Colloidal Nanoparticles Isolated from Duck Soup Exhibit Antioxidant Effect on Macrophages and Enterocytes
Abstract
1. Introduction
2. Materials and Methods
2.1. Materials
2.2. The Preparation of Duck Soup
2.3. Separation of the CNPs from the Duck Soup
2.4. The Morphologies of the CNPs
2.5. Major Compositions Analysis of the CNPs
2.6. Determination of Antioxidant Activities
2.7. Toxicity Test of the CNPs on Cells
2.8. Observation of the Uptake of CNPs by Raw 264.7 Cells and Caco-2 Cells
2.9. Detection of Cell Membrane Potential and Mitochondrial Superoxide
2.10. Statistical Analysis
3. Results and Discussion
3.1. Isolation and Properties of the CNPs
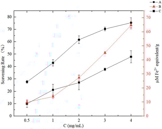
3.2. Major Components and Antioxidant Activities of CNPs
3.3. Cytotoxicities of CNPs
3.4. Interactions of Caco-2 Cells and Raw 264.7 Cells with CNPs
3.5. Determination of Membrane Potential and Mitochondrial Superoxide Content in Cells
4. Conclusions
Author Contributions
Funding
Data Availability Statement
Conflicts of Interest
References
- Zhao, L.; Temelli, F. Preparation of anthocyanin-loaded liposomes using an improved supercritical carbon dioxide method. Innov. Food Sci. Emerg. Technol. 2017, 39, 119–128. [Google Scholar] [CrossRef]
- Yang, T.; Zheng, J.; Zheng, B.S.; Liu, F.; Wang, S.; Tang, C.H. High Internal Phase Emulsions Stabilized by Starch Nanocrystals. Food Hydrocoll. 2018, 82, 230–238. [Google Scholar] [CrossRef]
- Yu, Z.; Gao, G.; Wang, H.; Ke, L.; Luo, S. Identification of protein-polysaccharide nanoparticles carrying hepatoprotective bioactives in freshwater clam (Corbicula fluminea Muller) soup. Int. J. Biol. Macromol. 2020, 151, 781–786. [Google Scholar] [CrossRef]
- Zhou, J.; Gao, G.; Chu, Q.; Wang, H.; Rao, P.; Ke, L. Chromatographic isolation of nanoparticles from Ma-Xing-Shi-Gan-Tang decoction and their characterization. J. Ethnopharmacol. 2014, 151, 1116–1123. [Google Scholar] [CrossRef] [PubMed]
- Ke, L.; Wang, H.; Gao, G.; Rao, P.; He, L.; Zhou, J. Direct interaction of food derived colloidal micro/nano-particles with oral macrophages. npj Sci. Food 2017, 1, 3. [Google Scholar] [CrossRef]
- Zou, J.; Xu, M.; Zou, Y.; Yang, B. Chemical compositions and sensory characteristics of pork rib and Silkie chicken soups prepared by various cooking techniques. Food Chem. 2021, 345, 128755. [Google Scholar] [CrossRef]
- He, W.; Bu, Y.; Wang, W.; Zhu, W.; Li, X.; Li, J.; Zhang, Y. Effects of Thermoultrasonic Treatment on Characteristics of Micro-Nano Particles and Flavor in Greenland Halibut Bone Soup. Soc. Sci. Electron. Publ. 2021, 79, 105785. [Google Scholar] [CrossRef]
- De Schepper, S.; Verheijden, S.; Aguilera-Lizarraga, J.; Viola, M.F.; Boesmans, W.; Stakenborg, N.; Voytyuk, I.; Schmidt, I.; Boeckx, B.; Dierckx de Casterle, I.; et al. Self-Maintaining Gut Macrophages Are Essential for Intestinal Homeostasis. Cell 2018, 175, 400–415. [Google Scholar] [CrossRef]
- Xu, C.; Lu, Z.; Luo, Y.; Liu, Y.; Cao, Z.; Shen, S.; Li, H.; Liu, J.; Chen, K.; Chen, Z.; et al. Targeting of NLRP3 inflammasome with gene editing for the amelioration of inflammatory diseases. Nat. Commun. 2018, 9, 4092. [Google Scholar] [CrossRef]
- Jing, W.; Zhang, X.; Sun, W.; Hou, X.; Yao, Z.; Zhu, Y. CRISPR/CAS9-Mediated Genome Editing of miRNA-155 Inhibits Proinflammatory Cytokine Production by RAW264.7 Cells. BioMed Res. Int. 2015, 2015, 326042. [Google Scholar] [CrossRef]
- Campbell, E.L.; Colgan, S.P. Control and dysregulation of redox signalling in the gastrointestinal tract. Nat. Rev. Gastroenterol. Hepatol. 2019, 16, 106–120. [Google Scholar] [CrossRef] [PubMed]
- Ding, X.; Hu, X.; Chen, Y.; Xie, J.; Ying, M.; Wang, Y.; Yu, Q. Differentiated Caco-2 cell models in food-intestine interaction study: Current applications and future trends. Trends Food Sci. Technol. 2021, 107, 455–465. [Google Scholar] [CrossRef]
- Kang, K.A.; Lee, K.H.; Chae, S.; Zhang, R.; Jung, M.S.; Lee, Y.; Kim, S.Y.; Kim, H.S.; Joo, H.G.; Park, J.W. Eckol isolated from Ecklonia cava attenuates oxidative stress induced cell damage in lung fibroblast cells. FEBS Lett. 2005, 579, 6295–6304. [Google Scholar] [CrossRef]
- Ngo, D.N.; Kim, M.M.; Kim, S.K. Protective effects of aminoethyl-chitooligosaccharides against oxidative stress in mouse macrophage RAW 264.7 cells. Int. J. Biol. Macromol. 2012, 50, 624–631. [Google Scholar] [CrossRef] [PubMed]
- An, J.; Yang, C.; Li, Z.; Finn, P.W.; Perkins, D.L.; Sun, J.; Bai, Z.; Gao, L.; Zhang, M.; Ren, D. In vitro antioxidant activities of Rhodobacter sphaeroides and protective effect on Caco-2 cell line model. Appl. Microbiol. Biotechnol. 2019, 103, 917–927. [Google Scholar] [CrossRef]
- Kang, H.; Lee, Y.; Bae, M.; Park, Y.K.; Lee, J.Y. Astaxanthin inhibits alcohol-induced inflammation and oxidative stress in macrophages in a Sirtuin 1-dependent manner. J. Nutr. Biochem. 2020, 85, 108477. [Google Scholar] [CrossRef]
- Wijeratne, S.; Cuppett, S.L. Soy Isoflavones Protect the Intestine from Lipid Hydroperoxide Mediated Oxidative Damage. J. Agric. Food Chem. 2007, 55, 9811–9816. [Google Scholar] [CrossRef]
- Biswas, S.; Banerjee, R.; Bhattacharyya, D.; Patra, G.; Das, A.K.; Das, S.K. Technological investigation into duck meat and its products—A potential alternative to chicken. World’s Poult. Sci. J. 2019, 75, 609–620. [Google Scholar] [CrossRef]
- Liu, C.; Pan, D.; Ye, Y.; Cao, J. (1)H NMR and multivariate data analysis of the relationship between the age and quality of duck meat. Food Chem. 2013, 141, 1281–1286. [Google Scholar] [CrossRef]
- Wang, H.; Gao, G.; Ke, L.; Zhou, J.; Rao, P.; Jin, Y.; He, L.; Wan, J.; Wang, Q. Isolation of colloidal particles from porcine bone soup and their interaction with murine peritoneal macrophage. J. Funct. Foods 2019, 54, 403–411. [Google Scholar] [CrossRef]
- Nenadis, N.; Wang, L.F.; Tsimidou, M.; Zhang, H.Y. Estimation of Scavenging Activity of Phenolic Compounds Using the ABTS+ Assay. J. Agric. Food Chem. 2004, 52, 4669–4674. [Google Scholar] [CrossRef] [PubMed]
- Yang, H.; Su, W.; Wang, L.; Wang, C.; Wang, C. Molecular structures of nonvolatile components in the Haihong fruit wine and their free radical scavenging effect. Food Chem. 2021, 353, 129298. [Google Scholar] [CrossRef]
- Gao, G.; Wang, H.; Zhou, J.; Rao, P.; Ke, L.; Lin, J.J.; Sun Pan, B.; Zhang, Y.; Wang, Q. Isolation and Characterization of Bioactive Proteoglycan-Lipid Nanoparticles from Freshwater Clam (Corbicula fluminea Muller) Soup. J. Agric. Food Chem. 2021, 69, 1610–1618. [Google Scholar] [CrossRef] [PubMed]
- He, C.; Hu, Y.; Yin, L.; Tang, C.; Yin, C. Effects of particle size and surface charge on cellular uptake and biodistribution of polymeric nanoparticles. Biomaterials 2010, 31, 3657–3666. [Google Scholar] [CrossRef]
- Chi, C.F.; Cao, Z.H.; Wang, B.; Hu, F.Y.; Li, Z.R.; Zhang, B. Antioxidant and functional properties of collagen hydrolysates from Spanish mackerel skin as influenced by average molecular weight. Molecules 2014, 19, 11211–11230. [Google Scholar] [CrossRef]
- Chen, Y.; Kong, L.; Wang, S. Image recognition of automatic evisceration of Cherry Valley ducks and biological activities of protein extracts isolated from the duck meat. J. Food Process Eng. 2018, 41, e12805. [Google Scholar] [CrossRef]
- Floegel, A.; Kim, D.-O.; Chung, S.-J.; Koo, S.I.; Chun, O.K. Comparison of ABTS/DPPH assays to measure antioxidant capacity in popular antioxidant-rich US foods. J. Food Compos. Anal. 2011, 24, 1043–1048. [Google Scholar] [CrossRef]
- Bendif, H.; Boudjeniba, M.; Djamel Miara, M.; Biqiku, L.; Bramucci, M.; Caprioli, G.; Lupidi, G.; Quassinti, L.; Sagratini, G.; Vitali, L.A.; et al. Rosmarinus eriocalyx: An alternative to Rosmarinus officinalis as a source of antioxidant compounds. Food Chem. 2017, 218, 78–88. [Google Scholar] [CrossRef]
- Pedata, P.; Ricci, G.; Malorni, L.; Venezia, A.; Cammarota, M.; Volpe, M.G.; Iannaccone, N.; Guida, V.; Schiraldi, C.; Romano, M.; et al. In vitro intestinal epithelium responses to titanium dioxide nanoparticles. Food Res. Int. 2019, 119, 634–642. [Google Scholar] [CrossRef]
- Zhao, Y.; Tang, Y.; Liu, S.; Jia, T.; Zhou, D.; Xu, H. Foodborne TiO2 Nanoparticles Induced More Severe Hepatotoxicity in Fructose-Induced Metabolic Syndrome Mice via Exacerbating Oxidative Stress-Mediated Intestinal Barrier Damage. Foods 2021, 10, 986. [Google Scholar] [CrossRef]
- Hadipour Moghaddam, S.P.; Saikia, J.; Yazdimamaghani, M.; Ghandehari, H. Redox-Responsive Polysulfide-Based Biodegradable Organosilica Nanoparticles for Delivery of Bioactive Agents. ACS Appl. Mater. Interfaces 2017, 9, 21133–21146. [Google Scholar] [CrossRef]
- Gao, G.; Zhou, J.; Jin, Y.; Wang, H.; Ding, Y.; Zhou, J.; Ke, L.; Rao, P.; Chong, P.H.; Wang, Q.; et al. Nanoparticles derived from porcine bone soup attenuate oxidative stress-induced intestinal barrier injury in Caco-2 cell monolayer model. J. Funct. Foods 2021, 83, 104573. [Google Scholar] [CrossRef]
- Dayem, A.A.; Choi, H.Y.; Kim, J.H.; Cho, S.G. Role of oxidative stress in stem, cancer, and cancer stem cells. Cancers 2010, 2, 859–884. [Google Scholar] [CrossRef] [PubMed]
- Newsholme, P.; Cruzat, V.F.; Keane, K.N.; Carlessi, R.; de Bittencourt, P.I., Jr. Molecular mechanisms of ROS production and oxidative stress in diabetes. Biochem. J. 2016, 473, 4527–4550. [Google Scholar] [CrossRef] [PubMed]
- Liu, Y.; Liu, Y.; Zang, J.; Abdullah, A.A.I.; Li, Y.; Dong, H. Design Strategies and Applications of ROS-Responsive Phenylborate Ester-Based Nanomedicine. ACS Biomater. Sci. Eng. 2020, 6, 6510–6527. [Google Scholar] [CrossRef] [PubMed]
- Cilla, A.; Rodrigo, M.J.; Zacarias, L.; De Ancos, B.; Sanchez-Moreno, C.; Barbera, R.; Alegria, A. Protective effect of bioaccessible fractions of citrus fruit pulps against H2O2-induced oxidative stress in Caco-2 cells. Food Res. Int. 2018, 103, 335–344. [Google Scholar] [CrossRef]
- Cho, Y.E.; Song, B.J. Pomegranate prevents binge alcohol-induced gut leakiness and hepatic inflammation by suppressing oxidative and nitrative stress. Redox Biol. 2018, 18, 266–278. [Google Scholar] [CrossRef]
- Hasegawa, T.; Mizugaki, A.; Inoue, Y.; Kato, H.; Murakami, H. Cystine reduces tight junction permeability and intestinal inflammation induced by oxidative stress in Caco-2 cells. Amino Acids 2021, 53, 1021–1032. [Google Scholar] [CrossRef]
- Xiang, J.; Yang, C.; Beta, T.; Liu, S.; Yang, R. Phenolic Profile and Antioxidant Activity of the Edible Tree Peony Flower and Underlying Mechanisms of Preventive Effect on H(2)O(2)-Induced Oxidative Damage in Caco-2 Cells. Foods 2019, 8, 471. [Google Scholar] [CrossRef]
- Brand, M.D.; Affourtit, C.; Esteves, T.C.; Green, K.; Lambert, A.J.; Miwa, S.; Pakay, J.L.; Parker, N. Mitochondrial superoxide: Production, biological effects, and activation of uncoupling proteins. Free Radic. Biol. Med. 2004, 37, 755–767. [Google Scholar] [CrossRef] [PubMed]
- Forbes-Hernandez, T.Y.; Giampieri, F.; Gasparrini, M.; Mazzoni, L.; Quiles, J.L.; Alvarez-Suarez, J.M.; Battino, M. The effects of bioactive compounds from plant foods on mitochondrial function: A focus on apoptotic mechanisms. Food Chem. Toxicol. 2014, 68, 154–182. [Google Scholar] [CrossRef] [PubMed]
- Medicinal Food: The Chinese Perspective. J. Med. Food 1998, 1, 117–122. [CrossRef]
- Feng, X.; Chen, L.; Zhuang, S.; Li, C.; Yan, Z.; Xu, X.; Zhou, G. Effect of duck meat consumption on thyroid hormone concentrations and energy metabolism of Sprague-Dawley rats. Appetite 2013, 69, 94–101. [Google Scholar] [CrossRef] [PubMed]






| Hydrodynamic Diameter (nm) | Derived Count Rate (kcps) | PDI | ζ-Potential mV | |
|---|---|---|---|---|
| F1 | 255.23 ± 12.77 a | 467.00 ± 29.4 a | 0.183 ± 0.017 c | −4.35 ± 0.86 b |
| F2 | 220.25 ± 7.45 b | 158.20 ± 1.30 b | 0.517 ± 0.011 a | −5.15 ± 2.40 b |
| F3 | 147.40 ± 17.14 c | 127.76 ± 7.92 b | 0.493 ± 0.002 b | −11.44 ± 2.45 a |
| CNPs | Lipids | Proteins | Carbohydrates |
|---|---|---|---|
| (µg/mL) | 511.7 ± 41.8 | 307.9 ± 20.8 | 78.8 ± 5.9 |
| % | 51.2 | 30.8 | 7.9 |
Disclaimer/Publisher’s Note: The statements, opinions and data contained in all publications are solely those of the individual author(s) and contributor(s) and not of MDPI and/or the editor(s). MDPI and/or the editor(s) disclaim responsibility for any injury to people or property resulting from any ideas, methods, instructions or products referred to in the content. |
© 2023 by the authors. Licensee MDPI, Basel, Switzerland. This article is an open access article distributed under the terms and conditions of the Creative Commons Attribution (CC BY) license (https://creativecommons.org/licenses/by/4.0/).
Share and Cite
Xu, L.; Duan, M.; Cai, Z.; Zeng, T.; Sun, Y.; Cheng, S.; Xia, Q.; Zhou, C.; He, J.; Lu, L.; et al. Colloidal Nanoparticles Isolated from Duck Soup Exhibit Antioxidant Effect on Macrophages and Enterocytes. Foods 2023, 12, 981. https://doi.org/10.3390/foods12050981
Xu L, Duan M, Cai Z, Zeng T, Sun Y, Cheng S, Xia Q, Zhou C, He J, Lu L, et al. Colloidal Nanoparticles Isolated from Duck Soup Exhibit Antioxidant Effect on Macrophages and Enterocytes. Foods. 2023; 12(5):981. https://doi.org/10.3390/foods12050981
Chicago/Turabian StyleXu, Ligen, Mingcai Duan, Zhaoxia Cai, Tao Zeng, Yangying Sun, Shuang Cheng, Qiang Xia, Changyu Zhou, Jun He, Lizhi Lu, and et al. 2023. "Colloidal Nanoparticles Isolated from Duck Soup Exhibit Antioxidant Effect on Macrophages and Enterocytes" Foods 12, no. 5: 981. https://doi.org/10.3390/foods12050981
APA StyleXu, L., Duan, M., Cai, Z., Zeng, T., Sun, Y., Cheng, S., Xia, Q., Zhou, C., He, J., Lu, L., & Pan, D. (2023). Colloidal Nanoparticles Isolated from Duck Soup Exhibit Antioxidant Effect on Macrophages and Enterocytes. Foods, 12(5), 981. https://doi.org/10.3390/foods12050981

