Study on the Mechanism of Phenylacetaldehyde Formation in a Chinese Water Chestnut-Based Medium during the Steaming Process
Abstract
1. Introduction
2. Experimental Instruments and Methods
2.1. Experimental Instruments and Reagents
2.2. Construction of Maillard Reaction Simulation System
2.3. SPME-GC-MS Detection
2.4. Confirmation of Simulation System and Reaction Substrate
2.5. Determination of the Optimum Proportion of Reaction Substrate
2.6. Determination of α-DCs
3. Results and Analysis
3.1. Reaction Substrate for the Formation of Phenylacetaldehyde
3.2. The Optimal Molar Ratio of the Substrate to the Reaction
3.3. The Main α-DCs Formed
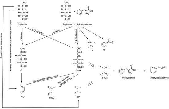
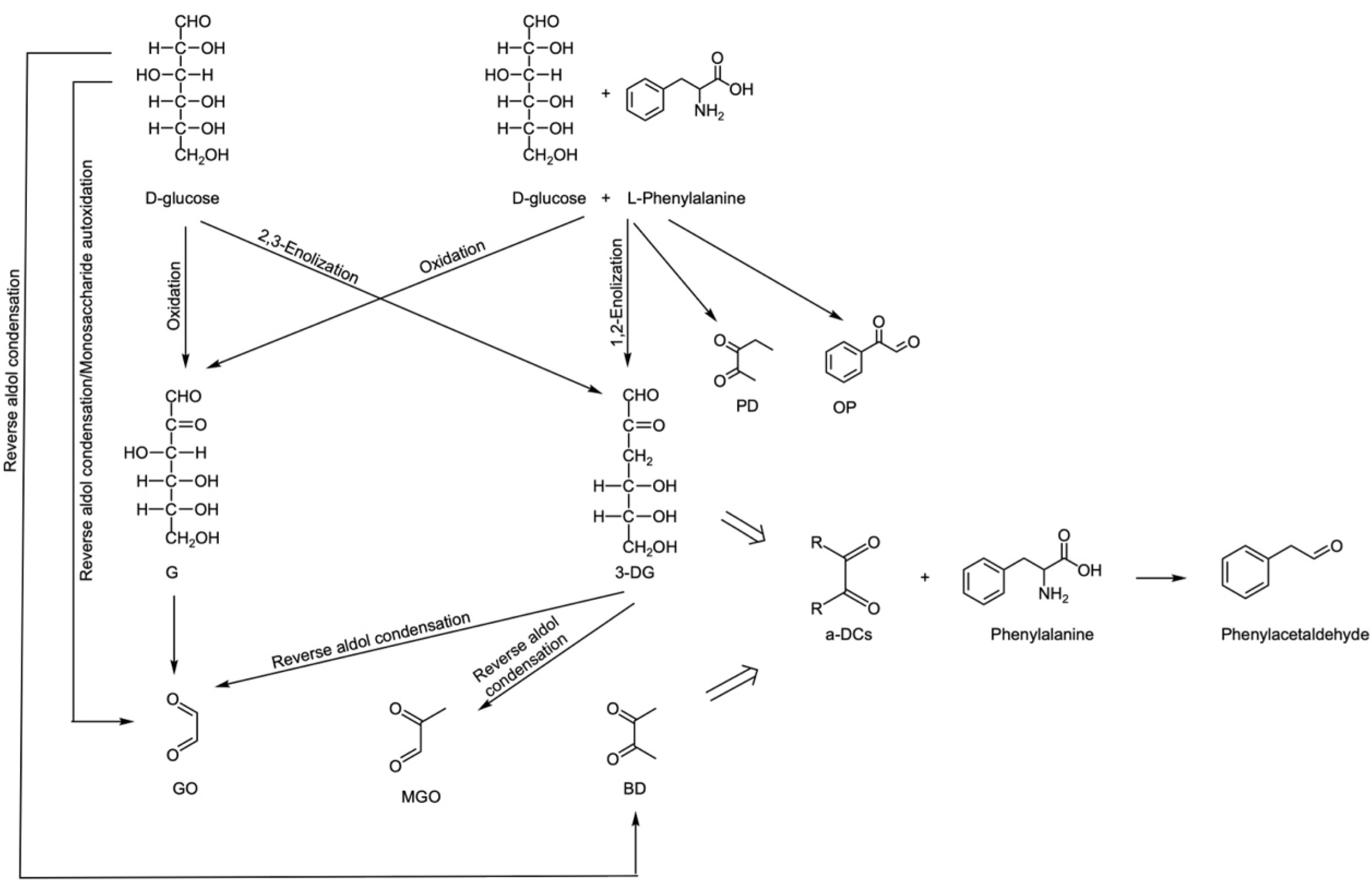
3.4. Analysis of Phenacetaldehyde Formation Mechanism in Maillard Reaction System
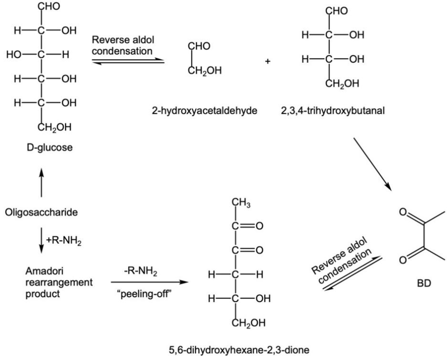
3.4.1. The Formation Mechanism of Major α-DCs
3.4.2. α-DCs React with Phenylalanine to Form Phenylacetaldehyde
4. Conclusions
Author Contributions
Funding
Data Availability Statement
Conflicts of Interest
References
- Luo, Y.H.; Gao, Z.M.; Chen, Z.L. Development of Chinese water chestnut beverage rich in flavonoids. J. Food Res. Dev. 2008, 29, 60–63. [Google Scholar]
- Li, G.L.; Nie, H.; Su, K.Z.; Li, X.C.; Huang, S.Q.; Wu, S.J.; Luo, Y.H. Analysis of volatile flavor compounds in Chinese water chestnut with different steaming and cooking time based on sensory evaluation and electronic nose. J. Sci. Technol. Food Ind. 2020, 41, 1–7+14. [Google Scholar] [CrossRef]
- Wang, P.; Wang, S.M.; Zhang, J.C. A new approach to the synthesis of phenylacetaldehyde. J. Chem. Ind. Eng. 2004, 5, 383–384. [Google Scholar]
- Thomas, C.; Mercier, F.; Tournayre, P. Effect of nitrite on the odourant volatile fraction of cooked ham. J. Food Chem. 2013, 139, 432–438. [Google Scholar] [CrossRef]
- Chen, T. Study on the Maillard Reaction and the Rule of Aroma Formation during Hot Processing of Castanea Cusp; Zhejiang Gongshang University: Hangzhou, China, 2017. [Google Scholar]
- Zhao, J.; Fan, M.D.; Zhen, D.W. Identification and formation mechanism of flavor substances in oxidized chicken fat-glutathione-glucose reaction system. J. Food Sci. 2017, 38, 149–155. [Google Scholar]
- Wang, T.T. Study on Isotopic Tracer Pyrolysis of Some Small Molecule Natural Products; Zhengzhou University: Zhengzhou, China, 2016. [Google Scholar]
- Liu, J.B. Study on the Mechanism of Chicken Peptides Involved in Maillard Reaction and Flavor Characteristics of Reaction Products; Beijing Technology and Business University: Beijing, China, 2015. [Google Scholar]
- Wang, X.J.; Gao, F. Quantitative analyses of α-dicarbonyl compounds in food samples by HPLC using 4-(2,3-dim-thyl-6-quinoxalinyl)-1,2-Benzenediamine as a derivatizing reagent. Microchem. J. 2018, 141, 64–70. [Google Scholar] [CrossRef]
- Xia, X.X.; Xue, A.L.; Kou, F.B. Research progress on the formation mechanism of characteristic aroma substances in the processing of jujube. J. Shipin Yu Fajiao Gongye 2021, 47, 288–297. [Google Scholar] [CrossRef]
- Tang, Q.S.; Liu, X.M.; Chen, Z.Y. Enzymatic hydrolysis and Thermal reaction analysis of flammulina velutifolia. J. Chin. Food Sci. 2016, 16, 91–97. [Google Scholar] [CrossRef]
- Zhang, M. Flavor Formation Mechanism of Consomme Type Broth and Optimization of Electric Saucepan Cooking Procedure; Jiangnan University: Wuxi, China, 2019. [Google Scholar]
- Wang, Y.; Zhang, A.; Wang, X. The radiation assisted-Maillard reaction comprehensively improves the freeze-thaw stability of soy protein-stabilized oil-in-water emulsions. Food Hydrocoll. 2020, 103, 105684. [Google Scholar] [CrossRef]
- Smuda, M.; Glomb, M.A. Fragmentation Pathways during Maillard-Induced Carbohydrate Degradation. J. Agric. Food Chem. 2013, 61, 10198–10208. [Google Scholar] [CrossRef]
- Lv, M.S. Preparation of Beef Essence and Study on Alpha-Dicarbonyl Compound, Intermediate Product of Maillard Reaction; Jinan University: Guangzhou, China, 2013. [Google Scholar]
- Ma, M.M. Production Rule and Mechanism of α-Dicarbonyl Compounds; Tianjin University of Science and Technology: Tianjin, China, 2017. [Google Scholar]
- Tas, N.G.; Gokmen, V. Effect of alkalization on the Maillard reaction products formed in cocoa during roasting. J. Impact Food Res. 2016, 89, 930–936. [Google Scholar] [CrossRef]
- Thornalley, P.J.; Langborg, A.; Minhas, H.S. Formation of glyoxal, methylglyoxal and 3-deoxyglucosone in the glycation of proteins by glucose. Biochem. J. 1999, 344, 109–116. [Google Scholar] [CrossRef] [PubMed]
- Wu, C.J. Detection, Formation and Regulation of Imidazoles and Their Precursors α-Dicarbonyl Compounds in Maillard Reactions; South China University of Technology: Guangzhou, China, 2019. [Google Scholar]
- Hofmann, T.; Munch, P.; Schieberle, P. Quantitative model studies on the formation of aroma-active aldehydes and acids by strecker-type reactions. J. Agric. Food Chem. 2000, 48, 434–440. [Google Scholar] [CrossRef] [PubMed]
- Tian, H.Y.; Sun, B.G.; Zhang, J. Study on Strecker degradation of α-dicarbonyl compounds and L-leucine composition model system. Food Sci. J. 2010, 31, 24–27. [Google Scholar]
- Wang, S.Q.; Huang, S.X.; Zhang, Z.J. Formation mechanism of strecker aldehyde in beer aging process. J. Beer Sci. Tech. 2009, 1, 66–68. [Google Scholar]
- Wang, X.J. Determination of α-Dicarbonyl Compounds by Precolumn Derivation-HPLC; Northwest University: Xi’an, China, 2019. [Google Scholar]
- Henning, C.; Liehr, K. Extending the spectrum of α-dicarbonyl compounds in vivo. J. Biol. Chem. 2014, 289, 28676–28688. [Google Scholar] [CrossRef]
- Yang, Y.; Liu, S.J.; Jiao, S.L. Research progress of α-dicarbonyl compounds detection methods. J. Chem. Biol. Eng. 2020, 37, 1–6+53. [Google Scholar]
- Liu, P.; Huang, M.G. Formation mechanism of cross-linking Maillard compounds in peptide-xylose systems. J. Pept. Sci. 2012, 18, 626–634. [Google Scholar] [CrossRef]
- Shibamoto, T. Analytical methods for trace levels of reactive carbonyl compounds formed in lipid peroxidation systems. J. Pharm. Biomed. Anal. 2006, 41, 12–25. [Google Scholar] [CrossRef]
- Nie, H.; Chen, H.C.; Luo, Y.H. Comparison of flavonoids and phenylpropanoids compounds in Chinese water chestnut processed with different methods. J. Food Chem. 2020, 335, 127662. [Google Scholar] [CrossRef]
- Zhao, T.P. Study on the Model System and the Formation and Control of Three Heterocyclic Amines, PhIP, NorHarman and Harman, in Fried Chicken; Henan University of Technology: Zhengzhou, China, 2021. [Google Scholar]
- Li, G.L. Study on Flavor Components of Chinese Water Chestnut under Different Steaming and Cooking Time; Dalian Polytechnic University: Dalian, China, 2020. [Google Scholar]
- Cheng, H.F.; Lin, L.; Ge, M.T. Comparison of volatile flavor characteristics of. Chinese Mitten crab meat in three ecological environments. J. Food Ferment. Ind. 2019, 45, 247–256. [Google Scholar] [CrossRef]
- Huang, Q.R.; Zeng, M.M.; He, Z.Y. Effect of reaction conditions on the formation of α-dicarbonyl compounds in the glucose-glycine simulated Maillard Reaction system. J. Shipin Gongye Keji 2016, 37, 150–154. [Google Scholar] [CrossRef]
- Zhang, Y.Q. Relationship between reducing sugar test and enolation. J. Univ. Chem. 1990, 5, 11–13+7. [Google Scholar]
- Ruckriemen, J.; Hellwig, A.; Schultes, S. Studies on the influence of dietary 3-deoxyglucosone on the urinary excretion of 2-keto-3-deoxygluconic acid. Eur. Food Res. Technol. 2018, 244, 1389–1396. [Google Scholar] [CrossRef]
- Weenen, H. Reactive intermediates and carbohydrate fragmentation in Maillard chemistry. J. Food Chem. 1998, 62, 393–401. [Google Scholar] [CrossRef]
- Manini, P.; La, P.P.; Panzella, L. Glyoxal formation by Fenton-induced degradation of carbohydrates and related compounds. Carbohydr. Res. 2006, 341, 1828–1833. [Google Scholar] [CrossRef]
- Wells-Knecht, K.J.; Zyzak, D.V.; Litchfield, J.E. Identification of glyoxal and arabinose as intermediates in the autoxidative modification of proteins by glucose. J. Biochem. 1995, 34, 3702–3709. [Google Scholar] [CrossRef]
- Hollnagel, A.; Kroh, L.W. Degradation of oligosaccharides in nonenzymatic browning by formation of α-dicarbonyl compounds via a “peeling off” mechanism. J. Agric. Food Chem. 2000, 48, 6219–6226. [Google Scholar] [CrossRef]
- Hollnagel, A.; Kroh, L.W. 3-Deoxypentosulose: An α-Dicarbonyl Compound Predominating in Nonenzymatic Browning of Oligosaccharides in Aqueous Solution. J. Agric. Food Chem. 2002, 50, 1659–1664. [Google Scholar] [CrossRef]












| Products | Relative Amount μg/g | ||
|---|---|---|---|
| Simulation System 1 | Simulation System 2 | Simulation System 3 | |
| Phenylacetaldehyde | 0.0988 | -- | -- |
| Benzaldehyde | 0.0148 | -- | -- |
| Capraldehyde | 0.0097 | -- | -- |
| Nonanal | 0.0060 | 0.0109 | 0.0168 |
| Dodecanal | 0.0059 | 0.0047 | 0.0061 |
| Undecanal | 0.0018 | 0.0016 | 0.0047 |
| Steamed Time | Methylglyoxal (MGO) ![]() | 2,3-Butanedione (BD) ![]() | 1-oxo-2-Phenylacetaldehyde (OP) ![]() | 2,3-Pentanedione (PD) ![]() | Glyoxal (GO) ![]() | Total![]() |
|---|---|---|---|---|---|---|
| 0 min | 2.7990 | 0.1920 | 0.0094 | -- | -- | 3.0004 |
| 10 min | 18.2800 | 2.3220 | 0.0214 | -- | -- | 20.6234 |
| 20 min | 23.3401 | 4.2055 | 0.0289 | 2.7788 | -- | 30.3533 |
| 30 min | 27.5832 | 5.4023 | 0.0219 | 2.2209 | 4.9823 | 40.2106 |
| Total | 72.0023 | 12.1218 | 0.0816 | 4.9997 | 4.9823 | 94.1877 |
| Steamed Time | Methylglyoxal (MGO) ![]() | 2,3-Butanedione (BD) ![]() | 2,3-Pentanedione (PD) ![]() | Glyoxal (GO) ![]() | Total![]() |
|---|---|---|---|---|---|
| 0 min | 2.1846 | 0.2382 | -- | -- | 2.4228 |
| 10 min | 16.1886 | 1.8177 | -- | -- | 18.0063 |
| 20 min | 23.1943 | 2.8934 | 0.8822 | 3.5043 | 30.4742 |
| 30 min | 23.7674 | 2.7870 | 1.0387 | 2.9894 | 30.5825 |
| Total | 65.3349 | 7.7363 | 1.9209 | 6.4937 | 81.4858 |
Disclaimer/Publisher’s Note: The statements, opinions and data contained in all publications are solely those of the individual author(s) and contributor(s) and not of MDPI and/or the editor(s). MDPI and/or the editor(s) disclaim responsibility for any injury to people or property resulting from any ideas, methods, instructions or products referred to in the content. |
© 2023 by the authors. Licensee MDPI, Basel, Switzerland. This article is an open access article distributed under the terms and conditions of the Creative Commons Attribution (CC BY) license (https://creativecommons.org/licenses/by/4.0/).
Share and Cite
Lin, Y.; Li, G.; Wu, S.; Li, X.; Luo, X.; Tan, D.; Luo, Y. Study on the Mechanism of Phenylacetaldehyde Formation in a Chinese Water Chestnut-Based Medium during the Steaming Process. Foods 2023, 12, 498. https://doi.org/10.3390/foods12030498
Lin Y, Li G, Wu S, Li X, Luo X, Tan D, Luo Y. Study on the Mechanism of Phenylacetaldehyde Formation in a Chinese Water Chestnut-Based Medium during the Steaming Process. Foods. 2023; 12(3):498. https://doi.org/10.3390/foods12030498
Chicago/Turabian StyleLin, Yanan, Guanli Li, Shujie Wu, Xiaochun Li, Xiujuan Luo, Dexin Tan, and Yanghe Luo. 2023. "Study on the Mechanism of Phenylacetaldehyde Formation in a Chinese Water Chestnut-Based Medium during the Steaming Process" Foods 12, no. 3: 498. https://doi.org/10.3390/foods12030498
APA StyleLin, Y., Li, G., Wu, S., Li, X., Luo, X., Tan, D., & Luo, Y. (2023). Study on the Mechanism of Phenylacetaldehyde Formation in a Chinese Water Chestnut-Based Medium during the Steaming Process. Foods, 12(3), 498. https://doi.org/10.3390/foods12030498











