: Sucrose replacement by polydextrose. J. Food Sci. 1994, 59, 168–170. [Google Scholar] [CrossRef]
- Wilderjans, E.; Luyts, A.; Goesaert, H.; Brijs, K.; Delcour, J.A. A model approach to starch and protein functionality in a pound cake system. Food Chem. 2010, 120, 44–51. [Google Scholar] [CrossRef]
- Alvarez-Ramirez, J.; Vernon-Carter, E.J.; Carrera-Tarela, Y.; Garcia, A.; Roldan-Cruz, C. Effects of candelilla wax/canola oil oleogel on the rheology, texture, thermal properties and in vitro starch digestibility of wheat sponge cake bread. LWT-Food Sci. Technol. 2020, 130, 109701. [Google Scholar] [CrossRef]
- Lee, P.; Oh, H.; Kim, S.Y.; Kim, Y.S. Effects of d-allulose as a sucrose substitute on the physicochemical, textural, and sensorial properties of pound cakes. J. Food Process. Preserv. 2020, 44, e14472. [Google Scholar] [CrossRef]
- Bravo-Nunez, A.; Sahagun, M.; Bravo-Nunez, A.; Gomez, M. Optimisation of protein-enriched gluten-free layer cakes using a mixture design. Int. J. Food Sci. Technol. 2020, 55, 2171–2178. [Google Scholar] [CrossRef]
- Singh, A.; Benjakul, S.; Karnjanapratum, S. Use of ultrasonicated squid ovary powder as a replacer of egg white powder in cake. J. Food Sci. Technol. -Mysore 2019, 56, 2083–2092. [Google Scholar] [CrossRef]
- Uysal, R.S.; Sumnu, G.; Boyaci, I.H. Effects of heat-treated liquid whole egg on cake batter rheology and the quality of baked cake. J. Food Process Eng. 2019, 42, e12977. [Google Scholar] [CrossRef]
- Deleu, L.J.; Wilderjans, E.; Van Haesendonck, I.; Courtin, C.M.; Brijs, K.; Delcour, J.A. Storage induced conversion of ovalbumin into S-ovalbumin in eggs impacts the properties of pound cake and its batter. Food Hydrocoll. 2015, 49, 208–215. [Google Scholar] [CrossRef]
- Singh, A.; Geveke, D.J.; Jones, D.R.; Tilman, E.D. Can acceptable quality angel food cakes be made using pasteurized shell eggs? The effects of mixing factors on functional properties of angel food cakes. Food Sci. Nutr. 2019, 7, 987–996. [Google Scholar] [CrossRef]
- Song, H.P.; Kim, B.; Choe, J.H.; Jung, S.; Kim, K.S.; Kim, D.H.; Jo, C. Improvement of foaming ability of egg white product by irradiation and its application. Radiat. Phys. Chem. 2009, 78, 217–221. [Google Scholar] [CrossRef]
- Heenan, S.P.; Dufour, J.P.; Hamid, N.; Harvey, W.; Delahunty, C.M. The sensory quality of fresh bread: Descriptive attributes and consumer perceptions. Food Res. Int. 2008, 41, 989–997. [Google Scholar] [CrossRef]







| Sample Type | EY (g) | LP (mL) | PLPA1 (mL) | PBS (mL) |
|---|---|---|---|---|
| EY | 5 | 0 | 0 | 5 |
| 500 U/g PLPA1 | 5 | 0 | 0.25 | 4.75 |
| 2500 U/g PLPA1 | 5 | 0 | 1.25 | 3.75 |
| 10,000 U/g PLPA1 | 5 | 0 | 5 | 0 |
| 500 U/g LP | 5 | 0.25 | 0 | 4.75 |
| 2500 U/g LP | 5 | 1.25 | 0 | 3.75 |
| 10,000 U/g LP | 5 | 5 | 0 | 0 |
| Sample Type | EW (g) | EY (g) | LP (mL) | PLPA1 (mL) | PBS (mL) | |
|---|---|---|---|---|---|---|
| EW | 98 | 0 | 0 | 0 | 2 | |
| 0.5% EY contaminated | EW + EY | 98 | 0.5 | 0 | 0 | 1.5 |
| 500 U/g PLPA1 | 98 | 0.5 | 0 | 0.025 | 1.475 | |
| 2500 U/g PLPA1 | 98 | 0.5 | 0 | 0.125 | 1.375 | |
| 10,000 U/g PLPA1 | 98 | 0.5 | 0 | 0.5 | 1 | |
| 500 U/g LP | 98 | 0.5 | 0.025 | 0 | 1.475 | |
| 2500 U/g LP | 98 | 0.5 | 0.125 | 0 | 1.375 | |
| 10,000 U/g LP | 98 | 0.5 | 0.5 | 0 | 1 | |
| 1.0% EY contaminated | EW + EY | 98 | 1 | 0 | 0 | 1 |
| 500 U/g PLPA1 | 98 | 1 | 0 | 0.05 | 1.05 | |
| 2500 U/g PLPA1 | 98 | 1 | 0 | 0.25 | 0.75 | |
| 10,000 U/g PLPA1 | 98 | 1 | 0 | 1 | 0 | |
| 500 U/g LP | 98 | 1 | 0.05 | 0 | 0.95 | |
| 2500 U/g LP | 98 | 1 | 0.25 | 0 | 0.75 | |
| Sample Type | Hardness/N | Adhesiveness/Nmm | Cohesiveness | Springiness | Chewiness/mj | |
|---|---|---|---|---|---|---|
| 0.5% EY contaminated | EW | 10.72 ± 1.73 f | 1.78 ± 0.11 c | 0.83 ± 0.00461 a | 0.91 ± 0.0077 ab | 79.52 ± 12.60 g |
| EY | 40.15 ± 4.21 b | 5.82 ± 0.13 b | 0.77 ± 0.013 b | 0.86 ± 0.0027 c | 259.27 ± 28.49 b | |
| 500 U/g LP | 26.54 ± 7.47 cd | 2.88 ± 0.17 c | 0.86 ± 0.0026 a | 0.92 ± 0.011 ab | 211.15 ± 6.52 cd | |
| 2500 U/g LP | 15.97 ± 1.96 ef | 3.11 ± 0.17 c | 0.84 ± 0.018 a | 0.89 ± 0.029 b | 117.85 ± 14.15 fg | |
| 10,000 U/g LP | 79.51 ± 8.01 a | 9.86 ± 3.04 a | 0.75 ± 0.044 b | 0.80 ± 0.0025 d | 466.51 ± 20.42 a | |
| 500 U/g PLPA1 | 31.66 ± 26.37 c | 1.71 ± 0.011 c | 0.86 ± 0.0046 a | 0.92 ± 0.0059 a | 246.10 ± 23.69 bc | |
| 2500 U/g PLPA1 | 23.23 ± 1.98 de | 2.02 ± 0.198 c | 0.85 ± 0.0061 a | 0.91 ± 0.0004 ab | 174.61 ± 41.83 de | |
| 10,000 U/g PLPA1 | 19.41 ± 0.065 de | 1.86 ± 0.08 c | 0.83 ± 0.61 a | 0.91 ± 0.00026 ab | 143.65 ± 116.15 ef | |
| 1.0% EY contaminated | EW | 10.72 ± 1.73 f | 1.77 ± 0.11 f | 0.83 ± 0.0030 a | 0.91 ± 0.00042 a | 79.43 ± 12.72 e |
| EY | 67.72 ± 9.41 b | 8.30 ± 5.93 b | 0.77 ± 0.0093 b | 0.81 ± 0.033 b | 416.23 ± 77.97 b | |
| 500 U/g LP | 53.70 ± 8.19 c | 5.81 ± 0.38 c | 0.83 ± 0.018 a | 0.90 ± 0.0043 a | 395.28 ± 60.21 bc | |
| 2500 U/g LP | 38.39 ± 5.84 de | 5.36 ± 0.57 cd | 0.84 ± 0.014 a | 0.91 ± 0.39 a | 294.99 ± 53.54 cd | |
| 10,000 U/g LP | 202.91 ± 8.58 a | 10.46 ± 1.74 a | 0.73 ± 0.012 c | 0.74 ± 0.05 c | 1063.88 ± 89.32 a | |
| 500 U/g PLPA1 | 50.39 ± 6.43 cd | 4.92 ± 0.30 cd | 0.77 ± 0.013 b | 0.81 ± 0.000056 b | 305.58 ± 6.95 bc | |
| 2500 U/g PLPA1 | 38.39 ± 1.25 de | 4.29 ± 0.54 d | 0.83 ± 0.0081 a | 0.80 ± 0.0041 b | 231.31 ± 0.46 d | |
| 10,000 U/g PLPA1 | 35.24 ± 4.06 e | 2.19 ± 0.48 e | 0.83 ± 0.0048 a | 0.91 ± 0.00050 a | 261.46 ± 30.80 d | |
| Foam Capacity (mL/g) | Drainage Rate (%) | Batter Specific Density (g/mL) | Angel Cake‘s Volume (mL) | Angel Cake‘s Hardness (N) | |
|---|---|---|---|---|---|
| Foam capacity (mL/g) | 1 | ||||
| Drainage rate(%) | −0.841 ** | 1 | |||
| Batter specific density(g/mL) | −0.925 ** | 0.821 ** | 1 | ||
| Angel cake‘s volume(mL) | 0.87 ** | −0.874 ** | −0.85 ** | 1 | |
| Angel cake‘s hardness(N) | −0.562 ** | 0.636 ** | 0.72 ** | −0.72 ** | 1 |
Disclaimer/Publisher’s Note: The statements, opinions and data contained in all publications are solely those of the individual author(s) and contributor(s) and not of MDPI and/or the editor(s). MDPI and/or the editor(s) disclaim responsibility for any injury to people or property resulting from any ideas, methods, instructions or products referred to in the content. |
© 2023 by the authors. Licensee MDPI, Basel, Switzerland. This article is an open access article distributed under the terms and conditions of the Creative Commons Attribution (CC BY) license (https://creativecommons.org/licenses/by/4.0/).
Share and Cite
Liu, X.-Y.; Chen, W.; Wang, C.-T. Effect of Lipase and Phospholipase A1 on Foaming and Batter Properties of Yolk Contaminated Egg White. Foods 2023, 12, 1289. https://doi.org/10.3390/foods12061289
Liu X-Y, Chen W, Wang C-T. Effect of Lipase and Phospholipase A1 on Foaming and Batter Properties of Yolk Contaminated Egg White. Foods. 2023; 12(6):1289. https://doi.org/10.3390/foods12061289
Chicago/Turabian StyleLiu, Xiao-Yan, Wei Chen, and Cheng-Tao Wang. 2023. "Effect of Lipase and Phospholipase A1 on Foaming and Batter Properties of Yolk Contaminated Egg White" Foods 12, no. 6: 1289. https://doi.org/10.3390/foods12061289
APA StyleLiu, X.-Y., Chen, W., & Wang, C.-T. (2023). Effect of Lipase and Phospholipase A1 on Foaming and Batter Properties of Yolk Contaminated Egg White. Foods, 12(6), 1289. https://doi.org/10.3390/foods12061289

