Fortification of Crude Protein Extract from Sung Yod and Hom Rajinee Rice Brans in the Development of Functional Jelly Products
Abstract
1. Introduction
2. Materials and Methods
2.1. Rice Brans and Crude Protein Extract
2.2. Experimental Design of the Suitable Quantity of Crude Protein Extract
2.3. Physicochemical and Texture Analysis
2.3.1. Moisture Content and Water Activity (aw)
2.3.2. Determination of Color Value (L* a* b*)
2.3.3. Hardness
2.3.4. Total Phenolic Content (TPC)
2.3.5. Total Flavonoid Content (TFC)
2.3.6. Antioxidant Activities
2.3.7. Angiotensin I Converting Enzyme (ACE) Inhibitory Activity
2.3.8. Sensory Evaluation
2.4. Statistical Analysis
3. Results and Discussion
3.1. Properties of the SY and HR Crude Protein Extracts
3.2. Effect of the Crude Protein Extracts on the Properties of the Fortified Jelly
3.2.1. Physical Properties of the Fortified Jelly Using the Crude Protein Extracts from the Sung Yod and Hom Rajinee Rice Brans
3.2.2. Chemical Properties of the Fortified Jelly Using the Crude Protein Extracts from the Sung Yod and Hom Rajinee Rice Brans
3.2.3. Sensory Evaluation of the Fortified Jelly Using the Crude Protein Extracts from the Sung Yod and Hom Rajinee Rice Brans
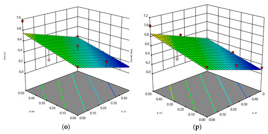
3.3. Model Fitting for the Fortified Jelly Using the Crude Protein Extracts from the Sung Yod and Hom Rajinee Rice Brans
3.4. Model Validation of the Fortified Jelly Using the Crude Protein Extracts from the Sung Yod and Hom Rajinee Rice Brans
4. Conclusions
Author Contributions
Funding
Institutional Review Board Statement
Informed Consent Statement
Data Availability Statement
Acknowledgments
Conflicts of Interest
References
- Gul, K.; Yousuf, B.; Singh, A.; Singh, P.; Wani, A.A. Rice bran: Nutritional values and its emerging potential for development of functional food—A review. Bioact. Carbohydr. Diet. Fibre 2015, 6, 24–30. [Google Scholar] [CrossRef]
- Hayta, M.; Benli, B.; İşçimen, E.M.; Kaya, A. Antioxidant and antihypertensive protein hydrolysates from rice bran: Optimization of microwave assisted extraction. J. Food Meas. Charact. 2021, 15, 2904–2914. [Google Scholar] [CrossRef]
- Wang, N.; Cui, X.; Duan, Y.; Yang, S.; Wang, P.; Saleh, A.S.; Xiao, Z. Potential health benefits and food applications of rice bran protein: Research advances and challenges. Food Rev. Int. 2021, 1, 1–24. [Google Scholar] [CrossRef]
- Zaky, A.A.; Chen, Z.; Liu, Y.; Li, S.; Jia, Y. Preparation and assessment of bioactive extracts having antioxidant activity from rice bran protein hydrolysates. J. Food Meas. Charact. 2019, 13, 2542–2548. [Google Scholar] [CrossRef]
- Amagliani, L.; O’Regan, J.; Kelly, A.L.; O’Mahony, J.A. The composition, extraction, functionality and applications of rice proteins: A review. Trends Food Sci. Technol. 2017, 64, 1–12. [Google Scholar] [CrossRef]
- Yu, Y.; Gaine, G.K.; Zhou, L.; Zhang, J.; Wang, J.; Sun, B. The classical and potential novel healthy functions of rice bran protein and its hydrolysates. Crit. Rev. Food Sci. Nutr. 2022, 62, 8454–8466. [Google Scholar] [CrossRef] [PubMed]
- Gong, X.; Sui, L.; Morton, J.; Brennan, M.A.; Brennan, C.S. Investigation of nutritional and functional effects of rice bran protein hydrolysates by using Preferred Reporting Items for Systematic Reviews and Meta-Analysis (PRISMA) guidelines: A review. Trends Food Sci. Technol. 2021, 110, 798–811. [Google Scholar] [CrossRef]
- Fabian, C.; Ju, Y.-H. A review on rice bran protein: Its properties and extraction methods. Crit. Rev. Food Sci. Nutr. 2011, 51, 816–827. [Google Scholar] [CrossRef]
- Ghorbani-HasanSaraei, A.; Rafe, A.; Shahidi, S.A.; Atashzar, A. Microstructure and chemorheological behavior of whipped cream as affected by rice bran protein addition. Food Sci. Nutr. 2019, 7, 875–881. [Google Scholar] [CrossRef]
- Supawong, S.; Park, J.W.; Thawornchinsombut, S. Effect of rice bran hydrolysates on physicochemical and antioxidative characteristics of fried fish cakes during repeated freeze-thaw cycles. Food Biosci. 2019, 32, 100471. [Google Scholar] [CrossRef]
- Renaldi, G.; Junsara, K.; Jannu, T.; Sirinupong, N.; Samakradhamrongthai, R.S. Physicochemical, textural, and sensory qualities of pectin/gelatin gummy jelly incorporated with Garcinia atroviridis and its consumer acceptability. Int. J. Gastron. Food Sci. 2022, 28, 100505. [Google Scholar] [CrossRef]
- De Avelar, M.H.M.; de Castilho Queiroz, G.; Efraim, P. Sustainable performance of cold-set gelation in the confectionery manufacturing and its effects on perception of sensory quality of jelly candies. Clean. Eng. Technol. 2020, 1, 100005. [Google Scholar] [CrossRef]
- Konar, N.; Gunes, R.; Palabiyik, I.; Toker, O.S. Health conscious consumers and sugar confectionery: Present aspects and projections. Trends Food Sci. Technol. 2022, 123, 57–68. [Google Scholar] [CrossRef]
- Jan-On, G.; Sangartit, W.; Pakdeechote, P.; Kukongviriyapan, V.; Senaphan, K.; Boonla, O.; Thongraung, C.; Kukongviriyapan, U. Antihypertensive effect and safety evaluation of rice bran hydrolysates from Sang-Yod rice. Plant Foods Hum. Nutr. 2020, 75, 89–95. [Google Scholar] [CrossRef] [PubMed]
- Wang, C.; Li, D.; Xu, F.; Hao, T.; Zhang, M. Comparison of two methods for the extraction of fractionated rice bran protein. J. Chem. 2014, 1, 546345. [Google Scholar] [CrossRef]
- Singh, T.P.; Siddiqi, R.A.; Sogi, D.S. Statistical optimization of enzymatic hydrolysis of rice bran protein concentrate for enhanced hydrolysate production by papain. LWT Food Sci. Technol. 2019, 99, 77–83. [Google Scholar] [CrossRef]
- Zhao, Q.; Xiong, H.; Selomulya, C.; Chen, X.D.; Huang, S.; Ruan, X.; Zhou, Q.; Sun, W. Effects of spray drying and freeze drying on the properties of protein isolate from rice dreg protein. Food Bioprocess Technol. 2013, 6, 1759–1769. [Google Scholar] [CrossRef]
- Chandi, G.K.; Sogi, D. Functional properties of rice bran protein concentrates. J. Food Eng. 2007, 79, 592–597. [Google Scholar] [CrossRef]
- Horwitz, W. Agricultural Chemicals, Contaminants, Drugs. In Official Methods of Analysis of AOAC International; Horwitz, W., Ed.; AOAC Internationa: Gaithersburg, Maryland, 2010; Volume I. [Google Scholar]
- Ben Rejeb, I.; Dhen, N.; Kassebi, S.; Gargouri, M. Quality evaluation and functional properties of reduced sugar jellies formulated from citrus fruits. J. Chem. 2020, 1, 5476872. [Google Scholar] [CrossRef]
- Aumpa, P.; Khawsud, A.; Jannu, T.; Renaldi, G.; Utama-Ang, N.; Bai-Ngew, S.; Walter, P.; Samakradhamrongthai, R.S. Determination for a suitable ratio of dried black pepper and cinnamon powder in the development of mixed-spice ice cream. Sci. Rep. 2022, 12, 1–10. [Google Scholar] [CrossRef]
- Lim, S.-M.; Lee, N.-K.; Park, K.-K.; Yoon, Y.-C.; Paik, H.-D. ACE-inhibitory effect and physicochemical characteristics of yogurt beverage fortified with whey protein hydrolysates. Food Sci. Anim. Resour. 2011, 31, 886–892. [Google Scholar] [CrossRef]
- Shahidi, F.; Zhong, Y. Bioactive peptides. J. AOAC Int. 2008, 91, 914–931. [Google Scholar] [CrossRef] [PubMed]
- Zou, J.-J.; Liu, C.-J.; Eliasson, B. Modification of starch by glow discharge plasma. Carbohydr. Polym. 2004, 55, 23–26. [Google Scholar] [CrossRef]
- Weijers, M.; van de Velde, F.; Stijnman, A.; van de Pijpekamp, A.; Visschers, R.W. Structure and rheological properties of acid-induced egg white protein gels. Food Hydrocoll. 2006, 20, 146–159. [Google Scholar] [CrossRef]
- Nguyen, T.T.; Olawuyi, I.F.; Park, J.J.; Lee, W.Y. Characteristics of edible jelly enriched with antioxidant and calcium-rich fractions of dandelion leaf polysaccharide extracts. J. Food Meas. Charact. 2022, 16, 1312–1324. [Google Scholar] [CrossRef]



| Parameters | SY Crude Protein Extract | HR Crude Protein Extract |
|---|---|---|
| TPC (mg GAE/g) | 81.78 ± 1.48 a | 15.62 ± 0.63 b |
| TFC (mg CE/g) | 20.66 ± 0.02 a | 3.95 ± 0.08 b |
| Antioxidant activities | ||
| —ABTS (mg TE/g) | 22.13 ± 0.53 a | 9.98 ± 0.33 b |
| —DPPH (mg TE/g) | 3.28 ± 0.03 a | 2.81 ± 0.01 b |
| —FRAP (mg TE/g) | 21.02 ± 0.24 a | 10.72 ± 0.15 b |
| ACE inhibitory activity (%) | 22.26 ± 0.47 b | 23.96 ± 0.64 a |
| Formula | Factors (%) | Moisture (%) | aw ns 2 | Color | Gel Strength (N) | |||
|---|---|---|---|---|---|---|---|---|
| SY (A) | HR (B) | L* | a* | b* | ||||
| 1 | 0.00 | 0.50 | 84.95 ± 0.23 e | 0.990 ± 0.001 | 55.21 ± 0.15 b | −0.35 ± 0.07 f | 19.55 ± 0.15 e | 0.51 ± 0.01 a |
| 2 | 0.25 | 0.25 | 85.45 ± 0.16 cd | 0.989 ± 0.002 | 52.37 ± 0.42 d | 2.21 ± 0.32 e | 22.40 ± 0.28 b | 0.24 ± 0.01 de |
| 3 | 0.00 | 0.25 | 85.50 ± 0.20 cd | 0.988 ± 0.001 | 54.52 ± 0.14 c | −0.39 ± 0.10 f | 20.41 ± 0.26 d | 0.23 ± 0.00 de |
| 4 | 0.50 | 0.50 | 85.74 ± 0.22 bc | 0.989 ± 0.001 | 46.18 ± 0.12 h | 4.07 ± 0.03 c | 23.67 ± 0.04 a | 0.26 ± 0.00 c |
| 5 | 0.00 | 0.00 | 85.01 ± 0.13 e | 0.988 ± 0.001 | 60.14 ± 0.11 a | −1.08 ± 0.08 g | 18.57 ± 0.15 f | 0.33 ± 0.00 b |
| 6 | 0.25 | 0.25 | 85.36 ± 0.16 d | 0.989 ± 0.002 | 49.26 ± 0.23 f | 2.19 ± 0.18 e | 21.41 ± 0.08 c | 0.24 ± 0.01 d |
| 7 | 0.25 | 0.50 | 86.01 ± 0.24 b | 0.960 ± 0.052 | 52.37 ± 0.42 d | 2.21 ± 0.32 e | 22.40 ± 0.28 b | 0.20 ± 0.00 f |
| 8 | 0.25 | 0.00 | 85.68 ± 0.15 bcd | 0.994 ± 0.003 | 51.56 ± 0.28 e | 2.83 ± 0.31 d | 22.31 ± 0.18 b | 0.22 ± 0.01 e |
| 9 | 0.50 | 0.25 | 84.87 ± 0.21 e | 0.989 ± 0.001 | 43.26 ± 0.32 i | 5.41 ± 0.43 a | 22.52 ± 1.29 b | 0.27 ± 0.01 c |
| 10 | 0.50 | 0.00 | 86.40 ± 0.05 a | 0.992 ± 0.003 | 48.06 ± 0.03 g | 4.83 ± 0.07 b | 23.53 ± 0.12 a | 0.19 ± 0.00 f |
| Formula | Factors (%) | TPC (mg GAE/100 g Sample) | TFC (mg CE/100 g Sample) | Antioxidant Activities | ACE-Inhibitory Activity/100 g Jelly (%) | |||
|---|---|---|---|---|---|---|---|---|
| SY (A) | HR (B) | DPPH (mg TE/100 g Sample) | ABTS (mg TE/100 g Sample) | FRAP (mg TE/100 g Sample) | ||||
| 1 | 0.00 | 0.50 | 719 ± 97 g | 229 ± 23 g | 147 ± 4 c | 537 ± 23 f | 553 ± 2 f | 23.83 ± 0.64 c |
| 2 | 0.25 | 0.25 | 2414 ± 44 e | 599 ± 20 e | 153 ± 15 c | 805 ± 22 e | 801 ± 19 e | 23.02 ± 0.11 d |
| 3 | 0.00 | 0.25 | 372 ± 18 h | 96 ± 6 h | 78 ± 3 d | 243 ± 15 g | 278 ± 9 h | 11.93 ± 0.32 f |
| 4 | 0.50 | 0.50 | 4944 ± 87 a | 1203 ± 42 a | 310 ± 5 a | 1586 ± 26 a | 1616 ± 18 a | 46.46 ± 0.25 a |
| 5 | 0.00 | 0.00 | 332 ± 20 h | 55 ± 11 h | 48 ± 6 e | 532 ± 18 f | 116 ± 7 e | 0.00 ± 0.00 h |
| 6 | 0.25 | 0.25 | 2472 ± 41 e | 606 ± 8 e | 156 ± 12 c | 818 ± 12 e | 812 ± 5 i | 23.19 ± 0.11 d |
| 7 | 0.25 | 0.50 | 2829 ± 72 d | 707 ± 9 d | 250 ± 16 b | 1044 ± 11 d | 1071 ± 9 c | 34.82 ± 0.42 b |
| 8 | 0.25 | 0.00 | 2103 ± 52 f | 511 ± 2 f | 83 ± 5 d | 555 ± 10 f | 519 ± 7 g | 11.17 ± 0.24 g |
| 9 | 0.50 | 0.25 | 4328 ± 52 b | 1101 ± 31 b | 244 ± 1 b | 1346 ± 21 b | 1330 ± 12 b | 34.32 ± 0.18 b |
| 10 | 0.50 | 0.00 | 4192 ± 82 c | 1048 ± 43 c | 162 ± 6 c | 1107 ± 5 c | 1032 ± 17 d | 22.15 ± 0.47 e |
| Formula | Factors (%) | Appearance | Color | Texture While Scooping | Texture While Chewing | Flavor ns 2 | Sweetness ns | Sourness ns | Aftertaste | Overall Liking | |
|---|---|---|---|---|---|---|---|---|---|---|---|
| SY (A) | HR (B) | ||||||||||
| 1 | 0.00 | 0.50 | 6.9 ± 1.1 ab | 7.2 ± 0.8 a | 7.3 ± 0.9 a | 7.3 ± 1.0 a | 6.9 ± 1.0 | 6.8 ± 1.0 | 6.9 ± 1.1 | 7.0 ± 0.9 a | 7.0 ± 1.1 a |
| 2 | 0.25 | 0.25 | 6.6 ± 1.1 bcd | 6.8 ± 0.9 abc | 6.8 ± 0.8 b | 6.7 ± 1.1 bc | 6.5 ± 1.0 | 6.4 ± 1.1 | 6.4 ± 1.2 | 6.5 ± 1.1 b | 6.4 ± 1.3 bc |
| 3 | 0.00 | 0.25 | 6.7 ± 1.1 ab | 7.0 ± 1.2 ab | 6.7 ± 1.1 bc | 6.6 ± 1.0 bc | 6.5 ± 0.9 | 6.4 ± 0.9 | 6.5 ± 1.0 | 6.4 ± 0.9 b | 6.5 ± 1.0 bc |
| 4 | 0.50 | 0.50 | 6.1 ± 1.5 cd | 6.5 ± 1.2 c | 6.4 ± 1.0 bc | 6.4 ± 0.9 bc | 6.7 ± 1.1 | 6.5 ± 0.9 | 6.6 ± 1.0 | 6.4 ± 0.9 b | 6.4 ± 0.9 bc |
| 5 | 0.00 | 0.00 | 7.1 ± 1.1 a | 7.2 ± 1.0 a | 6.8 ± 1.2 b | 6.8 ± 1.2 b | 6.6 ± 1.2 | 6.4 ± 1.0 | 6.5 ± 1.0 | 6.5 ± 1.2 b | 6.6 ± 1.4 b |
| 6 | 0.25 | 0.25 | 6.3 ± 1.6 bcd | 6.7 ± 1.1 bc | 6.2 ± 1.3 c | 6.3 ± 1.2 bc | 6.2 ± 1.1 | 6.2 ± 1.0 | 6.2 ± 1.4 | 6.2 ± 1.2 b | 6.3 ± 1.1 bc |
| 7 | 0.25 | 0.50 | 6.3 ± 1.4 bcd | 6.8 ± 1.0 abc | 6.5 ± 0.9 bc | 6.5 ± 1.0 bc | 6.6 ± 0.8 | 6.5 ± 0.7 | 6.6 ± 0.7 | 6.5 ± 0.9 b | 6.7 ± 0.8 ab |
| 8 | 0.25 | 0.00 | 6.7 ± 1.2 abc | 6.9 ± 0.8 abc | 6.7 ± 0.9 bc | 6.6 ± 1.0 bc | 6.5 ± 0.8 | 6.3 ± 0.8 | 6.6 ± 0.9 | 6.4 ± 0.9 b | 6.4 ± 0.9 bc |
| 9 | 0.50 | 0.25 | 6.2 ± 1.5 bcd | 6.6 ± 1.2 c | 6.4 ± 1.3 bc | 6.4 ± 1.3 bc | 6.4 ± 1.0 | 6.4 ± 1.0 | 6.4 ± 1.0 | 6.2 ± 1.1 b | 6.3 ± 1.2 bc |
| 10 | 0.50 | 0.00 | 6.0 ± 1.5 d | 6.5 ± 1.1 c | 6.4 ± 0.9 bc | 6.3 ± 1.2 c | 6.5 ± 0.9 | 6.5 ± 0.9 | 6.4 ± 0.9 | 6.2 ± 0.9 b | 6.1 ± 1.0 c |
| Variables | Model | R2 | p-Value |
|---|---|---|---|
| Physical properties | |||
| L* | 57.68 − 21.58A − 3.99B | 0.8535 | <0.01 |
| a* | −0.39 + 10.75A − 0.43B | 0.9635 | <0.01 |
| b* | 19.61 + 7.46A + 0.81B | 0.8307 | <0.01 |
| Chemical properties | |||
| TPC (mg GAE/100 g) | 152.98 + 8027.56A + 1243.33B | 0.9960 | <0.01 |
| TFC (mg CE/100 g) | 32.94 + 1980.89A + 350.00B | 0.9980 | <0.01 |
| DPPH (mg TE/100 g) | 20.07 + 295.78A + 276.22B | 0.9723 | <0.01 |
| ABTS (mg TE/100 g) | 240.93 + 1817.56A + 647.78B | 0.9022 | <0.01 |
| FRAP (mg TE/100 g) | 45.46 + 2020.89A + 1048.89B | 0.9939 | <0.01 |
| ACE inhibition (%) | −0.07 + 44.78A + 47.86B | 0.9999 | <0.01 |
| Sensory properties | |||
| Appearance | 6.98 − 1.62A − 0.29B | 0.8590 | <0.01 |
| Color | 7.15 − 1.20A − 0.09B | 0.9262 | <0.01 |
| Texture in mouth | 6.76 − 1.03A + 0.36B | 0.5998 | 0.04 |
| Sweetness | 6.40 − 0.87A − 0.14B + 2.09A2 + 1.83B2 −1.60AB | 0.7845 | 0.04 |
| Sourness | 6.58 − 0.33A − 1.31B + 3.38B2 | 0.5352 | 0.10 |
| Aftertaste | 6.49 − 0.73A + 0.53B | 0.6773 | 0.02 |
| Overall liking | 6.54 − 0.91A + 0.64B | 0.8176 | <0.01 |
| Characteristic | Predicted Value | Experimental Value | % Error |
|---|---|---|---|
| L* | 51.29 | 39.75 ± 0.07 | 22.50 |
| a* | 2.19 | 3.61 ± 0.11 | 39.34 |
| b* | 21.68 | 17.32 ± 0.20 | 20.11 |
| TPC (mg GAE/100 g DW sample) | 2470.70 | 2398.75 ± 55.32 | 2.91 |
| TFC (mg CE/100 g DW sample) | 615.67 | 677.79 ± 23.32 | 9.17 |
| DPPH (mg TE/100 g DW sample) | 163.07 | 169.97 ± 11.21 | 4.06 |
| ABTS (mg TE/100 g DW sample) | 857.27 | 895.45 ± 26.22 | 4.26 |
| FRAP (mg TE/100 g DW sample) | 812.90 | 833.98 ± 11.78 | 2.53 |
| ACE inhibition (%) | 23.09 | 28.85 ± 0.55 | 19.97 |
| Appearance | 6.50 | 6.93 ± 1.0 | 6.20 |
| Color | 6.83 | 6.85 ± 0.9 | 0.29 |
| Texture in mouth | 6.59 | 6.51 ± 1.3 | 1.21 |
| Sweetness | 6.29 | 6.64 ± 1.2 | 5.27 |
| Sourness | 6.38 | 6.78 ± 0.9 | 5.90 |
| Aftertaste | 6.44 | 6.83 ± 1.0 | 5.71 |
| Overall liking | 6.48 | 6.87 ± 0.8 | 5.68 |
Disclaimer/Publisher’s Note: The statements, opinions and data contained in all publications are solely those of the individual author(s) and contributor(s) and not of MDPI and/or the editor(s). MDPI and/or the editor(s) disclaim responsibility for any injury to people or property resulting from any ideas, methods, instructions or products referred to in the content. |
© 2023 by the authors. Licensee MDPI, Basel, Switzerland. This article is an open access article distributed under the terms and conditions of the Creative Commons Attribution (CC BY) license (https://creativecommons.org/licenses/by/4.0/).
Share and Cite
Junsara, K.; Yupanqui, C.T.; Kawee-ai, A.; Samakradhamrongthai, R.S. Fortification of Crude Protein Extract from Sung Yod and Hom Rajinee Rice Brans in the Development of Functional Jelly Products. Foods 2023, 12, 1138. https://doi.org/10.3390/foods12061138
Junsara K, Yupanqui CT, Kawee-ai A, Samakradhamrongthai RS. Fortification of Crude Protein Extract from Sung Yod and Hom Rajinee Rice Brans in the Development of Functional Jelly Products. Foods. 2023; 12(6):1138. https://doi.org/10.3390/foods12061138
Chicago/Turabian StyleJunsara, Kanthaporn, Chutha Takahashi Yupanqui, Arthitaya Kawee-ai, and Rajnibhas Sukeaw Samakradhamrongthai. 2023. "Fortification of Crude Protein Extract from Sung Yod and Hom Rajinee Rice Brans in the Development of Functional Jelly Products" Foods 12, no. 6: 1138. https://doi.org/10.3390/foods12061138
APA StyleJunsara, K., Yupanqui, C. T., Kawee-ai, A., & Samakradhamrongthai, R. S. (2023). Fortification of Crude Protein Extract from Sung Yod and Hom Rajinee Rice Brans in the Development of Functional Jelly Products. Foods, 12(6), 1138. https://doi.org/10.3390/foods12061138

