Simultaneous Extraction of Bioactive Compounds from Olea europaea L. Leaves and Healthy Seed Oils Using Pressurized Propane
Abstract
1. Introduction
2. Methods
2.1. Samples
2.2. Extraction with Pressurized Propane
2.3. Fatty Acids and Bioactive Compounds
2.4. Antioxidant Activity
2.5. Oxidative Stability
2.6. Statistical Analysis
3. Results and Discussion
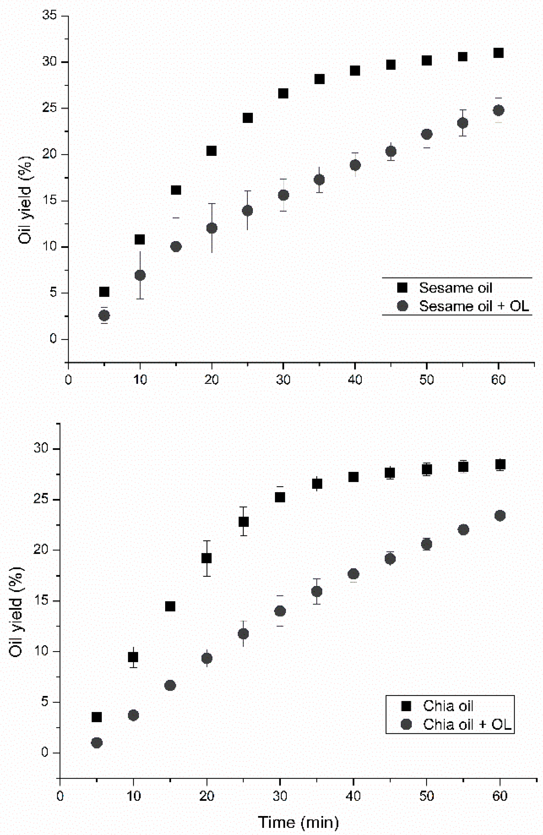
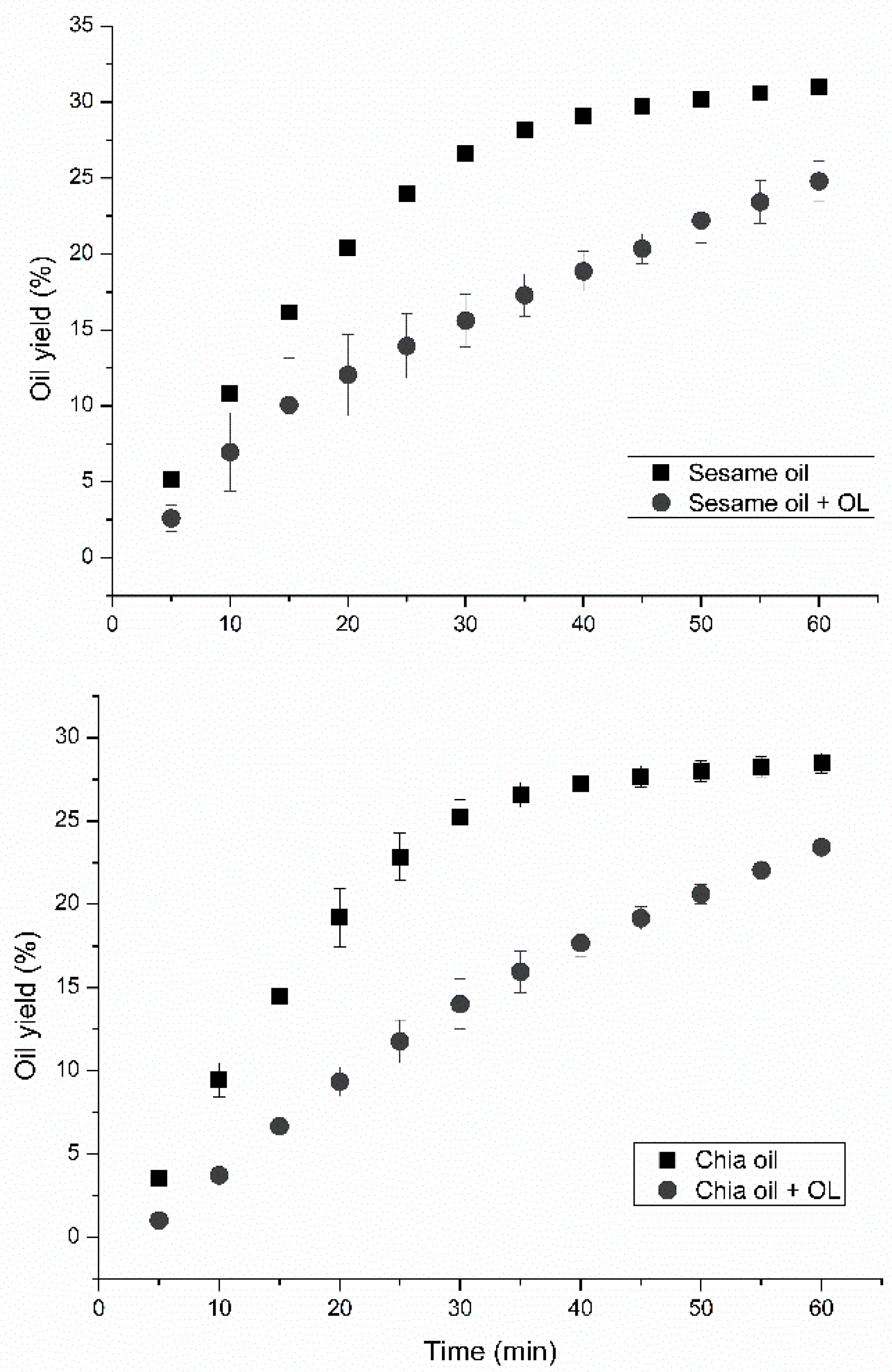
3.1. Mass Percentage Yield
3.2. Fatty Acids
3.3. Bioactive Compounds
3.4. Antioxidant Activity
3.5. Oxidative Stability
3.6. Principal Component Analysis
4. Conclusions
Supplementary Materials
Author Contributions
Funding
Informed Consent Statement
Data Availability Statement
Acknowledgments
Conflicts of Interest
References
- Yang, Y.; Song, X.; Sui, X.; Qi, B.; Wang, Z.; Li, Y.; Jiang, L. Rosemary Extract Can Be Used as a Synthetic Antioxidant to Improve Vegetable Oil Oxidative Stability. Ind. Crops Prod. 2016, 80, 141–147. [Google Scholar] [CrossRef]
- Nogueira, M.S.; Scolaro, B.; Milne, G.L.; Castro, I.A. Oxidation Products from Omega-3 and Omega-6 Fatty Acids during a Simulated Shelf Life of Edible Oils. LWT 2019, 101, 113–122. [Google Scholar] [CrossRef]
- Durán, R.M.; Padilla, R.B. Actividad antioxidante de los compuestos fenólicos. Grasas y Aceites 1993, 44, 101–106. [Google Scholar] [CrossRef]
- Saito, M.; Sakagami, H.; Fujisawa, S. Cytotoxicity and Apoptosis Induction by Butylated Hydroxyanisole (BHA) and Butylated Hydroxytoluene (BHT). Anticancer Res. 2003, 23, 4693–4701. [Google Scholar] [PubMed]
- Lanigan, R.S.; Yamarik, T.A. Final Report on the Safety Assessment of BHT. Int. J. Toxicol. 2002, 21, 19–94. [Google Scholar] [CrossRef]
- Botterweck, A.; Verhagen, H.; Goldbohm, R.; Kleinjans, J.; Brandt, P.V.D. Intake of butylated hydroxyanisole and butylated hydroxytoluene and stomach cancer risk: Results from analyses in the Netherlands Cohort Study. Food Chem. Toxicol. 2000, 38, 599–605. [Google Scholar] [CrossRef]
- Blasi, F.; Cossignani, L. An Overview of Natural Extracts with Antioxidant Activity for the Improvement of the Oxidative Stability and Shelf Life of Edible Oils. Processes 2020, 8, 956. [Google Scholar] [CrossRef]
- Jaski, J.M.; Barão, C.E.; Lião, L.M.; Pinto, V.S.; Zanoelo, E.F.; Cardozo-Filho, L. β-Cyclodextrin complexation of extracts of olive leaves obtained by pressurized liquid extraction. Ind. Crops Prod. 2018, 129, 662–672. [Google Scholar] [CrossRef]
- Arshad, M.S.; Khalid, W.; Ahmad, R.S.; Khan, M.K.; Ahmad, M.H.; Safdar, S.; Kousar, S.; Munir, H.; Shabbir, U.; Zafarullah, M.; et al. Functional Foods and Human Health: An Overview. In Functional Foods—Phytochemicals and Health Promoting Potential; IntechOpen: London, UK, 2021. [Google Scholar]
- Herrero, M.; Temirzoda, T.N.; Segura-Carretero, A.; Quirantes, R.; Plaza, M.; Ibañez, E. New possibilities for the valorization of olive oil by-products. J. Chromatogr. A 2011, 1218, 7511–7520. [Google Scholar] [CrossRef]
- Xavier, A.A.O.; Mercadante, A.Z. The Bioaccessibility of Carotenoids Impacts the Design of Functional Foods. Curr. Opin. Food Sci. 2019, 26, 1–8. [Google Scholar] [CrossRef]
- Gharby, S.; Oubannin, S.; Bouzid, H.A.; Bijla, L.; Ibourki, M.; Gagour, J.; Koubachi, J.; Sakar, E.H.; Majourhat, K.; Lee, L.-H.; et al. An Overview on the Use of Extracts from Medicinal and Aromatic Plants to Improve Nutritional Value and Oxidative Stability of Vegetable Oils. Foods 2022, 11, 3258. [Google Scholar] [CrossRef]
- Markhali, F.S.; Teixeira, J.A.; Rocha, C.M.R. Olive Tree Leaves—A Source of Valuable Active Compounds. Processes 2020, 8, 1177. [Google Scholar] [CrossRef]
- Jimenez, P.; Masson, L.; Barriga, A.; Chávez, J.; Robert, P. Oxidative Stability of Oils Containing Olive Leaf Extracts Obtained by Pressure, Supercritical and Solvent-Extraction. Eur. J. Lipid Sci. Technol. 2011, 113, 497–505. [Google Scholar] [CrossRef]
- Souilem, S.; Fki, I.; Kobayashi, I.; Khalid, N.; Neves, M.A.; Isoda, H.; Sayadi, S.; Nakajima, M. Emerging Technologies for Recovery of Value-Added Components from Olive Leaves and Their Applications in Food/Feed Industries. Food Bioprocess Technol. 2017, 10, 229–248. [Google Scholar] [CrossRef]
- Gullón, B.; Gullón, P.; Eibes, G.; Cara, C.; De Torres, A.; López-Linares, J.C.; Ruiz, E.; Castro, E. Valorisation of Olive Agro-Industrial by-Products as a Source of Bioactive Compounds. Sci. Total Environ. 2018, 645, 533–542. [Google Scholar] [CrossRef]
- De Leonardis, A.; Macciola, V.; Iftikhar, A.; Lopez, F. Characterization, Sensory and Oxidative Stability Analysis of Vegetable Mayonnaise Formulated with Olive Leaf Vinegar as an Active Ingredient. Foods 2022, 11, 4006. [Google Scholar] [CrossRef]
- Moreau, R.A.; Nyström, L.; Whitaker, B.D.; Winkler-Moser, J.K.; Baer, D.J.; Gebauer, S.K.; Hicks, K.B. Phytosterols and Their Derivatives: Structural Diversity, Distribution, Metabolism, Analysis, and Health-Promoting Uses. Prog. Lipid Res. 2018, 70, 35–61. [Google Scholar] [CrossRef]
- Corso, M.P.; Fagundes-Klen, M.R.; Silva, E.A.; Filho, L.C.; Santos, J.N.; Freitas, L.S.; Dariva, C. Extraction of sesame seed (Sesamun indicum L.) oil using compressed propane and supercritical carbon dioxide. J. Supercrit. Fluids 2010, 52, 56–61. [Google Scholar] [CrossRef]
- Zanqui, A.B.; De Morais, D.R.; Silva, C.; Santos, J.M.; Chiavelli, L.U.R.; Bittencourt, P.R.S.; Eberlin, M.N.; Visentainer, J.V.; Cardozo-Filho, L.; Matsushita, M. Subcritical Extraction of Salvia hispanica L. Oil with N -Propane: Composition, Purity and Oxidation Stability as Compared to the Oils Obtained by Conventional Solvent Extraction Methods. J. Braz. Chem. Soc. 2015, 26, 282–289. [Google Scholar] [CrossRef]
- Moreau, R.A.; Whitaker, B.D.; Hicks, K.B. Phytosterols, Phytostanols, and Their Conjugates in Foods: Structural Diversity, Quantitative Analysis, and Health-Promoting Uses. Prog. Lipid Res. 2002, 41, 457–500. [Google Scholar] [CrossRef]
- Porras-Loaiza, P.; Jiménez-Munguía, M.T.; Sosa-Morales, M.E.; Palou, E.; López-Malo, A. Physical Properties, Chemical Characterization and Fatty Acid Composition of Mexican Chia (Salvia Hispanica L.) Seeds. Int. J. Food Sci. Technol. 2014, 49, 571–577. [Google Scholar] [CrossRef]
- Bahkali, A.H.; Hussain, M.A.; Basahy, A.Y. Protein and oil composition of sesame seeds (Sesamum indicum, L.) grown in the Gizan area of Saudi Arabia. Int. J. Food Sci. Nutr. 1998, 49, 409–414. [Google Scholar] [CrossRef]
- Knez, Ž.; Pantić, M.; Cör, D.; Novak, Z.; Knez Hrnčič, M. Are supercritical fluids solvents for the future? Chem. Eng. Process. Process. Intensif. 2019, 141, 107532. [Google Scholar] [CrossRef]
- Correa, M.; Mesomo, M.C.; Pianoski, K.E.; Torres, Y.R.; Corazza, M.L. Extraction of Inflorescences of Musa Paradisiaca L. Using Supercritical CO2 and Compressed Propane. J. Supercrit. Fluids 2016, 113, 128–135. [Google Scholar] [CrossRef]
- Cuco, R.P.; Cardozo-Filho, L.; da Silva, C. Simultaneous extraction of seed oil and active compounds from peel of pumpkin (Cucurbita maxima) using pressurized carbon dioxide as solvent. J. Supercrit. Fluids 2018, 143, 8–15. [Google Scholar] [CrossRef]
- da Silva, C.M.; Zanqui, A.B.; da Silva, E.A.; Gomes, S.T.M.; Filho, L.C.; Matsushita, M. Extraction of Oil from Elaeis Spp. Using Subcritical Propane and Cosolvent: Experimental and Modeling. J. Supercrit. Fluids 2018, 133, 401–410. [Google Scholar] [CrossRef]
- Ahangari, B.; Sargolzaei, J. Extraction of Pomegranate Seed Oil Using Subcritical Propane and Supercritical Carbon Dioxide. Theor. Found. Chem. Eng. 2012, 46, 258–265. [Google Scholar] [CrossRef]
- Pederssetti, M.M.; Palú, F.; Da Silva, E.A.; Rohling, J.H.; Cardozo-Filho, L.; Dariva, C. Extraction of Canola Seed (Brassica Napus) Oil Using Compressed Propane and Supercritical Carbon Dioxide. J. Food Eng. 2011, 102, 189–196. [Google Scholar] [CrossRef]
- Alexandri, M.; Kachrimanidou, V.; Papapostolou, H.; Papadaki, A.; Kopsahelis, N. Sustainable Food Systems: The Case of Functional Compounds towards the Development of Clean Label Food Products. Foods 2022, 11, 2796. [Google Scholar] [CrossRef]
- Trentini, C.P.; Santos, K.A.; da Silva, E.A.; Garcia, V.A.D.S.; Cardozo-Filho, L.; da Silva, C. Oil extraction from macauba pulp using compressed propane. J. Supercrit. Fluids 2017, 126, 72–78. [Google Scholar] [CrossRef]
- Jaski, J.M.; Abrantes, K.K.B.; Zanqui, A.B.; Stevanato, N.; da Silva, C.; Barão, C.E.; Bonfim-Rocha, L.; Cardozo-Filho, L. Simultaneous Extraction of Sunflower Oil and Active Compounds from Olive Leaves Using Pressurized Propane. Curr. Res. Food Sci. 2022, 5, 531–544. [Google Scholar] [CrossRef] [PubMed]
- Gonzalez, S.L.; Sychoski, M.M.; Navarro-Díaz, H.J.; Callejas, N.; Saibene, M.; Vieitez, I.; Jachmanián, I.; Da Silva, C.; Hense, H.; Oliveira, J.V. Continuous Catalyst-Free Production of Biodiesel through Transesterification of Soybean Fried Oil in Supercritical Methanol and Ethanol. Energy Fuels 2013, 27, 5253–5259. [Google Scholar] [CrossRef]
- Du, M.; Ahn, D. Simultaneous Analysis of Tocopherols, Cholesterol, and Phytosterols Using Gas Chromatography. J. Food Sci. 2002, 67, 1696–1700. [Google Scholar] [CrossRef]
- Santos, K.A.; Bariccatti, R.A.; Cardozo-Filho, L.; Schneider, R.; Palú, F.; da Silva, C.; da Silva, E.A. Extraction of crambe seed oil using subcritical propane: Kinetics, characterization and modeling. J. Supercrit. Fluids 2015, 104, 54–61. [Google Scholar] [CrossRef]
- Cuco, R.P.; Massa, T.B.; Postaue, N.; Cardozo-Filho, L.; da Silva, C.; Iwassa, I.J. Oil Extraction from Structured Bed of Pumpkin Seeds and Peel Using Compressed Propane as Solvent. J. Supercrit. Fluids 2019, 152, 104568. [Google Scholar] [CrossRef]
- Batista, A.; Silva, R.; Cappato, L.; Ferreira, M.; Nascimento, K.; Schmiele, M.; Esmerino, E.; Balthazar, C.; Silva, H.; Moraes, J.; et al. Developing a synbiotic fermented milk using probiotic bacteria and organic green banana flour. J. Funct. Foods 2017, 38, 242–250. [Google Scholar] [CrossRef]
- Sperry, M.F.; Silva, H.L.; Balthazar, C.F.; Esmerino, E.A.; Verruck, S.; Prudencio, E.S.; Neto, R.P.; Tavares, M.I.B.; Peixoto, J.C.; Nazzaro, F.; et al. Probiotic Minas Frescal cheese added with L. casei 01: Physicochemical and bioactivity characterization and effects on hematological/biochemical parameters of hypertensive overweighted women—A randomized double-blind pilot trial. J. Funct. Foods 2018, 45, 435–443. [Google Scholar] [CrossRef]
- Chow, C.K. Fatty Acids in Foods and Their Health Implications; Chow, C.K., Ed.; CRC Press: Boca Raton, FL, USA, 2007. [Google Scholar]
- Barłowska, J.; Pastuszka, R.; Rysiak, A.; Król, J.; Brodziak, A.; Kędzierska-Matysek, M.; Wolanciuk, A.; Litwińczuk, Z. Physicochemical and sensory properties of goat cheeses and their fatty acid profile in relation to the geographic region of production. Int. J. Dairy Technol. 2018, 71, 699–708. [Google Scholar] [CrossRef]
- Gyamfi, M.A.; Yonamine, M.; Aniya, Y. Free-radical scavenging action of medicinal herbs from Ghana: Thonningia sanguinea on experimentally-induced liver injuries. Gen. Pharmacol. Vasc. Syst. 1999, 32, 661–666. [Google Scholar] [CrossRef]
- Boroski, M.; Visentainer, J.V.; Cottica, S.M.; Morais, D.R. De Antioxidantes. Princípios e Métodos Analíticos, 1st ed.; APPRIS EDITORA: Curitiba, Brazil, 2015. [Google Scholar]
- Metrohm StabNet Software 2019. Available online: https://www.metrohm.com/zh_cn/products/6/6068/66068112.html (accessed on 30 November 2022).
- Figueiredo, A.C.; Barroso, J.G.; Pedro, L.G.; Scheffer, J.J.C. Factors Affecting Secondary Metabolite Production in Plants: Volatile Components and Essential Oils. Flavour Fragr. J. 2008, 23, 213–226. [Google Scholar] [CrossRef]
- Onemli, F. Changes in Oil Fatty Acid Composition During Seed Development of Sunflower. Asian J. Plant Sci. 2012, 11, 241–245. [Google Scholar] [CrossRef]
- Grulova, D.; De Martino, L.; Mancini, E.; Salamon, I.; De Feo, V. Seasonal variability of the main components in essential oil of Mentha × piperita L. J. Sci. Food Agric. 2014, 95, 621–627. [Google Scholar] [CrossRef] [PubMed]
- Trentini, C.P.; Cuco, R.P.; Cardozo-Filho, L.; da Silva, C. Extraction of macauba kernel oil using supercritical carbon dioxide and compressed propane. Can. J. Chem. Eng. 2018, 97, 785–792. [Google Scholar] [CrossRef]
- Turan, H. Fatty Acid Profile and Proximate Composition of the Thornback Ray (Raja Clavata, L. 1758) from the Sinop Coast in the Black Sea. J. Fish. Sci. 2007, 1, 97–103. [Google Scholar] [CrossRef]
- Aggarwal, B.B.; Sundaram, C.; Prasad, S.; Kannappan, R. Tocotrienols, the Vitamin E of the 21st Century: Its Potential against Cancer and Other Chronic Diseases. Biochem. Pharmacol. 2010, 80, 1613–1631. [Google Scholar] [CrossRef]
- Peh, H.Y.; Tan, W.D.; Liao, W.; Wong, W.F. Vitamin E therapy beyond cancer: Tocopherol versus tocotrienol. Pharmacol. Ther. 2016, 162, 152–169. [Google Scholar] [CrossRef]
- Verkempinck, S.; Salvia-Trujillo, L.; Moens, L.; Carrillo, C.; Van Loey, A.; Hendrickx, M.; Grauwet, T. Kinetic approach to study the relation between in vitro lipid digestion and carotenoid bioaccessibility in emulsions with different oil unsaturation degree. J. Funct. Foods 2017, 41, 135–147. [Google Scholar] [CrossRef]
- Tavakoli, J.; Soq, K.H.; Yousefi, A.; Estakhr, P.; Dalvi, M.; Khaneghah, A.M. Antioxidant activity of Pistacia atlantica var mutica kernel oil and it’s unsaponifiable matters. J. Food Sci. Technol. 2019, 56, 5336–5345. [Google Scholar] [CrossRef]
- Barouh, N.; Bourlieu-Lacanal, C.; Figueroa-Espinoza, M.C.; Durand, E.; Villeneuve, P. Tocopherols as Antioxidants in Lipid-based Systems: The Combination of Chemical and Physicochemical Interactions Determines Their Efficiency. Compr. Rev. Food Sci. Food Saf. 2022, 21, 642–688. [Google Scholar] [CrossRef]
- Guclu, G.; Kelebek, H.; Selli, S. Antioxidant Activity in Olive Oils. In Olives and Olive Oil in Health and Disease Prevention; Elsevier: Amsterdam, The Netherlands, 2021; pp. 313–325. [Google Scholar]
- Blasi, F.; Rocchetti, G.; Montesano, D.; Lucini, L.; Chiodelli, G.; Ghisoni, S.; Baccolo, G.; Simonetti, M.; Cossignani, L. Changes in extra-virgin olive oil added with Lycium barbarum L. carotenoids during frying: Chemical analyses and metabolomic approach. Food Res. Int. 2018, 105, 507–516. [Google Scholar] [CrossRef]
- Bodoira, R.M.; Penci, M.C.; Ribotta, P.D.; Martínez, M.L. Chia (Salvia Hispanica L.) Oil Stability: Study of the Effect of Natural Antioxidants. LWT 2017, 75, 107–113. [Google Scholar] [CrossRef]
- Upadhyay, R.; Mishra, H.N. Multivariate Analysis for Kinetic Modeling of Oxidative Stability and Shelf Life Estimation of Sunflower Oil Blended with Sage (Salvia Officinalis) Extract Under Rancimat Conditions. Food Bioprocess Technol. 2015, 8, 801–810. [Google Scholar] [CrossRef]
- Bordón, M.G.; Meriles, S.P.; Ribotta, P.D.; Martinez, M.L. Enhancement of Composition and Oxidative Stability of Chia (Salvia Hispanica L.) Seed Oil by Blending with Specialty Oils. J. Food Sci. 2019, 84, 1035–1044. [Google Scholar] [CrossRef] [PubMed]
- Rodríguez, G.; Villanueva, E.; Cortez, D.; Sanchez, E.; Aguirre, E.; Hidalgo, A. Oxidative Stability of Chia (Salvia Hispanica L.) and Sesame Sesamum Indicum L.) Oil Blends. J. Am. Oil Chem. Soc. 2020, 97, 729–735. [Google Scholar] [CrossRef]
- Mishra, S.K.; Belur, P.D.; Iyyaswami, R. Use of Antioxidants for Enhancing Oxidative Stability of Bulk Edible Oils: A Review. Int. J. Food Sci. Technol. 2021, 56, 1–12. [Google Scholar] [CrossRef]
- Cheng, Q.; Zhang, Y.; Lin, Q.; Tian, Y.; Bao, Y. Study on the antioxidant activity of β-sitosterol and stigmasterol from Sacha Inchi oil and Prinsepia oil added to walnut oil. Food Sci. Technol. 2022, 42, 1–13. [Google Scholar] [CrossRef]
- Varghese, S.; Kannappan, P.; Kanakasabapathi, D.; Madathil, S.; Perumalsamy, M. Antidiabetic and antilipidemic effect of Clerodendrum paniculatum flower ethanolic extract. An in vivo investigation in Albino Wistar rats. Biocatal. Agric. Biotechnol. 2021, 36, 102095. [Google Scholar] [CrossRef]


| Sample | Yield (%) |
|---|---|
| Chia | 28.5 ± 0.6 aA |
| Chia + OL | 23.4 ± 0.4 bB |
| Sesame | 31.0 ± 0.3 aA |
| Sesame + OL | 24.8 ± 1.3 bB |
| OL | 0.8 ± 0.2 E |
| FA (Area%) | Chia | Chia + OL | Sesame | Sesame + OL |
|---|---|---|---|---|
| Lauric (12:0) | 0.13 a ± 0.01 | 0.05 b ± 0.01 | 0.03 a ± 0.01 | 0.02 a ± 0.01 |
| Myristic (14:0) | 0.10 a ± 0.01 | 0.12 a ± 0.01 | 0.03 a ± 0.01 | 0.07 a ± 0.01 |
| Palmitic (16:0) | 9.30 b ± 0.04 | 9.59 a ± 0.01 | 11.02 a ± 0.03 | 11.02 a ± 0.01 |
| Palmitoleic (16:1n-7) | 0.09 a ± 0.01 | 0.13 a ± 0.01 | 0.14 a ± 0.01 | 0.15 ª ± 0.01 |
| Stearic (18:0) | 5.79 a ± 0.01 | 5.67 b ± 0.01 | 8.07 a ± 0.09 | 7.95 a ± 0.03 |
| Oleic (18:1n-9) | 9.52 a ± 0.04 | 9.49 a ± 0.03 | 40.37 a ± 0.06 | 39.94 b ± 0.08 |
| Linoleic (18:2n-6) | 20.95 a ± 0.07 | 20.74 a ± 0.04 | 38.20 a ± 0.13 | 38.11 a ± 0.11 |
| α-Linolenic (18:3n-3) | 51.58 a ± 0.05 | 51.15 a ± 0.05 | 0.42 b ± 0.01 | 0.87 a ± 0.01 |
| Arachidic (20:0) | 0.54 b ± 0.01 | 0.62 a ± 0.01 | 0.99 a ± 0.03 | 1.05 a ± 0.01 |
| Gondoic (20:1n-9) | 0.14 a ± 0.08 | 0.22 a ± 0.01 | 0.29 a ± 0.01 | 0.29 a ± 0.01 |
| Behenic (22:0) | 0.16 b ± 0.01 | 0.22 a ± 0.01 | 0.3 a ± 0.02 | 0.28 a ± 0.01 |
| Lignoceric (24:0) | 0.22 b ± 0.01 | 0.50 a ± 0.01 | 0.15 a ± 0.01 | 0.17 a ± 0.01 |
| SFA | 16.24 a ± 0.06 | 16.78 a ± 0.03 | 20.51 a ± 0.14 | 20.56 a ± 0.05 |
| MUFA | 10.95 a ± 0.13 | 11.07 a ± 0.05 | 40.87 a ± 0.08 | 40.45 a ± 0.11 |
| PUFA | 72.54 a ± 0.19 | 71.89 b ± 0.10 | 38.62 a ± 0.19 | 38.98 a ± 0.16 |
| AI | 0.12 a ± 0.01 | 0.12 a ± 0.01 | 0.14 a ± 0.01 | 0.14 a ± 0.01 |
| TI | 0.09 a ± 0.01 | 0.09 a ± 0.01 | 0.45 a ± 0.01 | 0.46 a ± 0.01 |
| DFA | 89.28 a ± 0.05 | 88.63 b ± 0.03 | 46.69 a ± 0.04 | 46.93 a ± 0.08 |
| HSFA | 9.52 b ± 0.05 | 9.77 a ± 0.01 | 11.07 a ± 0.03 | 11.11 a ± 0.01 |
| Bioactive Compounds (mg 100 g−1) | Sample | ||||
|---|---|---|---|---|---|
| OL | CH | CH + OL | SE | SE + OL | |
| α–tocopherol | 631.4 ± 8.4 | ND | 53.6 ± 0.3 | ND | 40.0 ± 3.3 |
| γ–tocopherol | ND | 39.1 a ± 0.5 | 37.6 a ± 2.4 | 51.4 a ± 0.1 | 49.1 a ± 4.7 |
| 1–octacosanol | 287.0 ± 4.7 | 3.3 b ± 0.1 | 23.8 a ± 1.5 | ND | 21.7 ± 2.0 |
| Campesterol | ND | 15.4 a ± 0.1 | 15.3 a ± 0.1 | 21.6 a ± 0.1 | 19.3 b ± 0.1 |
| Stigmasterol | 53.6 ± 0.8 | 11.8 a ± 0.4 | 14.1 a ± 1.0 | 14.9 a ± 0.7 | 17.2 a ± 0.8 |
| 1–triacontanol | 147.3 ± 5.9 | ND | 13.4 ± 1.1 | ND | 11.2 ± 1.2 |
| β–sitosterol | 960.5 ± 22.7 | 82.0 b ± 0.9 | 143.9 a ± 0.8 | 77.7 b ± 1.8 | 129.3 a ± 0.8 |
| Pregn-5-en-3-ol | ND | ND | ND | 13.0 a ± 0.3 | 14.7 a ± 0.7 |
| Aggregation (%) | Samples | |
|---|---|---|
| Chia + OL | Sesame + OL | |
| α—tocopherol | 8.5 | 6.3 |
| 1—Octacosanol | 7.1 | 7.6 |
| Stigmasterol | 4.3 | 4.4 |
| 1—triacontanol | 9.1 | 7.6 |
| β—sitosterol | 6.5 | 5.4 |
| Total | 35.5 | 31.3 |
| Sample | EC50(μg mL−1) | Induction Time (h) |
|---|---|---|
| Chia | 914.1 ± 41.3 aD | 0.45 ± 0.01 aC |
| Chia + OL | 838.1 ± 3.9 bC | 0.47 ± 0.03 aC |
| Sesame | 826.9 ± 4.9 aC | 3.12 ± 4.9 bB |
| Sesame + OL | 731.4 ± 10.9 bB | 5.39 ± 0.09 aA |
| OL | 535.2 ± 4.3 A | - |
Disclaimer/Publisher’s Note: The statements, opinions and data contained in all publications are solely those of the individual author(s) and contributor(s) and not of MDPI and/or the editor(s). MDPI and/or the editor(s) disclaim responsibility for any injury to people or property resulting from any ideas, methods, instructions or products referred to in the content. |
© 2023 by the authors. Licensee MDPI, Basel, Switzerland. This article is an open access article distributed under the terms and conditions of the Creative Commons Attribution (CC BY) license (https://creativecommons.org/licenses/by/4.0/).
Share and Cite
Jaski, J.M.; da Cruz, R.M.S.; Pimentel, T.C.; Stevanato, N.; da Silva, C.; Barão, C.E.; Cardozo-Filho, L. Simultaneous Extraction of Bioactive Compounds from Olea europaea L. Leaves and Healthy Seed Oils Using Pressurized Propane. Foods 2023, 12, 948. https://doi.org/10.3390/foods12050948
Jaski JM, da Cruz RMS, Pimentel TC, Stevanato N, da Silva C, Barão CE, Cardozo-Filho L. Simultaneous Extraction of Bioactive Compounds from Olea europaea L. Leaves and Healthy Seed Oils Using Pressurized Propane. Foods. 2023; 12(5):948. https://doi.org/10.3390/foods12050948
Chicago/Turabian StyleJaski, Jonas Marcelo, Rayane Monique Sete da Cruz, Tatiana Colombo Pimentel, Natalia Stevanato, Camila da Silva, Carlos Eduardo Barão, and Lucio Cardozo-Filho. 2023. "Simultaneous Extraction of Bioactive Compounds from Olea europaea L. Leaves and Healthy Seed Oils Using Pressurized Propane" Foods 12, no. 5: 948. https://doi.org/10.3390/foods12050948
APA StyleJaski, J. M., da Cruz, R. M. S., Pimentel, T. C., Stevanato, N., da Silva, C., Barão, C. E., & Cardozo-Filho, L. (2023). Simultaneous Extraction of Bioactive Compounds from Olea europaea L. Leaves and Healthy Seed Oils Using Pressurized Propane. Foods, 12(5), 948. https://doi.org/10.3390/foods12050948

