Evaluation and Optimization of Quality Based on the Physicochemical Characteristics and Metabolites Changes of Qingpi during Storage
Abstract
1. Introduction
2. Materials and Methods
2.1. Materials and Chemicals
2.1.1. Materials
2.1.2. Chemicals
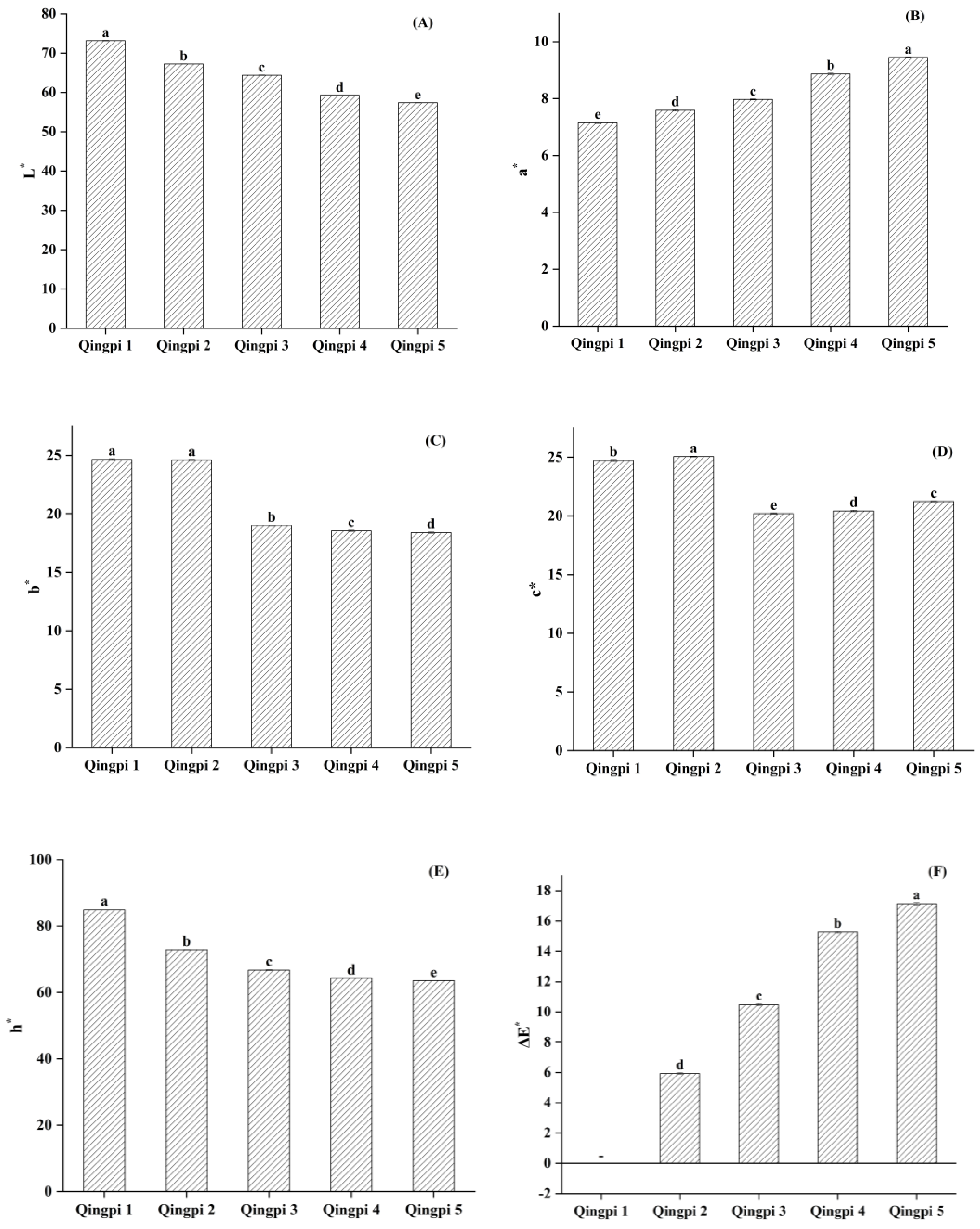
2.2. Color Evaluation
2.3. Flavonoids Analysis with HPLC
2.3.1. HPLC Conditions
2.3.2. Preparation of Sample Solutions
2.3.3. Preparation of Standard Solutions
2.3.4. Establishment of Calibration Curves
2.3.5. Method Validation
2.4. Determination of Total Flavonoids (TFs)
2.5. Determination of Total Phenolics (TPs)
2.6. Evaluation of Antioxidant Activity
2.7. Untargeted Metabolomics Analysis of Qingpi
2.7.1. Preparation of Experimental Solutions
2.7.2. UPLC-MS Conditions
2.7.3. Data Preprocessing and Analysis
2.8. Statistical Analysis
3. Results and Discussion
3.1. Color Change of Qingpi Samples during Storage
3.2. HPLC Method Validation
3.3. Analysis of Flavonoids of Qingpi Samples during Storage
3.4. Changes in TFs, TPs, and Antioxidant Activity of Qingpi during Storage
3.5. LC-MS Untargeted Metabolomics Analysis Results of Qingpi
3.6. Screening and Identifying of Special Differential Metabolites of Qingpi
4. Conclusions
Supplementary Materials
Author Contributions
Funding
Institutional Review Board Statement
Informed Consent Statement
Data Availability Statement
Acknowledgments
Conflicts of Interest
References
- Yi, L.Z.; Dong, N.P.; Liu, S.; Yi, Z.B.; Zhang, Y. Chemical features of pericarpium citri reticulatae and pericarpium citri reticulatae viride revealed by GC-MS metabolomics analysis. Food Chem. 2015, 186, 192–199. [Google Scholar] [CrossRef] [PubMed]
- Wang, Y.; Cui, W.L.; Pang, G.W.; Xiong, L.W.; Liu, Q.Z.; Xu, L.L.; Li, H.F.; Lin, Y.Q. Analyses of physical and chemical compositions of different medicinal specifications of CRPV by use of multiple instrumental techniques combined with multivariate statistical analysis. Molecules 2022, 27, 3285. [Google Scholar] [CrossRef] [PubMed]
- The Pharmacopoeia Commission of PRC. Pharmacopoeia of the People’s Republic of China (Part 1); China Medical Science and Technology Press: Beijing, China, 2020; pp. 199–206. [Google Scholar]
- He, X.F.; Huang, S.S.; Wu, M.M.; Wu, M.H.; Zhang, Y.; Ma, Z.G.; Liu, L.; Cao, H. Simultaneous quantitative analysis of ten bioactive flavonoids in citri reticulatae pericarpium viride (Qing Pi) by ultrahigh-performance liquid chromatography and high-resolution mass spectrometry combined with chemometric methods. Phytochem. Anal. 2021, 32, 1152–1161. [Google Scholar] [CrossRef] [PubMed]
- Safranko, S.; Corkovic, I.; Jerkovic, I.; Jakovljevic, M.; Aladic, K.; Subaric, D.; Jokic, S. Green extraction techniques for obtaining bioactive compounds from mandarin peel (Citrus unshiu var. Kuno): Phytochemical analysis and process optimization. Foods 2021, 10, 1043. [Google Scholar]
- Zhang, Y.S.; Wang, F.; Cui, S.X.; Qu, X.J. Natural dietary compound naringin prevents azoxymethane/dextran sodium sulfate-induced chronic colorectal inflammation and carcinogenesis in mice. Cancer Biol. Ther. 2018, 19, 735–744. [Google Scholar] [CrossRef]
- Ansari, B.; Aschner, M.; Hussain, Y.; Efferth, T.; Khan, H. Suppression of colorectal carcinogenesis by naringin. Phytomedicine 2022, 96, 153897. [Google Scholar] [CrossRef]
- Yuk, T.; Kim, Y.; Yang, J.; Sung, J.; Jeong, H.S.; Lee, J. Nobiletin inhibits hepatic lipogenesis via activation of AMP-activated protein kinase. Evid. Based-Complement. Alternat. Med. 2018, 2018, 7420265. [Google Scholar] [CrossRef]
- Lu, W.J.; Lin, K.C.; Liu, C.P.; Lin, C.Y.; Wu, H.C.; Chou, D.S.; Geraldine, P.; Huang, S.Y.; Hsieh, C.Y.; Sheu, J.R. Prevention of arterial thrombosis by nobiletin: In vitro and in vivo studies. J. Nutr. Biochem. 2016, 28, 1–8. [Google Scholar] [CrossRef]
- Sun, X.X.; Cameron, R.G.; Manthey, J.A.; Hunter, W.B.; Bai, J.H. Microencapsulation of tangeretin in a citrus pectin mixture matrix. Foods 2020, 9, 1200. [Google Scholar] [CrossRef]
- He, Y.J.; Zhu, M.; Zhou, Y.; Zhao, K.H.; Zhou, J.L.; Qi, Z.H.; Zhu, Y.Y.; Wang, Z.J.; Xie, T.Z.; Tang, Q.; et al. Comparative investigation of phytochemicals among ten citrus herbs by ultra high performance liquid chromatography coupled with electrospray ionization quadrupole time-of-flight mass spectrometry and evaluation of their antioxidant properties. J. Sep. Sci. 2020, 43, 3349–3358. [Google Scholar] [CrossRef]
- National Health Commission of the People’s Republic of China. Available online: http://www.nhc.gov.cn/wjw/gfxwj/201304/e33435ce0d894051b15490aa3219cdc4.shtml (accessed on 8 December 2022).
- He, J.; Chen, C.C.; He, Q.X.; Li, J.Y.; Ying, F.; Chen, G. The central bacterial community in pericarpium Citri Reticulatae ‘Chachiensis’. Food Res. Int. 2019, 125, 108624. [Google Scholar] [CrossRef] [PubMed]
- Su, M.S.; Shyu, Y.T.; Chien, P.J. Antioxidant activities of citrus herbal product extracts. Food Chem. 2008, 111, 892–896. [Google Scholar] [CrossRef]
- Wen, S. Research on the Effect and Mechanism of Citrus Maxima-Tea on Inhibiting Liver Cancer Cells Proliferation and Relieving Non-Alcoholic Fatty Liver Disease. Master’s Thesis, Wuyi University, Guangdong, China, 2020. [Google Scholar]
- He, S.X.; Luo, Q.; Xue, Q.R.; Hong, Q.H.; Zhou, M.R.; Zhang, S.Z. Study on the content of active ingredients and anti-oxidation of citrus tea based on different processes. Food Ind. 2022, 43, 82–86. [Google Scholar]
- Zheng, Y.Y.; Zeng, X.; Chen, T.T.; Peng, W.; Su, W.W. Chemical profile, antioxidative, and gut microbiota modulatory properties of Ganpu tea: A derivative of Pu-erh tea. Nutrients 2020, 12, 224. [Google Scholar] [CrossRef]
- Fang, X.G.; Han, B.Y. Development of a citrus reticulate peel flower tea. Mod. Agric. Sci. Technol. 2021, 15, 221–222. [Google Scholar]
- Zheng, Y.Y.; Zeng, X.; Guan, M.Y.; Xie, X.T.; Peng, W.; Su, W.W. UHPLC-Q-TOF-MS/MS-based metabolite profiling of Ganpu Tea in rat urine and feces. Nat. Prod. Commun. 2022, 17, 1934578X221084630. [Google Scholar] [CrossRef]
- Xiao, S.; Huang, J.Y.; Huang, Y.H.; Lai, H.Q.; Zheng, Y.; Liang, D.H.; Xiao, H.; Zhang, X. Flavor characteristics of Ganpu Tea formed during the sun-drying processing and its antidepressant-like effects. Front Nutr. 2021, 8, 647537. [Google Scholar] [CrossRef]
- Lv, X.M.; Chang, Y.M. Chaicaoguaguo Chapter 41 Qingpi. Chin. J. Rural Med. Pharm. 2018, 25, 35–36. [Google Scholar]
- Liu, Z.Y.; Xu, L.; Song, P.P.; Wu, C.; Xu, B.; Li, Z.J.; Chao, Z.M. Comprehensive quality evaluation for medicinal and edible Ziziphi Spinosae Semen before and after rancidity based on traditional sensory, physicochemical characteristics, and volatile compounds. Foods 2022, 11, 2320. [Google Scholar] [CrossRef]
- Fu, M.Q.; Xu, Y.J.; Chen, Y.L.; Wu, J.J.; Yu, Y.S.; Zou, B.; An, K.J.; Xiao, G.S. Evaluation of bioactive flavonoids and antioxidant activity in pericarpium citri reticulatae (Citrus reticulata ‘Chachi’) during storage. Food Chem. 2017, 230, 649–656. [Google Scholar] [CrossRef]
- Yu, Q.; Tao, Y.X.; Huang, Y.T.; Zogona, D.; Wu, T.; Liu, R.T.; Pan, S.Y.; Xu, X.Y. Aged pericarpium Citri Reticulatae ‘Chachi’ attenuates oxidative damage induced by tert-Butyl Hydroperoxide (t-BHP) in HepG2 cells. Foods 2022, 11, 273. [Google Scholar] [CrossRef] [PubMed]
- Wang, H.; Chen, G.; Fu, X.; Liu, R.H. Effects of aging on the phytochemical profile and antioxidative activity of pericarpium Citri Reticulatae ‘Chachiensis’. RSC Adv. 2016, 6, 105272–105281. [Google Scholar] [CrossRef]
- Li, R.Q.; Xu, L.; Wu, C.; Ma, Y.C.; Chen, Y.; Chao, Z.M. Quality evaluation of Lilii Bulbus based on color analysis. J. Basic Chin. Med. 2020, 26, 381–384. [Google Scholar]
- Chen, Q.Y.; Wang, D.; Tan, C.; Hu, Y.; Sundararajan, B.; Zhou, Z.Q. Profiling of flavonoid and antioxidant activity of fruit tissues from 27 chinese local citrus cultivars. Plants 2020, 9, 196. [Google Scholar] [CrossRef] [PubMed]
- Fu, M.Q.; An, K.J.; Xu, Y.J.; Chen, Y.L.; Wu, J.J.; Yu, Y.S.; Zou, B.; Xiao, G.S.; Ti, H.H. Effects of different temperature and humidity on bioactive flavonoids and antioxidant activity in pericarpium citri reticulata (Citrus reticulata ‘Chachi’). LWT-Food Sci. Technol. 2018, 93, 167–173. [Google Scholar] [CrossRef]
- Yu, Q.; Pan, H.J.; Shao, H.T.; Qian, C.R.; Han, J.J.; Li, Y.Y.; Lou, Y.J. UPLC/MS-based untargeted metabolomics reveals the changes in muscle metabolism of electron beam irradiated Solenocera melantho during refrigerated storage. Food Chem. 2022, 367, 130713. [Google Scholar] [CrossRef]
- Wu, C.; Wang, H.J.; Liu, Z.Y.; Xu, B.; Li, Z.J.; Song, P.P.; Chao, Z.M. Untargeted metabolomics coupled with chemometrics for leaves and stem barks of dioecious Morus alba L. Metabolites 2022, 12, 106. [Google Scholar] [CrossRef]
- Shao, Y.Y.; Chen, H.R.; Lin, H.X.; Feng, H.S.; Gong, J.T.; Cao, G.Z.; Hong, W.F.; Yao, Y.B.; Zou, H.Q.; Yan, Y.H. Exploration on varying patterns of morphological features and quality of Armeniacae Semen Amarum in rancid process based on colorimeter, electronic nose, and GC/MS coupled with human panel. Front. Pharmacol. 2022, 13, 599979. [Google Scholar] [CrossRef]
- Fu, M.Q.; Xiao, G.S.; Wu, J.J.; Chen, Y.L.; Yu, Y.S.; Chen, W.D.; Xu, Y.J. Effects of modified atmosphere packaging on the quality of dried lemon slices. J. Food Process. Preserv. 2017, 41, e13043. [Google Scholar] [CrossRef]
- Cebi, N.; Taylan, O.; Abusurrah, M.; Sagdic, O. Detection of orange essential oil, isopropyl myristate, and benzyl alcohol in lemon essential oil by FTIR spectroscopy combined with chemometrics. Foods 2021, 10, 27. [Google Scholar] [CrossRef]
- Yang, M.; Jiang, Z.D.; Wen, M.C.; Wu, Z.F.; Zha, M.Y.; Xu, W.; Zhang, L. Chemical variation of Chenpi (citrus peels) and corresponding correlated bioactive compounds by LC-MS metabolomics and multibioassay analysis. Front. Nutr. 2022, 9, 825381. [Google Scholar] [CrossRef] [PubMed]
- Starowicz, M.; Ostaszyk, A.; Zielinski, H. The relationship between the browning index, total phenolics, color, and antioxidant activity of polish-originated honey samples. Foods 2021, 10, 967. [Google Scholar] [CrossRef] [PubMed]
- Proestos, C.; Varzakas, T. Aromatic plants: Antioxidant capacity and polyphenol characterisation. Foods 2017, 6, 28. [Google Scholar] [CrossRef] [PubMed]
- Wang, N.; Han, H.X.; Zhong, Z.M.; Wang, J.; Liu, Q.L. Study reparation and storage stability of red raspberry jam. Food Res. Dev. 2022, 43, 134–141. [Google Scholar]
- Rababah, T.M.; Al-Mahasneh, M.A.; Kilani, I.; Yang, W.; Alhamad, M.N.; Ereifej, K.; Al-U’datt, M. Effect of jam processing and storage on total phenolics, antioxidant activity, and anthocyanins of different fruits. J. Sci. Food Agric. 2011, 91, 1096–1102. [Google Scholar] [CrossRef] [PubMed]
- Kadivec, M.; Bornsek, S.M.; Polak, T.; Demsar, L.; Hribar, J.; Pozrl, T. Phenolic content of strawberry spreads during processing and storage. J. Agric. Food Chem. 2013, 61, 9220–9229. [Google Scholar] [CrossRef]
- Topcu, Y.; Dogan, A.; Kasimoglu, Z.; Sahin-Nadeem, H.; Polat, E.; Erkan, M. The effects of UV radiation during the vegetative period on antioxidant compounds and postharvest quality of broccoli (Brassica oleracea L.). Plant Physiol. Biochem. 2015, 93, 56–65. [Google Scholar] [CrossRef] [PubMed]
- Hamrouni-Sellami, I.; Rahali, F.Z.; Rebey, I.B.; Bourgou, S.; Limam, F.; Marzouk, B. Total phenolics, flavonoids, and antioxidant activity of sage (Salvia officinalis L.) plants as affected by different drying methods. Food Bioprocess Technol. 2013, 6, 806–817. [Google Scholar] [CrossRef]
- Gião, M.S.; Pereira, C.I.; Pintado, M.E.; Malcata, F.X. Effect of technological processing upon the antioxidant capacity of aromatic and medicinal plant infusions: From harvest to packaging. LWT-Food Sci. Technol. 2013, 50, 320–325. [Google Scholar] [CrossRef]
- Jimenez-Zamora, A.; Delgado-Andrade, C.; Rufian-Henares, J.A. Antioxidant capacity, total phenols and color profile during the storage of selected plants used for infusion. Food Chem. 2016, 199, 339–346. [Google Scholar] [CrossRef]
- Guimaraes, R.; Barreira, J.C.; Barros, L.; Carvalho, A.M.; Ferreira, I.C. Effects of oral dosage form and storage period on the antioxidant properties of four species used in traditional herbal medicine. Phytother. Res. 2011, 25, 484–492. [Google Scholar] [CrossRef] [PubMed]
- Yang, F.; Zou, Y.F.; Li, C.Y.; Li, J.X.; Zang, Y.P.; Peng, X.; Wang, J.; Liu, E.H.; Tong, S.Q.; Chu, C. Discovery of potential hypoglycemic metabolites in Cassiae Semen by coupling UHPLC-QTOF-MS/MS combined plant metabolomics and spectrum-effect relationship analyses. Food Funct. 2022, 13, 10291–10304. [Google Scholar] [CrossRef] [PubMed]
- Jimenez-Carvelo, A.M.; Martin-Torres, S.; Ortega-Gavilan, F.; Camacho, J. PLS-DA vs sparse PLS-DA in food traceability. A case study: Authentication of avocado samples. Talanta 2021, 224, 121904. [Google Scholar] [CrossRef] [PubMed]
- Song, P.P.; Xu, B.; Liu, Z.Y.; Cheng, Y.X.; Chao, Z.M. The difference of volatile compounds in female and male buds of Trichosanthes anguina L. based on HS-SPME-GC-MS and multivariate statistical analysis. Molecules 2022, 27, 7021. [Google Scholar] [CrossRef] [PubMed]
- Wen, L.R.; He, M.Y.; Yin, C.X.; Jiang, Y.M.; Luo, D.H.; Yang, B. Phenolics in citrus aurantium fruit identified by UHPLC-MS/MS and their bioactivities. LWT-Food Sci. Technol. 2021, 147, 111671. [Google Scholar] [CrossRef]
- Mencherini, T.; Campone, L.; Piccinelli, A.L.; Mesa, M.G.; Sanchez, D.M.; Aquino, R.P.; Rastrelli, L. HPLC-PDA-MS and NMR characterization of a hydroalcoholic extract of Citrus aurantium L. var. amara peel with antiedematogenic activity. J. Agric. Food Chem. 2013, 61, 1686–1693. [Google Scholar]
- Zou, W.; Wang, Y.G.; Liu, H.B.; Luo, Y.L.; Chen, S.; Su, W.W. Melitidin: A flavanone glycoside from Citrus grandis ‘Tomentosa’. Nat. Prod. Commun. 2013, 8, 457–458. [Google Scholar] [CrossRef]
- Zhang, Y.; Huang, P.J.; He, W.; Sakah, K.J.; Ruan, J.Y.; Li, Z.; Wang, T. Bioactive constituents obtained from the fruits of Citrus aurantium. J. Nat. Med. 2019, 73, 146–153. [Google Scholar] [CrossRef]
- Wang, F.Y.; Huang, Y.J.; Wu, W.; Zhu, C.Y.; Zhang, R.M.; Chen, J.Z.; Zeng, J.W. Metabolomics analysis of the peels of different colored citrus fruits (Citrus reticulata cv. ‘Shatangju’) during the maturation period based on UHPLC-QQQ-MS. Molecules 2020, 25, 396. [Google Scholar] [CrossRef]
- Wang, F.; Chen, L.; Chen, S.W.; Chen, H.P.; Liu, Y.P. Characterization of two closely related citrus cultivars using UPLC-ESI-MS/MS-based widely targeted metabolomics. PLoS ONE 2021, 16, e0254759. [Google Scholar] [CrossRef]
- Luo, Y.; Zeng, W.; Huang, K.E.; Li, D.X.; Chen, W.; Yu, X.Q.; Ke, X.H. Discrimination of Citrus reticulata Blanco and Citrus reticulata ‘Chachi’ as well as the Citrus reticulata ‘Chachi’ within different storage years using ultra high performance liquid chromatography quadrupole/time-of-flight mass spectrometry based metabolomics approach. J. Pharm. Biomed. Anal. 2019, 171, 218–231. [Google Scholar] [PubMed]
- Mitra, S.; Lami, M.S.; Uddin, T.M.; Das, R.; IIslam, F.; Anjum, J.; Hossain, M.J.; Emran, T.B. Prospective multifunctional roles and pharmacological potential of dietary flavonoid narirutin. Biomed. Pharmacother. 2022, 150, 112932. [Google Scholar] [CrossRef] [PubMed]
- Luo, X.G.; Wang, J.; Chen, H.Q.; Zhou, A.M.; Song, M.Y.; Zhong, Q.P.; Chen, H.M.; Cao, Y. Identification of flavoanoids from finger citron and evaluation on their antioxidative and antiaging activities. Front. Nutr. 2020, 7, 584900. [Google Scholar] [PubMed]
- Chen, Y.R.; Yang, K.C.; Lu, D.H.; Wu, W.T.; Wang, C.C.; Tsai, M.H. The chondroprotective effect of diosmin on human articular chondrocytes under oxidative stress. Phytother. Res. 2019, 33, 2378–2386. [Google Scholar] [CrossRef]
- Ali, T.M.; Abo-Salem, O.M.; El Esawy, B.H.; El Askary, A. The potential protective effects of diosmin on streptozotocin-induced diabetic cardiomyopathy in rats. Am. J. Med. Sci. 2020, 359, 32–41. [Google Scholar] [CrossRef]
- Ali, N.; AlAsmari, A.F.; Imam, F.; Ahmed, M.Z.; Alqahtani, F.; Alharbi, M.; AlSwayyed, M.; AlAsmari, F.; Alasmari, M.; Alshammari, A.; et al. Protective effect of diosmin against doxorubicin-induced nephrotoxicity. Saudi J. Biol. Sci. 2021, 28, 4375–4383. [Google Scholar] [CrossRef]
- Chatti, I.B.; Toumia, I.B.; Krichen, Y.; Maatouk, M.; Ghedira, L.C.; Krifa, M. Assessment of Rhamnus alaternus leaves extract: Phytochemical characterization and antimelanoma activity. J. Med. Food. 2022, 25, 910–917. [Google Scholar] [CrossRef]
- Bencheraiet, R.; Kherrab, H.; Kabouche, A.; Kabouche, Z.; Jay, M. Flavonols and antioxidant activity of Ammi visnaga L. (Apiaceae). Rec. Nat. Prod. 2011, 5, 52–55. [Google Scholar]
- Morris, C.J.; Thompson, J.F.; Johnson, C.M. Metabolism of glutamic acid and n-acetylglutamic acid in leaf discs and cell-free extracts of higher plants. Plant. Physiol. 1969, 44, 1023–1026. [Google Scholar] [CrossRef]
- Rannou, C.; Laroque, D.; Renault, E.; Prost, C.; Serot, T. Mitigation strategies of acrylamide, furans, heterocyclic amines and browning during the Maillard reaction in foods. Food Res. Int. 2016, 90, 154–176. [Google Scholar] [CrossRef]







| Compound | Linear Range (mg/mL) | Linear Equation 1 | Correlation Coefficient (R2) |
|---|---|---|---|
| Hesperidin | 0.0075–0.24 | y = 16480313x + 14093 | 0.9998 |
| Nobiletin | 0.0025–0.08 | y = 36366264x + 12348 | 0.9999 |
| Tangeretin | 0.0025–0.08 | y = 40035978x + 13531 | 0.9999 |
| Sample | Hesperidin (mg/g) | Nobiletin (mg/g) | Tangeretin (mg/g) | TFs (mg CE/g DW) | TPs (mg GAE/g DW) | FRAP (μM TE/g DW) | DPPH (μM TE/g DW) |
|---|---|---|---|---|---|---|---|
| Qingpi 1 | 46.65 ± 0.36a | 6.60 ± 0.04a | 4.70 ± 0.03a | 3.90 ± 0.24a | 19.14 ± 1.32a | 79.80 ± 0.79a | 25.30 ± 0.20a |
| Qingpi 2 | 35.00 ± 0.06b | 5.38 ± 0.03b | 4.00 ± 0.02b | 3.88 ± 0.11a | 19.20 ± 1.11a | 79.60 ± 0.96a | 24.16 ± 0.13b |
| Qingpi 3 | 34.50 ± 0.17c | 4.66 ± 0.04c | 3.34 ± 0.02c | 2.66 ± 0.26b | 17.42 ± 0.37b | 77.60 ± 0.72b | 22.08 ± 0.25c |
| Qingpi 4 | 30.32 ± 0.10d | 4.21 ± 0.02d | 3.06 ± 0.03d | 2.96 ± 0.14b | 18.80 ± 0.71ab | 76.88 ± 0.97b | 21.90 ± 0.89c |
| Qingpi 5 | 27.49 ± 0.14e | 4.23 ± 0.04e | 2.58 ± 0.02e | 2.84 ± 0.25b | 20.19 ± 0.70a | 76.67 ± 0.73b | 21.75 ± 0.31c |
| No. | Rt (min) | Compound | MF | MW | VIP | Max Fold Change |
|---|---|---|---|---|---|---|
| 1 | 0.66 | 5-Methyluridine | C10H14N2O6 | 259.0922 m/z | 3.83 | 11.97 |
| 2 | 0.66 | Glutamic acid | C5H9NO4 | 295.1131 m/z | 3.01 | 7.43 |
| 3 | 1.86 | Picraquassioside A | C18H22O10 | 416.1541 m/z | 2.19 | 9.32 |
| 4 | 3.60 | Diosmetin 6,8-di-C-glucoside | C28H32O16 | 624.1688 n | 5.04 | 3.84 |
| 5 | 4.62 | Narirutin * | C27H32O14 | 580.1779 n | 2.71 | 1.62 |
| 6 | 4.75 | Diosmin | C28H32O15 | 609.1811 m/z | 2.59 | 1.67 |
| 7 | 5.05 | Rhamnetin-3-O-β-D-glucoside | C22H22O12 | 463.1230 m/z | 2.27 | 6.26 |
| 8 | 6.56 | Melitidin | C33H40O18 | 724.2181 n | 2.42 | 2.45 |
| 9 | 6.95 | 4′,5,7-Trihydroxy-6,8-dimethoxyflavone | C17H14O7 | 331.0803 m/z | 2.69 | 4.59 |
Disclaimer/Publisher’s Note: The statements, opinions and data contained in all publications are solely those of the individual author(s) and contributor(s) and not of MDPI and/or the editor(s). MDPI and/or the editor(s) disclaim responsibility for any injury to people or property resulting from any ideas, methods, instructions or products referred to in the content. |
© 2023 by the authors. Licensee MDPI, Basel, Switzerland. This article is an open access article distributed under the terms and conditions of the Creative Commons Attribution (CC BY) license (https://creativecommons.org/licenses/by/4.0/).
Share and Cite
Cheng, Y.; Wu, C.; Liu, Z.; Song, P.; Xu, B.; Chao, Z. Evaluation and Optimization of Quality Based on the Physicochemical Characteristics and Metabolites Changes of Qingpi during Storage. Foods 2023, 12, 463. https://doi.org/10.3390/foods12030463
Cheng Y, Wu C, Liu Z, Song P, Xu B, Chao Z. Evaluation and Optimization of Quality Based on the Physicochemical Characteristics and Metabolites Changes of Qingpi during Storage. Foods. 2023; 12(3):463. https://doi.org/10.3390/foods12030463
Chicago/Turabian StyleCheng, Yunxia, Cui Wu, Zhenying Liu, Pingping Song, Bo Xu, and Zhimao Chao. 2023. "Evaluation and Optimization of Quality Based on the Physicochemical Characteristics and Metabolites Changes of Qingpi during Storage" Foods 12, no. 3: 463. https://doi.org/10.3390/foods12030463
APA StyleCheng, Y., Wu, C., Liu, Z., Song, P., Xu, B., & Chao, Z. (2023). Evaluation and Optimization of Quality Based on the Physicochemical Characteristics and Metabolites Changes of Qingpi during Storage. Foods, 12(3), 463. https://doi.org/10.3390/foods12030463

