Nutritional, Physicochemical, Microstructural, Rheological, and Organoleptical Characteristics of Ice Cream Incorporating Adansonia digitata Pulp Flour
Abstract
1. Introduction
2. Materials and Methods
2.1. Materials
2.2. Formulation of Different Ice Cream Mixes and Preparation of Ice Cream Samples
2.3. Methods of Analysis
2.3.1. Chemical Composition
2.3.2. pH and Titratable Acidity (TA%)
2.3.3. Microbiological Quality of Different Ice Cream Formulas
2.3.4. Mineral Content
2.3.5. Total Phenolic Content, Antioxidant Activity, Total Flavonoids (TF), and Total Flavonols (TFL)
2.3.6. Overrun and Melting Behavior
2.3.7. Instrumental Color Measurements
2.3.8. Rheological Properties
2.3.9. Microstructural Examination
2.3.10. Organoleptic Attributes
2.3.11. Statistical Analysis
3. Results
3.1. Chemical Composition, pH, and Titratable Acidity (TA%)
3.2. Microbiological Quality of Different Ice Cream Formulas
3.3. Mineral Content
3.4. Total Phenolic Content, Antioxidant Activity, Total Flavonoids (TF), and Total Flavonols (TFL)
3.5. Overrun and Melting Behavior
3.6. Instrumental Color Measurements
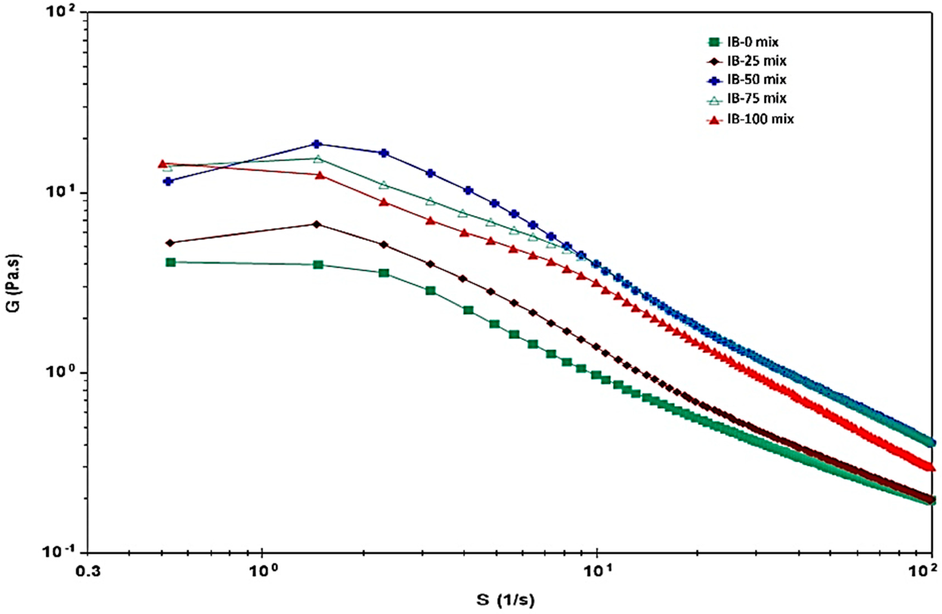
3.7. Rheological Properties
3.8. Microstructural Examination
3.9. Organolyptical Attributes
4. Discussion
5. Conclusions
Author Contributions
Funding
Data Availability Statement
Conflicts of Interest
References
- Villava, F.J.; Cravero Bruneri, A.P.; Vinderola, G.; Goncalvez De Oliveira, E.; PAZ, N.F.; Ramon, A.N. Formulation of a Peach Ice Cream as Potential Symbiotic Food. Food Sci. Technol. 2017, 37, 456–461. [Google Scholar] [CrossRef]
 - Thorning, T.K.; Bertram, H.C.; Bonjour, J.-P.; De Groot, L.; Dupont, D.; Feeney, E.; Ipsen, R.; Lecerf, J.M.; Mackie, A.; McKinley, M.C. Whole Dairy Matrix or Single Nutrients in Assessment of Health Effects: Current Evidence and Knowledge Gaps. Am. J. Clin. Nutr. 2017, 105, 1033–1045. [Google Scholar] [CrossRef] [PubMed]
 - Astrup, A. Yogurt and Dairy Product Consumption to Prevent Cardiometabolic Diseases: Epidemiologic and Experimental Studies. Am. J. Clin. Nutr. 2014, 99, 1235S–1242S. [Google Scholar] [CrossRef] [PubMed]
 - Elwood, P.C.; Pickering, J.E.; Givens, D.I.; Gallacher, J.E. The Consumption of Milk and Dairy Foods and the Incidence of Vascular Disease and Diabetes: An Overview of the Evidence. Lipids 2010, 45, 925–939. [Google Scholar] [CrossRef] [PubMed]
 - Sun-Waterhouse, D. The Development of Fruit-Based Functional Foods Targeting the Health and Wellness Market: A Review. Int. J. Food Sci. Technol. 2011, 46, 899–920. [Google Scholar] [CrossRef]
 - Van Kleef, E.; Van Trijp, H.C.; Luning, P.; Jongen, W.M. Consumer-Oriented Functional Food Development: How Well Do Functional Disciplines Reflect the ‘Voice of the Consumer’? Trends Food Sci. Technol. 2002, 13, 93–101. [Google Scholar] [CrossRef]
 - Cruz, A.G.; Antunes, A.E.; Sousa, A.L.O.; Faria, J.A.; Saad, S.M. Ice-Cream as A Probiotic Food Carrier. Food Res. Int. 2009, 42, 1233–1239. [Google Scholar] [CrossRef]
 - Smith, J.S.; Hui, Y.H. Food Processing: Principles and Applications; John Wiley & Sons: Hoboken, NJ, USA, 2008. [Google Scholar]
 - Arbuckle, W.S. Ice Cream; Springer: Berlin/Heidelberg, Germany, 2013. [Google Scholar]
 - Soukoulis, C.; Lebesi, D.; Tzia, C. Enrichment of Ice Cream With Dietary Fibre: Effects on Rheological Properties, Ice Crystallisation and Glass Transition Phenomena. Food Chem. 2009, 115, 665–671. [Google Scholar] [CrossRef]
 - Tiwari, A.; Sharma, H.K.; Kumar, N.; Kaur, M. The Effect of Inulin as A Fat Replacer on the Quality of Low-Fat Ice Cream. Int. J. Dairy Technol. 2015, 68, 374–380. [Google Scholar] [CrossRef]
 - Rahul, J.; Jain, M.K.; Singh, S.P.; Kamal, R.K.; Anuradha; Naz, A.; Gupta, A.K.; Mrityunjay, S.K. Adansonia digitata L. (Baobab): A Review of Traditional Information and Taxonomic Description. Asian Pac. J. Trop. Biomed. 2015, 5, 79–84. [Google Scholar] [CrossRef]
 - Kaboré, D.; Sawadogo-Lingani, H.; Diawara, B.; Compaoré, C.S.; Dicko, M.H.; Jakobsen, M. A Review of Baobab (Adansonia digitata) Products: Effect of Processing Techniques, Medicinal Properties and Uses. Afr. J. Food Sci. 2011, 5, 833–844. [Google Scholar]
 - Osman, M.A. Chemical and Nutrient Analysis of Baobab (Adansonia digitata) Fruit and Seed Protein Solubility. Plant Foods Hum. Nutr. 2004, 59, 29–33. [Google Scholar] [CrossRef] [PubMed]
 - Yazzie, D.; VanderJagt, D.J.; Pastuszyn, A.; Okolo, A.; Glew, R.H. The Amino Acid and Mineral Content of Baobab (Adansonia digitata L.) Leaves. J. Food Compos. Anal. 1994, 7, 189–193. [Google Scholar] [CrossRef]
 - De Caluwé, E.; Halamová, K.; Van Damme, P. Adansonia digitata L. A Review of Traditional Uses, Phytochemistry and Pharmacology. Afr. Focus 2010, 23, 11–53. [Google Scholar] [CrossRef]
 - Muthai, K.U.; Karori, M.S.; Muchugi, A.; Indieka, A.S.; Dembele, C.; Mng’omba, S.; Jamnadass, R. Nutritional Variation in Baobab (Adansonia digitata L.) Fruit Pulp and Seeds Based on Africa Geographical Regions. Food Sci. Nutr. 2017, 5, 1116–1129. [Google Scholar] [CrossRef] [PubMed]
 - Hyacinthe, T.; Charles, P.; Adama, K.; Diarra, C.S.; Dicko, M.H.; Svejgaard, J.J.; Diawara, B. Variability of Vitamins B1, B2 and Minerals Content in Baobab (Adansonia digitata) Leaves in East and West Africa. Food Sci. Nutr. 2015, 3, 17–24. [Google Scholar] [CrossRef] [PubMed]
 - Monteiro, S.; Reboredo, F.H.; Lageiro, M.M.; Lourenço, V.M.; Dias, J.; Lidon, F.; Abreu, M.; Martins, A.P.L.; Alvarenga, N. Nutritional Properties of Baobab Pulp from Different Angolan Origins. Plants 2022, 11, 2272. [Google Scholar] [CrossRef]
 - Busson, F.; Deniel, P.; Toury, J. Amino Acid Composition of the Leaves and Fruit Pulp of Baobab (Adansonia digitata Linn.). Bull. Soc. Chim. Biol. 1958, 40, 711–714. [Google Scholar]
 - Li, X.N.; Sun, J.; Shi, H.; Yu, L.L.; Ridge, C.D.; Mazzola, E.P.; Okunji, C.; Iwu, M.M.; Michel, T.K.; Chen, P. Profiling Hydroxycinnamic Acid Glycosides, Iridoid Glycosides, and Phenylethanoid Glycosides in Baobab Fruit Pulp (Adansonia digitata). Food Res. Int. 2017, 99, 755–761. [Google Scholar] [CrossRef] [PubMed]
 - Irondi, E.A.; Akintunde, J.K.; Agboola, S.O.; Boligon, A.A.; Athayde, M.L. Blanching Influences the Phenolics Composition, Antioxidant Activity, and Inhibitory Effect of Adansonia Digitata Leaves Extract on Alpha-Amylase, Alpha-Glucosidase, and Aldose Reductase. Food Sci. Nutr. 2017, 5, 233–242. [Google Scholar] [CrossRef]
 - Tsetegho Sokeng, A.J.; Sobolev, A.P.; Di Lorenzo, A.; Xiao, J.; Mannina, L.; Capitani, D.; Daglia, M. Metabolite Characterization of Powdered Fruits and Leaves From Adansonia digitata L. (Baobab): A Multi-Methodological Approach. Food Chem. 2019, 272, 93–108. [Google Scholar] [CrossRef] [PubMed]
 - Ismail, B.B.; Pu, Y.; Guo, M.; Ma, X.; Liu, D. LC-MS/QTOF Identification of Phytochemicals and the Effects of Solvents on Phenolic Constituents and Antioxidant Activity of Baobab (Adansonia dgitata) Fruit Pulp. Food Chem. 2019, 277, 279–288. [Google Scholar] [CrossRef] [PubMed]
 - Ismail, B.B.; Pu, Y.; Fan, L.; Dandago, M.A.; Guo, M.; Liu, D. Characterizing the Phenolic Constituents of Baobab (Adansonia digitata) Fruit Shell By LC-MS/QTOF and Their In Vitro Biological Activities. Sci. Total. Environ. 2019, 694, 133387. [Google Scholar] [CrossRef] [PubMed]
 - Cicolari, S.; Dacrema, M.; Tsetegho Sokeng, A.J.; Xiao, J.; Atchan Nwakiban, A.P.; Di Giovanni, C.; Santarcangelo, C.; Magni, P.; Daglia, M. Hydromethanolic Extracts from Adansonia digitata L. Edible Parts Positively Modulate Pathophysiological Mechanisms Related to the Metabolic Syndrome. Molecules 2020, 25, 2858. [Google Scholar] [CrossRef] [PubMed]
 - Coe, S.A.; Clegg, M.; Armengol, M.; Ryan, L. The Polyphenol-Rich Baobab Fruit (Adansonia digitata L.) Reduces Starch Digestion and Glycemic Response in Humans. Nutr. Res. 2013, 33, 888–896. [Google Scholar] [CrossRef]
 - Suliman, H.M.; Osman, B.; Abdoon, I.H.; Saad, A.M.; Khalid, H. Ameliorative Activity of Adansonia Digitata Fruit on High Sugar/High Fat Diet-Simulated Metabolic Syndrome Model in Male Wistar Rats. Biomed. Pharmacother. 2020, 125, 109968. [Google Scholar] [CrossRef]
 - Ntchapda, F.; Bonabe, C.; Atsamo, A.D.; Kemeta Azambou, D.R.; Bekono Fouda, Y.; Imar Djibrine, S.; Seke Etet, P.F.; Theophile, D. Effect of Aqueous Extract of Adansonia digitata Stem Bark on the Development of Hypertension in L-NAME-Induced Hypertensive Rat Model. Evid. Based Complement. Alternat. Med. 2020, 2020, 3678469. [Google Scholar] [CrossRef]
 - Owoyele, B.V.; Bakare, A.O. Analgesic Properties of Aqueous Bark Extract of Adansonia digitata in Wistar Rats. Biomed. Pharmacother. 2018, 97, 209–212. [Google Scholar] [CrossRef]
 - Adeoye, A.O.; Olanlokun, J.O.; Tijani, H.; Lawal, S.O.; Babarinde, C.O.; Akinwole, M.T.; Bewaji, C.O. Molecular Docking Analysis of Apigenin and Quercetin From Ethylacetate Fraction of Adansonia digitata With Malaria-Associated Calcium Transport Protein: An In Silico Approach. Heliyon 2019, 5, e02248. [Google Scholar] [CrossRef]
 - Garvey, R.; Clegg, M.; Coe, S. The Acute Effects of Baobab Fruit (Adansonia digitata) on Satiety in Healthy Adults. Nutr. Health 2017, 23, 83–86. [Google Scholar] [CrossRef]
 - Hanafy, A.; Aldawsari, H.M.; Badr, J.M.; Ibrahim, A.K.; Abdel-Hady Sel, S. Evaluation of Hepatoprotective Activity of Adansonia digitata Extract on Acetaminophen-Induced Hepatotoxicity in Rats. Evid. Based Complement. Alternat. Med. 2016, 2016, 4579149. [Google Scholar] [CrossRef] [PubMed]
 - Ghoneim, M.A.; Hassan, A.I.; Mahmoud, M.G.; Asker, M.S. Protective Effect of Adansonia digitata against Isoproterenol-Induced Myocardial Injury in Rats. Anim. Biotechnol. 2016, 27, 84–95. [Google Scholar] [CrossRef] [PubMed]
 - Ismail, B.B.; Yusuf, H.L.; Pu, Y.; Zhao, H.; Guo, M.; Liu, D. Ultrasound-Assisted Adsorption/Desorption for the Enrichment and Purification of Flavonoids from Baobab (Adansonia digitata) Fruit Pulp. Ultrason. Sonochem. 2020, 65, 104980. [Google Scholar] [CrossRef] [PubMed]
 - Debelo, H.; Ndiaye, C.; Kruger, J.; Hamaker, B.R.; Ferruzzi, M.G. African Adansonia digitata Fruit Pulp (Baobab) Modifies Provitamin A Carotenoid Bioaccessibility from Composite Pearl Millet Porridges. J. Food Sci. Technol. 2020, 57, 1382–1392. [Google Scholar] [CrossRef] [PubMed]
 - Braca, A.; Sinisgalli, C.; De Leo, M.; Muscatello, B.; Cioni, P.L.; Milella, L.; Ostuni, A.; Giani, S.; Sanogo, R. Phytochemical Profile, Antioxidant and Antidiabetic Activities of Adansonia digitata L. (Baobab) from Mali, as a Source of Health-Promoting Compounds. Molecules 2018, 23, 3104. [Google Scholar] [CrossRef] [PubMed]
 - Al-Juhaimi, F.; Babtain, I.A.; Mohamed Ahmed, I.A.; Alsawmahi, O.N.; Ghafoor, K.; Adiamo, O.Q.; Babiker, E.E. Assessment of Oxidative Stability and Physicochemical, Microbiological, and Sensory Properties of Beef Patties Formulated With Baobab Seed (Adansonia Digitata) Extract. Meat Sci. 2020, 162, 108044. [Google Scholar] [CrossRef] [PubMed]
 - Obizoba, I.C.; Anyika, J.U. Nutritive Value of Baobab Milk (Gubdi) and Mixtures of Baobab (Adansonia digitata L.) and Hungry Rice, Acha (Digitaria exilis) Flours. Plant Foods Hum. Nutr. 1994, 46, 157–165. [Google Scholar] [CrossRef]
 - A.O.A.C. Official Methods of Analysis of the Aoac, 17th ed.; Association of Official Analytical Chemists: Rockville, MD, USA, 2000. [Google Scholar]
 - FDA. Food and Drug Administration (2002); FDA: Silver Spring, MD, USA, 2005.
 - ISO 6888-1:2021; Microbiology of the Food Chain—Horizontal Method for the Enumeration of Coagulase-Positive Staphylococci (Staphylococcus aureus and Other Species)—Part 1: Method Using Baird-Parker Agar Medium. ISO: Geneva, Switzerland, 2021.
 - Bettaieb, I.; Bourgou, S.; Wannes, W.A.; Hamrouni, I.; Limam, F.; Marzouk, B. Essential Oils, Phenolics, and Antioxidant Activities of Different Parts of Cumin (Cuminum cyminum L.). J. Agric. Food Chem. 2010, 58, 10410–10418. [Google Scholar] [CrossRef]
 - Hassan, M.F.; Barakat, H. Effect of Carrot and Pumpkin Pulps Adding on Chemical, Rheological, Nutritional and Organoleptic Properties of Ice Cream. Food Nutr. Sci. 2018, 9, 969–982. [Google Scholar] [CrossRef]
 - Mohdaly, A.A.A.; Hassanien, M.F.R.; Mahmoud, A.; Sarhan, M.A.; Smetanska, I. Phenolics Extracted from Potato, Sugar Beet, and Sesame Processing By-Products. Int. J. Food Prop. 2012, 16, 1148–1168. [Google Scholar] [CrossRef]
 - Kumaran, A.; Karunakaran, R.J. In vitro Antioxidant Activities of Methanol Extracts of Five Phyllanthus Species from India. LWT—Food Sci. Technol. 2007, 40, 344–352. [Google Scholar] [CrossRef]
 - Muse, M.; Hartel, R.W. Ice Cream Structural Elements that Affect Melting Rate and Hardness. J. Dairy Sci. 2004, 87, 1–10. [Google Scholar] [CrossRef] [PubMed]
 - Lavelli, V.; Corey, M.; Kerr, W.; Vantaggi, C. Stability and Anti-Glycation Properties of Intermediate Moisture Apple Products Fortified With Green Tea. Food Chem. 2011, 127, 589–595. [Google Scholar] [CrossRef]
 - Gouda, M.; Sheng, L.; Aadil, R.M.; Liu, Y.; Ma, M.; Li, X.; He, Y.; Munekata, P.E.; Lorenzo, J.M. Interaction of Bioactive Mono-Terpenes with Egg Yolk on Ice Cream Physicochemical Properties. Foods 2021, 10, 1686. [Google Scholar] [CrossRef]
 - Carroll, R.J.; Thompson, M.P.; Nutting, G.C. Glutaraldehyde Fixation of Casein Micelles for Electron Microscopy. J. Dairy Sci. 1968, 51, 1903–1908. [Google Scholar] [CrossRef]
 - Steel, R.G. Pinciples and Procedures of Statistics a Biometrical Approach, 3rd ed.; McGraw-Hill: Boston, MA, USA, 1997. [Google Scholar]
 - Burak Çınar, Ş.; Çalışkan Koç, G.; Dirim, S.N.; Ünal, G.; Akalın, A.S. Textural and Sensorial Characteristics of Set-Type Yogurt Containing Bifidobacterium animalis Subsp. Lactis Bb-12 and Quince Powder. J. Food Meas. Charact. 2020, 14, 3067–3077. [Google Scholar] [CrossRef]
 - Umelo, M.; Uzoukwu, A.; Odimegwu, E.; Agunwah, I.; Njoku, N.; Alagbaoso, S. Proximate, Physicochemical and Sensory Evaluation of Ice Cream From Blends of Cow Milk and Tigernut (Cyperus esculentus) Milk. Int. J. Sci. Res. Innov. Technol. 2014, 1, 63–76. [Google Scholar]
 - Abdullahi, M.; Zainab, F.A.; Pedavoah, M.; Bashir, U.; Sumayya, U.; Ibrahim, A. Evaluating the Suitability of Adansonia digitata Fruit Pulp for the Production of Yoghurt. Int. J. Biol. Chem. Sci. 2014, 8, 508–516. [Google Scholar] [CrossRef]
 - Murray, S.S.; Schoeninger, M.J.; Bunn, H.T.; Pickering, T.R.; Marlett, J.A. Nutritional Composition of Some Wild Plant Foods and Honey Used by Hadza Foragers of Tanzania. J. Food Compos. Anal. 2001, 14, 3–13. [Google Scholar] [CrossRef]
 - Ahmed, A.A.-H.; Sayed, R.G.; Sayed, M. Nutritional Value and Sanitary Evaluation of Raw Camel’s Milk. Emir. J. Food Agric. 2014, 26, 317–326. [Google Scholar] [CrossRef]
 - Dabora, S.A.M.A. Assessment of the Effect of Addition of Baobab (Adansonia digitata L.) Fruit Pulp on Properties of Camel Milk Yoghurt; Sudan University of Science and Technology: Khartoum, Sudan, 2016. [Google Scholar]
 - Goff, H.D. Ice Cream. In Advanced Dairy Chemistry Volume 2 Lipids; Springer: Berlin/Heidelberg, Germany, 2006; pp. 441–450. [Google Scholar]
 - Nalbone, L.; Vallone, L.; Giarratana, F.; Virgone, G.; Lamberta, F.; Marotta, S.M.; Donato, G.; Giuffrida, A.; Ziino, G. Microbial Risk Assessment of Industrial Ice Cream Marketed in Italy. Appl. Sci. 2022, 12, 1988. [Google Scholar] [CrossRef]
 - Ciosek, Ż.; Kot, K.; Kosik-Bogacka, D.; Łanocha-Arendarczyk, N.; Rotter, I. The Effects of Calcium, Magnesium, Phosphorus, Fluoride, and Lead on Bone Tissue. Biomolecules 2021, 11, 506. [Google Scholar] [CrossRef] [PubMed]
 - Kogure, M.; Nakaya, N.; Hirata, T.; Tsuchiya, N.; Nakamura, T.; Narita, A.; Suto, Y.; Honma, Y.; Sasaki, H.; Miyagawa, K.; et al. Sodium/Potassium Ratio Change Was Associated With Blood Pressure Change: Possibility of Population Approach for Sodium/Potassium Ratio Reduction in Health Checkup. Hypertens. Res. 2021, 44, 225–231. [Google Scholar] [CrossRef] [PubMed]
 - Kamanula, M. Mineral and Phytochemical Composition of Baobab (Adansonia digitata L.) Root Tubers from Selected Natural Populations of Malawi. Malawi Med. J. 2018, 30, 250–255. [Google Scholar] [CrossRef] [PubMed]
 - Barakat, H. Nutritional and Rheological Characteristics of Composite Flour Substituted With Baobab (Adansonia Digitata L.) Pulp Flour for Cake Manufacturing and Organoleptic Properties of Their Prepared Cakes. Foods 2021, 10, 716. [Google Scholar] [CrossRef]
 - Arellano, F.E.; Braeuer, S.; Fernández Cirelli, A.; Goessler, W.; Pérez Carrera, A.L. Occurrence of Major and Trace Elements in Powdered Milk From Argentina. Int. J. Dairy Technol. 2019, 72, 643–650. [Google Scholar] [CrossRef]
 - Sun-Waterhouse, D.; Edmonds, L.; Wadhwa, S.S.; Wibisono, R. Producing Ice Cream Using A Substantial Amount of Juice From Kiwifruit with Green, Gold or Red Flesh. Food Res. Int. 2013, 50, 647–656. [Google Scholar] [CrossRef]
 - da Silva Dias, J.C. Nutritional and Health Benefits of Carrots and their Seed Extracts. Food Nutr. Sci. 2014, 5, 2147. [Google Scholar] [CrossRef]
 - Şimşek, B.; İlhan, G. Some Physicochemical, Rheological and Sensory Properties of Flavored Ice Cream. Niğde Ömer Halisdemir Üniversitesi Mühendislik Bilim. Derg. 2021, 10, 598–605. [Google Scholar] [CrossRef]
 - Milovanovic, B.; Djekic, I.; Miocinovic, J.; Djordjevic, V.; Lorenzo, J.M.; Barba, F.J.; Mörlein, D.; Tomasevic, I. What Is the Color of Milk and Dairy Products and How Is It Measured? Foods 2020, 9, 629. [Google Scholar] [CrossRef]
 - Odoom, D. Characterization of Baobab (Adansonia digitata L.) in the Builsa District of Ghana. J. Food Technol. Preserv. 2021, 3, 116. [Google Scholar]
 - Barros, E.L.D.S.; Silva, C.C.; Canella, M.H.M.; Verruck, S.; Prestes, A.A.; Vargas, M.O.; Maran, B.M.; Esmerino, E.A.; Silva, R.; Balthazar, C.F. Effect of Replacement of Milk by Block Freeze Concentrated Whey in Physicochemical and Rheological Properties of Ice Cream. Food Sci. Technol. 2021, 42, e12521. [Google Scholar] [CrossRef]
 - Amador, J.; Hartel, R.; Rankin, S. The Effects of Fat Structures and Ice Cream Mix Viscosity on Physical and Sensory Properties of Ice Cream. J. Food Sci. 2017, 82, 1851–1860. [Google Scholar] [CrossRef] [PubMed]
 - Cavender, G.A.; Kerr, W.L. Microfluidization of Full-Fat Ice Cream Mixes: Effects on Rheology and Microstructure. J. Food Eng. 2020, 43, e13350. [Google Scholar] [CrossRef]
 - Mortazavian, A.M.; Kheynoor, N.; Pilevar, Z.; Sheidaei, Z.; Beikzadeh, S.; Javanmardi, F. Rheological Characteristics and Methodology of Ice Cream: A Review. Curr. Nutr. Food Sci. 2020, 16, 666–674. [Google Scholar] [CrossRef]
 - Hasan, G.M.; Saadi, A.M.; Jassim, M.A. Study the Effect of Replacing the Skim Milk Used in Making Ice Cream with Some Dried Fruit. Food Sci. Technol. 2020, 41, 1033–1040. [Google Scholar] [CrossRef]
 - Karlsson, A.O.; Ipsen, R.; Ardö, Y. Observations of Casein Micelles in Skim Milk Concentrate by Transmission Electron Microscopy. LWT—Food Sci. Technol. 2007, 40, 1102–1107. [Google Scholar] [CrossRef]
 - McKenna, A.B.; Lloyd, R.J.; Munro, P.A.; Singh, H. Microstructure of Whole Milk Powder and of Insolubles Detected by Powder Functional Testing. Scanning 1999, 21, 305–315. [Google Scholar] [CrossRef]
 - Hassan, J.A.; El Zubeir, I.E.M. Effect Of Vanilla, Baobab (Adanosonia digitata) and Papaya (Carica Papaya) Fruits on the Microbiological and Sensory Propertis of Camel Milk Ice Cream. Annals. Food Sci. Technol. 2020, 21, 326–337. [Google Scholar]
 




| Formula | Ingredients (g 100 g−1) | ||||||
|---|---|---|---|---|---|---|---|
| Cow Milk (3% Fat)  | Cream (55% Fat) | Skim Milk (95%SNF) | Sugar | Gelatin | ADFP | Total | |
| IB-0 | 64.8 | 17.9 | 4.8 | 12 | 0.5 | 0 | 100 | 
| IB-25 | 64.8 | 17.9 | 3.6 | 12 | 0.5 | 1.2 | 100 | 
| IB-50 | 64.8 | 17.9 | 2.4 | 12 | 0.5 | 2.4 | 100 | 
| IB-75 | 64.8 | 17.9 | 1.2 | 12 | 0.5 | 3.6 | 100 | 
| IB-100 | 64.8 | 17.9 | 0 | 12 | 0.5 | 4.8 | 100 | 
| Treatment | Chemical Composition (g 100 g−1) | |||||
|---|---|---|---|---|---|---|
| Moisture | TS | TP | Fat | Ash | Carbohydrates | |
| IB-0 | 64.00  ± 0.73 a  | 36.00  ± 0.73 a  | 4.70 ± 0.57 a  | 11.87  ± 0.06 a  | 0.89  ± 0.05 a  | 18.56  ± 0.56 a  | 
| IB-25 | 64.12  ± 0.42 a  | 35.94  ± 0.42 a  | 4.14 ± 0.27 ab  | 11.83  ± 0.25 a  | 0.74  ± 0.05 bc  | 19.17  ± 0.03 a  | 
| IB-50 | 64..06  ± 0.73 a  | 35.94  ± 0.73 a  | 4.13  ± 0.23 ab  | 11.83 ± 0.32 a  | 0.74  ± 0.02 bc  | 19.24  ± 0.87 a  | 
| IB-75 | 64.14  ± 0.15 a  | 35.86  ± 0.15 a  | 3.95  ± 0.16 b  | 11.87  ± 0.25 a  | 0.76  ± 0.05 b  | 19.30  ± 0.47 a  | 
| IB-100 | 64.19 ± 0.66 a  | 35.81  ± 0.67 a  | 3.93  ± 0.19 b  | 11.83 ± 0.32 a  | 0.68  ± 0.01 c  | 19.37  ± 1.13 a  | 
| Sample Type | Sample | ||||
|---|---|---|---|---|---|
| IB-0 | IB-25 | IB-50 | IB-75 | IB-100 | |
| Ice cream mix | 2.89 ± 0.11 b | 3.35 ± 0.05 a | 2.76 ± 0.15 b | 2.39 ± 0.09 c | 2.73 ± 0.12 b | 
| Ice cream sample | 2.73 ± 0.58 b | 3.02 ± 0.08 b | 2.76 ± 0.06 b | 2.90 ± 0.10 ab | 2.77 ± 0.15 b | 
| Ice Cream | Macroelements * (mg 120 g−1) | Microelements ** (μg120 g−1) | |||||
|---|---|---|---|---|---|---|---|
| Na | K | Ca | Mg | p | Fe | Zn | |
| Elemental amount | |||||||
| IB-0 | 144.50 ± 58.1 a | 241.50 ± 25.5 a | 193.80 ± 18.6 a | 1.70 ± 1.2 a | 0.62 ± 0.0 e | <2.4 ± 0.0 c | 0.06 ± 0.0 e | 
| IB-25 | 143.50 ± 57.1 a | 247.80 ± 11.4 a | 190.80 ± 8.4 a | 1.71 ± 1.4 a | 0.73 ± 0.0 d | <2.4 ± 0.0 c | 2.75 ± 0.0 d | 
| IB-50 | 115.30 ± 57.7 a | 254.40 ± 1.8 a | 156.00 ± 1.2 b | 1.72 ± 1.0 a | 0.76 ± 0.0 c | <2.4 ± 0.0 c | 11.34 ± 0.3 c | 
| IB-75 | 115.30 ± 57.7 a | 259.80 ± 13.8 a | 141.00 ± 19.8 b | 1.82 ± 0.9 a | 1.07 ± 0.0 b | 79.32 ± 0.7 b | 14.64 ± 0.3 b | 
| IB-100 | 83.90 ± 5.5 a | 261.60 ± 12.0 a | 100.80 ± 19.2 c | 2.20 ± 0.2 a | 1.12 ± 0.0 a | 102.18 ± 2.5 a | 15.62 ± 0.1 a | 
| Elements contributing to a daily diet (%DV) | |||||||
| IB-0 | 6.28 ± 2.53 a | 5.14± 0.54 a | 14.91 ± 1.43 a | 0.40 ± 0.29 a | 0.049± 0.00 e | <0.013 ± 0.00 c | 0.0005 ± 0.00 e | 
| IB-25 | 6.24 ± 2.48 a | 5.27 ±0.24 a | 14.68 ± 0.65 a | 0.41 ± 0.33 a | 0.059 ± 0.00 d | <0.013 ± 0.00 c | 0.02 ± 0.00 d | 
| IB-50 | 5.01 ± 2.51 a | 5.48 ±0.04 a | 12.00 ± 0.09 b | 0.41 ± 0.24 a | 0.061 ± 0.00 c | <0.013 ± 0.00 c | 0.10 ± 0.00 c | 
| IB-75 | 4.64 ± 2.14 a | 5.53 ±0.29 a | 10.85 ± 1.52 b | 0.43 ± 0.21 a | 0.086 ± 0.00 b | 0.441 ± 0.01 b | 0.13 ± 0.00 b | 
| IB-100 | 3.65 ± 240 a | 5.57 ±0.26 a | 7.75 ± 1.48 c | 0.52 ± 0.05 a | 0.089± 0.00 a | 0.584 ± 0.137 a | 0.14 ± 0.00 a | 
| Antioxidant Parameters | Ice Cream Sample | ||||
|---|---|---|---|---|---|
| IB-0 | IB-25 | IB-50 | IB-75 | IB-100 | |
| TPC (mg GAE 100 g−1)  | 123.78 ± 1.23 e | 127.69 ± 0.98 d | 134.90 ± 1.98 c | 142.37 ± 2.57 b | 149.29 ± 3.18 a | 
| DPPH (µmol of TE 100 g−1)  | 89.17 ± 1.23 d | 91.27 ± 0.45 d | 94.99 ± 0.71 c | 96.24 ± 0.29 b | 98.12 ± 0.89 a | 
| TF  (mg QE 100 g−1)  | 00 ± 00 d | 4.16 ± 0.23 c | 4.76 ± 0.14 b | 5.06 ± 0.39 b | 5.96 ± 0.23 a | 
| TFL  (mg QE 100 g−1)  | 00 ± 00 d | 2.96 ± 0.27 c | 3.28 ± 0.19 bc | 3.65 ± 0.21 b | 4.01 ± 0.27 a | 
| Ice Cream Sample | Overrun % | Starting Melting Point (min) | Weight Loss % | ||||
|---|---|---|---|---|---|---|---|
| 45 min | 75 min | 90 min | 105 min | 120 min | |||
| IB-0 | 35.61 ± 0.53 a  | 37.57 ± 5.15 b  | 12.49  ± 0.04 b  | 89.54  ± 0.31 a  | 92.17 ± 0.16 a  | - | - | 
| IB-25 | 20.21 ± 0.200 b  | 35.93  ± 0.08 b  | 13.37 ± 0.07 a  | 65.40 ± 0.15 b  | 89.34 ± 0.11 b  | - | - | 
| IB-50 | 13.71 ± 0.25 b  | 44.07  ± 0.12 a  | 0.28 ± 0.03 e  | 1.42  ± 0.03 e  | 1.96 ± 0.02 e  | 45.26 ± 0.05 a  | 45.30 ± 0.02 a  | 
| IB-75 | 19.39  ± 0.03 c  | 35.04 ± 0.16 b  | 1.64  ± 0.01 d  | 3.65 ± 0.01 d  | 4.53 ± 0.07 d  | 9.29 ± 0.02 c  | 25.16 ± 0.16 b  | 
| IB-100 | 20.1  ± 0.36 d  | 35.33  ± 0.31 b  | 2.97  ± 0.21 c  | 8.22 ± 0.10 c  | 10.45 ± 0.06 c  | 12.19 ± 0.12 b  | 12..63  ± 0.49 c  | 
| Ice Cream Sample | L* | a* | b* | C | H° | BI | ∆E | 
|---|---|---|---|---|---|---|---|
| IB-0 | 85.69 ± 0.09 a | −3.45 ± 0.22 d | 6.23 ± 0.14 e | 7.12 ± 0.23 e | 118.91 ± 1.00 a | 4.339 ± 0.18 e | 0.00 ± 0.00 e | 
| IB-25 | 80.22 ± 0.51 b | −2.29 ± 0.20 c | 9.23 ± 0.05 d | 9.52 ± 0.03 d | 103.91 ± 1.22 b | 10.13 ± 0.26 d | 72.22 ± 0.13 d | 
| IB-50 | 77.00 ± 0.02 c | −0.02 ± 0.21 b | 15.51 ± 0.13 c | 15.51 ± 0.13 c | 90.04 ± 0.72 c | 23.96 ± 0.04 c | 75.46 ± 0.04 c | 
| IB-75 | 73.51 ± 0.03 d | 0.67 ± 0.05 b | 17.03 ± 0.05 b | 17.05 ± 0.05 b | 87.79 ± 0.16 d | 26.43 ± 0.03 b | 78.38 ± 0.02 b | 
| IB−100 | 71.21 ± 0.11 e | 1.47 ± 0.83 a | 22.39 ± 0.93 a | 22.45 ± 0.92 a | 86.27 ± 2.12 e | 33.35 ± 1.62 a | 83.30 ± 0.25 a | 
| Ice Cream Sample | Power Law Model | ||||
|---|---|---|---|---|---|
| η0 (Pa·s) | η00 (Pa·s) | K (Pa·sn) | Rate Index | r2 | |
| IB-0 mix | 4.49 ± 1.31 c | 0.13 ± 0.01 b | 0.337 ± 0.102 c | 1.14 ± 0.01 b | 0.999 ± 0.00 a | 
| IB-25 mix | 15.62 ± 0.63 b | 0.11 ± 0.00 b | 0.875 ± 0.007 a | 1.18 ± 0.04 ab | 0.999 ± 0.00 a | 
| IB-50 mix | 30.46 ± 8.44 a | 0.17 ± 0.02 a | 0.498± 0.102 b | 1.21 ± 0.02 ab | 0.999± 0.00 a | 
| IB-75 mix | 18.52 ± 1.18 b | 0.18 ± 0.00 a | 0.318± 0.032 c | 1.31 ± 0.04 a | 0.998 ± 0.00 a | 
| IB-100 mix | 15.88 ± 2.48 b | 0.10 ± 0.03 b | 0.350 ± 0.076 c | 1.28 ± 0.13 a | 0.998 ± 0.00 a | 
Disclaimer/Publisher’s Note: The statements, opinions and data contained in all publications are solely those of the individual author(s) and contributor(s) and not of MDPI and/or the editor(s). MDPI and/or the editor(s) disclaim responsibility for any injury to people or property resulting from any ideas, methods, instructions or products referred to in the content.  | 
© 2023 by the authors. Licensee MDPI, Basel, Switzerland. This article is an open access article distributed under the terms and conditions of the Creative Commons Attribution (CC BY) license (https://creativecommons.org/licenses/by/4.0/).
Share and Cite
Sakr, S.S.; Mohamed, S.H.S.; Ali, A.A.; Ahmed, W.E.; Algheshairy, R.M.; Almujaydil, M.S.; Al-Hassan, A.A.; Barakat, H.; Hassan, M.F.Y. Nutritional, Physicochemical, Microstructural, Rheological, and Organoleptical Characteristics of Ice Cream Incorporating Adansonia digitata Pulp Flour. Foods 2023, 12, 533. https://doi.org/10.3390/foods12030533
Sakr SS, Mohamed SHS, Ali AA, Ahmed WE, Algheshairy RM, Almujaydil MS, Al-Hassan AA, Barakat H, Hassan MFY. Nutritional, Physicochemical, Microstructural, Rheological, and Organoleptical Characteristics of Ice Cream Incorporating Adansonia digitata Pulp Flour. Foods. 2023; 12(3):533. https://doi.org/10.3390/foods12030533
Chicago/Turabian StyleSakr, Sally S., Sahar H. S. Mohamed, Asmahan A. Ali, Waheeba E. Ahmed, Reham M. Algheshairy, Mona S. Almujaydil, Ahmed A. Al-Hassan, Hassan Barakat, and Mohamed F. Y. Hassan. 2023. "Nutritional, Physicochemical, Microstructural, Rheological, and Organoleptical Characteristics of Ice Cream Incorporating Adansonia digitata Pulp Flour" Foods 12, no. 3: 533. https://doi.org/10.3390/foods12030533
APA StyleSakr, S. S., Mohamed, S. H. S., Ali, A. A., Ahmed, W. E., Algheshairy, R. M., Almujaydil, M. S., Al-Hassan, A. A., Barakat, H., & Hassan, M. F. Y. (2023). Nutritional, Physicochemical, Microstructural, Rheological, and Organoleptical Characteristics of Ice Cream Incorporating Adansonia digitata Pulp Flour. Foods, 12(3), 533. https://doi.org/10.3390/foods12030533
        
