The Measurement of Hazardous Biogenic Amines in Non-Alcoholic Beers: Efficient and Applicable Miniaturized Electro-Membrane Extraction Joined to Gas Chromatography-Mass Spectrometry
Abstract
1. Introduction
2. Materials and Methods
2.1. Chemicals and Reagents
2.2. Stock Standards Preparation
2.3. Equipment and Chromatography Analysis
2.4. Initial Sample Preparation
2.5. Electro-Membrane and Microextraction Process
2.6. Statistical Analysis
3. Results and Discussion
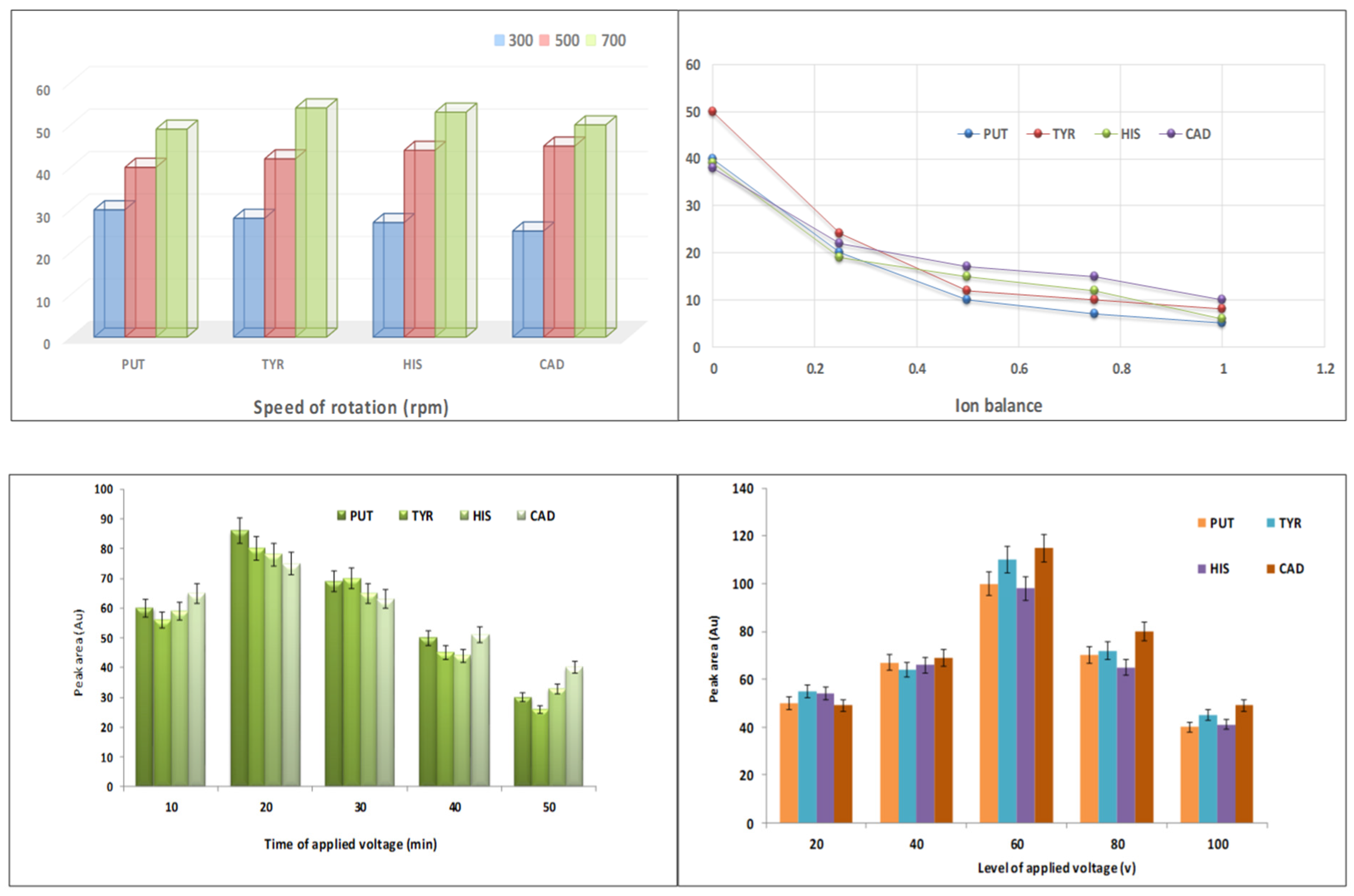
3.1. Optimization of HF-EME Technique
3.1.1. Speed of Rotation
3.1.2. Donor Phase and Acceptor Phase Nature (Ion Balance)
3.1.3. Time of Applied Potential
3.1.4. Applied Potential
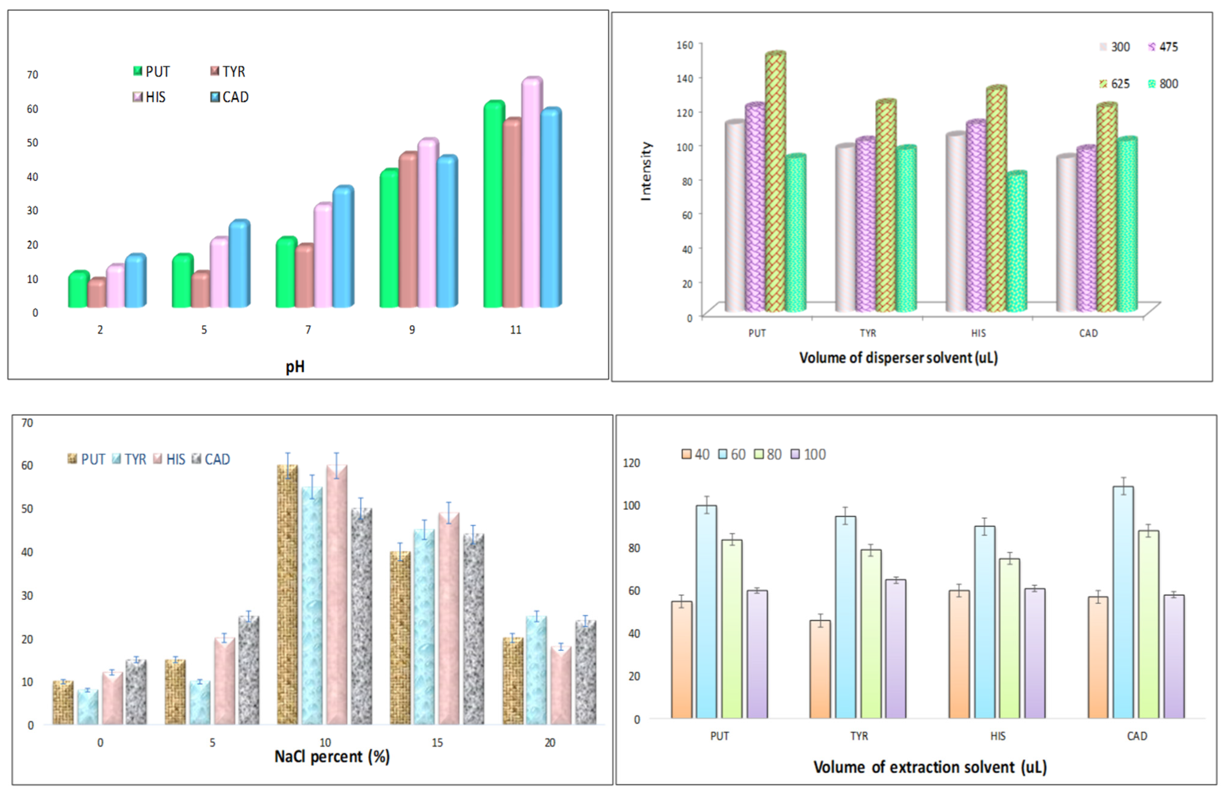
3.2. Optimization of DLLME Process
3.2.1. pH Level
3.2.2. Dispersive Solvent Volume
3.2.3. NaCl Percent (%)
3.2.4. Extraction Solvent Volume
3.3. Method Validation
3.4. Real Sample Analysis
4. Conclusions
Author Contributions
Funding
Institutional Review Board Statement
Informed Consent Statement
Data Availability Statement
Acknowledgments
Conflicts of Interest
References
- Koller, H.; Perkins, L.B. Brewing and the Chemical Composition of Amine-Containing Compounds in Beer: A Review. Foods 2022, 11, 257. [Google Scholar] [CrossRef] [PubMed]
- Aflaki, F.; Ghoulipour, V.; Saemian, N.; Sheibani, S. Biogenic Amine Contents in Non-Alcoholic Beers: Screening and Optimization of Derivatization. Food Anal. Methods 2014, 7, 713–720. [Google Scholar] [CrossRef]
- Arulkumar, A.; Paramithiotis, S.; Paramasivam, S. Biogenic Amines in Fresh Fish and Fishery Products and Emerging Control. Aquac. Fish. 2023, 8, 431–450. [Google Scholar] [CrossRef]
- Nalazek-Rudnicka, K.; Wojnowski, W.; Wasik, A. Occurrence and Levels of Biogenic Amines in Beers Produced by Different Methods. Foods 2021, 10, 2902. [Google Scholar] [CrossRef] [PubMed]
- Ruiz-Capillas, C.; Herrero, A.M. Impact of Biogenic Amines on Food Quality and Safety. Foods 2019, 8, 62. [Google Scholar] [CrossRef]
- Zhou, T.T.; Yigaimu, A.; Muhammad, T.; Jian, P.L.; Sha, L.N.; Zhang, S.B. Novel Carrier-Mediated Membrane-Assisted Three-Phase Liquid–Liquid Extraction Coupled with Liquid Chromatography–Mass Spectrometry for the Determination of Eight Biogenic Amines in Foods. Food Chem. 2022, 387, 132857. [Google Scholar] [CrossRef]
- Visciano, P.; Schirone, M. Update on Biogenic Amines in Fermented and Non-Fermented Beverages. Foods 2022, 11, 353. [Google Scholar] [CrossRef]
- Jackowski, M.; Trusek, A. Non-Alcoholic Beer Production—An Overview. Pol. J. Chem. Technol. 2018, 20, 32–38. [Google Scholar] [CrossRef]
- Salanță, L.C.; Coldea, T.E.; Ignat, M.V.; Pop, C.R.; Tofană, M.; Mudura, E.; Borșa, A.; Pasqualone, A.; Zhao, H. Non-Alcoholic and Craft Beer Production and Challenges. Processes 2020, 8, 32–38. [Google Scholar] [CrossRef]
- Perpetuini, G.; Tittarelli, F.; Battistelli, N.; Arfelli, G.; Suzzi, G.; Tofalo, R. Chapter 8: Biogenic Amines in Global Beverages. In Food Chemistry, Function and Analysis; Royal Scociety and Chemistry: London, UK, 2020. [Google Scholar]
- Bellut, K.; Arendt, E.K. Chance and Challenge: Non-Saccharomyces Yeasts in Nonalcoholic and Low Alcohol Beer Brewing—A Review. J. Am. Soc. Brew. Chem. 2019, 77, 77–91. [Google Scholar] [CrossRef]
- Mohammadi, M.; Kamankesh, M.; Hadian, Z.; Mortazavian, A.M.; Mohammadi, A. Determination of Biogenic Amines in Cheese Using Simultaneous Derivatization and Microextraction Method Followed by Gas Chromatography–Mass Spectrometry. Chromatographia 2017, 80, 119–126. [Google Scholar] [CrossRef]
- Parchami, R.; Kamalabadi, M.; Alizadeh, N. Determination of Biogenic Amines in Canned Fish Samples Using Head-Space Solid Phase Microextraction Based on Nanostructured Polypyrrole Fiber Coupled to Modified Ionization Region Ion Mobility Spectrometry. J. Chromatogr. A 2017, 1481, 37–43. [Google Scholar] [CrossRef] [PubMed]
- Qiao, N.; Tao, Z.; Xie, S.; Zhang, H.; Zhang, T.; Jiang, Y. Investigation of Biogenic Amines in Dried Bonito Flakes from Different Countries Using High-Performance Liquid Chromatography. Food Anal. Methods 2020, 13, 2213–2221. [Google Scholar] [CrossRef]
- Yue, C.S.; Selvi, C.; Tang, A.N.; Chee, K.N.; Ng, H.Y. Determination of Biogenic Amines in Malaysian Traditional Wine by High-Performance Liquid Chromatography (HPLC). Anal. Lett. 2021, 54, 1968–1994. [Google Scholar] [CrossRef]
- He, L.; Xu, Z.; Hirokawa, T.; Shen, L. Simultaneous Determination of Aliphatic, Aromatic and Heterocyclic Biogenic Amines without Derivatization by Capillary Electrophoresis and Application in Beer Analysis. J. Chromatogr. A 2017, 1482, 109–114. [Google Scholar] [CrossRef] [PubMed]
- Nalazek-Rudnicka, K.; Wasik, A. Development and Validation of an LC–MS/MS Method for the Determination of Biogenic Amines in Wines and Beers. Mon. Chem. 2017, 148, 1685–1696. [Google Scholar] [CrossRef]
- Angulo, M.F.; Flores, M.; Aranda, M.; Henriquez-Aedo, K. Fast and Selective Method for Biogenic Amines Determination in Wines and Beers by Ultra High-Performance Liquid Chromatography. Food Chem. 2020, 309, 125689. [Google Scholar] [CrossRef]
- Barzegar, F.; Kamankesh, M.; Mohammadi, A. Recent Development in Formation, Toxic Effects, Human Health and Analytical Techniques of Food Contaminants. Food Rev. Int. 2021, 1–27. [Google Scholar] [CrossRef]
- Barzegar, F.; Kamankesh, M.; Mohammadi, A. Development and Application of Microwave-Assisted Extraction and Advanced Low Density Microextraction Technique Coupled with High-Performance Liquid Chromatography for the Successful Determination of Heterocyclic Aromatic Amines in Barbecued Meat Sample and Method Optimization Using Response Surface Methodology. J. Food Meas. Charact. 2019, 13, 1755–1764. [Google Scholar] [CrossRef]
- Kamankesh, M.; Mohammadi, A.; Ghanati, K. Determination of Biogenic Amines in Lighvan Cheese Using a Novel Hollow-Fibre Electromembrane-Microextraction Coupled with Gas Chromatography–Mass Spectrometry. Int. J. Dairy Technol. 2021, 74, 759–767. [Google Scholar] [CrossRef]
- Makoś, P.; Słupek, E.; Gębicki, J. Hydrophobic Deep Eutectic Solvents in Microextraction Techniques—A Review. Microchem. J. 2020, 152, 104384. [Google Scholar] [CrossRef]
- Omidi, N.; Barzegar, F.; Abedi, A.S.; Kamankesh, M.; Ghanati, K.; Mohammadi, A. Response Surface Methodology of Quantitative of Heterocyclic Aromatic Amines in Fried Fish Using Efficient Microextraction Method Coupled with High-Performance Liquid Chromatography: Central Composite Design. J. Chromatogr. Sci. 2021, 59, 473–481. [Google Scholar] [CrossRef] [PubMed]
- Drouin, N.; Kubáň, P.; Rudaz, S.; Pedersen-Bjergaard, S.; Schappler, J. Electromembrane Extraction: Overview of the Last Decade. TrAC Trends Anal. Chem. 2019, 113, 357–363. [Google Scholar] [CrossRef]
- Tajdar-oranj, B.; Kamankesh, M.; Mohammadi, A. Application of Novel and Efficient Hollow Fiber Electro-Membrane Extraction Assisted by Microwave Extraction and High-Performance Liquid Chromatography for the Determination of Polar Heterocyclic Aromatic Amines in Hamburger. Microchem. J. 2021, 170, 106651. [Google Scholar] [CrossRef]
- Khan, W.A.; Arain, M.B.; Yamini, Y.; Shah, N.; Kazi, T.G.; Pedersen-Bjergaard, S.; Tajik, M. Hollow Fiber-Based Liquid Phase Microextraction Followed by Analytical Instrumental Techniques for Quantitative Analysis of Heavy Metal Ions and Pharmaceuticals. J. Pharm. Anal. 2020, 10, 109–122. [Google Scholar] [CrossRef]
- Amayreh, M.; Basheer, C.; Hassan, A. Conductive Cloth-Assisted Electromediated Extraction for the Determination of Biogenic Amines from Beverages. Arab. J. Sci. Eng. 2023, 48, 515–523. [Google Scholar] [CrossRef]
- Kamankesh, M.; Mollahosseini, A.; Mohammadi, A.; Seidi, S. Haas in Grilled Meat: Determination Using an Advanced Lab-on-a-Chip Flat Electromembrane Extraction Coupled with on-Line HPLC. Food Chem. 2020, 311, 125876. [Google Scholar] [CrossRef]
- Psillakis, E.; Kalogerakis, N. Developments in Liquid-Phase Microextraction. TrAC Trends Anal. Chem. 2003, 22, 565–574. [Google Scholar] [CrossRef]
- Ouyang, G.; Zhao, W.; Pawliszyn, J. Automation and Optimization of Liquid-Phase Microextraction by Gas Chromatography. J. Chromatogr. A 2007, 1138, 47–54. [Google Scholar] [CrossRef]
- Mohammadi, A.; Barzegar, F.; Kamankesh, M.; Khaneghah, A.M. Heterocyclic Aromatic Amines in Doner Kebab: Quantitation Using an Efficient Microextraction Technique Coupled with Reversed-Phase High-Performance Liquid Chromatography. Food Sci. Nutr. 2020, 8, 88–96. [Google Scholar] [CrossRef]
- Del Rio, B.; Redruello, B.; Linares, D.M.; Ladero, V.; Ruas-Madiedo, P.; Fernandez, M.; Martin, M.C.; Alvarez, M.A. The Biogenic Amines Putrescine and Cadaverine Show in Vitro Cytotoxicity at Concentrations That Can Be Found in Foods. Sci. Rep. 2019, 9, 120. [Google Scholar] [CrossRef] [PubMed]
- Da Silva, A.G.; Franco, D.L.; Santos, L.D. A Simple, Fast, and Direct Electrochemical Determination of Tyramine in Brazilian Wines Using Low-Cost Electrodes. Food Control 2021, 130, 108369. [Google Scholar] [CrossRef]
- Almeida, C.; Fernandes, J.O.; Cunha, S.C. A Novel Dispersive Liquid-Liquid Microextraction (DLLME) Gas Chromatography-Mass Spectrometry (GC-MS) Method for the Determination of Eighteen Biogenic Amines in Beer. Food Control 2012, 25, 380–388. [Google Scholar] [CrossRef]
- Miao, E.; Zhang, N.; Lu, S.; Hu, Y.; Fu, L.; Zhou, H.; Zhan, J.; Wu, M. Solid Phase “on-Situ” Quadraplex Isotope Dimethyl Labeling for the Analysis of Biogenic Amines in Beers by Liquid Chromatography-High Resolution Mass Spectrometry. J. Chromatogr. A 2020, 1613, 460712. [Google Scholar] [CrossRef] [PubMed]



| BAs | DLR (ng g−1) | R2 | LOD (ng g−1) | LOQ (ng g−1) | RSD % | Recovery (%) | EF |
|---|---|---|---|---|---|---|---|
| HYS | 1–5000 | 0.9906 | 0.92 | 3.03 | 7.0 | 96 | 41 |
| CAD | 1–5000 | 0.9760 | 0.98 | 3.23 | 5.5 | 97 | 37 |
| TYR | 1–5000 | 0.9882 | 0.93 | 3.06 | 4.9 | 94 | 36 |
| PUT | 1–5000 | 0.9958 | 0.96 | 3.16 | 6.2 | 98 | 39 |
| Instrumentation | Extraction Method | Food Products | Linear Range (ng g−1) | Recovery (%) | LOD | LOQ | RSD (%) | R2 | EF | Literature |
|---|---|---|---|---|---|---|---|---|---|---|
| GC/MS a | DLLME b | Beer | - | 73–95 | 0.3–2.9 μg L−1 | 1–9.5 μg L−1 | 0.3–2.9 | 1–6 | - | [32] |
| Capillary electrophoresis/UV | LLE c | Beer | - | 70.4–119.6 | 0.36–3.67 μmol L−1 | 1.2–12.2 μmol L−1 | 4.7< | - | - | [16] |
| LC/HRMS d | MSPE e | Beer | - | 32.9–83.5 | 0.02–0.05 μg L−1 | 0.05–0.1 μg L−1 | 2.2–5.0 | - | - | [33] |
| GC/MS | HF-EME-DLLME f | Non-alcoholic beer | 1–5000 | 94–98 | 0.92–0.98 | 3.03–3.23 | 4.9–7.0 | 0.9760–0.9958 | 36–41 | Current study |
| Samples | PUT | CAD | HYS | TYR | ||||||||
|---|---|---|---|---|---|---|---|---|---|---|---|---|
| Found Concentration (µg g−1) | Added Amount (µg g−1) | Analyzed Amount (µg g−1) | Found Concentration (µg g−1) | Added Amount (µg g−1) | Analyzed Amount (µg g−1) | Found Concentration (µg g−1) | Added Amount (µg g−1) | Analyzed Amount (µg g−1) | Found Concentration (µg g−1) | Added Amount (µg g−1) | Analyzed Amount (µg g−1) | |
| 1 | 2.10 ± 0.13 a | 2 | 4.01 ± 0.24 | 0.80 ± 0.04 | 2 | 2.71 ± 0.14 | 0.76 ± 0.05 | 2 | 2.64 ± 0.18 | 1.07 ± 0.05 | 2 | 2.88 ± 0.14 |
| 2 | 1.84 ± 0.11 | 2 | 3.76 ± 11.65 | 0.65 ± 0.03 | 2 | 2.57 ± 0.14 | 0.54 ± 0.03 | 2 | 2.43 ± 0.17 | 0.86 ± 0.04 | 2 | 2.68 ± 0.13 |
| 3 | 0.99 ± 0.06 | 2 | 2.93 ± 0.18 | 0.93 ± 0.05 | 2 | 2.84 ± 0.15 | 0.49 ± 0.03 | 2 | 2.39 ± 0.16 | 1.43 ± 0.07 | 2 | 3.22 ± 0.15 |
| 4 | 2.31 ± 0.14 | 2 | 4.22 ± 0.26 | 0.52 ± 0.02 | 2 | 2.44 ± 0.13 | 0.41 ± 0.02 | 2 | 2.31 ± 0.16 | 1.15 ± 0.05 | 2 | 2.96 ± 0.14 |
| 5 | 1.70 ± 0.10 | 2 | 3.62 ± 0.22 | 0.76 ± 0.04 | 2 | 2.67 ± 0.14 | 0.50 ± 0.03 | 2 | 2.40 ± 0.16 | 0.87 ± 0.04 | 2 | 2.69 ± 0.13 |
| 6 | 0.89 ± 0.05 | 2 | 2.83 ± 0.17 | 0.61 ± 0.03 | 2 | 2.53 ± 0.13 | 0.48 ± 0.03 | 2 | 2.38 ± 0.16 | 2.33 ± 0.11 | 2 | 4.07 ± 0.19 |
| 7 | 3.0 ± 0.18 | 2 | 4.90 ± 0.30 | 0.57 ± 0.03 | 2 | 2.49 ± 0.13 | 0.39 ± 0.02 | 2 | 2.29 ± 0.16 | 0.90 ± 0.04 | 2 | 2.72 ± 0.13 |
| 8 | 2.44 ± 0.15 | 2 | 4.35 ± 0.26 | 0.68 ± 0.03 | 2 | 2.59 ± 0.14 | 0.60 ± 0.04 | 2 | 2.49 ± 0.17 | 1.19 ± 0.05 | 2 | 2.99 ± 0.14 |
| 9 | 0.92 ± 0.05 | 2 | 2.86 ± 0.17 | 0.72 ± 0.03 | 2 | 2.63 ± 0.14 | 0.49 ± 0.03 | 2 | 2.39 ± 0.16 | 1.23 ± 0.06 | 2 | 3.03 ± 0.14 |
| 10 | 3.87 ± 0.23 | 2 | 5.75 ± 0.35 | 0.69 ± 0.03 | 2 | 2.60 ± 0.14 | 0.39 ± 0.02 | 2 | 2.29 ± 0.16 | 1.06 ± 0.05 | 2 | 4.03 ± 0.19 |
Disclaimer/Publisher’s Note: The statements, opinions and data contained in all publications are solely those of the individual author(s) and contributor(s) and not of MDPI and/or the editor(s). MDPI and/or the editor(s) disclaim responsibility for any injury to people or property resulting from any ideas, methods, instructions or products referred to in the content. |
© 2023 by the authors. Licensee MDPI, Basel, Switzerland. This article is an open access article distributed under the terms and conditions of the Creative Commons Attribution (CC BY) license (https://creativecommons.org/licenses/by/4.0/).
Share and Cite
Kamankesh, M.; Barzegar, F.; Shariatifar, N.; Mohammadi, A. The Measurement of Hazardous Biogenic Amines in Non-Alcoholic Beers: Efficient and Applicable Miniaturized Electro-Membrane Extraction Joined to Gas Chromatography-Mass Spectrometry. Foods 2023, 12, 1141. https://doi.org/10.3390/foods12061141
Kamankesh M, Barzegar F, Shariatifar N, Mohammadi A. The Measurement of Hazardous Biogenic Amines in Non-Alcoholic Beers: Efficient and Applicable Miniaturized Electro-Membrane Extraction Joined to Gas Chromatography-Mass Spectrometry. Foods. 2023; 12(6):1141. https://doi.org/10.3390/foods12061141
Chicago/Turabian StyleKamankesh, Marzieh, Fatemeh Barzegar, Nabi Shariatifar, and Abdorreza Mohammadi. 2023. "The Measurement of Hazardous Biogenic Amines in Non-Alcoholic Beers: Efficient and Applicable Miniaturized Electro-Membrane Extraction Joined to Gas Chromatography-Mass Spectrometry" Foods 12, no. 6: 1141. https://doi.org/10.3390/foods12061141
APA StyleKamankesh, M., Barzegar, F., Shariatifar, N., & Mohammadi, A. (2023). The Measurement of Hazardous Biogenic Amines in Non-Alcoholic Beers: Efficient and Applicable Miniaturized Electro-Membrane Extraction Joined to Gas Chromatography-Mass Spectrometry. Foods, 12(6), 1141. https://doi.org/10.3390/foods12061141
