Influences of Ultrasonic Treatments on the Structure and Antioxidant Properties of Sugar Beet Pectin
Abstract
1. Introduction
2. Materials and Methods
2.1. Materials
2.2. Ultrasonic Treatment of SBP
2.3. Chemical Composition
2.4. Esterification Degree (DE)
2.5. Intrinsic Viscosity and MV
2.6. Particle Size
2.7. Color Analysis
2.8. FT-IR Analysis
2.9. SEM Analysis
2.10. Thermal Analysis
2.11. Antioxidant Capacity Analysis
2.11.1. DPPH Radical Scavenging Activity
2.11.2. ABTS Radical Scavenging Activity
2.11.3. Reducing Power
2.12. Statistical Analysis
3. Results and Discussion
3.1. Structural Characterization
3.2. Intrinsic Viscosity and MV
3.3. Particle Size
3.4. Color Analysis of SBP and Its Degradation Products
3.5. FT-IR
3.6. SEM Analysis
3.7. Thermal Analysis
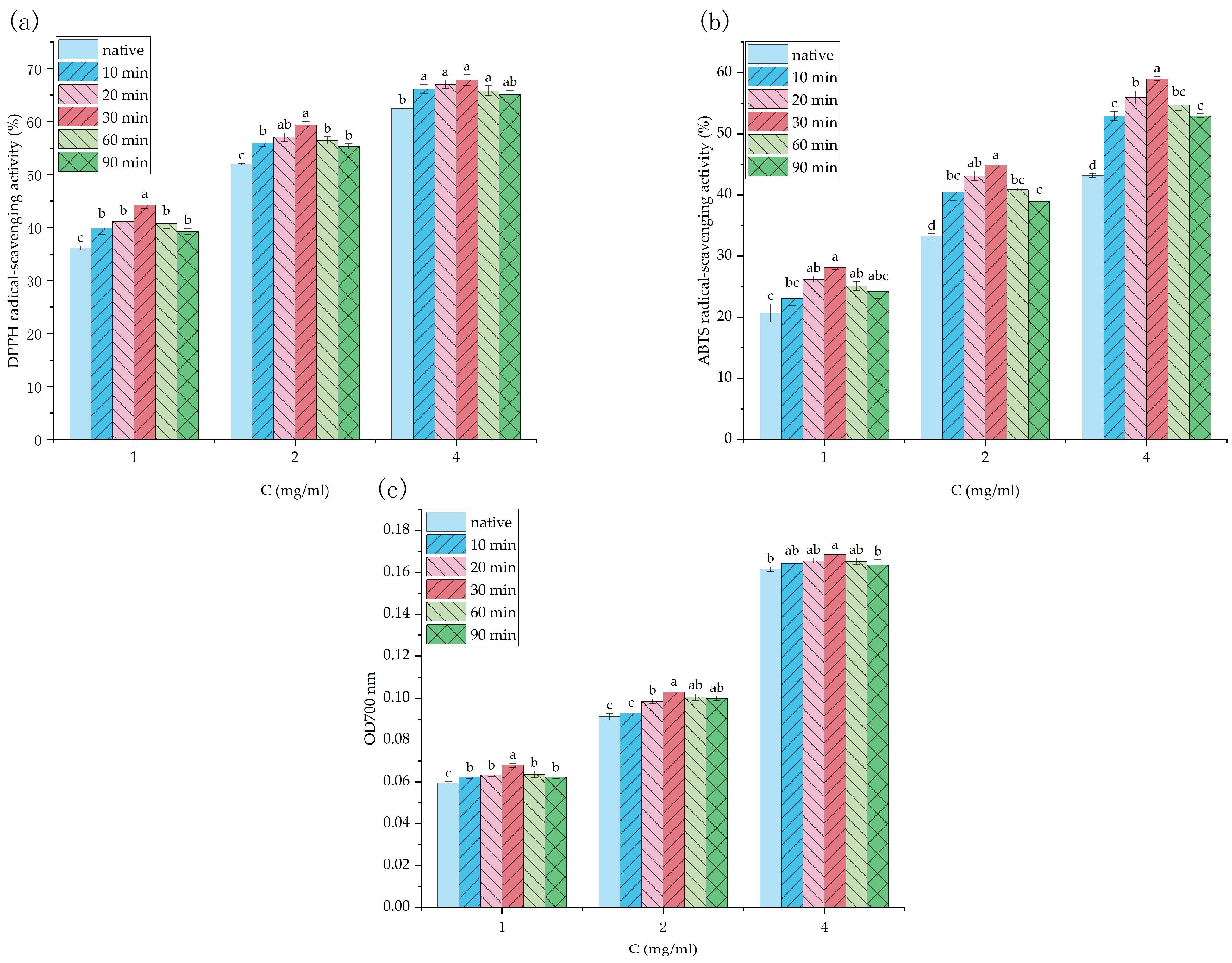
3.8. In Vitro Antioxidant Activity of SBP
4. Conclusions
Author Contributions
Funding
Data Availability Statement
Conflicts of Interest
References
- De Vries, L.; Guevara-Rozo, S.; Cho, M.; Liu, L.-Y.; Renneckar, S.; Mansfield, S.D. Tailoring renewable materials via plant biotechnology. Biotechnol. Biofuels 2021, 14, 167. [Google Scholar] [CrossRef] [PubMed]
- Wang, W.; Feng, Y.; Chen, W.; Adie, K.; Liu, D.; Yin, Y. Citrus pectin modified by microfluidization and ultrasonication: Improved emulsifying and encapsulation properties. Ultrason. Sonochem. 2021, 70, 105322. [Google Scholar] [CrossRef] [PubMed]
- Tan, J.; Hua, X.; Liu, J.r.; Wang, M.; Liu, Y.; Yang, R.; Cao, Y. Extraction of sunflower head pectin with superfine grinding pretreatment. Food Chem. 2020, 320, 126631. [Google Scholar] [CrossRef] [PubMed]
- Mendez, D.A.; Fabra, M.J.; Martinez-Abad, A.; Martinez-Sanz, M.; Gorria, M.; Lopez-Rubio, A. Understanding the different emulsification mechanisms of pectin: Comparison between watermelon rind and two commercial pectin sources. Food Hydrocoll. 2021, 120, 106957. [Google Scholar] [CrossRef]
- Thirkield, B.L.; Pattathil, S.; Morales-Contreras, B.E.; Hahn, M.G.; Wicker, L. Protein, hydrophobic nature, and glycan profile of sugar beet pectin influence emulsifying activity. Food Hydrocoll. 2022, 123, 107131. [Google Scholar] [CrossRef]
- Bindereif, B.; Eichhoefer, H.; Bunzel, M.; Karbstein, H.P.; Wefers, D.; van Der Schaaf, U.S. Arabinan side-chains strongly affect the emulsifying properties of acid-extracted sugar beet pectins. Food Hydrocoll. 2021, 121, 106968. [Google Scholar] [CrossRef]
- Ahmadi, S.; Yu, C.; Zaeim, D.; Wu, D.; Hu, X.; Ye, X.; Chen, S. Increasing RG-I content and lipase inhibitory activity of pectic polysaccharides extracted from goji berry and raspberry by high-pressure processing. Food Hydrocoll. 2022, 126, 107477. [Google Scholar] [CrossRef]
- Zhao, B.; Wang, X.; Liu, H.; Lv, C.; Lu, J. Structural characterization and antioxidant activity of oligosaccharides from Panax ginseng C. A. Meyer. Int. J. Biol. Macromol. 2020, 150, 737–745. [Google Scholar] [CrossRef]
- Wu, D.T.; Zhao, Y.X.; Guo, H.; Gan, R.Y.; Peng, L.X.; Zhao, G.; Zou, L. Physicochemical and Biological Properties of Polysaccharides from Dictyophora indusiata Prepared by Different Extraction Techniques. Polymers 2021, 13, 2357. [Google Scholar] [CrossRef]
- Liu, H.; Xu, X.M.; Guo, S.D. Rheological, texture and sensory properties of low-fat mayonnaise with different fat mimetics. LWT-Food Sci. Technol. 2007, 40, 946–954. [Google Scholar] [CrossRef]
- Guo, Y.; Wei, Y.; Cai, Z.; Hou, B.; Zhang, H. Stability of acidified milk drinks induced by various polysaccharide stabilizers: A review. Food Hydrocoll. 2021, 118, 106814. [Google Scholar] [CrossRef]
- Mota, J.; Muro, C.; Illescas, J.; Hernandez, O.A.; Tecante, A.; Rivera, E. Extraction and Characterization of Pectin from the Fruit Peel of Opuntia robusta. ChemistrySelect 2020, 5, 11446–11452. [Google Scholar] [CrossRef]
- Pokhrel, N.; Vabbina, P.K.; Pala, N. Sonochemistry: Science and Engineering. Ultrason. Sonochem. 2016, 29, 104–128. [Google Scholar] [CrossRef] [PubMed]
- Brotchie, A.; Grieser, F.; Ashokkumar, M. Effect of Power and Frequency on Bubble-Size Distributions in Acoustic Cavitation. Phys. Rev. Lett. 2009, 102, 084302. [Google Scholar] [CrossRef]
- Cai, B.; Mazahreh, J.; Ma, Q.; Wang, F.; Hu, X. Ultrasound-assisted fabrication of biopolymer materials: A review. Int. J. Biol. Macromol. 2022, 209, 1613–1628. [Google Scholar] [CrossRef]
- Li, L.; Zhou, Y.; Teng, F.; Zhang, S.; Qi, B.; Wu, C.; Tian, T.; Wang, Z.; Li, Y. Application of ultrasound treatment for modulating the structural, functional and rheological properties of black bean protein isolates. Int. J. Food Sci. Technol. 2020, 55, 1637–1647. [Google Scholar] [CrossRef]
- Yu, X.; Zhou, C.; Yang, H.; Huang, X.; Ma, H.; Qin, X.; Hu, J. Effect of ultrasonic treatment on the degradation and inhibition cancer cell lines of polysaccharides from Porphyra yezoensis. Carbohydr. Polym. 2015, 117, 650–656. [Google Scholar] [CrossRef]
- Zheng, J.; Zeng, R.; Kan, J.; Zhang, F. Effects of ultrasonic treatment on gel rheological properties and gel formation of high-methoxyl pectin. J. Food Eng. 2018, 231, 83–90. [Google Scholar] [CrossRef]
- Cheng, W.; Chen, J.; Liu, D.; Ye, X.; Ke, F. Impact of ultrasonic treatment on properties of starch film-forming dispersion and the resulting films. Carbohydr. Polym. 2010, 81, 707–711. [Google Scholar] [CrossRef]
- Ogutu, F.O.; Mu, T.H. Ultrasonic degradation of sweet potato pectin and its antioxidant activity. Ultrason. Sonochem. 2017, 38, 726–734. [Google Scholar] [CrossRef]
- Yang, Y.; Chen, D.; Yu, Y.; Huang, X. Effect of ultrasonic treatment on rheological and emulsifying properties of sugar beet pectin. Food Sci. Nutr. 2020, 8, 4266–4275. [Google Scholar] [CrossRef] [PubMed]
- Wang, C.; Qiu, W.Y.; Chen, T.T.; Yan, J.K. Effects of structural and conformational characteristics of citrus pectin on its functional properties. Food Chem. 2021, 339, 128064. [Google Scholar] [CrossRef] [PubMed]
- Blumenkrantz, N.; Asboe-Hansen, G. New method for quantitative determination of uronic acids. Anal. Biochem. 1973, 54, 484–489. [Google Scholar] [CrossRef]
- Wang, W.; Chen, F.; Zheng, F.; Russell, B.T. Optimization of synthesis of carbohydrates and 1-phenyl-3-methyl-5-pyrazolone (PMP) by response surface methodology (RSM) for improved carbohydrate detection. Food Chem. 2020, 309, 125686. [Google Scholar] [CrossRef] [PubMed]
- Zhang, W.; Wen, J.; Li, L.; Xu, Y.; Yu, Y.; Liu, H.; Fu, M.; Zhao, Z. Physicochemical, structural and functional properties of pomelo spongy tissue pectin modified by different green physical methods: A comparison. Int. J. Biol. Macromol. 2022, 222, 3195–3202. [Google Scholar] [CrossRef] [PubMed]
- Diao, Y.; Song, M.; Zhang, Y.; Shi, L.y.; Lv, Y.; Ran, R. Enzymic degradation of hydroxyethyl cellulose and analysis of the substitution pattern along the polysaccharide chain. Carbohydr. Polym. 2017, 169, 92–100. [Google Scholar] [CrossRef]
- Vega, M.P.; Lima, E.L.; Pinto, J.C. In-line monitoring of weight average molecular weight in solution polymerizations using intrinsic viscosity measurements. Polymer 2001, 42, 3909–3914. [Google Scholar] [CrossRef]
- Yu, G.; Zhao, J.; Wei, Y.; Huang, L.; Li, F.; Zhang, Y.; Li, Q. Physicochemical Properties and Antioxidant Activity of Pumpkin Polysaccharide (Cucurbita moschata Duchesne ex Poiret) Modified by Subcritical Water. Foods 2021, 10, 197. [Google Scholar] [CrossRef]
- Chen, X.; Qi, Y.; Zhu, C.; Wang, Q. Effect of ultrasound on the properties and antioxidant activity of hawthorn pectin. Int. J. Biol. Macromol. 2019, 131, 273–281. [Google Scholar] [CrossRef]
- Qin, C.; Yang, G.; Wu, S.; Zhang, H.; Zhu, C. Synthesis, physicochemical characterization, antibacterial activity, and biocompatibility of quaternized hawthorn pectin. Int. J. Biol. Macromol. 2022, 213, 1047–1056. [Google Scholar] [CrossRef]
- Gharibzahedi, S.M.T.; Smith, B.; Guo, Y. Pectin extraction from common fig skin by different methods: The physicochemical, rheological, functional, and structural evaluations. Int. J. Biol. Macromol. 2019, 136, 275–283. [Google Scholar] [CrossRef] [PubMed]
- Aiyegoro, O.A.; Okoh, A.I. Preliminary phytochemical screening and In vitro antioxidant activities of the aqueous extract of Helichrysum longifolium DC. BMC Complement. Altern. Med. 2010, 10, 21. [Google Scholar] [CrossRef] [PubMed]
- Chen, S.; Xiao, L.; Li, S.; Meng, T.; Wang, L.; Zhang, W. The effect of sonication-synergistic natural deep eutectic solvents on extraction yield, structural and physicochemical properties of pectins extracted from mango peels. Ultrason. Sonochem. 2022, 86, 106045. [Google Scholar] [CrossRef] [PubMed]
- Wang, H.; Chen, J.; Ren, P.; Zhang, Y.; Onayango, S.O. Ultrasound irradiation alters the spatial structure and improves the antioxidant activity of the yellow tea polysaccharide. Ultrason. Sonochem. 2021, 70, 105355. [Google Scholar] [CrossRef]
- Jermendi, E.; Beukema, M.; van den Berg, M.A.; de Vos, P.; Schols, H.A. Revealing methyl-esterification patterns of pectins by enzymatic fingerprinting: Beyond the degree of blockiness. Carbohydr. Polym. 2022, 277, 118813. [Google Scholar] [CrossRef]
- Awadeen, R.H.; Boughdady, M.F.; Meshali, M.M. Quality by Design Approach for Preparation of Zolmitriptan/Chitosan Nanostructured Lipid Carrier Particles—Formulation and Pharmacodynamic Assessment. Int. J. Nanomed. 2020, 15, 8553–8568. [Google Scholar] [CrossRef]
- Long, X.; Hu, X.; Xiang, H.; Chen, S.; Li, L.; Qi, B.; Li, C.; Liu, S.; Yang, X. Structural characterization and hypolipidemic activity of Gracilaria lemaneiformis polysaccharide and its degradation products. Food Chem. X 2022, 14, 100314. [Google Scholar] [CrossRef]
- Taboada, E.; Fisher, P.; Jara, R.; Zuniga, E.; Gidekel, M.; Carlos Cabrera, J.; Pereira, E.; Gutierrez-Moraga, A.; Villalonga, R.; Cabrera, G. Isolation and characterisation of pectic substances from murta (Ugni molinae Turcz) fruits. Food Chem. 2010, 123, 669–678. [Google Scholar] [CrossRef]
- Ning, X.; Liu, Y.; Jia, M.; Wang, Q.; Sun, Z.; Ji, L.; Mayo, K.H.; Zhou, Y.; Sun, L. Pectic polysaccharides from Radix Sophorae Tonkinensis exhibit significant antioxidant effects. Carbohydr. Polym. 2021, 262, 117925. [Google Scholar] [CrossRef]
- Fracasso, A.F.; Perussello, C.A.; Carpine, D.; de Oliveira Petkowicz, C.L.; Isidoro Haminiuk, C.W. Chemical modification of citrus pectin: Structural, physical and rheologial implications. Int. J. Biol. Macromol. 2018, 109, 784–792. [Google Scholar] [CrossRef]
- Li, Z.; Zhang, J.; Zhang, H.; Liu, Y.; Zhu, C. Effect of different processing methods of hawthorn on the properties and emulsification performance of hawthorn pectin. Carbohydr. Polym. 2022, 298, 120121. [Google Scholar] [CrossRef] [PubMed]
- Yang, W.; Huang, G. Extraction, structural characterization, and physicochemical properties of polysaccharide from purple sweet potato. Chem. Biol. Drug Des. 2021, 98, 979–985. [Google Scholar] [CrossRef] [PubMed]
- Zhang, W.; Fan, X.; Gu, X.; Gong, S.; Wu, J.; Wang, Z.; Wang, Q.; Wang, S. Emulsifying properties of pectic polysaccharides obtained by sequential extraction from black tomato pomace. Food Hydrocoll. 2020, 100, 105454. [Google Scholar] [CrossRef]
- Chen, T.T.; Zhang, Z.H.; Wang, Z.W.; Chen, Z.L.; Ma, H.l.; Yan, J.K. Effects of ultrasound modification at different frequency modes on physicochemical, structural, functional, and biological properties of citrus pectin. Food Hydrocoll. 2021, 113, 106484. [Google Scholar] [CrossRef]
- Liu, N.; Yang, W.; Li, X.; Zhao, P.; Liu, Y.; Guo, L.; Huang, L.; Gao, W. Comparison of characterization and antioxidant activity of different citrus peel pectins. Food Chem. 2022, 386, 132683. [Google Scholar] [CrossRef]
- Teng, H.; He, Z.; Li, X.; Shen, W.; Wang, J.; Zhao, D.; Sun, H.; Xu, X.; Li, C.; Zha, X. Chemical structure, antioxidant and anti-inflammatory activities of two novel pectin polysaccharides from purple passion fruit (Passiflora edulia Sims) peel. J. Mol. Struct. 2022, 1264, 133309. [Google Scholar] [CrossRef]
- Sun, D.; Chen, X.; Zhu, C. Physicochemical properties and antioxidant activity of pectin from hawthorn wine pomace: A comparison of different extraction methods. Int. J. Biol. Macromol. 2020, 158, 1239–1247. [Google Scholar] [CrossRef]
- Cheng, H.; Huang, G. The antioxidant activities of carboxymethylated garlic polysaccharide and its derivatives. Int. J. Biol. Macromol. 2019, 140, 1054–1063. [Google Scholar] [CrossRef]
- Larsen, L.R.; Buerschaper, J.; Schieber, A.; Weber, F. Interactions of Anthocyanins with Pectin and Pectin Fragments in Model Solutions. J. Agric. Food. Chem. 2019, 67, 9344–9353. [Google Scholar] [CrossRef]
- Venzon, S.S.; Giovanetti Canteri, M.H.; Granato, D.; Demczuk Junior, B.; Maciel, G.M.; Stafussa, A.P.; Isidoro Haminiuk, C.W. Physicochemical properties of modified citrus pectins extracted from orange pomace. J. Food Sci. Technol. 2015, 52, 4102–4112. [Google Scholar] [CrossRef]





| Native | 10 min | 20 min | 30 min | 60 min | 90 min | |
|---|---|---|---|---|---|---|
| GalA (%) | 63.68 ± 0.30 b | 65.19 ± 0.22 a,b | 66.33 ± 0.74 a,b | 66.76 ± 0.51 a,b | 68.28 ± 1.16 a | 68.15 ± 1.50 a |
| Pro (%) | 4.20 ± 0.14 a | 4.25 ± 0.04 a | 4.21 ± 0.13 a | 4.12 ± 0.12 a | 4.25 ± 0.02 a | 4.29 ± 0.08 a |
| Gal (%) | 8.53 ± 0.05 a | 8.4 ± 0.17 a,b | 8.17 ± 0.17 a,b,c | 7.91 ± 0.13 b,c,d | 7.64 ± 0.25 d | 7.63 ± 0.11 c,d |
| Rha (%) | 6.29 ± 0.03 a | 6.16 ± 0.07 a,b | 6.14 ± 0.06 a,b | 5.99 ± 0.14 b,c | 5.72 ± 0.04 c,d | 5.43 ± 0.06 d |
| Ara (%) | 3.16 ± 0.05 a | 2.69 ± 0.25 a,b | 2.47 ± 0.04 b,c | 2.41 ± 0.2 b,c | 2.14 ± 0.14 b,c | 2.08 ± 0.06 c |
| Glc (%) | 0.87 ± 0.02 a | 0.83 ± 0.02 a | 0.73 ± 0.01 b | 0.69 ± 0.01 b,c | 0.63 ± 0.02 c | 0.52 ± 0.02 d |
| DE (%) | 51.40 ± 0.99 a | 49.75 ± 0.21 a,b | 47.70 ± 1.56 b,c | 44.90 ± 0.57 c,d | 42.78 ± 0.39 d,e | 41.50 ± 0.71 e |
| Native | 10 min | 20 min | 30 min | 60 min | 90 min | |
|---|---|---|---|---|---|---|
| L* | 84.90 ± 0.78 c | 84.18 ± 0.20 c | 86.38 ± 0.12 b | 87.07 ± 0.34 a,b | 87.04 ± 0.39 a,b | 87.6 ± 0.13 a |
| a* | 0.67 ± 0.06 a | 0.62 ± 0.06 a | 0.41 ± 0.02 b | 0.34 ± 0.02 b | 0.15 ± 0.02 c | 0.02 ± 0.01 d |
| b* | 10.31 ± 0.34 a | 10.46 ± 0.14 a | 10.19 ± 0.05 a | 10.28 ± 0.02 a | 9.72 ± 0.12 b | 9.7 ± 0.02 b |
| Native | 10 min | 20 min | 30 min | 60 min | 90 min | |
|---|---|---|---|---|---|---|
| (°C) | 247.67 | 251.17 | 250.67 | 250.67 | 248.00 | 247.83 |
| (°C) | 124.17 | 123.43 | 123.23 | 120.39 | 109.12 | 109.32 |
| (°C) | 255.63 | 258.02 | 257.55 | 257.24 | 256.38 | 255.12 |
Disclaimer/Publisher’s Note: The statements, opinions and data contained in all publications are solely those of the individual author(s) and contributor(s) and not of MDPI and/or the editor(s). MDPI and/or the editor(s) disclaim responsibility for any injury to people or property resulting from any ideas, methods, instructions or products referred to in the content. |
© 2023 by the authors. Licensee MDPI, Basel, Switzerland. This article is an open access article distributed under the terms and conditions of the Creative Commons Attribution (CC BY) license (https://creativecommons.org/licenses/by/4.0/).
Share and Cite
Xu, Y.; Zhang, J.; He, J.; Liu, T.; Guo, X. Influences of Ultrasonic Treatments on the Structure and Antioxidant Properties of Sugar Beet Pectin. Foods 2023, 12, 1020. https://doi.org/10.3390/foods12051020
Xu Y, Zhang J, He J, Liu T, Guo X. Influences of Ultrasonic Treatments on the Structure and Antioxidant Properties of Sugar Beet Pectin. Foods. 2023; 12(5):1020. https://doi.org/10.3390/foods12051020
Chicago/Turabian StyleXu, Yingjie, Jian Zhang, Jinmeng He, Ting Liu, and Xiaobing Guo. 2023. "Influences of Ultrasonic Treatments on the Structure and Antioxidant Properties of Sugar Beet Pectin" Foods 12, no. 5: 1020. https://doi.org/10.3390/foods12051020
APA StyleXu, Y., Zhang, J., He, J., Liu, T., & Guo, X. (2023). Influences of Ultrasonic Treatments on the Structure and Antioxidant Properties of Sugar Beet Pectin. Foods, 12(5), 1020. https://doi.org/10.3390/foods12051020

