Lipid Profiles of Human Milk and Infant Formulas: A Comparative Lipidomics Study
Abstract
1. Introduction
2. Materials and Methods
2.1. Sample Collection
2.2. Chemicals
2.3. Lipid Extraction for GC and UHPLC-Q-TOF-MS
2.4. Determination of Lipid and Cholesterol Content
2.5. Determination of Total Fatty Acids
2.6. Determination of sn-2 Fatty Acids
2.7. Determination of Lipid Profiles
2.8. Statistical Analysis
3. Results and Discussion
3.1. Total Lipid Comparation
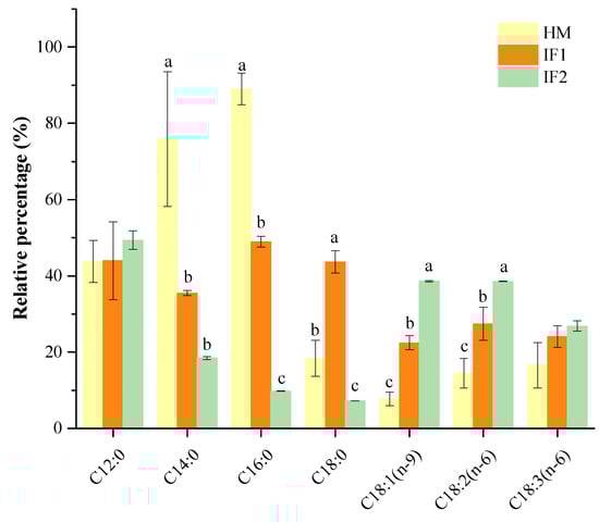
3.2. Composition of Total Fatty Acids
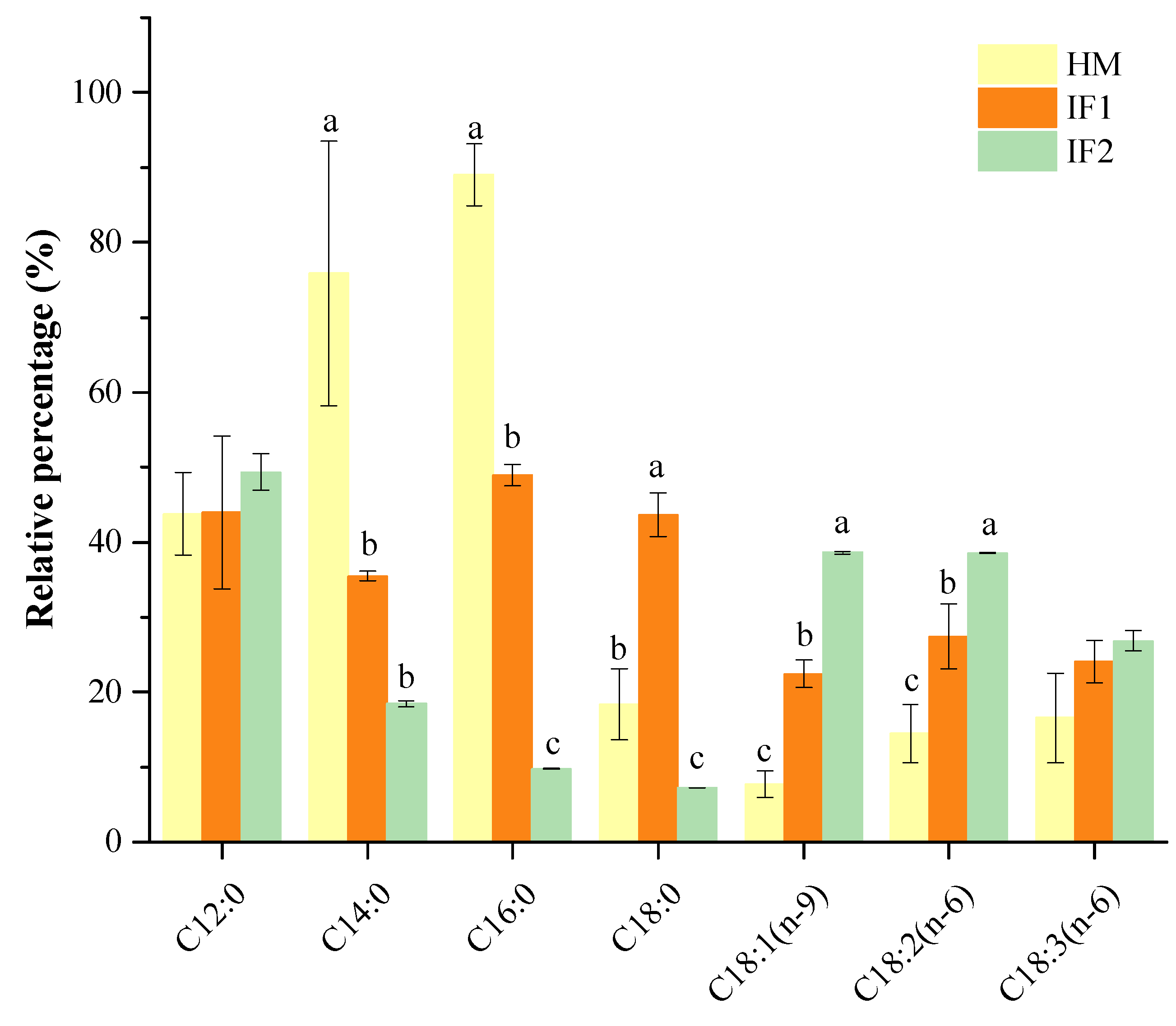
3.3. Composition of sn-2 Fatty Acids
3.4. Comparative Analysis of Lipids
3.4.1. Qualitative Analysis of Lipids
3.4.2. Quantitative Analysis of Lipids
3.4.3. Neutral Lipid Species Analysis
3.4.4. Polar Lipid Species Analysis
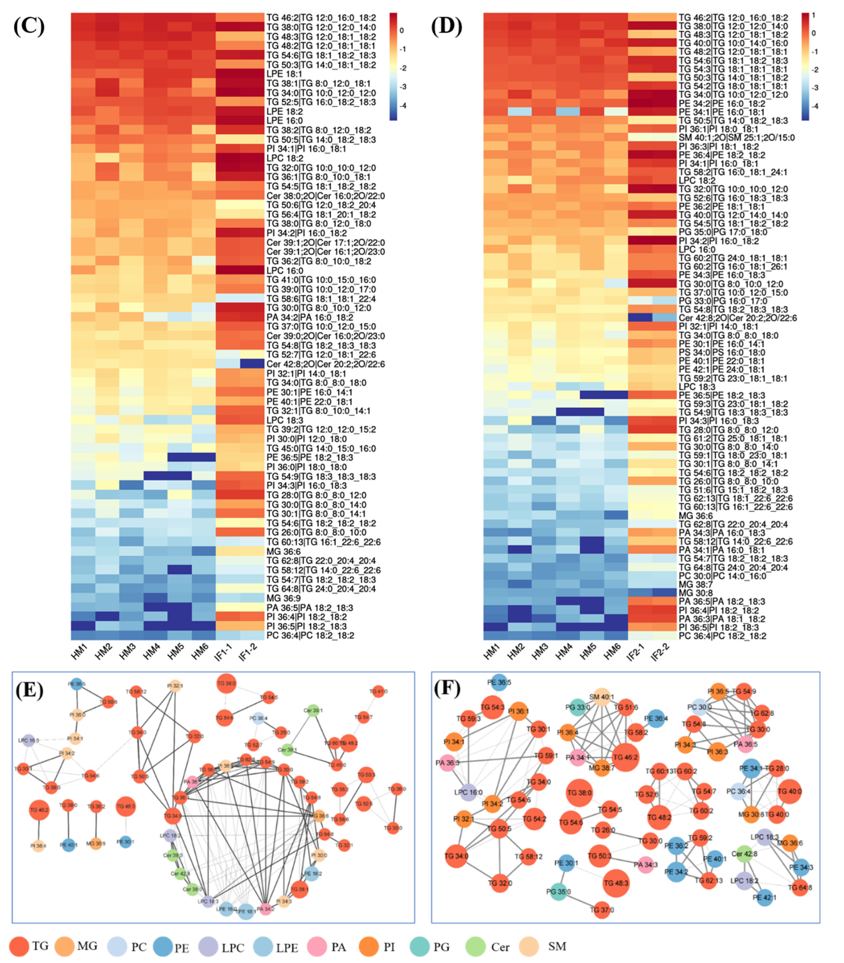
3.5. Analysis of Differential Lipids
3.6. Pathway of Differential Lipids
4. Conclusions
Supplementary Materials
Author Contributions
Funding
Institutional Review Board Statement
Informed Consent Statement
Data Availability Statement
Conflicts of Interest
Abbreviations
References
- Zhao, P.; Zhang, S.; Liu, L.; Pang, X.; Yang, Y.; Lu, J.; Lv, J. Differences in the Triacylglycerol and Fatty Acid Compositions of Human Colostrum and Mature Milk. J. Agric. Food Chem. 2018, 66, 4571–4579. [Google Scholar] [CrossRef] [PubMed]
- Han, X. Lipidomics for studying metabolism. Nat. Rev. Endocrinol. 2016, 12, 668–679. [Google Scholar] [CrossRef] [PubMed]
- Zou, X.Q.; Guo, Z.; Huang, J.-H.; Jin, Q.-Z.; Cheong, L.-Z.; Wang, X.-G.; Xu, X.-B. Human milk fat globules from different stages of lactation: A lipid composition analysis and microstructure characterization. J. Agric. Food Chem. 2012, 60, 7158–7167. [Google Scholar] [CrossRef]
- Chen, Y.J.; Zhou, X.; Han, B.; Li, S.; Xu, T.; Yi, H.; Liu, P.; Zhang, L.; Li, Y.; Jiang, S.; et al. Composition analysis of fatty acids and stereo-distribution of triglycerides in human milk from three regions of China. Food. Res. Int. 2020, 133, 109196. [Google Scholar] [CrossRef]
- Lindquist, S.; Hernell, O. Lipid digestion and absorption in early life: An update. Curr. Opin. Clin. Nutr. Metab. Care 2010, 13, 314–320. [Google Scholar] [CrossRef] [PubMed]
- Hewelt-Belka, W.; Garwolinska, D.; Mlynarczyk, M.; Kot-Wasik, A. Comparative Lipidomic Study of Human Milk from Different Lactation Stages and Milk Formulas. Nutrients 2020, 12, 2165. [Google Scholar] [CrossRef]
- Wang, L.; Li, X.; Liu, L.; da Zhang, H.; Zhang, Y.; Chang, Y.H.; Zhu, Q.P. Comparative lipidomics analysis of human, bovine and caprine milk by UHPLC-Q-TOF-MS. Food Chem. 2020, 310, 125865. [Google Scholar] [CrossRef]
- Sun, C.; Wei, W.; Zou, X.; Huang, J.; Jin, Q.; Wang, X. Evaluation of triacylglycerol composition in commercial infant formulas on the Chinese market: A comparative study based on fat source and stage. Food Chem. 2018, 252, 154–162. [Google Scholar] [CrossRef]
- Tu, A.; Ma, Q.; Bai, H.; Du, Z. A comparative study of triacylglycerol composition in Chinese human milk within different lactation stages and imported infant formula by SFC coupled with Q-TOF-MS. Food Chem. 2017, 221, 555–567. [Google Scholar] [CrossRef]
- Zhang, X.; Wei, W.; Tao, G.; Jin, Q.; Wang, X. Identification and Quantification of Triacylglycerols Using Ultraperformance Supercritical Fluid Chromatography and Quadrupole Time-of-Flight Mass Spectrometry: Comparison of Human Milk, Infant Formula, Other Mammalian Milk, and Plant Oil. J. Agric. Food Chem. 2021, 69, 8991–9003. [Google Scholar] [CrossRef]
- Tu, J.; Yin, Y.; Xu, M.; Wang, R.; Zhu, Z.J. Absolute quantitative lipidomics reveals lipidome-wide alterations in aging brain. Metabolomics 2017, 14, 5. [Google Scholar] [CrossRef]
- Li, M.; Li, W.; Wu, J.; Zheng, Y.; Shao, J.; Li, Q.; Kang, S.; Zhang, Z.; Yue, X.; Yang, M. Quantitative lipidomics reveals alterations in donkey milk lipids according to lactation. Food Chem. 2020, 310, 125866. [Google Scholar] [CrossRef]
- Li, Q.; Zhao, Y.; Zhu, D.; Pang, X.; Liu, Y.; Frew, R.; Chen, G. Lipidomics profiling of goat milk, soymilk and bovine milk by UPLC-Q-Exactive Orbitrap Mass Spectrometry. Food Chem. 2017, 224, 302–309. [Google Scholar] [CrossRef]
- Zhao, J.; Liu, Q.; Liu, Y.; Qiao, W.; Yang, K.; Jiang, T.; Hou, J.; Zhou, H.; Zhao, Y.; Lin, T.; et al. Quantitative profiling of glycerides, glycerophosphatides and sphingolipids in Chinese human milk with ultra-performance liquid chromatography/quadrupole-time-of-flight mass spectrometry. Food Chem. 2021, 346, 128857. [Google Scholar] [CrossRef]
- Zhang, X.; Liu, L.; Wang, L.; Pan, Y.; Hao, X.; Zhang, G.; Li, X.; Hussain, M. Comparative Lipidomics Analysis of Human Milk and Infant Formulas Using UHPLC-Q-TOF-MS. J. Agric. Food Chem. 2021, 69, 1146–1155. [Google Scholar] [CrossRef]
- Yuan, T.; Qi, C.; Dai, X.; Xia, Y.; Sun, C.; Sun, J.; Yu, R.; Zhou, Q.; Jin, Q.; Wei, W.; et al. Triacylglycerol Composition of Breast Milk during Different Lactation Stages. J. Agric. Food Chem. 2019, 67, 2272–2278. [Google Scholar] [CrossRef]
- Linderborg, K.M.; Kalpio, M.; Mäkelä, J.; Niinikoski, H.; Kallio, H.P.; Lagström, H. Tandem mass spectrometric analysis of human milk triacylglycerols from normal weight and overweight mothers on different diets. Food Chem. 2014, 146, 583–590. [Google Scholar] [CrossRef]
- Yuan, T.; Geng, Z.; Dai, X.; Zhang, X.; Wei, W.; Wang, X.; Jin, Q. Triacylglycerol Containing Medium-Chain Fatty Acids: Comparison of Human Milk and Infant Formulas on Lipolysis during In Vitro Digestion. J. Agric. Food Chem. 2020, 68, 4187–4195. [Google Scholar] [CrossRef]
- Zhang, Y.; Zheng, Z.; Liu, C.; Liu, Y. Lipid Profiling and Microstructure Characteristics of Goat Milk Fat from Different Stages of Lactation. J. Agric. Food Chem. 2020, 68, 7204–7213. [Google Scholar] [CrossRef]
- Ye, Z.; Cao, C.; Liu, Y.; Cao, P.; Li, Q. Digestion fates of different edible oils vary with their composition specificities and interactions with bile salts. Food Res. Int. 2018, 111, 281–290. [Google Scholar] [CrossRef]
- Sun, C.; Wei, W.; Su, H.; Zou, X.; Wang, X. Evaluation of sn-2 fatty acid composition in commercial infant formulas on the Chinese market: A comparative study based on fat source and stage. Food Chem. 2018, 242, 29–36. [Google Scholar] [CrossRef] [PubMed]
- Li, M.; Li, Q.; Kang, S.; Cao, X.; Zheng, Y.; Wu, J.; Wu, R.; Shao, J.; Yang, M.; Yue, X. Characterization and comparison of lipids in bovine colostrum and mature milk based on UHPLC-QTOF-MS lipidomics. Food Res. Int. 2020, 136, 109490. [Google Scholar] [CrossRef] [PubMed]
- Demmelmair, H.; Koletzko, B. Lipids in human milk. Best Pract. Res. Clin. Endocrinol. Metab. 2018, 32, 57–68. [Google Scholar] [CrossRef] [PubMed]
- Mendonca, M.A.; Araujo, W.M.C.; Borgo, L.A.; Alencar, E.R. Lipid profile of different infant formulas for infants. PLoS ONE 2017, 12, e0177812. [Google Scholar] [CrossRef]
- Beggio, M.; Cruz-Hernandez, C.; Golay, P.A.; Lee, L.Y.; Giuffrida, F. Quantification of total cholesterol in human milk by gas chromatography. J. Sep. Sci. 2018, 41, 1805–1811. [Google Scholar] [CrossRef] [PubMed]
- Zhang, N.; Zhuo, C.; Liu, B.; Ye, W.; Tao, L.; Zheng, L.; Chen, L.; Deng, Z.; Li, G.; Gong, Z.; et al. Temporal Changes of Phospholipids Fatty Acids and Cholesterol in Breast Milk and Relationship with Diet. Eur. J. Lipid Sci. Technol. 2019, 122, 1900187. [Google Scholar] [CrossRef]
- Owen, C.G.; Whincup, P.H.; Kaye, S.J.; Martin, R.M.; Smith, G.D.; Cook, D.G.; Bergstrom, E.; Black, S.; Wadsworth, M.E.J.; Fall, C.H.; et al. Does initial breastfeeding lead to lower blood cholesterol in adult life? A quantitative review of the evidence. Am. J. Clin. Nutr. 2008, 88, 305. [Google Scholar] [CrossRef]
- Bahreynian, M.; Feizi, A.; Kelishadi, R. Is fatty acid composition of breast milk different in various populations? A systematic review and meta-analysis. Int. J. Food Sci. Nutr. 2020, 71, 909–920. [Google Scholar] [CrossRef]
- Marten, B.; Pfeuffer, M.; Schrezenmeir, J. Medium-chain triglycerides. Int. Dairy J. 2006, 16, 1374–1382. [Google Scholar] [CrossRef]
- Qi, C.; Sun, J.; Xia, Y.; Yu, R.; Wei, W.; Xiang, J.; Jin, Q.; Xiao, H.; Wang, X. Fatty Acid Profile and the sn-2 Position Distribution in Triacylglycerols of Breast Milk during Different Lactation Stages. J. Agric. Food Chem. 2018, 66, 3118–3126. [Google Scholar] [CrossRef]
- Sun, C.; Zou, X.; Yao, Y.; Jin, J.; Xia, Y.; Huang, J.; Jin, Q.; Wang, X. Evaluation of fatty acid composition in commercial infant formulas on the Chinese market: A comparative study based on fat source and stage. Int. Dairy J. 2016, 63, 42–51. [Google Scholar] [CrossRef]
- Jiang, J.; Wu, K.; Yu, Z.; Ren, Y.; Zhao, Y.; Jiang, Y.; Xu, X.; Li, W.; Jin, Y.; Yuan, J.; et al. Changes in fatty acid composition of human milk over lactation stages and relationship with dietary intake in Chinese women. Food Funct. 2016, 7, 3154–3162. [Google Scholar] [CrossRef]
- Kinney, H.C.; Brody, B.A.; Kloman, A.S.; Gilles, F.H. Sequence of Central Nervous System Myelination in Human Infancy. J. Neuropathol. Exp. Neurol. 1988, 47, 217–234. [Google Scholar] [CrossRef]
- Ntoumani, E.; Strandvik, B.; Sabel, K.G. Nervonic acid is much lower in donor milk than in milk from mothers delivering premature infants—of neglected importance? Prostaglandins Leukot. Essent. Fat. Acids 2013, 89, 241–244. [Google Scholar] [CrossRef]
- Shi, Y.D.; Sun, G.-Q.; Zhang, Z.-G.; Deng, X.; Kang, X.-H.; Liu, Z.-D.; Ma, Y.; Sheng, Q.-H. The chemical composition of human milk from Inner Mongolia of China. Food Chem. 2011, 127, 1193–1198. [Google Scholar] [CrossRef]
- Lien, E.L.; Richard, C.; Hoffman, D.R. DHA and ARA addition to infant formula: Current status and future research directions. Prostaglandins Leukot. Essent. Fat. Acids 2018, 128, 26–40. [Google Scholar] [CrossRef]
- Wu, T.-C.; Lau, B.-H.; Chen, P.-H.; Wu, L.-T.; Tang, R.-B. Fatty Acid Composition of Taiwanese Human Milk. J. Chin. Med. Assoc. 2010, 73, 581–588. [Google Scholar] [CrossRef]
- Deng, L.; Zou, Q.; Liu, B.; Ye, W.; Zhuo, C.; Chen, L.; Deng, Z.-Y.; Fan, Y.-W.; Li, J. Fatty acid positional distribution in colostrum and mature milk of women living in Inner Mongolia, North Jiangsu and Guangxi of China. Food Funct. 2018, 9, 4234–4245. [Google Scholar] [CrossRef]
- Havlicekova, Z.; Jesenak, M.; Banovcin, P.; Kuchta, M. Beta-palmitate—A natural component of human milk in supplemental milk formulas. Nutr. J. 2016, 15, 28. [Google Scholar] [CrossRef]
- Cajka, T.; Fiehn, O. Comprehensive analysis of lipids in biological systems by liquid chromatography-mass spectrometry. Trends Analyt. Chem. 2014, 61, 192–206. [Google Scholar] [CrossRef]
- Wei, W.; Cheng, J.; Yang, J.; Chen, C.; Jin, Q.; Song, J.; Wang, X. Phospholipid composition and fat globule structure change during low temperature storage of human milk. Lwt 2021, 150, 112050. [Google Scholar] [CrossRef]
- Gao, C.; Miller, J.; Middleton, P.F.; Huang, Y.-C.; McPhee, A.J.; Gibson, R.A. Changes to breast milk fatty acid composition during storage, handling and processing: A systematic review. Prostaglandins Leukot Essent Fat. Acids 2019, 146, 1–10. [Google Scholar] [CrossRef] [PubMed]
- Zou, X.; Ali, A.H.; Abed, S.M.; Guo, Z. Current knowledge of lipids in human milk and recent innovations in infant formulas. Curr. Opin. Food Sci. 2017, 16, 28–39. [Google Scholar] [CrossRef]
- Ten-Domenech, I.; Beltran-Iturat, E.; Herrero-Martinez, J.M.; Sancho-Llopis, J.V.; Simo-Alfonso, E.F. Triacylglycerol Analysis in Human Milk and Other Mammalian Species: Small-Scale Sample Preparation, Characterization, and Statistical Classification Using HPLC-ELSD Profiles. J. Agric. Food Chem. 2015, 63, 5761–5770. [Google Scholar] [CrossRef]
- Zou, X.Q.; Huang, J.-H.; Jin, Q.-Z.; Guo, Z.; Liu, Y.-F.; Cheong, L.-Z.; Xu, X.-B.; Wang, X.-G. Model for human milk fat substitute evaluation based on triacylglycerol composition profile. J. Agric. Food Chem. 2013, 61, 167–175. [Google Scholar] [CrossRef]
- Yuan, T.; Wei, W.; Zhang, X.; Wang, L.; Dai, X.; Ren, C.; Wang, X.; Jin, Q. Medium- and long-chain triacylglycerols composition in preterm and full-term human milk across different lactation stages. Lwt 2021, 142, 110907. [Google Scholar] [CrossRef]
- Wang, Y.; Cao, M.; Liu, R.; Chang, M.; Wei, W.; Jin, Q.; Wang, X. The enzymatic synthesis of EPA-rich medium- and long-chain triacylglycerol improves the digestion behavior of MCFA and EPA: Evidence on In Vitro digestion. Food Funct. 2022, 13, 131–142. [Google Scholar] [CrossRef]
- Sokol, E.; Ulven, T.; Faergeman, N.J.; Ejsing, C.S. Comprehensive and quantitative profiling of lipid species in human milk, cow milk and a phospholipid-enriched milk formula by GC and MS/MS(ALL). Eur. J. Lipid Sci. Technol. 2015, 117, 751–759. [Google Scholar] [CrossRef]
- Jiang, C.; Ma, B.; Song, S.; Lai, O.M.; Cheong, L.Z. Fingerprinting of Phospholipid Molecular Species from Human Milk and Infant Formula Using HILIC-ESI-IT-TOF-MS and Discriminatory Analysis by Principal Component Analysis. J. Agric. Food Chem. 2018, 66, 7131–7138. [Google Scholar] [CrossRef]








| Milk | Lipid Content (g/L) | Cholesterol Content (mg/100 g) | Percentage (%) |
|---|---|---|---|
| HM (n = 6) | 43.90 ± 4.56 A | 12.14 ± 3.09 a | 0.277 |
| IF1 (n = 2) | 19.83 ± 0.13 B | 2.87 ± 0.40 b | 0.014 |
| IF2 (n = 2) | 21.79 ± 0.68 B | 1.82 ± 0.17 b | 0.008 |
| Fatty Acids | HM (n = 6) | IF1 (n = 2) | IF2 (n = 2) |
|---|---|---|---|
| C4:0 | ND | 0.02 ± 0.00 | ND |
| C6:0 | 0.17 ± 0.07 | 0.07 ± 0.00 | ND |
| C8:0 | 0.08 ± 0.03 c | 0.24 ± 0.02 b | 0.89 ± 0.08 a |
| C10:0 | 0.94 ± 0.04 b | 0.51 ± 0.01 c | 1.02 ± 0.02 a |
| C11:0 | 0.02 ± 0.01 | ND | ND |
| C12:0 | 4.61 ± 0.78 b | 1.79 ± 0.01 c | 10.63 ± 0.40 a |
| C13:0 | 0.02 ± 0.02 | ND | ND |
| C14:0 | 4.65 ± 0.99 ab | 3.12 ± 0.04 b | 5.13 ± 0.06 a |
| C14:1n-5 | 0.03 ± 0.02 b | 0.16 ± 0.02 a | ND |
| C15:0 | 0.11 ± 0.05 b | 0.28 ± 0.02 a | ND |
| C15:1n-5 | 0.02 ± 0.01 | ND | ND |
| C16:0 | 20.92 ± 1.59 b | 29.21 ± 0.16 a | 10.08 ± 0.13 c |
| C16:1n-7 | 2.34 ± 0.63 a | 0.41 ± 0.11 b | ND |
| C17:0 | 0.23 ± 0.09 | 0.16 ± 0.06 | ND |
| C17:1n-7 | 0.08 ± 0.07 | ND | ND |
| C18:0 | 6.05 ± 0.34 a | 5.89 ± 0.08 a | 4.31 ± 0.08 b |
| C18:1n-9 T | 0.07 ± 0.07 | ND | ND |
| C18:1n-9 | 35.56 ± 3.15 b | 35.93 ± 0.10 b | 45.64 ± 0.09 a |
| C18:1n-7 | 0.82 ± 0.15 | ND | ND |
| C18:2n-6 T | 0.01 ± 0.00 | ND | ND |
| C18:2n-6 | 19.76 ± 3.65 | 19.03 ± 0.01 | 19.19 ± 0.03 |
| C20:0 | 0.06 ± 0.05 | ND | ND |
| C18:3n-6 | 1.39 ± 0.46 | 1.99 ± 0.01 | 1.67 ± 0.03 |
| C20:1n-9 | ND | 0.21 ± 0.02 | 0.22 ± 0.06 |
| C18:3n-3 | 0.51 ± 0.27 | 0.22 ± 0.08 | 0.18 ± 0.03 |
| C20:2n-6 | 0.39 ± 0.14 | ND | ND |
| C22:0 | 0.4 ± 0.11 | ND | ND |
| C20:3n-6 | 0.4 ± 0.08 a | 0.25 ± 0.02 b | 0.37 ± 0.07 ab |
| C22:1n-9 | 0.02 ± 0.02 c | 0.23 ± 0.01 b | 0.48 ± 0.13 a |
| C20:4n-6 | 0.11 ± 0.11 | ND | ND |
| C23:0 | 0.02 ± 0.01 | ND | ND |
| C24:0 | 0.01 ± 0.00 | ND | ND |
| C20:5n-3 | ND | 0.12 ± 0.06 | ND |
| C24:1n-9 | 0.03 ± 0.02 | ND | ND |
| C22:6n-3 | 0.27 ± 0.12 | 0.15 ± 0.06 | 0.17 ± 0.03 |
| ∑SFA | 38.15 ± 0.82 b | 41.28 ± 0.20 a | 32.07 ± 0.35 c |
| ∑UFA | 61.7 ± 0.80 b | 58.72 ± 0.20 c | 67.93 ± 0.35 a |
| ∑MUFA | 38.97 ± 4.14 b | 36.94 ± 0.26 b | 46.34 ± 0.28 a |
| ∑PUFA | 22.84 ± 4.83 a | 21.76 ± 0.24 a | 21.58 ± 0.19 a |
| ∑PUFA/MUFA | 0.60 ± 0.16 a | 0.59 ± 0.00 a | 0.47 ± 0.00 a |
| ∑n-6PUFA | 22.05 ± 4.04 a | 21.28 ± 0.01 a | 21.23 ± 0.01 a |
| ∑n-3PUFA | 0.78 ± 0.28 a | 0.49 ± 0.19 a | 0.36 ± 0.06 a |
| SCFA | 0.17 ± 0.07 | 0.08 ± 0.00 | ND |
| MCFA (8~13) | 5.66 ± 0.78 b | 2.61 ± 0.00 c | 12.55 ± 0.50 a |
| LCFA (14~21) | 93.38 ± 0.71 b | 96.98 ± 0.07 a | 86.79 ± 0.34 c |
| Very long (≥22) | 0.65 ± 0.28 a | 0.39 ± 0.07 a | 0.66 ± 0.16 a |
| Fatty Acids | HM (n = 6) | IF1 (n = 2) | IF2 (n = 2) |
|---|---|---|---|
| C4:0 | ND | ND | 0.04 ± 0.00 |
| C6:0 | 0.04 ± 0.02 b | 1.02 ± 0.21 a | 0.11 ± 0.03 b |
| C8:0 | 0.02 ± 0.01 b | 0.49 ± 0.31 a | 0.05 ± 0.01 b |
| C10:0 | 0.43 ± 0.17 | ND | 0.41 ± 0.07 |
| C12:0 | 6.06 ± 1.31 b | 2.37 ± 0.56 c | 15.85 ± 0.36 a |
| C14:0 | 10.34 ± 2.08 a | 3.32 ± 0.1 b | 2.85 ± 0.05 b |
| C15:0 | 0.31 ± 0.08 | ND | ND |
| C16:0 | 55.77 ± 4.07 a | 42.95 ± 1.01 b | 2.98 ± 0.06 c |
| C16:1n-7 | 2.01 ± 1.00 | ND | ND |
| C17:0 | 0.29 ± 0.08 | ND | ND |
| C17:1n-7 | 0.14 ± 0.07 | ND | ND |
| C18:0 | 3.3 ± 0.79 b | 7.71 ± 0.40 a | 0.95 ± 0.04 c |
| C18:1n-9 | 8.14 ± 1.94 c | 24.22 ± 2.04 b | 52.72 ± 0.38 a |
| C18:1n-7 | 0.24 ± 0.12 | ND | ND |
| C18:2n-6 | 8.68 ± 3.38 b | 15.67 ± 2.46 a | 22.16 ± 0.15 a |
| C18:3n-6 | 0.7 ± 0.40 b | 1.44 ± 0.17 a | 1.37 ± 0.08 ab |
| C20:1n-9 | 0.16 ± 0.07 | ND | ND |
| C18:3n-3 | 0.3 ± 0.12 | ND | ND |
| C20:2n-6 | 0.15 ± 0.05 | ND | ND |
| C22:0 | 0.11 ± 0.02 | ND | ND |
| C20:3n-6 | 0.35 ± 0.18 | 0.82 ± 0.88 | 0.29 ± 0.09 |
| C20:3n-3 | 0.58 ± 0.41 | ND | ND |
| C20:4n-6 | 0.98 ± 0.65 | ND | ND |
| C20:5n-3 | 0.16 ± 0.08 | ND | ND |
| C22:5n-3 | 0.21 ± 0.06 | ND | ND |
| C22:6n-3 | 0.27 ± 0.19 | ND | 0.23 ± 0.07 |
| ∑SFA | 76.65 ± 5.79 a | 57.85 ± 2.59 b | 23.24 ± 0.62 c |
| ∑MUFA | 10.67 ± 2.97 c | 24.22 ± 2.04 b | 52.72 ± 0.38 a |
| ∑PUFA | 12.31 ± 3.40 b | 17.93 ± 3.51 ab | 24.05 ± 0.39 a |
Disclaimer/Publisher’s Note: The statements, opinions and data contained in all publications are solely those of the individual author(s) and contributor(s) and not of MDPI and/or the editor(s). MDPI and/or the editor(s) disclaim responsibility for any injury to people or property resulting from any ideas, methods, instructions or products referred to in the content. |
© 2023 by the authors. Licensee MDPI, Basel, Switzerland. This article is an open access article distributed under the terms and conditions of the Creative Commons Attribution (CC BY) license (https://creativecommons.org/licenses/by/4.0/).
Share and Cite
Wu, D.; Zhang, L.; Zhang, Y.; Shi, J.; Tan, C.P.; Zheng, Z.; Liu, Y. Lipid Profiles of Human Milk and Infant Formulas: A Comparative Lipidomics Study. Foods 2023, 12, 600. https://doi.org/10.3390/foods12030600
Wu D, Zhang L, Zhang Y, Shi J, Tan CP, Zheng Z, Liu Y. Lipid Profiles of Human Milk and Infant Formulas: A Comparative Lipidomics Study. Foods. 2023; 12(3):600. https://doi.org/10.3390/foods12030600
Chicago/Turabian StyleWu, Danjie, Le Zhang, Yan Zhang, Jiachen Shi, Chin Ping Tan, Zhaojun Zheng, and Yuanfa Liu. 2023. "Lipid Profiles of Human Milk and Infant Formulas: A Comparative Lipidomics Study" Foods 12, no. 3: 600. https://doi.org/10.3390/foods12030600
APA StyleWu, D., Zhang, L., Zhang, Y., Shi, J., Tan, C. P., Zheng, Z., & Liu, Y. (2023). Lipid Profiles of Human Milk and Infant Formulas: A Comparative Lipidomics Study. Foods, 12(3), 600. https://doi.org/10.3390/foods12030600

