Chinese Consumer Assessment of Australian Sheep Meat Using a Traditional Hotpot Cooking Method
Abstract
1. Introduction
2. Materials and Methods
2.1. Carcase Details and Muscle Collection
2.2. Carcase Compositional Measurements
2.3. Sample Preparation and Sensory Testing
2.4. Statistical Analysis
3. Results
3.1. Data Structure and Descriptive Statistics
3.2. Model Outcomes
3.2.1. Impact of Cut, Age Class, Sire Type and Site on Sensory Scores
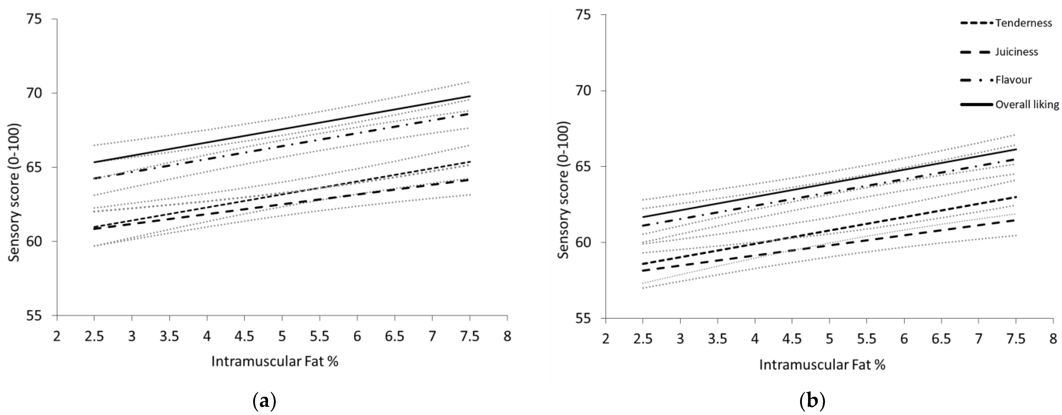
3.2.2. Impact of Intramuscular Fat on Sensory Scores
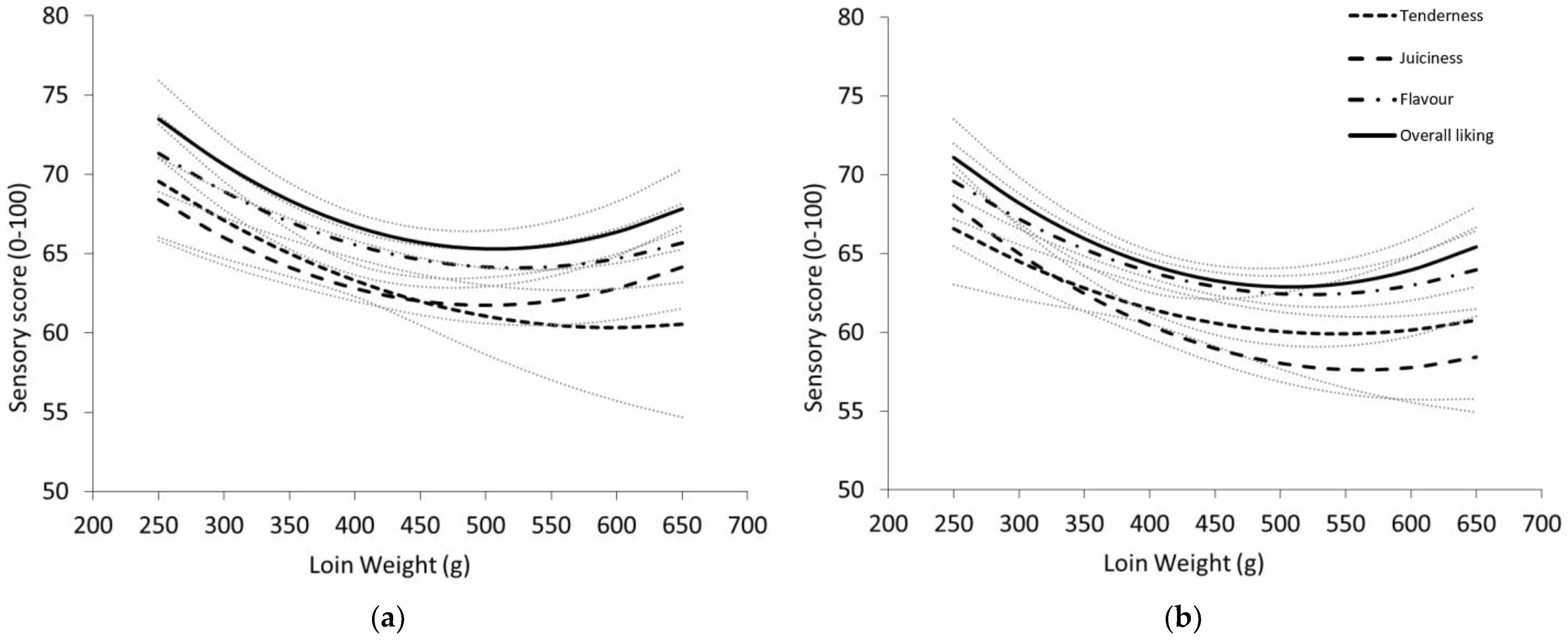
3.2.3. Impact of Carcase Compositional Indicators on Sensory Scores
3.3. Correlations between Sensory Traits and Cuts
4. Discussion
4.1. Impact of Cut on Sensory Scores and Correlations
4.2. Impact of Age Class, Sire Type and Site on Sensory Scores
4.3. Impact of Intramuscular Fat on Eating Quality
4.4. Impact of Muscularity and Whole Carcase Adiposity on Sensory Traits
5. Conclusions
Author Contributions
Funding
Institutional Review Board Statement
Informed Consent Statement
Data Availability Statement
Acknowledgments
Conflicts of Interest
References
- Liu, H.; Parton, K.A.; Zhou, Z.Y.; Cox, R. At-home meat consumption in China: An empirical study*. Aust. J. Agric. Resour. Econ. 2009, 53, 485–501. [Google Scholar] [CrossRef]
- MLA, Market Snapshot: Beef and Sheepmeat, Greater China. Available online: https://www.mla.com.au/globalassets/mla-corporate/prices--markets/documents/os-markets/export-statistics/november-2021/2021-greater-china-market-snapshot-red-meat_111121_distribution.pdf (accessed on 13 March 2022).
- Mao, Y.; Hopkins, D.L.; Zhang, Y.; Luo, X. Consumption Patterns and Consumer Attitudes to Beef and Sheep Meat in China. Am. J. Food Nutr. 2016, 4, 30–39. [Google Scholar]
- Farouk, M.M.; Staincliffe, M.; Hopkins, D.L.; Wu, G.; Che, C.; Bekhit, A.E.D.; Yoo, M.J.Y.; Horita, A.; Urquiola, G.; Craigie, C.; et al. Visible Fat Content of Hotpot Beef Acceptability by New Zealand Chinese, Japanese, and Korean Consumers. J. Food Qual. 2019, 2019, 1–11. [Google Scholar] [CrossRef]
- Frank, D.; Ball, A.; Hughes, J.; Krishnamurthy, R.; Piyasiri, U.; Stark, J.; Watkins, P.; Warner, R. Sensory and Flavor Chemistry Characteristics of Australian Beef: Influence of Intramuscular Fat, Feed, and Breed. J. Agric. Food Chem. 2016, 64, 4299–4311. [Google Scholar] [CrossRef] [PubMed]
- Frank, D.; Joo, S.-T.; Warner, R. Consumer acceptability of intramuscular fat. Korean J. Food Sci. Anim. Resour. 2016, 36, 699. [Google Scholar] [CrossRef] [PubMed]
- Savell, J.; Cross, H. The role of fat in the palatability of beef, pork, and lamb. In Designing Foods: Animal Product Options in the Marketplace, in Committee on Technological Options to Improve the Nutritional Attributes of Animal Products; National Academy Press: Washington, DC, USA, 1988; pp. 345–355. [Google Scholar]
- Anderson, F.; Williams, A.; Pannier, L.; Pethick, D.; Gardner, G. Sire carcass breeding values affect body composition in lambs—1. Effects on lean weight and its distribution within the carcass as measured by computed tomography. Meat Sci. 2015, 108, 145–154. [Google Scholar] [CrossRef]
- Forrest, J.C.; Aberle, E.D.; Hedrick, H.B.; Judge, M.D.; Merkel, R.A. Principles of Meat Science; W.H. Freeman and Co.: Reading, UK, 1975; 417p. [Google Scholar]
- Grunert, K.G.; Bredahl, L.; Brunsø, K. Consumer perception of meat quality and implications for product development in the meat sector—A review. Meat Sci. 2004, 66, 259–272. [Google Scholar] [CrossRef]
- Thompson, J.M.; Gee, A.; Hopkins, D.L.; Pethick, D.W.; Baud, S.R.; O'Halloran, W.J. Development of a sensory protocol for testing palatability of sheep meats. Aust. J. Exp. Agric. 2005, 45, 469–476. [Google Scholar] [CrossRef]
- Park, B.Y.; Hwang, I.H.; Cho, S.H.; Yoo, Y.M.; Kim, J.H.; Lee, J.M.; Polkinghorne, R.; Thompson, J.M. Effect of carcass suspension and cooking method on the palatability of three beef muscles as assessed by Korean and Australian consumers. Aust. J. Exp. Agric. 2008, 48, 1396–1404. [Google Scholar] [CrossRef]
- Polkinghorne, R.J.; Nishimura, T.; Neath, K.E.; Watson, R. A comparison of Japanese and Australian consumers’ sensory perceptions of beef. Anim. Sci. J. 2014, 85, 69–74. [Google Scholar] [CrossRef]
- Pannier, L.; Gardner, G.; Pearce, K.; McDonagh, M.; Ball, A.; Jacob, R.; Pethick, D. Associations of sire estimated breeding values and objective meat quality measurements with sensory scores in Australian lamb. Meat Sci. 2014, 96 Pt B, 1076–1087. [Google Scholar] [CrossRef]
- Pethick, D.W.; Pleasants, A.B.; Gee, A.M.; Hopkins, D.L.; Ross, I.R. Eating quality of commercial meat cuts from Australian lambs and sheep. Proc. N. Z. Soc. Anim. Prod. 2006, 66, 363–367. [Google Scholar]
- Payne, C.E.; Pannier, L.; Anderson, F.; Pethick, D.W.; Gardner, G.E. Lamb age has little impact on eating quality. Foods 2020, 9, 187. [Google Scholar]
- O’Reilly, R.; Pannier, L.; Gardner, G.; Garmyn, A.; Luo, H.; Meng, Q.; Miller, M.; Pethick, D. Minor differences in perceived sheepmeat eating quality scores of Australian, Chinese and American consumers. Meat Sci. 2020, 164, 108060. [Google Scholar] [CrossRef] [PubMed]
- O’Reilly, R.; Pannier, L.; Gardner, G.; Garmyn, A.; Jacob, R.; Luo, H.; Meng, Q.; Miller, M.; Pethick, D. Intramusclar fat and eating quality in sheep meat: A comparison of American, Chinese and Australian consumers. In Proceedings of the 63rd International Congress of Meat Science and Technology, Cork, Ireland, 13–18 August 2017; Wageningen Academic Publishers: Wageningen, The Netherlands, 2017. [Google Scholar]
- Pannier, L.; Gardner, G.; O'Reilly, R.; Pethick, D. Factors affecting lamb eating quality and the potential for their integration into an MSA sheepmeat grading model. Meat Sci. 2018, 144, 43–52. [Google Scholar] [CrossRef]
- Hopkins, D.L.; Hegarty, R.S.; Walker, P.J.; Pethick, D.W. Relationship between animal age, intramuscular fat, cooking loss, pH, shear force and eating quality of aged meat from sheep. Anim. Prod. Sci. 2006, 46, 879–884. [Google Scholar] [CrossRef]
- Fogarty, N.; Banks, R.; Van der Werf, J.; Ball, A.; Gibson, J. The information nucleus—A new concept to enhance sheep industry genetic improvement. Proc. Assoc. Advmt. Anim. Breed. Genet. 2007, 17, 29–32. [Google Scholar]
- Van Der Werf, J.H.J.; Kinghorn, B.P.; Banks, R.G. Design and role of an information nucleus in sheep breeding programs. Anim. Prod. Sci. 2010, 50, 998–1003. [Google Scholar] [CrossRef]
- Anonymous. Handbook of Australian Meat—International Red Meat Manual, 7th ed.; AUS-MEAT: Sydney, Australia, 2005. [Google Scholar]
- Pearce, K.L.; van de Ven, R.; Mudford, C.; Warner, R.D.; Hocking-Edwards, J.; Jacob, R.; Pethick, D.W.; Hopkins, D.L. Case studies demonstrating the benefits on pH and temperature decline of optimising medium-voltage electrical stimulation of lamb carcasses. Anim. Prod. Sci. 2010, 50, 1107–1114. [Google Scholar]
- Association of Official Analytical Chemists. AOAC Official Method 960.39, Fat (Crude) or Ether Extract in Meat; AOAC International: Gaithersburg, MD, USA, 2000; pp. 1–2. [Google Scholar]
- Perry, D.; Shorthose, W.R.; Ferguson, D.M.; Thompson, J.M. Methods used in the CRC program for the determination of carcass yield and beef quality. Aust. J. Exp. Agric. 2001, 41, 953. [Google Scholar] [CrossRef]
- O’Reilly, R.A.; Pannier, L.; Gardner, G.E.; Garmyn, A.J.; Luo, H.; Meng, Q.; Miller, M.F.; Pethick, D.W. Influence of Demographic Factors on Sheepmeat Sensory Scores of American, Australian and Chinese Consumers. Foods 2020, 9, 529. [Google Scholar] [CrossRef] [PubMed]
- Watson, R.; Gee, A.; Polkinghorne, R.; Porter, M. Accessory publication: MSA sensory testing protocols. Aust. J. Exp. Agric. 2008, 48, 1360–1367. [Google Scholar] [CrossRef]
- Thompson, J.M.; Pleasants, A.B.; Pethick, D.W. The effect of design and demographic factors on consumer sensory scores. Aust. J. Exp. Agric. 2005, 45, 477–482. [Google Scholar] [CrossRef]
- Tornberg, E. Effects of heat on meat proteins—Implications on structure and quality of meat products. Meat Sci. 2005, 70, 493–508. [Google Scholar] [CrossRef]
- Bonny, S.P.F.; Hocquette, J.-F.; Pethick, D.W.; Legrand, I.; Wierzbicki, J.; Allen, P.; Farmer, L.J.; Polkinghorne, R.J.; Gardner, G. Untrained consumer assessment of the eating quality of beef: 1. A single composite score can predict beef quality grades. Animal 2017, 11, 1389–1398. [Google Scholar] [CrossRef]
- Thompson, J.M.; Polkinghorne, R.; Hwang, I.H.; Gee, A.M.; Cho, S.H.; Park, B.Y.; Lee, J.M. Beef quality grades as determined by Korean and Australian consumers. Aust. J. Exp. Agric. 2008, 48, 1380–1386. [Google Scholar] [CrossRef]
- Pogorzelski, G.; Woźniak, K.; Polkinghorne, R.; Półtorak, A.; Wierzbicka, A. Polish consumer categorisation of grilled beef at 6 mm and 25 mm thickness into quality grades, based on Meat Standards Australia methodology. Meat Sci. 2020, 161, 107953. [Google Scholar] [CrossRef]
- Phelps, M.R.; Garmyn, A.J.; Brooks, J.C.; Martin, J.N.; Carr, C.C.; Campbell, J.A.; McKeith, A.G.; Miller, M.F. Consumer Assessment of Lamb Loin and Leg from Australia, New Zealand, and United States. Meat Muscle Biol. 2018, 2, 64–74. [Google Scholar] [CrossRef]
- Polkinghorne, R.J.; Nishimura, T.; Neath, K.E.; Watson, R. Japanese consumer categorisation of beef into quality grades, based on Meat Standards Australia methodology. Anim. Sci. J. 2011, 82, 325–333. [Google Scholar] [CrossRef]
- Kunert, J. Sensory experiments as crossover studies. Food Qual. Prefer. 1998, 9, 243–253. [Google Scholar] [CrossRef]
- Shorthose, W.R.; Harris, P.V. Effects of growth and composition on meat quality. Meat Sci. 1991, 7, 515–549. [Google Scholar]
- Pethick, D.W.; Hopkins, D.; D’Souza, D.N.; Thompson, J.M.; Walker, P.J. Effects of animal age on the eating quality of sheep meat. Aust. J. Exp. Agric. 2005, 45, 491–498. [Google Scholar] [CrossRef]
- Pannier, L.; Gardner, G.; Pethick, D.W. Effect of Merino sheep age on consumer sensory scores, carcass and instrumental meat quality measurements. Anim. Prod. Sci. 2019, 59, 1349. [Google Scholar] [CrossRef]
- Pannier, L.; Gardner, G.E.; Ball, A.J.; Pethick, D.W. Impact of age of Australian Merino’s on consumer sensory scores. In Proceedings of the 61st International Congress of Meat Science and Technology, Clemont-Ferrand, France, 23–28 August 2015; pp. 1–4. [Google Scholar]
- Thompson, J.M. The relationship between marbling and sensory traits. Beef CRC Marbling Symposium. 2001, pp. 30–35. Available online: http://livestocklibrary.com.au/bitstream/handle/1234/20176/MARB01-Thompson-Marbling_and_sensory_traits.pdf?sequence=1 (accessed on 24 January 2023).


| Site | Age Class | Sire Type | Sex | Count |
|---|---|---|---|---|
| Kirby | Lamb | Maternal | F | 3 |
| M | 3 | |||
| Terminal | F | 22 | ||
| M | 19 | |||
| Merino | F | 1 | ||
| M | 2 | |||
| Yearling | Merino | M | 70 | |
| Katanning | Lamb | Maternal | F | 2 |
| M | 3 | |||
| Terminal | F | 27 | ||
| M | 13 | |||
| Merino | F | 10 | ||
| M | 3 | |||
| Yearling | Merino | M | 39 |
| Age Class | Sire Type | No. of Sires | No. of Lambs | Hot Carcase Weight (kg) | Loin Fat Weight (g) | Loin Weight (g) | IMF % |
|---|---|---|---|---|---|---|---|
| Mean ± SD (min—max) | Mean ± SD (min—max) | Mean ± SD (min—max) | Mean ± SD (min—max) | ||||
| Lamb | Maternal | 8 | 11 | 25.2 ± 3 (20.5–29.7) | 355.8 ± 147.4 (118–550) | 429.5 ± 75.1 (296–531) | 5.9 ± 1.1 (4.4–8) |
| Merino | 10 | 16 | 22.1 ± 3.7 (16.6–30.4) | 215.4 ± 100.5 (111–435) | 369.8 ± 65.4 (263–483) | 5.3 ± 1.2 (3.3–7.7) | |
| Terminal | 42 | 81 | 27.1 ± 5.6 (17.4–39.5) | 410.2 ± 211.2 (129–939) | 498.5 ± 129.9 (259–784) | 5.3 ± 1.1 (3.3–10.6) | |
| Yearling | Merino | 47 | 109 | 21.4 ± 3 (15–29.9) | 149.9 ± 68.9 (44–386) | 374.2 ± 62.1 (243–544) | 5.1 ± 1.3 (2.4–8.9) |
| Effect | Tenderness | Juiciness | Flavour | Overall liking | ||||
|---|---|---|---|---|---|---|---|---|
| NDF, DDF | F-value | NDF, DDF | F-value | NDF, DDF | F-value | NDF, DDF | F-value | |
| Cut | 1, 3654 | 15.8 ** | 1, 3419 | 24.61 ** | 1, 3424 | 37.46 ** | 1, 3420 | 51.79 ** |
| Sire type-age class | 3, 197 | 9.76 ** | 3, 190 | 4.23 * | 3, 194 | 4.31 * | 3, 196 | 5.8 ** |
| Site | 1, 193 | 4 * | 1, 187 | 10.6 * | 1, 201 | 4.48 * | 1, 203 | 2.53 |
| Cut × Sire type-age class | 3, 3729 | 2.7 * | - | - | - | - | - | - |
| Site × Sire type-age class | - | - | - | - | 3, 202 | 3.16 * | 3, 204 | 3.21 * |
| Site | Age Class | Sire Type | Cut | Tenderness | Juiciness | Flavour | Overall Liking |
|---|---|---|---|---|---|---|---|
| Kirby | Lamb | Maternal | shoulder | 68.5 ± 3.1 | 64.3 ± 2.8 | 68.3 ± 2.7 | 69.7 ± 2.7 |
| leg | 61.4 ± 3.1 | 56.9 ± 2.8 | 62.4 ± 2.7 | 63.2 ± 2.7 | |||
| Merino | shoulder | 73.6 ± 5.3 | 69.8 ± 4.8 | 70.9 ± 4.5 | 72.2 ± 4.6 | ||
| leg | 66.3 ± 4.4 | 61.3 ± 4 | 61.9 ± 3.8 | 62.8 ± 3.8 | |||
| Terminal | shoulder | 63.0 ± 1.2 | 62.1 ± 1.1 | 65.2 ± 1.1 | 66.5 ± 1.1 | ||
| leg | 56.8 ± 1.2 | 56.7 ± 1.1 | 59.5 ± 1.1 | 60.8 ± 1.1 | |||
| Yearling | Merino | shoulder | 58.2 ± 1 | 59.4 ± 0.9 | 63.2 ± 0.9 | 64.3 ± 0.9 | |
| leg | 57.4 ± 1 | 57.7 ± 0.9 | 61.4 ± 0.9 | 62.1 ± 0.9 | |||
| Katanning | Lamb | Maternal | shoulder | 64.5 ± 3.4 | 63.6 ± 3.1 | 67.5 ± 2.9 | 67.8 ± 3 |
| leg | 60.6 ± 3.4 | 58.5 ± 3.1 | 64.0 ± 2.9 | 64.4 ± 3 | |||
| Merino | shoulder | 66.3 ± 2.1 | 66.1 ± 1.9 | 70.7 ± 1.8 | 72.0 ± 1.9 | ||
| leg | 62.9 ± 2.1 | 62.6 ± 1.9 | 65.4 ± 1.8 | 66.3 ± 1.9 | |||
| Terminal | shoulder | 65.0 ± 1.3 | 64.6 ± 1.2 | 69.4 ± 1.1 | 70.6 ± 1.1 | ||
| leg | 63.6 ± 1.3 | 63 ± 1.2 | 66.9 ± 1.1 | 67.1 ± 1.1 | |||
| Yearling | Merino | shoulder | 59.0 ± 1.3 | 60.4 ± 1.2 | 64.7 ± 1.1 | 65.4 ± 1.1 | |
| leg | 57.9 ± 1.3 | 59.3 ± 1.2 | 62.7 ± 1.1 | 62.2 ± 1.1 |
| Sensory Traits | Tenderness | Juiciness | Flavour | Overall Liking |
|---|---|---|---|---|
| Tenderness | 0.81 | 0.73 | 0.77 | |
| Juiciness | 0.79 | 0.74 | 0.77 | |
| Flavour | 0.71 | 0.72 | 0.92 | |
| Overall liking | 0.76 | 0.76 | 0.92 |
Disclaimer/Publisher’s Note: The statements, opinions and data contained in all publications are solely those of the individual author(s) and contributor(s) and not of MDPI and/or the editor(s). MDPI and/or the editor(s) disclaim responsibility for any injury to people or property resulting from any ideas, methods, instructions or products referred to in the content. |
© 2023 by the authors. Licensee MDPI, Basel, Switzerland. This article is an open access article distributed under the terms and conditions of the Creative Commons Attribution (CC BY) license (https://creativecommons.org/licenses/by/4.0/).
Share and Cite
O’Reilly, R.A.; Zhao, L.; Gardner, G.E.; Luo, H.; Meng, Q.; Pethick, D.W.; Pannier, L. Chinese Consumer Assessment of Australian Sheep Meat Using a Traditional Hotpot Cooking Method. Foods 2023, 12, 1109. https://doi.org/10.3390/foods12051109
O’Reilly RA, Zhao L, Gardner GE, Luo H, Meng Q, Pethick DW, Pannier L. Chinese Consumer Assessment of Australian Sheep Meat Using a Traditional Hotpot Cooking Method. Foods. 2023; 12(5):1109. https://doi.org/10.3390/foods12051109
Chicago/Turabian StyleO’Reilly, Rachel A., Liping Zhao, Graham E. Gardner, Hailing Luo, Qingxiang Meng, David W. Pethick, and Liselotte Pannier. 2023. "Chinese Consumer Assessment of Australian Sheep Meat Using a Traditional Hotpot Cooking Method" Foods 12, no. 5: 1109. https://doi.org/10.3390/foods12051109
APA StyleO’Reilly, R. A., Zhao, L., Gardner, G. E., Luo, H., Meng, Q., Pethick, D. W., & Pannier, L. (2023). Chinese Consumer Assessment of Australian Sheep Meat Using a Traditional Hotpot Cooking Method. Foods, 12(5), 1109. https://doi.org/10.3390/foods12051109
