Hydrogen Sulfide Enhances Browning Repression and Quality Maintenance in Fresh-Cut Peaches via Modulating Phenolic and Amino Acids Metabolisms
Abstract
1. Introduction
2. Materials and Methods
2.1. Fruit Material and Treatment
2.2. Quality Attributes
2.3. Contents of Total Phenolic, Total Flavonoid, and Individual Phenolic Compounds
2.4. Activities of Key Enzymes Related to Phenolic Metabolism
2.5. GABA Content and Glutamate Decarboxylase (GAD) Activity
2.6. Proline Content and Related Metabolic Enzymes Activities
2.7. PAs Contents
2.8. Activities of Key Enzymes Related to PAs Metabolism
2.9. Data Analysis
3. Results
3.1. Firmness, SSC, Weight Loss, Respiration Rate, BI, and TABC of Fresh-Cut Peaches
3.2. Contents of Total Phenolic, Total Flavonoid, and Individual Phenolic Compounds of Fresh-Cut Peaches
3.3. Activities of Key Enzymes Related to Phenolic Metabolism
3.4. GABA Content and GAD Activity
3.5. Proline Content and Related Metabolic Enzymes Activities
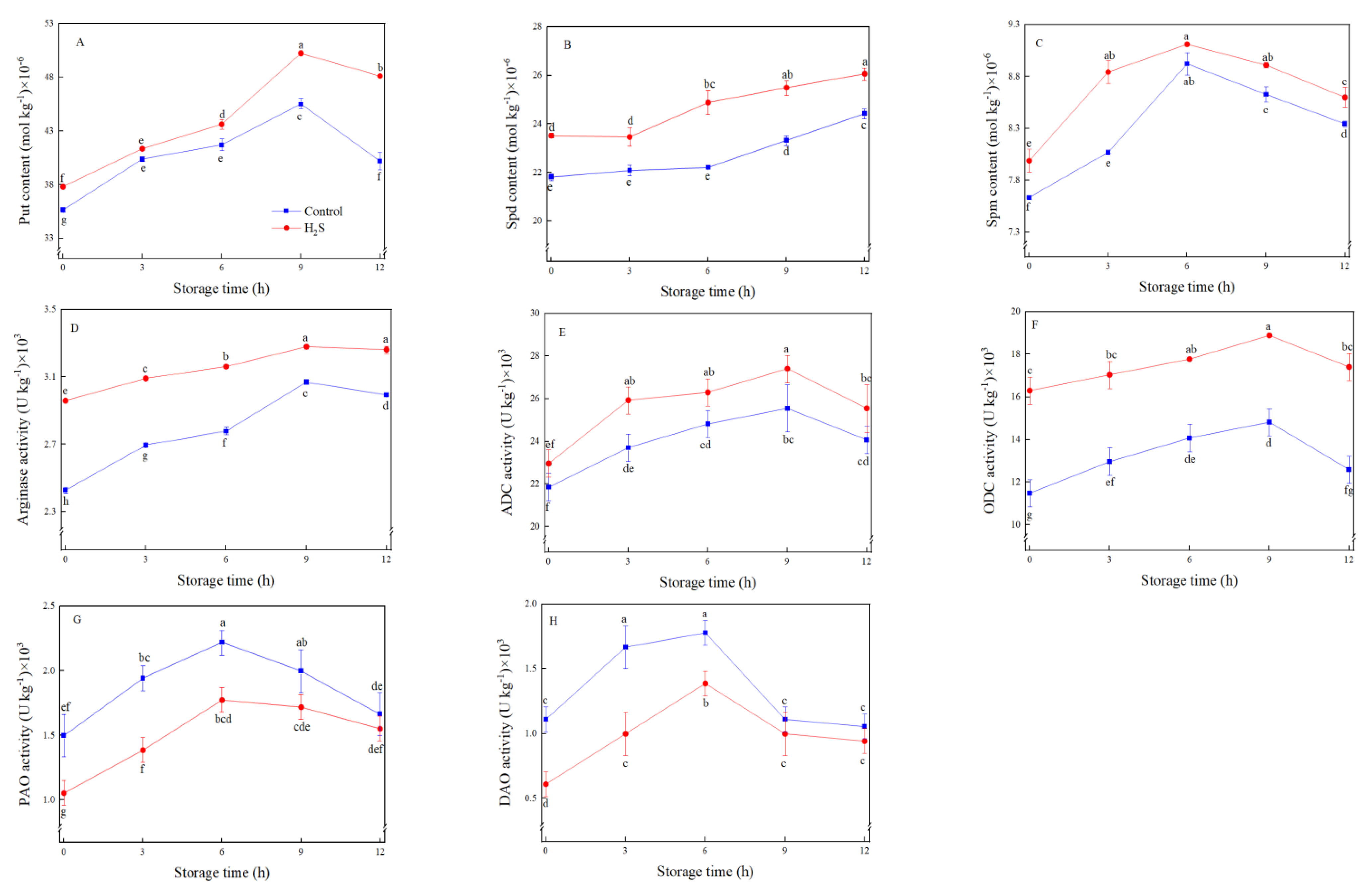
3.6. PAs Contents and Related Key Enzymes Activities
4. Discussion
5. Conclusions
Author Contributions
Funding
Data Availability Statement
Conflicts of Interest
References
- Ma, L.; Zhang, M.; Bhandari, B.; Gao, Z.X. Recent developments in novel shelf life extension technologies of fresh-cut fruits and vegetables. Trends Food Sci. Technol. 2017, 64, 23–38. [Google Scholar] [CrossRef]
- Wang, D.; Li, D.; Xu, Y.Q.; Li, L.; Belwal, T.; Zhang, X.C.; Luo, Z.S. Elevated CO2 alleviates browning development by modulating metabolisms of membrane lipids, proline, and GABA in fresh-cut Asian pear fruit. Sci Hortic. 2021, 281, 109932. [Google Scholar] [CrossRef]
- Lante, A.; Tinello, F.; Nicoletto, M. UV-A light treatment for controlling enzymatic browning of fresh-cut fruits. Innov. Food Sci. Emerg. 2016, 34, 141–147. [Google Scholar] [CrossRef]
- Huang, D.D.; Wang, C.Y.; Zhu, S.H.; Anwar, R.; Hussain, Z.; Khadija, F. Combination of sodium alginate and nitric oxide reduces browning and retains the quality of fresh-cut peach during cold storage. Food Sci. Technol. Int. 2021, 28, 735–743. [Google Scholar] [CrossRef] [PubMed]
- Denoya, G.I.; Vaudagna, S.R.; Polenta, G. Effect of high pressure processing and vacuum packaging on the preservation of fresh-cut peaches. Food Sci. Technol. 2015, 62, 801–806. [Google Scholar] [CrossRef]
- Olas, B. Hydrogen sulfide in hemostasis: Friend or foe? Chem. Biol. Int. 2014, 217, 49–56. [Google Scholar] [CrossRef]
- Hu, L.Y.; Hu, S.L.; Wu, J.; Li, Y.H.; Zheng, J.L.; Wei, Z.J.; Liu, J.; Wang, H.L.; Liu, Y.S.; Zhang, H. Hydrogen sulfide prolongs postharvest shelf life of strawberry and plays an antioxidative role in fruits. J. Agric. Food Chem. 2012, 60, 8684–8693. [Google Scholar] [CrossRef]
- Morteza, S.A.; Roghayeh, M.; Farhang, R.; Vali, R.; Ali, S. Hydrogen sulfide treatment confers chilling tolerance in hawthorn fruit during cold storage by triggering endogenous H2S accumulation, enhancing antioxidant enzymes activity and promoting phenols accumulation. Sci Hortic. 2018, 238, 264–271. [Google Scholar]
- Hancock, J.T.; Whiteman, M. Hydrogen sulfide and cell signaling: Team player or referee? Plant Physiol. Biochem. 2014, 78, 37–42. [Google Scholar] [CrossRef]
- Wang, L.; Chen, S.C.; Shao, J.W.; Zhang, C.; Mei, L.; Wang, K.; Jin, P.; Zheng, Y.H. Hydrogen sulfide alleviates chilling injury in peach fruit by maintaining cell structure integrity via regulating endogenous H2S, antioxidant and cell wall metabolisms. Food Chem. 2022, 391, 133283. [Google Scholar] [CrossRef]
- Sun, Y.; Zhang, W.; Zeng, T.; Nie, Q.X.; Zhang, F.Y.; Zhu, L.Q. Hydrogen sulfide inhibits enzymatic browning of fresh-cut lotus root slices by regulating phenolic metabolism. Food Chem. 2015, 177, 376–381. [Google Scholar] [CrossRef]
- Dou, Y.; Chang, C.; Wang, J.; Cai, Z.; Zhang, W.; Du, H.; Gan, Z.; Wan, C.; Chen, J.; Zhu, L. Hydrogen sulfide inhibits enzymatic browning of fresh-cut Chinese water chestnuts. Front. Nutr. 2021, 165, 652984. [Google Scholar] [CrossRef]
- Chen, C.; Jiang, A.L.; Liu, C.H.; Wagstaff, C.; Zhao, Q.Q.; Zhang, Y.H.; Hu, W.Z. Hydrogen sulfide inhibits the browning of fresh-cut apple by regulating the antioxidant, energy and lipid metabolism. Postharvest Biol. Technol. 2021, 175, 111487. [Google Scholar] [CrossRef]
- Du, W.X.; Avena-Bustillos, R.J.; Breksa, A.P.; McHugh, T.H. Effect of UV-B light and different cutting styles on antioxidant enhancement of commercial fresh-cut carrot products. Food Chem. 2012, 134, 1862–1869. [Google Scholar] [CrossRef]
- Gallotta, A.; Allegra, A.; Inglese, P.; Sortino, G. Fresh-cut storage of fruit and fresh-cuts affects the behaviour of minimally processed Big Bang nectarines (Prunus persica L. Batsch) during shelf life. Food Packag. Shelf Life. 2018, 15, 62–68. [Google Scholar] [CrossRef]
- Shahidi, F.; Yeo, J. Bioactivities of phenolics by focusing on suppression of chronic diseases: A review. Int. J. Mol. Sci. 2018, 19, 1573. [Google Scholar] [CrossRef]
- Li, X.A.; Long, Q.H.; Gao, F.; Han, C.; Jin, P.; Zheng, Y.H. Effect of cutting styles on quality and antioxidant activity in fresh-cut pitaya fruit. Postharvest Biol. Technol. 2017, 124, 1–7. [Google Scholar] [CrossRef]
- Han, C.; Jin, P.; Li, M.L.; Wang, L.; Zheng, Y.H. Physiological and transcriptomic analysis validates previous findings of changes in primary metabolism for the production of phenolic antioxidants in wounded carrots. J. Agric. Food Chem. 2017, 65, 7159–7167. [Google Scholar] [CrossRef]
- Li, M.L.; Li, X.A.; Han, C.; Ji, N.N.; Jin, P.; Zheng, Y.H. Physiological and metabolomic analysis of cold plasma treated fresh-cut strawberries. J. Agric. Food Chem. 2019, 67, 4043–4053. [Google Scholar] [CrossRef]
- Gao, H.; Zhang, Z.K.; Lv, X.G.; Cheng, N.; Peng, B.Z.; Cao, W. Effect of 24-epibrassinolide on chilling injury of peach fruit in relation to phenolic and proline metabolisms. Postharvest Biol. Technol. 2016, 111, 390–397. [Google Scholar] [CrossRef]
- Kaur, G.; Asthir, B. Proline: A key player in plant abiotic stress tolerance. Biol. Plant. 2015, 59, 609–619. [Google Scholar] [CrossRef]
- Liu, P.; Xu, N.; Liu, R.F.; Liu, J.J.; Peng, Y.; Wang, Q.G. Exogenous proline treatment inhibiting enzymatic browning of fresh-cut potatoes during cold storage. Postharvest Biol. Technol. 2022, 184, 111754. [Google Scholar] [CrossRef]
- Li, M.L.; Li, X.A.; Li, J.; Ji, Y.; Han, C.; Jin, P.; Zheng, Y.H. Responses of fresh-cut strawberries to ethanol vapor pretreatment: Improved quality maintenance and associated antioxidant metabolism in gene expression and enzyme activity levels. J. Agric. Food Chem. 2018, 66, 8382–8390. [Google Scholar] [CrossRef] [PubMed]
- Hou, Y.; Ren, H.; Wang, K.K.; Cao, S.F.; Zheng, Y.H.; Wei, Y.Y.; Shao, X.; Wang, H.; Xu, F. Influence of fresh-cut process on gamma-aminobutyric acid (GABA) metabolism and sensory properties in carrot. Food Sci. Technol. 2022, 59, 552–561. [Google Scholar]
- Gao, H.Y.; Zeng, Q.; Ren, Z.N.; Li, P.Z.; Xu, X.X. Effect of exogenous gamma-aminobutyric acid treatment on the enzymatic browning of fresh-cut potato during storage. Food Sci. Technol. 2018, 55, 5035–5044. [Google Scholar]
- Wang, D.; Li, L.; Xu, Y.Q.; Limwachiranon, J.; Li, D.; Ban, Z.J.; Luo, Z.S. Effect of exogenous nitro oxide on chilling tolerance, polyamine, proline, and gamma-aminobutyric acid in bamboo shoots (Phyllostachys praecox f. prevernalis). J. Agric. Food Chem. 2017, 65, 5607–5613. [Google Scholar] [CrossRef]
- Manzocco, L.; Pieve, S.D.; Maifreni, M. Impact of UV-C light on safety and quality of fresh-cut melon. Innov. Food Sci. Emerg. 2011, 12, 13–17. [Google Scholar] [CrossRef]
- Adiani, V.; Gupta, S.; Padole, R.; Variyar, P.S.; Sharma, A. SPME-GCMS integrated with chemometrics as a rapid non-destructive method for predicting microbial quality of minimally processed jackfruit (Artocarpus heterophyllus) bulbs. Postharvest Biol. Technol. 2014, 98, 34–40. [Google Scholar] [CrossRef]
- Wang, L.; Shan, T.M.; Xie, B.; Ling, C.; Shao, S.; Jin, P.; Zheng, Y.H. Glycine betaine reduces chilling injury in peach fruit by enhancing phenolic and sugar metabolisms. Food Chem. 2019, 272, 530–538. [Google Scholar] [CrossRef]
- Wang, L.; Wang, Y.; Hou, Y.Y.; Zhu, X.; Zheng, Y.H.; Jin, P. Physiological and metabolomic analyses of hot water treatment on amino acids and phenolic metabolisms in peach cold tolerance. Postharvest Biol. Technol. 2021, 179, 111593. [Google Scholar] [CrossRef]
- Wang, K.K.; Xu, F.; Cao, S.F.; Wang, H.F.; Wei, Y.Y.; Shao, X.F.; Zheng, Y.H. Effects of exogenous calcium chloride (CaCl2) and ascorbic acid (AsA) on the γ-aminobutyric acid (GABA) metabolism in shredded carrots. Postharvest Biol. Technol. 2019, 152, 111–117. [Google Scholar] [CrossRef]
- Bokhary, S.U.F.; Wang, L.; Zheng, Y.H.; Jin, P. Pre-storage hot water treatment enhances chilling tolerance of zucchini (Cucurbita pepo L.) squash by regulating arginine metabolism. Postharvest Biol. Technol. 2020, 166, 111229. [Google Scholar] [CrossRef]
- Li, M.L.; Li, X.A.; Han, C.; Ji, N.N.; Jin, P.; Zheng, Y.H. UV-C treatment maintains quality and enhances antioxidant capacity of fresh-cut strawberries. Postharvest Biol. Technol. 2019, 156, 110945. [Google Scholar] [CrossRef]
- Gao, H.Y.; Wu, S.Y.; Zeng, Q.; Li, P.Z.; Guan, W.Q. Effects of exogenous gamma-aminobutyric acid treatment on browning and food-borne pathogens in fresh-cut apples. Postharvest Biol. Technol. 2018, 146, 1–8. [Google Scholar] [CrossRef]
- Cao, S.F.; Cai, Y.T.; Yang, Z.F.; Zheng, Y.H. MeJA induces chilling tolerance in loquat fruit by regulating proline and γ-aminobutyric acid contents. Food Chem. 2012, 133, 1466–1470. [Google Scholar] [CrossRef]
- Meng, Z.; Dong, T.T.; Malik, A.U.; Zhang, S.; Wang, Q.G. Harvest maturity affects the browning of fresh-cut potatoes by influencing contents of amino acids. Postharvest Biol. Technol. 2021, 173, 111404. [Google Scholar] [CrossRef]
- Shan, T.M.; Jin, P.; Zhang, Y.; Huang, Y.P.; Wang, X.L.; Zheng, Y.H. Exogenous glycine betaine treatment enhances chilling tolerance of peach fruit during cold storage. Postharvest Biol. Technol. 2016, 114, 104–110. [Google Scholar] [CrossRef]
- Fait, A.; Fromm, H.; Walter, D.; Galili, G.; Fernie, A.R. Highway or byway: The metabolic role of the GABA shunt in plants. Trends Food Sci. Technol. 2008, 13, 14–19. [Google Scholar] [CrossRef]
- Li, J.X.; Zhou, X.; Wei, B.D.; Cheng, S.C.; Zhou, Q.; Ji, S.J. GABA application improves the mitochondrial antioxidant system and reduces peel browning in ‘Nanguo’ pears after removal from cold storage. Food Chem. 2019, 297, 124903. [Google Scholar] [CrossRef]
- Shang, H.T.; Cao, S.F.; Yang, Z.F.; Cai, Y.T.; Zheng, Y.H. Effect of exogenous gamma-aminobutyric acid treatment on proline accumulation and chilling injury in peach fruit after long-term cold storage. J. Agric. Food Chem. 2011, 59, 1264–1268. [Google Scholar] [CrossRef]
- Yang, R.Q.; Chen, H.; Han, Y.B.; Gu, Z.X. Purification of diamine oxidase and its properties in germinated fava bean (Vicia faba L.). J. Agric. Food Chem. 2012, 92, 1709–1715. [Google Scholar] [CrossRef] [PubMed]
- Chi, Z.Y.; Dai, Y.Q.; Cao, S.F.; Wei, Y.Y.; Shao, X.F.; Huang, X.S.; Xu, F.; Wang, H.F. Exogenous calcium chloride (CaCl2) promotes γ-aminobutyric acid (GABA) accumulation in fresh-cut pears. Postharvest Biol. Technol. 2021, 174, 111446. [Google Scholar] [CrossRef]
- Minocha, R.; Majumdar, R.; Minocha, S.C. Polyamines and abiotic stress in plants: A complex relationship. Front. Plant Sci. 2014, 5, 175. [Google Scholar] [CrossRef] [PubMed]
- Fortes, A.M.; Agudelo-Romero, P.; Pimentel, D.; Alkan, N. Transcriptional modulation of polyamine metabolism in fruit species under abiotic and biotic stress. Front. Plant Sci. 2019, 10, 816. [Google Scholar] [CrossRef]
- Cao, D.D.; Hu, J.; Zhu, S.J.; Hu, W.M.; Knapp, A. Relationship between changes in endogenous polyamines and seed quality during development of sh(2) sweet corn (Zea mays L.) seed. Sci Hortic. 2010, 123, 301–307. [Google Scholar] [CrossRef]
- Cao, S.F.; Song, C.B.; Shao, J.R.; Bian, K.; Chen, W.; Yang, Z.F. Exogenous melatonin treatment increases chilling tolerance and induces defense response in harvested peach fruit during cold storage. J. Agric. Food Chem. 2016, 64, 5215–5222. [Google Scholar] [CrossRef]
- Javad, S.; Shah, A.A.; Ramzan, M.; Sardar, R.; Javed, T.; Al-Huqail, A.A.; Ali, H.M.; Chaudhry, O.; Yasin, N.A.; Ahmed, S.; et al. Hydrogen sulphide alleviates cadmium stress in trigonella foenum-graecum by modulating antioxidant enzymes and polyamine content. Plant Biol. 2022, 24, 618–626. [Google Scholar] [CrossRef]
- Chen, J.; Shang, Y.T.; Wang, W.H.; Chen, X.Y.; He, E.M.; Zheng, H.L.; Shangguan, Z.P. Hydrogen sulfide-mediated polyamines and sugar changes are involved in hydrogen sulfide-induced drought tolerance in Spinacia oleracea seedlings. Front. Plant Sci. 2016, 7, 1173. [Google Scholar] [CrossRef]
- Zhang, X.H.; Shen, L.; Li, F.J.; Meng, D.M.; Sheng, J.P. Arginase induction by heat treatment contributes to amelioration of chilling injury and activation of antioxidant enzymes in tomato fruit. Postharvest Biol. Technol. 2013, 79, 1–8. [Google Scholar] [CrossRef]
- Groppa, M.D.; Benavides, M.P. Polyamines and abiotic stress: Recent advances. Amino Acids 2008, 34, 35–45. [Google Scholar] [CrossRef]





| Storage Time (h) | Treatment | Weight Loss (%) | SSC (%) | Firmness (N) | Respiration Rate (mg kg−1 h−1) | BI | TABC (log CFU g−1) |
|---|---|---|---|---|---|---|---|
| 0 | Control | 0 | 15.51 ± 0.63 b | 57.43 ± 0.32 a | 270.10 ± 5.07 d | 0 | 2.36 ± 0.18 a |
| H2S | 0 | 16.61 ± 0.38 a | 57.18 ± 0.69 a | 242.76 ± 5.45 f | 0 | 2.05 ± 0.51 a | |
| 3 | Control | 0.12 ± 0.07 c | 14.77 ± 0.40 c | 57.36 ± 0.29 a | 298.96 ± 7.31 b | 29.38 ± 0.17 d | 2.36 ± 0.93 a |
| H2S | 0.12 ± 0.00 c | 14.78 ± 0.19 bc | 57.39 ± 0.28 a | 267.19 ± 5.71 d | 17.85 ± 0.06 g | 2.04 ± 0.96 a | |
| 6 | Control | 0.22 ± 0.01 b | 15.00 ± 0.82 b | 56.42 ± 1.12 a | 305.84 ± 7.08 a | 34.82 ± 0.22 c | 2.37 ± 0.88 a |
| H2S | 0.15 ± 0.00 c | 15.14 ± 0.14 b | 57.28 ± 1.30 a | 270.38 ± 4.95 d | 19.83 ± 0.33 f | 2.05 ± 0.80 a | |
| 9 | Control | 0.34 ± 0.02 a | 15.04 ± 0.60 b | 56.44 ± 0.95 a | 292.04 ± 2.86 c | 40.44 ± 0.09 b | 2.39 ± 0.69 a |
| H2S | 0.18 ± 0.03 bc | 16.03 ± 0.34 a | 57.14 ± 0.60 a | 244.92 ± 4.14 f | 27.86 ± 0.08 e | 2.07 ± 0.85 a | |
| 12 | Control | 0.38 ± 0.04 a | 16.27 ± 0.41 a | 55.47 ± 0.37 a | 296.09 ± 5.19 b | 42.11 ± 0.25 a | 2.34 ± 1.79 a |
| H2S | 0.21 ± 0.02 b | 16.10 ± 0.17 a | 55.59 ± 0.39 a | 259.46 ± 5.66 e | 33.75 ± 0.14 c | 2.08 ± 0.90 a |
| Storage (h) | Treatment | Cyanidin-3- Glucoside | Catechin | Chlorogenic Acid | Neo-Chlorogenic Acid | Quercetin-3-Rutinoside | Quercetin-3-Glucoside | Kaempferol-3-Rutinoside | Quercetin-3-Galactoside |
|---|---|---|---|---|---|---|---|---|---|
| 0 | Control | 0.77 ± 0.09 g | 3.14 ± 0.00 h | 15.56 ± 0.00 f | 48.37 ± 0.12 e | 2.83 ± 0.03 c | 1.97 ± 0.01 d | 1.21 ± 0.01 f | 0.75 ± 0.02 a |
| H2S | 1.54 ± 0.38 e | 4.66 ± 0.01 f | 19.23 ± 0.01 e | 54.98 ± 0.08 d | 2.84 ± 0.01 c | 2.04 ± 0.01 c | 1.34 ± 0.01 e | 0.87 ± 0.04 a | |
| 3 | Control | 1.08 ± 0.07 f | 4.22 ± 0.06 g | 19.24 ± 0.08 e | 44.00 ± 0.14 g | 2.84 ± 0.01 c | 1.85 ± 0.03 e | 1.19 ± 0.01 f | 0.70 ± 0.03 a |
| H2S | 1.56 ± 0.07 e | 4.49 ± 0.04 f | 22.66 ± 0.00 c | 45.39 ± 0.34 f | 2.87 ± 0.01 b | 2.12 ± 0.01 b | 1.33 ± 0.00 e | 0.81 ± 0.07 a | |
| 6 | Control | 3.03 ± 0.26 b | 6.09 ± 0.02 b | 23.14 ± 0.68 b | 58.63 ± 0.58 c | 2.88 ± 0.01 b | 2.12 ± 0.01 b | 1.37 ± 0.01 d | 0.78 ± 0.01 a |
| H2S | 3.63 ± 0.21 a | 6.30 ± 0.03 a | 23.64 ± 0.03 a | 58.78 ± 0.26 c | 2.92 ± 0.01 a | 2.28 ± 0.02 a | 1.61 ± 0.01 a | 0.91 ± 0.15 a | |
| 9 | Control | 2.53 ± 0.10 c | 5.78 ± 0.04 c | 21.22 ± 0.06 c | 61.91 ± 0.76 b | 2.86 ± 0.01 b | 1.97 ± 0.00 d | 1.43 ± 0.01 c | 0.80 ± 0.09 a |
| H2S | 2.65 ± 0.10 c | 6.03 ± 0.01 b | 21.58 ± 0.04 c | 62.80 ± 0.02 a | 2.90 ± 0.01 a | 2.06 ± 0.01 c | 1.50 ± 0.01 b | 0.83 ± 0.08 a | |
| 12 | Control | 1.91 ± 0.19 d | 5.40 ± 0.01 e | 20.00 ± 0.05 d | 59.44 ± 0.37 c | 2.86 ± 0.01 b | 1.96 ± 0.01 d | 1.33 ± 0.01 e | 0.82 ± 0.04 a |
| H2S | 1.95 ± 0.16 d | 5.56 ± 0.01 d | 21.10 ± 0.02 c | 61.59 ± 0.21 b | 2.91 ± 0.00 a | 2.03 ± 0.01 c | 1.34 ± 0.01 e | 0.86 ± 0.11 a |
Disclaimer/Publisher’s Note: The statements, opinions and data contained in all publications are solely those of the individual author(s) and contributor(s) and not of MDPI and/or the editor(s). MDPI and/or the editor(s) disclaim responsibility for any injury to people or property resulting from any ideas, methods, instructions or products referred to in the content. |
© 2023 by the authors. Licensee MDPI, Basel, Switzerland. This article is an open access article distributed under the terms and conditions of the Creative Commons Attribution (CC BY) license (https://creativecommons.org/licenses/by/4.0/).
Share and Cite
Wang, L.; Zhang, C.; Shi, K.; Chen, S.; Shao, J.; Huang, X.; Wang, M.; Wang, Y.; Song, Q. Hydrogen Sulfide Enhances Browning Repression and Quality Maintenance in Fresh-Cut Peaches via Modulating Phenolic and Amino Acids Metabolisms. Foods 2023, 12, 1158. https://doi.org/10.3390/foods12061158
Wang L, Zhang C, Shi K, Chen S, Shao J, Huang X, Wang M, Wang Y, Song Q. Hydrogen Sulfide Enhances Browning Repression and Quality Maintenance in Fresh-Cut Peaches via Modulating Phenolic and Amino Acids Metabolisms. Foods. 2023; 12(6):1158. https://doi.org/10.3390/foods12061158
Chicago/Turabian StyleWang, Li, Chen Zhang, Kaili Shi, Shouchao Chen, Jiawei Shao, Xingli Huang, Mingliang Wang, Yanyan Wang, and Qingyuan Song. 2023. "Hydrogen Sulfide Enhances Browning Repression and Quality Maintenance in Fresh-Cut Peaches via Modulating Phenolic and Amino Acids Metabolisms" Foods 12, no. 6: 1158. https://doi.org/10.3390/foods12061158
APA StyleWang, L., Zhang, C., Shi, K., Chen, S., Shao, J., Huang, X., Wang, M., Wang, Y., & Song, Q. (2023). Hydrogen Sulfide Enhances Browning Repression and Quality Maintenance in Fresh-Cut Peaches via Modulating Phenolic and Amino Acids Metabolisms. Foods, 12(6), 1158. https://doi.org/10.3390/foods12061158

