Assessing Future Climate Change Impacts on Potato Yields — A Case Study for Prince Edward Island, Canada
Abstract
1. Introduction
- To collect potato management, soil, weather, and future climate scenario data;
- To calibrate and validate the DSSAT model for a better performance;
- To assess the impacts of climate change on potato yields in PEI.
2. Data and Methods
2.1. Study Area
2.2. Data Collection
2.2.1. Weather Data
2.2.2. Soil Data
2.2.3. Crop Management and Experimental Data
2.2.4. Future Climate Scenarios
2.3. DSSAT Potato Model
2.4. Model Calibration and Validation
2.5. Measuring Climate Change Impacts on Potato Yields
3. Results
3.1. Model Calibration and Validation
3.2. Impacts of Future Climate Change on Potato Yields
4. Discussions
5. Conclusions
Supplementary Materials
Author Contributions
Funding
Institutional Review Board Statement
Informed Consent Statement
Data Availability Statement
Acknowledgments
Conflicts of Interest
References
- Celis-Gamboa, B.C. The Life Cycle of the Potato (Solanum tuberosum L.): From Crop Physiology to Genetics; Wageningen University & Research: Wageningen, The Netherlands, 2002; Available online: https://library.wur.nl/WebQuery/wurpubs/122845 (accessed on 21 October 2022).
- Zaheer, K.; Akhtar, M.H. Recent Advances in Potato Production, Usage, Nutrition—A Review. Crit. Rev. Food Sci. Nutr. 2014, 56, 711–721. [Google Scholar] [CrossRef] [PubMed]
- Kumar, Y.; Singh, R.; Kumar, A. Performance of SUBSTOR Model on Growth and Yield of Potato Varieties under Different Planting Dates in a Sub-Tropical Environment. J. Agrometeorol. 2021, 23, 213–2020. [Google Scholar] [CrossRef]
- FAOSTAT Potato Production. Available online: https://www.fao.org/faostat/en/#data/QCL (accessed on 22 February 2023).
- Jennings, S.A.; Koehler, A.K.; Nicklin, K.J.; Deva, C.; Sait, S.M.; Challinor, A.J. Global Potato Yields Increase Under Climate Change with Adaptation and CO2 Fertilisation. Front. Sustain. Food Syst. 2020, 4, 519324. [Google Scholar] [CrossRef]
- Ahmadu, T.; Abdullahi, A.; Ahmad, K.; Ahmadu, T.; Abdullahi, A.; Ahmad, K. The Role of Crop Protection in Sustainable Potato (Solanum Tuberosum L.) Production to Alleviate Global Starvation Problem: An Overview. In Solanum Tuberosum—A Promising Crop for Starvation Problem; Yildiz, M., Ozgen, Y., Eds.; IntechOpen Limited: London, UK, 2021; pp. 1–33. [Google Scholar] [CrossRef]
- Devaux, A.; Kromann, P.; Ortiz, O. Potatoes for Sustainable Global Food Security. Potato Res. 2014, 57, 185–199. [Google Scholar] [CrossRef]
- FAOSTAT Canada Potato Production. Available online: https://www.fao.org/faostat/en/#compare (accessed on 24 February 2023).
- Statistics Canada. Table 32-10-0358-01 Area, Production and Farm Value of Potatoes. Available online: https://www150.statcan.gc.ca/t1/tbl1/en/tv.action?pid=3210035801&pickMembers%5B0%5D=1.3&cubeTimeFrame.startYear=2005&cubeTimeFrame.endYear=2022&referencePeriods=20050101%2C20220101 (accessed on 24 January 2023).
- Statistics Canada. Table 17-10-0009-01 Population Estimates, Quarterly. Available online: https://www150.statcan.gc.ca/t1/tbl1/en/tv.action?pid=1710000901 (accessed on 22 January 2023).
- Statistics Canada. Canadian Potato Production. Available online: https://www150.statcan.gc.ca/n1/daily-quotidien/221207/dq221207d-eng.htm (accessed on 8 January 2023).
- Danielescu, S.; MacQuarrie, K.T.B.; Zebarth, B.; Nyiraneza, J.; Grimmett, M.; Levesque, M. Crop Water Deficit and Supplemental Irrigation Requirements for Potato Production in a Temperate Humid Region (Prince Edward Island, Canada). Water 2022, 14, 2748. [Google Scholar] [CrossRef]
- Maqsood, J.; Farooque, A.A.; Wang, X.; Abbas, F.; Acharya, B.; Afzaal, H. Contribution of Climate Extremes to Variation in Potato Tuber Yield in Prince Edward Island. Sustainability 2020, 12, 4937. [Google Scholar] [CrossRef]
- PEI Potato Board Potatoes from Prince Edward Island. Available online: https://www.peipotato.org/pei-potato-industry/about-us (accessed on 28 February 2022).
- Beals, K.A. Potatoes, Nutrition and Health. Am. J. Potato Res. 2019, 96, 102–110. [Google Scholar] [CrossRef]
- Górska-Warsewicz, H.; Rejman, K.; Kaczorowska, J.; Laskowski, W. Vegetables, Potatoes and Their Products as Sources of Energy and Nutrients to the Average Diet in Poland. Int. J. Environ. Res. Public Health 2021, 18, 3217. [Google Scholar] [CrossRef] [PubMed]
- Navarre, D.A.; Goyer, A.; Shakya, R. Nutritional Value of Potatoes: Vitamin, Phytonutrient, and Mineral Content. In Advances in Potato Chemistry and Technology; Academic Press: Cambridge, MA, USA, 2009; pp. 395–424. [Google Scholar] [CrossRef]
- Devaux, A.; Goffart, J.P.; Petsakos, A.; Kromann, P.; Gatto, M.; Okello, J.; Suarez, V.; Hareau, G. Global Food Security, Contributions from Sustainable Potato Agri-Food Systems. In Potato Crop: Its Agricultural, Nutritional and Social Contribution to Humankind; Springer: Berlin/Heidelberg, Germany, 2019; pp. 3–35. [Google Scholar] [CrossRef]
- Agriculture and Agri-Food Canada. Potato Market Information Review 2020–2021. Available online: https://agriculture.canada.ca/sites/default/files/documents/2022-02/potato_market_review_revue_marche_pomme_terre_2020-eng.pdf (accessed on 29 October 2022).
- Quiroz, R.; Ramírez, D.A.; Kroschel, J.; Andrade-Piedra, J.; Barreda, C.; Condori, B.; Mares, V.; Monneveux, P.; Perez, W. Impact of Climate Change on the Potato Crop and Biodiversity in Its Center of Origin. Open Agric. 2018, 3, 273–283. [Google Scholar] [CrossRef]
- Dreyer, H. Towards Sustainable Potato Production: Partnering to Support Family Farmers in Africa. Potato Res. 2018, 60, 237–238. [Google Scholar] [CrossRef]
- United Nations THE 17 GOALS | Sustainable Development Goals. Available online: https://sdgs.un.org/goals (accessed on 20 June 2022).
- Raymundo, R.; Asseng, S.; Cammarano, D.; Quiroz, R. Potato, Sweet Potato, and Yam Models for Climate Change: A Review. Field Crops Res. 2014, 166, 173–185. [Google Scholar] [CrossRef]
- Aien, A.; Chaturvedi, A.K.; Bahuguna, R.N.; Pal, M. Phenological Sensitivity to High Temperature Stress Determines Dry Matter Partitioning and Yield in Potato. Indian J. Plant Physiol. 2017, 22, 63–69. [Google Scholar] [CrossRef]
- Fleisher, D.H.; Timlin, D.J.; Reddy, V.R. Temperature Influence on Potato Leaf and Branch Distribution and on Canopy Photosynthetic Rate. Agron. J. 2006, 98, 1442–1452. [Google Scholar] [CrossRef]
- Handayani, T.; Gilani, S.A.; Watanabe, K.N. Climatic Changes and Potatoes: How Can We Cope with the Abiotic Stresses? Breed Sci. 2019, 69, 545. [Google Scholar] [CrossRef]
- Hijmans, R.J. The Effect of Climate Change on Global Potato Production. Am. J. Potato Res. 2003, 80, 271–280. [Google Scholar] [CrossRef]
- Timlin, D.; Rahman, S.M.L.; Baker, J.; Reddy, V.R.; Fleisher, D.; Quebedeaux, B. Whole Plant Photosynthesis, Development, and Carbon Partitioning in Potato as a Function of Temperature. Agron. J. 2006, 98, 1195–1203. [Google Scholar] [CrossRef]
- Condori, B.; Hijmans, R.J.; Ledent, J.F.; Quiroz, R. Managing Potato Biodiversity to Cope with Frost Risk in the High Andes: A Modeling Perspective. PLoS ONE 2014, 9, e81510. [Google Scholar] [CrossRef] [PubMed]
- Hijmans, R.; Condori, B. Estimating the Potential Impact of Frost-Resistant Potato Cultivars in the Altiplano (Peru and Bolivia). In Proceedings of the Third International Symposium on Systems Approaches for Agricultural Development, Lima, Peru, 8–10 November 1999; Agricultural geography 2001. Available online: https://www.researchgate.net/publication/228936663 (accessed on 9 November 2022).
- Naz, S.; Ahmad, S.; Abbas, G.; Fatima, Z.; Hussain, S.; Ahmed, M.; Khan, M.A.; Khan, A.; Fahad, S.; Nasim, W.; et al. Modeling the Impact of Climate Warming on Potato Phenology. Eur. J. Agron. 2022, 132, 126404. [Google Scholar] [CrossRef]
- Pulatov, B.; Linderson, M.L.; Hall, K.; Jönsson, A.M. Modeling Climate Change Impact on Potato Crop Phenology, and Risk of Frost Damage and Heat Stress in Northern Europe. Agric. For. Meteorol. 2015, 214, 281–292. [Google Scholar] [CrossRef]
- Daccache, A.; Weatherhead, E.K.; Stalham, M.A.; Knox, J.W. Impacts of Climate Change on Irrigated Potato Production in a Humid Climate. Agric. For. Meteorol. 2011, 151, 1641–1653. [Google Scholar] [CrossRef]
- Geddes, G. Potatoes and Water Management: From Deluge to Drought-Spud Smart. Available online: https://spudsmart.com/potatoes-water-management-deluge-drought/ (accessed on 9 May 2022).
- CIP International Potato Center Potato Faces Up to Climate Change Challenges-International Potato Center. Available online: https://cipotato.org/blog/potato-faces-up-to-climate-change-challenges/ (accessed on 8 May 2022).
- Kanters Janet Potato Production and Climate Change. Available online: https://spudsmart.com/potato-production-climate-change/ (accessed on 10 February 2022).
- Raymundo, R.; Asseng, S.; Robertson, R.; Petsakos, A.; Hoogenboom, G.; Quiroz, R.; Hareau, G.; Wolf, J. Climate Change Impact on Global Potato Production. Eur. J. Agron. 2018, 100, 87–98. [Google Scholar] [CrossRef]
- Haverkort, A.J.; Verhagen, A. Climate Change and Its Repercussions for the Potato Supply Chain. Potato Res. 2008, 51, 223–237. [Google Scholar] [CrossRef]
- van der Waals, J.E.; Steyn, J.M.; Franke, A.C.; Haverkort, A.J. Grower Perceptions of Biotic and Abiotic Risks of Potato Production in South Africa. Crop Prot. 2016, 84, 44–55. [Google Scholar] [CrossRef]
- Srivastava, R.K.; Talla, A.; Swain, D.K.; Panda, R.K. Quantitative Approaches in Adaptation Strategies to Cope with Increased Temperatures Following Climate Change in Potato Crop. Potato Res. 2019, 62, 175–191. [Google Scholar] [CrossRef]
- Agriculture and Agri-Food Canada Potato Market Information Review–2019–2020. Available online: https://agriculture.canada.ca/en/canadas-agriculture-sectors/horticulture/horticulture-sector-reports/potato-market-information-review-2019-2020 (accessed on 28 October 2022).
- Azimi, M.A.; Jiang, Y.; Meng, F.R.; Liang, K. Yield Responses of Four Common Potato Cultivars to an Industry Standard and Alternative Rotation in Atlantic Canada. Am. J. Potato Res. 2022, 99, 206–216. [Google Scholar] [CrossRef]
- Government of Prince Edward Island. Charlottetown, PE: Strategic Policy and Evaluation Division Department of Agriculture and Land. 2020. Available online: https://www.princeedwardisland.ca/sites/default/files/publications/af_potato_econ_impact_study.pdf (accessed on 8 January 2023).
- Holden, N.M.; Brereton, A.J.; Fealy, R.; Sweeney, J. Possible Change in Irish Climate and Its Impact on Barley and Potato Yields. Agric. For. Meteorol. 2003, 116, 181–196. [Google Scholar] [CrossRef]
- Khalid, A.M.; Hina, T.; Hameed, S.; Hamid, N.M.; Ahmad, I.; Ur Rehman, N.; Muhammad, A. Modeling Adaptation Strategies against Climate Change Impacts in Integrated Rice-Wheat Agricultural Production System of Pakistan. Int. J. Environ. Res. Public Health 2020, 17, 2522. [Google Scholar] [CrossRef]
- Bender, F.D.; Sentelhas, P.C. Assessment of Regional Climate Change Impacts on Brazilian Potato Tuber Yield. Int. J. Plant Prod. 2020, 14, 647–661. [Google Scholar] [CrossRef]
- Brassard, J.P.; Singh, B. Effects of Climate Change and CO2 Increase on Potential Agricultural Production in Southern Quebec, Canada. Clim. Res. 2007, 34, 105–117. [Google Scholar] [CrossRef]
- Arunrat, N.; Sereenonchai, S.; Chaowiwat, W.; Wang, C. Climate Change Impact on Major Crop Yield and Water Footprint under CMIP6 Climate Projections in Repeated Drought and Flood Areas in Thailand. Sci. Total Environ. 2022, 807, 150741. [Google Scholar] [CrossRef]
- Zheng, E.; Qin, M.; Chen, P.; Xu, T.; Zhang, Z. Climate Change Affects the Utilization of Light and Heat Resources in Paddy Field on the Songnen Plain, China. Agriculture 2022, 12, 1648. [Google Scholar] [CrossRef]
- Jiang, Y.; Ramsay, M.; Meng, F.; Stetson, T. Characterizing Potato Yield Responses to Water Supply in Atlantic Canada’s Humid Climate Using Historical Yield and Weather Data: Implications for Supplemental Irrigation. Agric. Water Manag. 2021, 255, 107047. [Google Scholar] [CrossRef]
- Our World in Data Explorer: IPCC Scenarios. Available online: https://ourworldindata.org/explorers/ipcc-scenarios?facet=none&Metric=Greenhouse+gas+emissions&Rate=Total&Region=Global&country=SSP1+-+Baseline~SSP2+-+Baseline~SSP3+-+Baseline~SSP4+-+Baseline~SSP5+-+Baseline (accessed on 28 December 2022).
- World Bank Group Download Data | Climate Change Knowledge Portal. Available online: https://climateknowledgeportal.worldbank.org/download-data (accessed on 28 December 2022).
- Eyring, V.; Bony, S.; Meehl, G.A.; Senior, C.A.; Stevens, B.; Stouffer, R.J.; Taylor, K.E. Overview of the Coupled Model Intercomparison Project Phase 6 (CMIP6) Experimental Design and Organization. Geosci. Model Dev. 2016, 9, 1937–1958. [Google Scholar] [CrossRef]
- DSSAT Cropping Systems Model. Available online: https://dssat.net/ (accessed on 24 March 2022).
- Hoogenboom, G.; Jones, J.; Wilkens, P.; Porter, C.H.; Batchelor, W.D.; Hunt, L.A.; Boote, K.J.; Singh, U.; Uryasev, O.; Bowen, W.T.; et al. Decision Support System for Agrotechnology Transfer Version 4.0 [CD-ROM]; University of Hawaii: Honolulu, HI, USA, 2004; Available online: http://crsps.net/resource/decision-support-system-for-agrotechnology-transfer-version-4-0-cd-rom/ (accessed on 17 March 2022).
- Hoogenboom, G.; Porter, C.H.; Shelia, V.; Boote, K.J.; Singh, U.; White, J.W.; Hunt, L.A.; Ogoshi, R.; Lizaso, J.I.; Koo, J.; et al. Decision Support System for Agrotechnology Transfer (DSSAT) Version 4.7.5. Available online: https://dssat.net/2435 (accessed on 16 March 2022).
- Hoogenboom, G.; Porter, C.H.; Boote, K.J.; Shelia, V.; Wilkens, P.W.; Singh, U.; White, J.W.; Asseng, S.; Lizaso, J.I.; Moreno, L.P.; et al. The DSSAT Crop Modeling Ecosystem. In Advances in Crop Modeling for a Sustainable Agriculture; Boote, K.J., Ed.; Burleigh Dodds Science Publishing: Cambridge, UK, 2019; pp. 173–216. [Google Scholar] [CrossRef]
- Jones, J.W.; Hoogenboom, G.; Porter, C.H.; Boote, K.J.; Batchelor, W.D.; Hunt, L.A.; Wilkens, P.W.; Singh, U.; Gijsman, A.J.; Ritchie, J.T. The DSSAT Cropping System Model. Eur. J. Agron. 2003, 18, 235–265. [Google Scholar] [CrossRef]
- Government of Prince Edward Island Where Is Prince Edward Island? Available online: https://www.princeedwardisland.ca/en/information/where-is-prince-edward-island (accessed on 25 January 2023).
- Government of Prince Edward Island PEI Population Report Quarterly. Available online: https://www.princeedwardisland.ca/en/information/finance/pei-population-report-quarterly (accessed on 22 December 2022).
- Government of Prince Edward Island Agriculture on PEI. Available online: https://www.princeedwardisland.ca/en/information/agriculture-and-land/agriculture-pei (accessed on 22 December 2022).
- United Potato Growers of Canada. Canadian Potato Production. Available online: https://unitedpotatocanada.com/wp-content/uploads/2022/12/Canadian-Potato-Production-2022-12-07-2022.pdf (accessed on 8 January 2023).
- Jiang, Y.; Zebarth, B.; Love, J. Long-Term Simulations of Nitrate Leaching from Potato Production Systems in Prince Edward Island, Canada. Nutr. Cycl. Agroecosyst. 2011, 91, 307–325. [Google Scholar] [CrossRef]
- Government of Canada Historical Data-Climate-Environment and Climate Change Canada. Available online: https://climate.weather.gc.ca/historical_data/search_historic_data_e.html (accessed on 21 July 2022).
- NASA-POWER Prediction of Worldwide Energy. Available online: https://power.larc.nasa.gov/data-access-viewer/ (accessed on 21 July 2022).
- PEI Potato Board Potatoes from Prince Edward Island | PEI Potatoes. Available online: https://www.peipotato.org/pei-potato-industry (accessed on 30 January 2023).
- Hausfather, Z. CMIP6: The next Generation of Climate Models Explained. Available online: https://www.carbonbrief.org/cmip6-the-next-generation-of-climate-models-explained (accessed on 4 May 2022).
- Hausfather, Z. Explainer: How ‘Shared Socioeconomic Pathways’ Explore Future Climate Change-Carbon Brief. Available online: https://www.carbonbrief.org/explainer-how-shared-socioeconomic-pathways-explore-future-climate-change/ (accessed on 23 December 2022).
- O’Neill, B.C.; Tebaldi, C.; van Vuuren, D.P.; Eyring, V.; Friedlingstein, P.; Hurtt, G.; Knutti, R.; Kriegler, E.; Lamarque, J.F.; Lowe, J.; et al. The Scenario Model Intercomparison Project (ScenarioMIP) for CMIP6. Geosci. Model Dev. 2016, 9, 3461–3482. [Google Scholar] [CrossRef]
- Adavi, Z.; Moradi, R.; Saeidnejad, A.H.; Tadayon, M.R.; Mansouri, H. Assessment of Potato Response to Climate Change and Adaptation Strategies. Sci. Hortic. 2018, 228, 91–102. [Google Scholar] [CrossRef]
- Rahman, A.; Abdul Mojid, M.; Banu, S. Climate Change Impact Assessment on Three Major Crops in the North-Central Region of Bangladesh Using DSSAT. Int. J. Agric. Biol. Eng. 2018, 11, 120–125. [Google Scholar] [CrossRef]
- Sarkar, R. Use of DSSAT to Model Cropping Systems. CAB Rev. Perspect. Agric. Vet. Sci. Nutr. Nat. Resour. 2009, 4, 1–12. [Google Scholar] [CrossRef]
- Malkia, R.; Hartani, T.; Dechmi, F. Evaluation of DSSAT Model for Sprinkler Irrigated Potato: A Case Study of Northeast Algeria. Afr. J. Agric. Res. 2016, 11, 2589–2598. [Google Scholar] [CrossRef]
- Raymundo, R.; Asseng, S.; Prassad, R.; Kleinwechter, U.; Concha, J.; Condori, B.; Bowen, W.; Wolf, J.; Olesen, J.E.; Dong, Q.; et al. Performance of the SUBSTOR-Potato Model across Contrasting Growing Conditions. Field Crops Res. 2017, 202, 57–76. [Google Scholar] [CrossRef]
- Šťastná, M.; Toman, F.; Dufková, J. Usage of SUBSTOR Model in Potato Yield Prediction. Agric. Water Manag. 2010, 97, 286–290. [Google Scholar] [CrossRef]
- Šťastná, M.; Dufková, J. Potato Simulation Model and Its Evaluation in Selected Central European Country. Agric. Conspec. Sci. 2008, 73, 227–234. Available online: https://hrcak.srce.hr/31243 (accessed on 7 March 2023).
- Šťastná, M.; Oppeltová, P.; Dufková, J. Validation of Potato Simulation Model. Acta Univ. Agric. Et Silvic. Mendel. Brun. 2008, 56, 217–226. [Google Scholar] [CrossRef]
- Arora, V.K.; Nath, J.C.; Singh, C.B. Analyzing Potato Response to Irrigation and Nitrogen Regimes in a Sub-Tropical Environment Using SUBSTOR-Potato Model. Agric. Water Manag. 2013, 124, 69–76. [Google Scholar] [CrossRef]
- Goswami, B.; Hussain, R.; Kumar, P.V.; Saikia, U.S.; Banarjee, S. Impact Assessment of Climate Change on Potato Productivity in Assam Using SUBSTOR-Potato Model. J. Agrometeorol. 2018, 20, 105–109. [Google Scholar] [CrossRef]
- Kleinwechter, U.; Gastelo, M.; Ritchie, J.; Nelson, G.; Asseng, S. Simulating Cultivar Variations in Potato Yields for Contrasting Environments. Agric. Syst. 2016, 145, 51–63. [Google Scholar] [CrossRef]
- Prasad, R.; Hochmuth, G.J.; Boote, K.J. Estimation of Nitrogen Pools in Irrigated Potato Production on Sandy Soil Using the Model SUBSTOR. PLoS ONE 2015, 10, e0117891. [Google Scholar] [CrossRef]
- Chicco, D.; Warrens, M.J.; Jurman, G. The Coefficient of Determination R-Squared Is More Informative than SMAPE, MAE, MAPE, MSE and RMSE in Regression Analysis Evaluation. PeerJ Comput. Sci. 2021, 7, e623. [Google Scholar] [CrossRef]
- Vashisht, B.B.; Nigon, T.; Mulla, D.J.; Rosen, C.; Xu, H.; Twine, T.; Jalota, S.K. Adaptation of Water and Nitrogen Management to Future Climates for Sustaining Potato Yield in Minnesota: Field and Simulation Study. Agric. Water Manag. 2015, 152, 198–206. [Google Scholar] [CrossRef]
- Zhong, X.; Dutta, U. Engaging Nash-Sutcliffe Efficiency and Model Efficiency Factor Indicators in Selecting and Validating Effective Light Rail System Operation and Maintenance Cost Models. J. Traffic Transp. Eng. 2015, 3, 255–265. [Google Scholar] [CrossRef]
- PEI Agricultural Insurance Corporation Agricultural Crops in Prince Edward Island. Available online: https://www.princeedwardisland.ca/en/information/executive-council-office/agricultural-insurance-corporation (accessed on 23 February 2023).
- Tooley, B.E.; Mallory, E.B.; Porter, G.A.; Hoogenboom, G. Predicting the Response of a Potato-Grain Production System to Climate Change for a Humid Continental Climate Using DSSAT. Agric. For. Meteorol. 2021, 307, 108452. [Google Scholar] [CrossRef]
- Tang, J.; Xiao, D.; Bai, H.; Wang, B.; Liu, D.L.; Feng, P.; Zhang, Y.; Zhang, J. Potential Benefits of Potato Yield at Two Sites of Agro-Pastoral Ecotone in North China Under Future Climate Change. Int. J Plant Prod. 2020, 14, 401–414. [Google Scholar] [CrossRef]
- Xiao, G.; Zheng, F.; Qiu, Z.; Yao, Y. Impact of Climate Change on Water Use Efficiency by Wheat, Potato and Corn in Semiarid Areas of China. Agric. Ecosyst. Environ. 2013, 181, 108–114. [Google Scholar] [CrossRef]
- Tubiello, F.N.; Rosenzweig, C.; Goldberg, R.A.; Jagtap, S.; Jones, J.W. Effects of Climate Change on US Crop Production: Simulation Results Using Two Different GCM Scenarios. Part I: Wheat, Potato, Maize, and Citrus. Clim. Res. 2002, 20, 259–270. [Google Scholar] [CrossRef]
- Chang, D.C.; Sohn, H.B.; Cho, J.H.; Im, J.S.; Jin, Y.I.; Do, G.R.; Kim, S.J.; Cho, H.M.; Lee, Y.B. Freezing and Frost Damage of Potato Plants: A Case Study on Growth Recovery, Yield Response, and Quality Changes. Potato Res. 2014, 57, 99–110. [Google Scholar] [CrossRef]
- Chourasia, K.N.; Lal, M.K.; Tiwari, R.K.; Dev, D.; Kardile, H.B.; Patil, V.U.; Kumar, A.; Vanishree, G.; Kumar, D.; Bhardwaj, V.; et al. Salinity Stress in Potato: Understanding Physiological, Biochemical and Molecular Responses. Life 2021, 11, 545. [Google Scholar] [CrossRef]
- Afzaal, H.; Farooque, A.A.; Abbas, F.; Acharya, B.; Esau, T. Precision Irrigation Strategies for Sustainable Water Budgeting of Potato Crop in Prince Edward Island. Sustainability 2020, 12, 2419. [Google Scholar] [CrossRef]







| Depth (cm) | Clay (%) | Silt (%) | Org. C. (%) | BD (Mg·m−3) | pH | DUL | SWC | SHC (cm·h) | RGF | LL |
|---|---|---|---|---|---|---|---|---|---|---|
| 0–10 | 8 | 36 | 1.9 | 1.33 | 6.1 | 0.272 | 0.459 | 2.59 | 1 | 0.118 |
| 10–20 | 9 | 38 | 1.9 | 1.39 | 6.1 | 0.282 | 0.437 | 2.59 | 1 | 0.123 |
| 20–30 | 9 | 35 | 1.6 | 1.39 | 6.2 | 2.260 | 0.439 | 2.59 | 0.607 | 0.115 |
| 30–40 | 9 | 37 | 1.2 | 1.54 | 6.2 | 0.244 | 0.388 | 2.59 | 0.497 | 0.104 |
| 40–50 | 11 | 36 | 0.5 | 1.60 | 6.2 | 0.217 | 0.372 | 2.59 | 0.407 | 0.095 |
| 50–60 | 13 | 34 | 0.2 | 1.60 | 6.3 | 0.209 | 0.375 | 2.59 | 0.333 | 0.096 |
| 60–70 | 14 | 34 | 0.2 | 1.79 | 6.3 | 0.214 | 0.306 | 2.59 | 0.273 | 0.101 |
| 70–80 | 13 | 35 | 0.1 | 1.79 | 6.3 | 0.206 | 0.307 | 2.59 | 0.223 | 0.094 |
| 80–90 | 14 | 35 | 0.1 | 1.79 | 6.4 | 0.211 | 0.307 | 1.32 | 0.183 | 0.099 |
| Crop | Potato |
|---|---|
| Cultivar | Russet Burbank * |
| Planting month | May |
| Planting method | Dry Seed |
| Planting depth | 6.5 inches |
| Planting distribution | Rows |
| Row spacing | 14 inches |
| Fertilizer | Ammonium Nitrate |
| Tillage | Mouldboard Plough |
| Irrigation | Not Irrigated |
| Harvest month | October |
| Length of the growing season | 130 days |
| Other practices (e.g., tillage type, depth, and date, initial condition, fertilizer depth, and application date) | Observed according to the recommended practices by the PEI potato board and farmers |
| Full Name of GCM | Abbreviation | Institute |
|---|---|---|
| The Canadian Earth System Model version 5 | CanESM5 | Canadian Centre for Climate Modelling and Analysis, Canada https://www.canada.ca/en/environment-climate-change/services/science-technology/centres/british-columbia.html#cccma (accessed on 12 November 2022) |
| Geophysical Fluid Dynamics Laboratory Earth System Model version 4 | GFDL-ESM4 | Geophysical Fluid Dynamics Laboratory, United States of America https://www.gfdl.noaa.gov/ (accessed on 12 November 2022) |
| The Meteorological Research Institute Earth System Model version 2 | MRI-ESM2 | The Meteorological Research Institute, Japan https://www.mri-jma.go.jp/index_en.html (accessed on 12 November 2022) |
| Model for Interdisciplinary Research on Climate version 6 | MIROC6 | Division of Climate System Research, Japan https://ccsr.aori.u-tokyo.ac.jp/index-e.html (accessed on 12 November 2022) |
| Flexible Global Ocean-Atmosphere-Land System Model: Grid-Point version 3 | FGOAL-G3 | The State Key Laboratory of Numerical Modeling for Atmospheric Sciences and Geophysical Fluid Dynamics- Institute of Atmospheric Physics, China http://english.iap.cas.cn/rh/rd/200906/t20090626_9069.html (accessed on 12 November 2022) |
| The Institute Pierre-Simon Laplace Climate Model | IPSL-CM6A-LR | The Institute Pierre-Simon Laplace Climate Modelling Center, France https://cmc.ipsl.fr/ (accessed on 12 November 2022) |
| European Community Earth 3 with interactive vegetation module at low resolution | EC-Earth3-Veg | 12 European Countries https://ec-earth.org (accessed on 12 November 2022) |
| Symbol | Parameter | Range | Iteration Interval | Calibrated Genetic Coefficient | Units |
|---|---|---|---|---|---|
| G2 | Leaf area expansion rate after tuber initiation | 900–2100 | 5 | 2100 | cm2·m−2·day−1 |
| G3 | Potential tuber growth rate | 21–26 | 0.02 | 21 | g·m−2·day−1 |
| PD | Suppression of tuber growth following tuber induction | 0.5–1.0 | 0.01 | 0.500 | relative index |
| P2 | Tuber initiation sensitivity to long photoperiods | 0.3–0.9 | 0.01 | 0.586 | relative index |
| TC | The upper critical temperature for tuber initiation | 5–22 | 0.02 | 22 | °C |
| Year | Observed (t/ha) | Simulated (t/ha) |
|---|---|---|
| 2000 | 29.8 | 32.6 |
| 2001 | 16.3 | 16.0 |
| 2002 | 32.7 | 29.4 |
| 2003 | 30.5 | 31.0 |
| 2004 | 33.1 | 30.7 |
| 2005 | 31.8 | 29.9 |
| 2006 | 33.2 | 32.5 |
| 2007 | 33.6 | 32.8 |
| 2008 | 26.8 | 25.7 |
| 2009 | 27.1 | 26.1 |
| Year | Observed (t/ha) | Simulated (t/ha) |
|---|---|---|
| 2010 | 29.8 | 30.1 |
| 2011 | 28.9 | 29.7 |
| 2012 | 28.2 | 27.7 |
| 2013 | 28.4 | 29.4 |
| 2014 | 31.1 | 31.5 |
| 2015 | 31.0 | 32.2 |
| 2016 | 32.0 | 33.3 |
| 2017 | 30.1 | 29.8 |
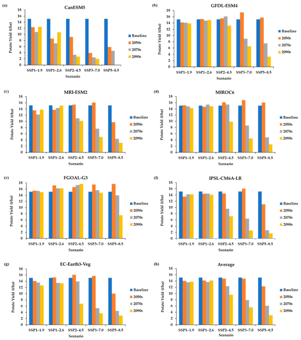
| GCM | Period | SSP Scenario | ||||
|---|---|---|---|---|---|---|
| SSP1–1.9 | SSP1–2.6 | SSP−4.5 | SSP3–7.0 | SSP5–8.5 | ||
| CanESM5 | Baseline | 15.1 | ||||
| 2050s | 12.3 | 8.6 | 9.2 | 3.9 | 5.9 | |
| 2070s | 10.8 | 7.0 | 3.3 | 2.5 | 4.6 | |
| 2090s | 12.4 | 10.7 | 2.8 | 2.0 | 0 | |
| GFDL-ESM4 | Baseline | 15.2 | ||||
| 2050s | 14.1 | 15.3 | 15.5 | 17.4 | 15.7 | |
| 2070s | 14.1 | 14.8 | 16.0 | 9.0 | 7.5 | |
| 2090s | 13.9 | 14.9 | 13.1 | 6.6 | 3.3 | |
| MRI-ESM2 | Baseline | 15.2 | ||||
| 2050s | 13.6 | 13.8 | 15.4 | 16.1 | 9.8 | |
| 2070s | 12.3 | 143 | 11.0 | 7.7 | 4.4 | |
| 2090s | 13.8 | 15.1 | 10.1 | 5.0 | 3.1 | |
| MIROC6 | Baseline | 15.1 | ||||
| 2050s | 15.2 | 14.7 | 16.2 | 16,8 | 16.0 | |
| 2070s | 14.8 | 15.4 | 15.4 | 8.6 | 4.8 | |
| 2090s | 14.2 | 14.9 | 9.8 | 4.4 | 2.6 | |
| FGOAL-G3 | Baseline | 15.1 | ||||
| 2050s | 15.5 | 17.2 | 16.6 | 17.5 | 17.6 | |
| 2070s | 15.4 | 16.3 | 17.3 | 15.6 | 13.9 | |
| 2090s | 15.0 | 16.2 | 17.6 | 14.8 | 7.6 | |
| IPSL-CM6A-LR | Baseline | 15.1 | ||||
| 2050s | 13.5 | 14.4 | 14.5 | 16.0 | 11.0 | |
| 2070s | 14.2 | 14.5 | 9.6 | 6.4 | 2.7 | |
| 2090s | 14.3 | 14.1 | 7.2 | 2.6 | 1.7 | |
| EC-Earth3-Veg | Baseline | 15.1 | ||||
| 2050s | 14.1 | 15.3 | 16.1 | 15.7 | 10.0 | |
| 2070s | 13.6 | 13.5 | 14.0 | 5.4 | 4.5 | |
| 2090s | 12.7 | 13.3 | 6.8 | 3.7 | 2.9 | |
| Model Average | Baseline | 15.1 | ||||
| 2050s | 14.0 | 14.2 | 14.8 | 14.8 | 12.3 | |
| 2070s | 13.6 | 13.7 | 12.4 | 7.9 | 6.1 | |
| 2090s | 13.7 | 14.2 | 9.6 | 5.6 | 3.0 | |
| GCM | Period | SSP Scenario | ||||
|---|---|---|---|---|---|---|
| SSP1–1.9 | SSP1–2.6 | SSP−4.5 | SSP3–7.0 | SSP5–8.5 | ||
| CanESM5 | 2050s | −18.3% | −43.0% | −39.2% | −74.3% | −60.9% |
| 2070s | −28.8% | −53.5% | −78.2% | −83.4% | −69.5% | |
| 2090s | −17.7% | −29.3% | −81.6% | −86.6% | −100% | |
| GFDL-ESM4 | 2050s | −6.8% | +0.8% | +2.4% | −14.6% | +3.6% |
| 2070s | −7.5% | −2.7% | +5.7% | −40.8% | −50.6% | |
| 2090s | −8.6% | −1.8% | −13.5% | −56.8% | −78.1% | |
| MRI-ESM2 | 2050s | −10.4% | −9.4% | +1.5% | +6.2% | −35.6% |
| 2070s | −19.1% | −5.7% | −27.7% | −49.5% | −71.1% | |
| 2090s | −9.3% | −0.7% | −33.3% | −67.3% | −79.9% | |
| MIROC6 | 2050s | +0.6% | −2.7% | +7.2% | +11.8% | −6.3% |
| 2070s | −2.0% | +2.0% | +2.2% | −42.7% | −67.9% | |
| 2090s | −5.5% | −1.3% | −34.9% | −70.5% | −83.1% | |
| FGOAL-G3 | 2050s | +2.0% | +13.5% | +9.9% | +15.5% | +16.4% |
| 2070s | −1.8% | +7.5% | +14.3% | +3.2% | −8.1% | |
| 2090s | −1.1% | +7.3% | +16.4% | −2.2% | −50.1% | |
| IPSL-CM6A-LR | 2050s | −10.8% | −4.9% | −4.2% | +6.1% | −27.3% |
| 2070s | −5.8% | −4.1% | −36.8% | −57.4% | −82.4% | |
| 2090s | −5.7% | −6.9% | −52.6% | −83.0% | −88.8% | |
| EC-Earth3-Veg | 2050s | −6.7% | +1.2% | +6.7% | +4.1% | −33.8% |
| 2070s | −9.8% | −10.8% | −7.4% | −64.3% | −70.5% | |
| 2090s | −16.2% | −11.9% | −55.2% | −75.9% | −80.7% | |
| Model Average | 2050s | −7.2% | −6.4% | −2.2% | −2.3% | −18.8% |
| 2070s | −10.2% | −9.6% | −18.3% | −47.8% | −60.0% | |
| 2090s | −9.2% | −6.4% | −36.4% | −63.2% | −80.1% | |
Disclaimer/Publisher’s Note: The statements, opinions and data contained in all publications are solely those of the individual author(s) and contributor(s) and not of MDPI and/or the editor(s). MDPI and/or the editor(s) disclaim responsibility for any injury to people or property resulting from any ideas, methods, instructions or products referred to in the content. |
© 2023 by the authors. Licensee MDPI, Basel, Switzerland. This article is an open access article distributed under the terms and conditions of the Creative Commons Attribution (CC BY) license (https://creativecommons.org/licenses/by/4.0/).
Share and Cite
Adekanmbi, T.; Wang, X.; Basheer, S.; Nawaz, R.A.; Pang, T.; Hu, Y.; Liu, S. Assessing Future Climate Change Impacts on Potato Yields — A Case Study for Prince Edward Island, Canada. Foods 2023, 12, 1176. https://doi.org/10.3390/foods12061176
Adekanmbi T, Wang X, Basheer S, Nawaz RA, Pang T, Hu Y, Liu S. Assessing Future Climate Change Impacts on Potato Yields — A Case Study for Prince Edward Island, Canada. Foods. 2023; 12(6):1176. https://doi.org/10.3390/foods12061176
Chicago/Turabian StyleAdekanmbi, Toyin, Xiuquan Wang, Sana Basheer, Rana Ali Nawaz, Tianze Pang, Yulin Hu, and Suqi Liu. 2023. "Assessing Future Climate Change Impacts on Potato Yields — A Case Study for Prince Edward Island, Canada" Foods 12, no. 6: 1176. https://doi.org/10.3390/foods12061176
APA StyleAdekanmbi, T., Wang, X., Basheer, S., Nawaz, R. A., Pang, T., Hu, Y., & Liu, S. (2023). Assessing Future Climate Change Impacts on Potato Yields — A Case Study for Prince Edward Island, Canada. Foods, 12(6), 1176. https://doi.org/10.3390/foods12061176

