Chitooligosaccharide and Its Derivatives: Potential Candidates as Food Additives and Bioactive Components
Abstract
:1. Introduction
2. Preparation and Characterization of CHOS
2.1. Chemical or Non-Enzymatic Methods
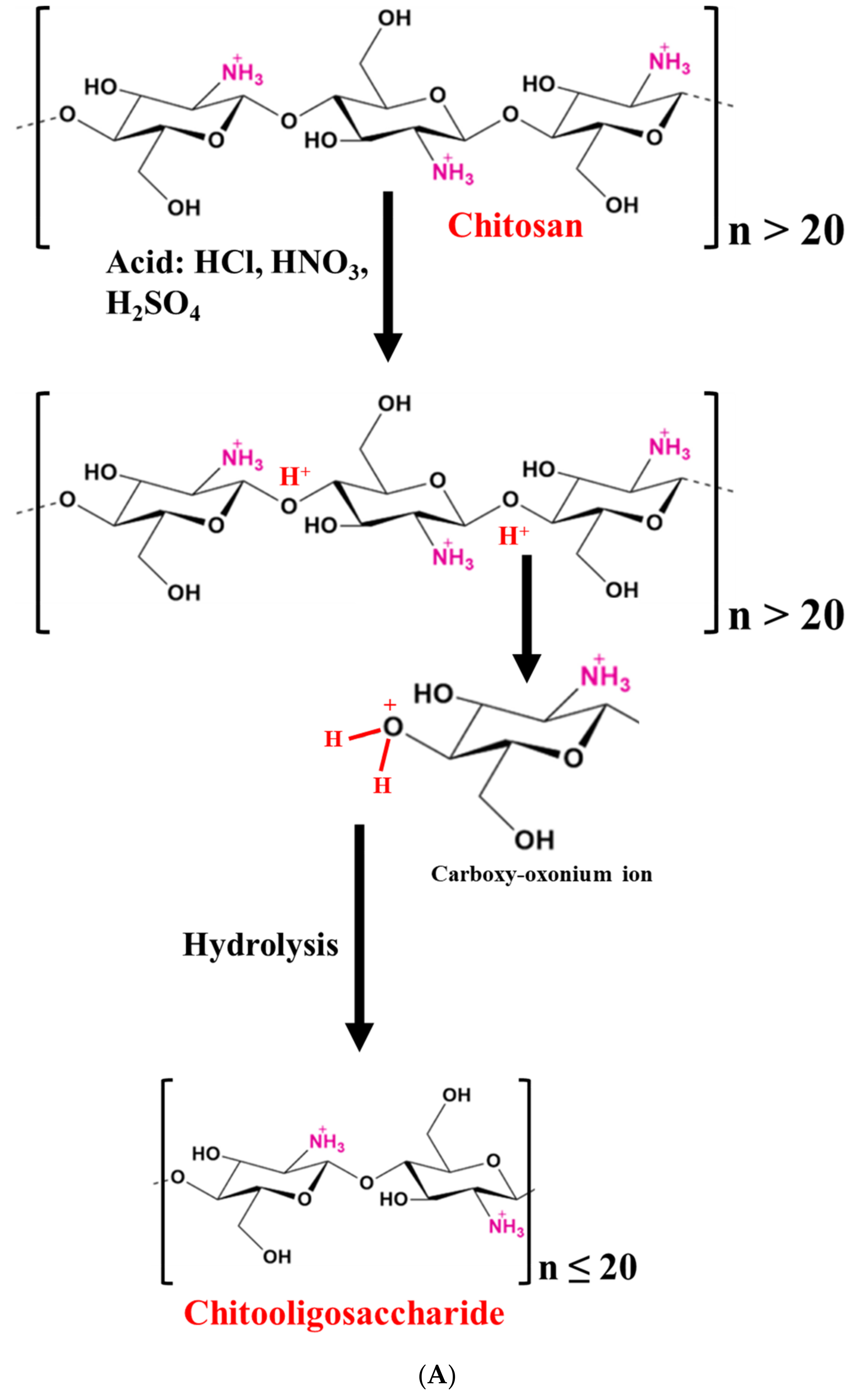
2.1.1. Acid Hydrolysis
2.1.2. Oxidative Hydrolysis
2.2. Physical Methods
2.3. Enzymatic Hydrolysis
| Methods | Hydrolysis Conditions | Analytical Techniques | Characteristics of CHOS | References |
|---|---|---|---|---|
| Chemical | ||||
| Hydrochloric acid | CS: 1% (w/v) HCl: 0.5 M Temperature: 65 °C; time: 36 h | Size exclusion chromatography; viscometry | MW: 73.8 kDa | [23] |
| CS: 2 mg HCl: 12.07 M Temperature: 40 °C; time: 28 h | Size exclusion chromatography | DP: 1 | [24] | |
| CS: 10 mg/mL HCl: 0.1 M Temperature: 83 °C; time: 30 h | 1H NMR; viscometry | DP: 13 | [25] | |
| Hydrogen peroxide | CS: 100 mL at 1% (w/v) H2O2: 1 M Temperature: 60 °C; time: 2 h | 1H NMR; 13C-NMR; gel permeation chromatography; FTIR; MALDI-TOF | MW: 1.2 kDa; DP: 3–13 | [30] |
| CS: 1000 mL at 1% (w/v) H2O2: 20 mL (30%, v/v) Phosphotungstic acid: 1 g Temperature: 65 °C; time: 40 min | FTIR | DP: 2–9 | [31] | |
| CS: 10 g H2O2: 100 mL (2%, v/v) Phosphotungstic acid: 1 g Temperature: 25–28 °C; time: 24 days | 1H NMR; gel permeation chromatography; XRD; FTIR | MW: 2.04 kDa | [32] | |
| CS: 1000 mL at 1% (w/v) H2O2: 3 mL (30%, v/v) Phosphotungstic acid: 0.04 g H2O: 17 mL Temperature: 70 °C; time: 20 min | FTIR; X-ray diffraction | MW: 4.7 kDa | [35] | |
| Redox pair | CS: 100 mL at 1% (w/v) Ascorbic acid: 0.05 M H2O2: 0.1 M Temperature: 60 °C; time: 2 h | 1H NMR; 13C-NMR; gel permeation chromatography; FTIR; MALDI-TOF | MW: 0.7 kDa; DP: 2–8 | [30] |
| Physical | ||||
| Microwave | Power: 100 W; frequency: 2.46 GHz; time: 20 min | Static light scattering; gel permeation chromatography; FTIR; 1H-NMR | MW: 30 kDa; DDA: 91% via 1H-NMR | [36] |
| Enzymatic | ||||
| Lipase | E: 8% (w/w) of CS Temperature: 50 °C; pH: 5.0; time: 12 h | Viscometry | MW: 79 kDa | [9] |
| Pepsin | E/S: 1:100 (w/w) of CS; temperature: 50 °C; pH: 4.5; time: 16 h | Viscometry, FTIR, differential scanning calorimetry | DDA: 84%, Mv: 5.1 kDa | [44] |
| E/S: 1:100 (w/w) of CS; temperature: 40 °C; pH: 4.5; time: 1 h | Viscometry, HPLC | DP: 16 | [45] | |
| Chitosanase | E: 1700 U/mg CS Temperature: 40 °C; pH: 5.0; time: 24 h | Gel permeation HPLC | DP: 3–7 | [41] |
3. Preparation of CHOS Derivatives
3.1. Carboxylated CHOS
3.2. Amino-Derived CHOS
3.3. Sulfated CHOS
3.4. Quaternized CHOS
3.5. N-Aryl CHOS
3.6. Polyphenol (PPN)- or Phenolic Acid (PA)-Conjugated CHOS
3.7. Amphiphilic CHOS
3.8. Other CHOS Derivatives
4. Bioactivities of CHOS and CHOS Derivatives and Their Applications in Foods
4.1. Antioxidant Activity
4.2. Antidiabetic Activity
4.3. Anti-Inflammatory Activity
4.4. Anti-Cancer Activity
4.5. Antiviral Activity
4.6. Antimicrobial Activity
| Sources | Applications and Bioactivities | References |
|---|---|---|
| Shrimp shell CHOSs | 1. Antioxidant activities 2. Antimicrobial activities | [30] |
| Inhibition of α-amylase and α-glucosidase activities | [64,98] | |
| Decrease in TNF-α, NO, and IL-6 levels in LPS-induced RAW 264.7 macrophages Reduce reactive oxygen species formation, NF-κB upregulation, phosphorylation of Erk1/2 and Akt, and Nrf2/HO-1 | [109] | |
| Enhance shrimp oil emulsion stability with augmented oxidative stability | [91] | |
| Squid pen CHOSs | 1. Antioxidant activities 2. Inhibit lipid oxidation and extend shelf life of refrigerated sardine surimi gel 3. Antimicrobial activity against Pseudomonas aeruginosa PSU.SCB.16S.11, Listeria monocytogenes F2365, Vibrio parahaemolyticus PSU.SCB.16S.14, Staphylococcus aureus DMST 4745, and Salmonella enterica serovar Enteritidis S5–371 | [9] |
| Inhibit discoloration and shelf-life extension of yellowfin tuna slices at 4 °C in combination with oxygen-based MAP | [88] | |
| Inhibit discoloration and shelf-life extension of yellowfin tuna slices at 4 °C | [89] | |
| Extend shelf-life extension of Asian sea bass slices stored at 4 °C for 12 days in combination with high-voltage cold atmospheric plasma | [90] | |
| Enhance gel strength of surimi gel | [146] | |
| CHOSs | Enhance DPPH radical scavenging activity, metal chelating activity, and reducing power | [84] |
| Lower blood glucose levels in diabetic rats | [18] | |
| 1. Improve glucose metabolism via lowering fasting blood glucose and insulin levels 2. Upregulation in mRNA expression of GLUT 4 in muscle and adipose tissue | [100] | |
| Reduce activity of carbohydrase enzymes | [101] | |
| Reduce blood glucose and lipid levels via downregulations of PEPCK, FBPase, and G6Pase | [104] | |
| Reduce TNF-α, IL-8, COX-2, and PGE2 levels in LPS-induced A549 cells | [65] | |
| Suppress PC3 (prostate cancer cell), A549 (lung cancer cell), and HepG2 (hepatoma cell) growths | [116] | |
| Inhibit SARS-CoV-2 through suppression of both RdRp and E genes | [131] | |
| Antimicrobial activity: inhibition of Vibrio vulnificus | [136] | |
| Antimicrobial activity: inhibition of Klebsiella pneumoniae, Escherichia coli, and Pseudomonas aeruginosa | [137] | |
| Alleviated TNF-α production | [110] |
4.7. Other Applications of CHOS and Its Derivatives
| CHOS Derivatives | Bioactivities and Applications | References |
|---|---|---|
| CHOS-caffeic acid | Antioxidant activities | [67] |
| CHOS-phenolic acid salts | Antioxidant activities | [68] |
| CHOS-gallic acid | 1. Antioxidant activities 2. Antimicrobial activities | [69] |
| Antifungal property | [139,145] | |
| Reduce TNF-α, IL-8, COX-2, and PGE2 levels in LPS-induced A549 cells | [65] | |
| Inhibit SW620 colon cancer cell growth via upregulation of p53, p21, Bax, caspase 9, and caspase 3 proteins | [128] | |
| CHOS-caffeic acid | Enhance antioxidant property of film | [75] |
| Sulfated-CHOS | 1. Protect pancreatic β-cells and MIN6 cells from H2O2-induced apoptosis | [105] |
| 2. Downregulation of H2O2-induced Bax, Caspase-3, and NF-κB/p65 activation | ||
| 3. Upregulation of Bcl-2 | ||
| Inhibit influenza A virus effects in MDCK cells | [60] | |
| Inhibit HIV-1-induced syncytia formation, lytic effect, and p24 antigen production | [132] | |
| CHOS-biguanide | 1. Lower the blood glucose level by protecting the insulin signaling system 2. Delay β-cell apoptosis 3. Improve β-cell function and promote insulin secretion | [107] |
| 4-hydroxybenzyl-CHOS | Suppress iNOS, COX-2, and MAPK activation and NF-κβ and Iκβα degradation | [63] |
| Apple polyphenols-CHOS microcapsule | Increase IL-10 level Decrease NO and TNF-α levels | [113] |
| AE-CHOS and DEAE-CHOS | Inhibit AGS gastric cancer cell growth via regulation of p53, p21, Bcl-2, and Bax proteins | [126] |
| Carboxymethyl-CHOS | Suppress tumor growth in H22 tumor-bearing mice model | [130] |
| CHOS-asparagine and CHOS-glutamine | Protect human T cells from HIV-1 infection | [133] |
| CHOS-epigallocatechin gallate | 1. Antimicrobial activity against Listeria monocytogenes and Escherichia coli 2. Antioxidant activities | [69,144] |
| CHOS-catechin | Antimicrobial activity against Vibrio parahaemolyticus | [143] |
| Inhibit polyphenol oxidase activity | [150] |
5. Conclusions and Future Prospects
Author Contributions
Funding
Data Availability Statement
Conflicts of Interest
References
- Yan, N.; Chen, X.J.N. Sustainability: Don’t waste seafood waste. Nature 2015, 524, 155–157. [Google Scholar] [CrossRef] [PubMed]
- Kandra, P.; Challa, M.M.; Jyothi, H.K.P. Efficient use of shrimp waste: Present and future trends. Appl. Microbiol. Biotechnol. 2012, 93, 17–29. [Google Scholar] [CrossRef] [PubMed]
- Klomklao, S.; Poonsin, T.; Benjakul, S.; Simpson, B.K. Byproducts from Shellfish Harvesting and Processing. In Byproducts from Agriculture and Fisheries; Simpson, B.K., Aryee, A.N.A., Toldrá, F., Eds.; Wiley: Hoboken, NJ, USA, 2019. [Google Scholar] [CrossRef]
- Benhabiles, M.S.; Salah, R.; Lounici, H.; Drouiche, N.; Goosen, M.F.A.; Mameri, N. Antibacterial activity of chitin, chitosan and its oligomers prepared from shrimp shell waste. Food Hydrocoll. 2012, 29, 48–56. [Google Scholar] [CrossRef]
- Rakkhumkaew, N.; Pengsuk, C. Chitosan and chitooligosaccharides from shrimp shell waste: Characterization, antimicrobial and shelf life extension in bread. Food Sci. Biotechnol. 2018, 27, 1201–1208. [Google Scholar] [CrossRef] [PubMed]
- Singh, A.; Mittal, A.; Benjakul, S. Chitosan, chitooligosaccharides and their polyphenol conjugates: Preparation, bioactivities, functionalities and applications in food systems. Food Rev. Int. 2023, 39, 2297–2319. [Google Scholar] [CrossRef]
- Liang, S.; Sun, Y.; Dai, X. A Review of the preparation, analysis and biological functions of chitooligosaccharide. Int. J. Mol. Sci. 2018, 19, 2197. [Google Scholar] [CrossRef] [PubMed]
- Guan, Z.; Feng, Q. Chitosan and chitooligosaccharide: The promising non-plant-derived prebiotics with multiple biological activities. Int. J. Mol. Sci. 2022, 23, 6761. [Google Scholar] [CrossRef] [PubMed]
- Singh, A.; Benjakul, S.; Prodpran, T. Chitooligosaccharides from squid pen prepared using different enzymes: Characteristics and the effect on quality of surimi gel during refrigerated storage. Food Prod. Process. Nutr. 2019, 1, 5. [Google Scholar] [CrossRef]
- Tabassum, N.; Ahmed, S.; Azam Ali, M. Chitooligosaccharides for Drug Delivery. In Chitooligosaccharides; Kim, S.K., Ed.; Springer: Cham, Switzerland, 2022. [Google Scholar] [CrossRef]
- Sinha, S.; Tripathi, P. Disease Preventing Bioactivities of Chitooligosaccharides: Current Status and Future Trends. In Chitooligosaccharides; Kim, S.K., Ed.; Springer: Cham, Switzerland, 2022. [Google Scholar] [CrossRef]
- Shen, K.-T.; Chen, M.-H.; Chan, H.-Y.; Jeng, J.-H.; Wang, Y.-J. Inhibitory effects of chitooligosaccharides on tumor growth and metastasis. Food Chem. Toxicol. 2009, 47, 1864–1871. [Google Scholar] [CrossRef]
- Anil, S. Potential medical applications of Chitooligosaccharides. Polymers 2022, 14, 3558. [Google Scholar] [CrossRef]
- Rajabi, M.; Cabral, J.D.; Saunderson, S.; Ali, M.A. 3D printing of chitooligosaccharide-polyethylene glycol diacrylate hydrogel inks for bone tissue regeneration. J. Biomed. Mater. Res. Part A 2023, 111, 1468–1481. [Google Scholar] [CrossRef]
- Ratanavaraporn, J.; Kanokpanont, S.; Tabata, Y.; Damrongsakkul, S. Growth and osteogenic differentiation of adipose-derived and bone marrow-derived stem cells on chitosan and chitooligosaccharide films. Carbohydr. Polym. 2009, 78, 873–878. [Google Scholar] [CrossRef]
- He, B.; Wang, J. Chitooligosaccharides prevent osteopenia by promoting bone formation and suppressing bone resorption in ovariectomised rats: Possible involvement of COX-2. Nat. Prod. Res. 2015, 29, 359–362. [Google Scholar] [CrossRef]
- Long, T.; Yu, J.; Wang, J.; Liu, J.; He, B.-S. Orally administered chitooligosaccharides modulate colon microbiota in normal and colitis mice. Int. J. Pharmacol. 2018, 14, 291–300. [Google Scholar] [CrossRef]
- Liu, B.; Liu, W.-S.; Han, B.-Q.; Sun, Y.-Y. Antidiabetic effects of chitooligosaccharides on pancreatic islet cells in streptozotocin-induced diabetic rats. World J. Gastroenterol. WJG 2007, 13, 725. [Google Scholar] [CrossRef] [PubMed]
- Singh, A.; Benjakul, S.; Prodpran, T. Ultrasound-assisted extraction of chitosan from squid pen: Molecular characterization and fat binding capacity. J. Food Sci. 2019, 84, 224–234. [Google Scholar] [CrossRef] [PubMed]
- Lodhi, G.; Kim, Y.-S.; Hwang, J.-W.; Kim, S.-K.; Jeon, Y.-J.; Je, J.-Y.; Ahn, C.-B.; Moon, S.-H.; Jeon, B.-T.; Park, P.-J. Chitooligosaccharide and its derivatives: Preparation and biological applications. BioMed Res. Int. 2014, 2014, 654913. [Google Scholar] [CrossRef] [PubMed]
- Il’ina, A.V.; Varlamov, V.P. Hydrolysis of chitosan in lactic acid. Appl. Biochem. Microbiol. 2004, 40, 300–303. [Google Scholar] [CrossRef]
- Mourya, V.; Inamdar, N.; Choudhari, Y.M. Chitooligosaccharides: Synthesis, characterization and applications. Polym. Sci. Ser. A 2011, 53, 583–612. [Google Scholar] [CrossRef]
- Kasaai, M.R.; Arul, J.; Charlet, G. Fragmentation of chitosan by acids. Sci. World J. 2013, 2013, 508540. [Google Scholar] [CrossRef] [PubMed]
- Einbu, A.; Grasdalen, H.; Vårum, K.M. Kinetics of hydrolysis of chitin/chitosan oligomers in concentrated hydrochloric acid. Carbohydr. Res. 2007, 342, 1055–1062. [Google Scholar] [CrossRef]
- Vårum, K.; Ottøy, M.; Smidsrød, O. Acid hydrolysis of chitosans. Carbohydr. Polym. 2001, 46, 89–98. [Google Scholar] [CrossRef]
- Belamie, E.; Domard, A.; Giraud-Guille, M.M. Study of the solid-state hydrolysis of chitosan in presence of HCl. J. Polym. Sci. Part A Polym. Chem. 1997, 35, 3181–3191. [Google Scholar] [CrossRef]
- Struszczyk, M.; Peter, M.; Loth, F. Progress on Chemistry and Application of Chitin and Its Derivatives; Struszczyk, H., Ed.; Polskie Towarzystwo Chitynowe: Lodz, Poland, 1999; Volume 168. [Google Scholar]
- Li, M.; Han, J.; Xue, Y.; Dai, Y.; Liu, J.; Gan, L.; Xie, R.; Long, M. Hydrogen peroxide pretreatment efficiently assisting enzymatic hydrolysis of chitosan at high concentration for chitooligosaccharides. Polym. Degrad. Stab. 2019, 164, 177–186. [Google Scholar] [CrossRef]
- Zoldners, J.; Kiseleva, T.; Kaiminsh, I. Influence of ascorbic acid on the stability of chitosan solutions. Carbohydr. Polym. 2005, 60, 215–218. [Google Scholar] [CrossRef]
- Mittal, A.; Singh, A.; Hong, H.; Benjakul, S. Chitooligosaccharides from shrimp shell chitosan prepared using H2O2 or ascorbic acid/H2O2 redox pair hydrolysis: Characteristics, antioxidant and antimicrobial activities. Int. J. Food Sci. Technol. 2023, 58, 2645–2660. [Google Scholar] [CrossRef]
- Xia, Z.; Wu, S.; Chen, J. Preparation of water soluble chitosan by hydrolysis using hydrogen peroxide. Int. J. Biol. Macromol. 2013, 59, 242–245. [Google Scholar] [CrossRef] [PubMed]
- Trong, H.P.N.; Le Nghiem, A.T.; Phuoc, T.T.; Du Bui, D.; Nguyen, Q.H. Preparation of water-soluble chitosan oligosaccharides by oxidative hydrolysis of chitosan powder with hydrogen peroxide. Heliyon 2023, 9, e19565. [Google Scholar]
- Miller, J.G.; Fry, S.C. Characteristics of xyloglucan after attack by hydroxyl radicals. Carbohydr. Res. 2001, 332, 389–403. [Google Scholar] [CrossRef]
- Gonçalves, C.; Ferreira, N.; Lourenço, L. Production of low molecular weight chitosan and chitooligosaccharides (COS): A review. Polymers 2021, 13, 2466. [Google Scholar] [CrossRef]
- Huang, Q.Z.; Wang, S.M.; Huang, J.F.; Zhuo, L.H.; Guo, Y.C. Study on the heterogeneous degradation of chitosan with hydrogen peroxide under the catalysis of phosphotungstic acid. Carbohydr. Polym. 2007, 68, 761–765. [Google Scholar] [CrossRef]
- Wasikiewicz, J.M.; Yeates, S.G. “Green” molecular weight degradation of chitosan using microwave irradiation. Polym. Degrad. Stab. 2013, 98, 863–867. [Google Scholar] [CrossRef]
- Shokri, Z.; Seidi, F.; Saeb, M.R.; Jin, Y.; Li, C.; Xiao, H. Elucidating the impact of enzymatic modifications on the structure, properties, and applications of cellulose, chitosan, starch and their derivatives: A review. Mater. Today Chem. 2022, 24, 100780. [Google Scholar] [CrossRef]
- Thadathil, N.; Velappan, S.P. Recent developments in chitosanase research and its biotechnological applications: A review. Food Chem. 2014, 150, 392–399. [Google Scholar] [CrossRef] [PubMed]
- Benjakul, S.; Singh, A.; Mittal, A. Chitooligosaccharides: Preparation and applications in food and nutraceuticals. In Chitooligosaccharides: Prevention and Control of Diseases; Kim, S., Ed.; Springer: Cham, Switzerland; Berlin/Heidelberg, Germany, 2022; pp. 203–221. [Google Scholar]
- Cheng, C.Y.; Li, Y.K. An Aspergillus chitosanase with potential for large-scale preparation of chitosan oligosaccharides. Biotechnol. Appl. Biochem. 2000, 32, 197–203. [Google Scholar] [CrossRef] [PubMed]
- Choi, Y.J.; Kim, E.J.; Piao, Z.; Yun, Y.C.; Shin, Y.C. Purification and characterization of chitosanase from Bacillus sp. strain KCTC 0377BP and its application for the production of chitosan oligosaccharides. Appl. Environ. Microbiol. 2004, 70, 4522–4531. [Google Scholar] [CrossRef] [PubMed]
- Shinya, S.; Fukamizo, T. Interaction between chitosan and its related enzymes: A review. Int. J. Biol. Macromol. 2017, 104, 1422–1435. [Google Scholar] [CrossRef] [PubMed]
- Singh, A.; Mittal, A.; Benjakul, S. Full utilization of squid meat and its processing by-products: Revisit. Food Rev. Int. 2020, 38, 455–479. [Google Scholar] [CrossRef]
- Renuka, V.; Ravishankar, C.N.R.; Krishnamoorthy, E.; Zynudheen, A.A.; Sivaraman, B. Utilization of Parapeneopsis stylifera shrimp shell waste for the production of chitooligosaccharides using different non-specific enzymes and their characterization. Polym. Bull. 2023. [CrossRef]
- Roncal, T.; Oviedo, A.; de Armentia, I.L.; Fernández, L.; Villarán, M.C. High yield production of monomer-free chitosan oligosaccharides by pepsin catalyzed hydrolysis of a high deacetylation degree chitosan. Carbohydr. Res. 2007, 342, 2750–2756. [Google Scholar] [CrossRef]
- Lee, D.-X.; Xia, W.-S.; Zhang, J.-L. Enzymatic preparation of chitooligosaccharides by commercial lipase. Food Chem. 2008, 111, 291–295. [Google Scholar] [CrossRef] [PubMed]
- Rokhati, N.; Widjajanti, P.; Pramudono, B.; Susanto, H. Performance comparison of α- and β-amylases on chitosan hydrolysis. ISRN Chem. Eng. 2013, 2013, 186159. [Google Scholar] [CrossRef]
- Gohi, B.F.C.A.; Zeng, H.-Y.; Pan, A.D.; Han, J.; Yuan, J. pH dependence of chitosan enzymolysis. Polymers 2017, 9, 174. [Google Scholar] [CrossRef] [PubMed]
- Qian, J.; Shi, B.; Mo, L.; Shu, D.; Guo, H. Preparation of chitooligosaccharides by α-amylase from chitosan with oxidative pretreatment. J. Chem. Technol. Biotechnol. 2021, 96, 3408–3413. [Google Scholar] [CrossRef]
- Liaqat, F.; Eltem, R. Chitooligosaccharides and their biological activities: A comprehensive review. Carbohydr. Polym. 2018, 184, 243–259. [Google Scholar] [CrossRef] [PubMed]
- Mittal, A.; Singh, A.; Aluko, R.E.; Benjakul, S. Pacific white shrimp (Litopenaeus vannamei) shell chitosan and the conjugate with epigallocatechin gallate: Antioxidative and antimicrobial activities. J. Food Biochem. 2021, 45, e13569. [Google Scholar] [CrossRef] [PubMed]
- Rajapakse, N.; Kim, M.-M.; Mendis, E.; Kim, S.-K. Inhibition of free radical-mediated oxidation of cellular biomolecules by carboxylated chitooligosaccharides. Bioorg. Med. Chem. 2007, 15, 997–1003. [Google Scholar] [CrossRef] [PubMed]
- Bukzem, A.L.; Signini, R.; Dos Santos, D.M.; Lião, L.M.; Ascheri, D.P.R. Optimization of carboxymethyl chitosan synthesis using response surface methodology and desirability function. Int. J. Biol. Macromol. 2016, 85, 615–624. [Google Scholar] [CrossRef]
- Bu, X.; Pei, J.; Zhang, F.; Liu, H.; Zhou, Z.; Zhen, X.; Wang, J.; Zhang, X.; Chan, H. The hydration mechanism and hydrogen bonding structure of 6-carboxylate chitooligosaccharides superabsorbent material prepared by laccase/TEMPO oxidation system. Carbohydr. Polym. 2018, 188, 151–158. [Google Scholar] [CrossRef]
- Ngo, D.-N.; Qian, Z.-J.; Je, J.-Y.; Kim, M.-M.; Kim, S.-K. Aminoethyl chitooligosaccharides inhibit the activity of angiotensin converting enzyme. Process Biochem. 2008, 43, 119–123. [Google Scholar] [CrossRef]
- Ngo, D.H.; Ngo, D.N.; Kim, S.-K.; Vo, T.S. Antiproliferative effect of aminoethyl-chitooligosaccharide on human lung A549 cancer cells. Biomolecules 2019, 9, 195. [Google Scholar] [CrossRef] [PubMed]
- Karagozlu, M.Z.; Karadeniz, F.; Kong, C.-S.; Kim, S.-K. Aminoethylated chitooligomers and their apoptotic activity on AGS human cancer cells. Carbohydr. Polym. 2012, 87, 1383–1389. [Google Scholar] [CrossRef]
- Yoon, N.Y.; Ngo, D.-N.; Kim, S.-K. Acetylcholinesterase inhibitory activity of novel chitooligosaccharide derivatives. Carbohydr. Polym. 2009, 78, 869–872. [Google Scholar] [CrossRef]
- Liu, Y.; Yu, F.; Zhang, B.; Zhou, M.; Bei, Y.; Zhang, Y.; Tang, J.; Yang, Y.; Huang, Y.; Xiang, Q. Improving the protective effects of aFGF for peripheral nerve injury repair using sulfated chitooligosaccharides. Asian J. Pharm. Sci. 2019, 14, 511–520. [Google Scholar] [CrossRef] [PubMed]
- Wang, S.; Luo, Y.; Huang, L.; Wang, S.; Hao, C.; Sun, L.; Zhang, Y.; Wang, W.; Li, C. The inhibition effects and mechanisms of sulfated chitooligosaccharides on influenza A virus in vitro and in vivo. Carbohydr. Polym. 2022, 286, 119316. [Google Scholar] [CrossRef] [PubMed]
- Feng, H.; Xia, W.; Shan, C.; Zhou, T.; Cai, W.; Zhang, W. Quaternized chitosan oligomers as novel elicitors inducing protection against B. cinerea in Arabidopsis. Int. J. Biol. Macromol. 2015, 72, 364–369. [Google Scholar] [CrossRef] [PubMed]
- Kim, J.Y.; Lee, J.K.; Lee, T.S.; Park, W.H. Synthesis of chitooligosaccharide derivative with quaternary ammonium group and its antimicrobial activity against Streptococcus mutans. Int. J. Biol. Macromol. 2003, 32, 23–27. [Google Scholar] [CrossRef] [PubMed]
- Trinh, M.D.L.; Dinh, M.-H.; Ngo, D.-H.; Tran, D.-K.; Tran, Q.-T.; Vo, T.-S.; Ngo, D.-N. Protection of 4-hydroxybenzyl-chitooligomers against inflammatory responses in Chang liver cells. Int. J. Biol. Macromol. 2014, 66, 1–6. [Google Scholar] [CrossRef]
- Mittal, A.; Singh, A.; Zhang, B.; Visessanguan, W.; Benjakul, S. Chitooligosaccharide conjugates prepared using several phenolic compounds via ascorbic acid/H2O2 free radical grafting: Characteristics, antioxidant, antidiabetic, and antimicrobial activities. Foods 2022, 11, 920. [Google Scholar] [CrossRef]
- Vo, T.-S.; Ngo, D.-H.; Bach, L.G.; Ngo, D.-N.; Kim, S.-K. The free radical scavenging and anti-inflammatory activities of gallate-chitooligosaccharides in human lung epithelial A549 cells. Process Biochem. 2017, 54, 188–194. [Google Scholar] [CrossRef]
- Madison, S.A.; Carnali, J.O. pH optimization of amidation via carbodiimides. Ind. Eng. Chem. Res. 2013, 52, 13547–13555. [Google Scholar] [CrossRef]
- Eom, T.-K.; Senevirathne, M.; Kim, S.-K. Synthesis of phenolic acid conjugated chitooligosaccharides and evaluation of their antioxidant activity. Environ. Toxicol. Pharmacol. 2012, 34, 519–527. [Google Scholar] [CrossRef] [PubMed]
- Sun, Y.; Ji, X.; Cui, J.; Mi, Y.; Zhang, J.; Guo, Z. Synthesis, characterization, and the antioxidant activity of phenolic acid chitooligosaccharide derivatives. Mar. Drugs 2022, 20, 489. [Google Scholar] [CrossRef]
- Singh, A.; Benjakul, S.; Huda, N.; Xu, C.; Wu, P. Preparation and characterization of squid pen chitooligosaccharide–epigallocatechin gallate conjugates and their antioxidant and antimicrobial activities. RSC Adv. 2020, 10, 33196–33204. [Google Scholar] [CrossRef] [PubMed]
- Curcio, M.; Puoci, F.; Iemma, F.; Parisi, O.I.; Cirillo, G.; Spizzirri, U.G.; Picci, N. Covalent insertion of antioxidant molecules on chitosan by a free radical grafting procedure. J. Agric. Food Chem. 2009, 57, 5933–5938. [Google Scholar] [CrossRef] [PubMed]
- Hu, Q.; Luo, Y. Polyphenol-chitosan conjugates: Synthesis, characterization, and applications. Carbohydr. Polym. 2016, 151, 624–639. [Google Scholar] [CrossRef] [PubMed]
- Van Bui, H.; Ngo, D.-N. The research determines appropriate parameters in the synthesis process of syringic acid grafted chitooligosaccharides. VNUHCM J. Sci. Technol. Dev. 2019, 22, 317–323. [Google Scholar]
- Bui, V.-H.; Vo, H.-T.N.; Ngo, D.-N. Antioxidant effect of syringic acid grafted chitooligosaccharides in RAW264. 7 Cells. In Vietnam: Healthcare Technology for Smart City in Low-and Middle-Income Countries, Proceedings of the 8th International Conference on the Development of Biomedical Engineering in Vietnam: Proceedings of BME 8, Online, 20–22 July 2020; Springer International Publishing: Berlin/Heidelberg, Germany, 2022; pp. 501–516. [Google Scholar]
- Vo, T.-S.; Ngo, D.-H.; Kim, S.-K. Gallic acid-grafted chitooligosaccharides suppress antigen-induced allergic reactions in RBL-2H3 mast cells. Eur. J. Pharm. Sci. 2012, 47, 527–533. [Google Scholar] [CrossRef]
- Yuan, Y.; Tan, W.; Lin, C.; Zhang, J.; Li, Q.; Guo, Z. Development of antioxidant chitosan-based films incorporated with chitooligosaccharide-caffeic acid conjugates. Food Hydrocoll. 2023, 138, 108431. [Google Scholar] [CrossRef]
- Wang, C.; Li, G.; Tao, S.; Guo, R.; Yan, Z. Crystalline and micellar properties of amphiphilic biodegradable chitooligosaccharide-graft-poly (ε-caprolactone) copolymers. Carbohydr. Polym. 2006, 64, 466–472. [Google Scholar] [CrossRef]
- Termsarasab, U.; Cho, H.-J.; Kim, D.H.; Chong, S.; Chung, S.-J.; Shim, C.-K.; Moon, H.T.; Kim, D.-D. Chitosan oligosaccharide–arachidic acid-based nanoparticles for anti-cancer drug delivery. Int. J. Pharm. 2013, 441, 373–380. [Google Scholar] [CrossRef] [PubMed]
- Hu, F.-Q.; Zhao, M.-D.; Yuan, H.; You, J.; Du, Y.-Z.; Zeng, S. A novel chitosan oligosaccharide–stearic acid micelles for gene delivery: Properties and in vitro transfection studies. Int. J. Pharm. 2006, 315, 158–166. [Google Scholar] [CrossRef] [PubMed]
- Hu, F.-Q.; Ren, G.-F.; Yuan, H.; Du, Y.-Z.; Zeng, S. Shell cross-linked stearic acid grafted chitosan oligosaccharide self-aggregated micelles for controlled release of paclitaxel. Colloids Surf. B Biointerfaces 2006, 50, 97–103. [Google Scholar] [CrossRef] [PubMed]
- Hu, F.-Q.; Liu, L.-N.; Du, Y.-Z.; Yuan, H. Synthesis and antitumor activity of doxorubicin conjugated stearic acid-g-chitosan oligosaccharide polymeric micelles. Biomaterials 2009, 30, 6955–6963. [Google Scholar] [CrossRef] [PubMed]
- Izawa, H.; Kinai, M.; Ifuku, S.; Morimoto, M.; Saimoto, H. Guanidinylation of chitooligosaccharides involving internal cyclization of the guanidino group on the reducing end and effect of guanidinylation on protein binding ability. Biomolecules 2019, 9, 259. [Google Scholar] [CrossRef] [PubMed]
- Mertens, T.; Kunz, T.; Gibson, B.R. Transition metals in brewing and their role in wort and beer oxidative stability: A review. J. Inst. Brew. 2022, 128, 77–95. [Google Scholar] [CrossRef]
- Mao, L.; Wu, T. Gelling properties and lipid oxidation of kamaboko gels from grass carp (Ctenopharyngodon idellus) influenced by chitosan. J. Food Eng. 2007, 82, 128–134. [Google Scholar] [CrossRef]
- Laokuldilok, T.; Potivas, T.; Kanha, N.; Surawang, S.; Seesuriyachan, P.; Wangtueai, S.; Phimolsiripol, Y.; Regenstein, J.M. Physicochemical, antioxidant, and antimicrobial properties of chitooligosaccharides produced using three different enzyme treatments. Food Biosci. 2017, 18, 28–33. [Google Scholar] [CrossRef]
- Senphan, T.; Benjakul, S. Antioxidative activities of hydrolysates from seabass skin prepared using protease from hepatopancreas of Pacific white shrimp. J. Funct. Foods 2014, 6, 147–156. [Google Scholar] [CrossRef]
- Kim, K.W.; Thomas, R.L. Antioxidative activity of chitosans with varying molecular weights. Food Chem. 2007, 101, 308–313. [Google Scholar] [CrossRef]
- Singh, A.; Mittal, A.; Benjakul, S. Undesirable discoloration in edible fish muscle: Impact of indigenous pigments, chemical reactions, processing, and its prevention. Compr. Rev. Food Sci. Food Saf. 2022, 21, 580–603. [Google Scholar] [CrossRef] [PubMed]
- Singh, A.; Benjakul, S.; Zhang, B.; Deng, S.; Mittal, A. Effect of squid pen chitooligosaccharide in conjugation with different modified atmospheric packaging conditions on color and storage stability of tuna slices. Food Control 2021, 125, 108013. [Google Scholar] [CrossRef]
- Singh, A.; Benjakul, S.; Zhou, P.; Zhang, B.; Deng, S. Effect of squid pen chitooligosaccharide and epigallocatechin gallate on discoloration and shelf-life of yellowfin tuna slices during refrigerated storage. Food Chem. 2021, 351, 129296. [Google Scholar] [CrossRef]
- Singh, A.; Benjakul, S. The combined effect of squid pen chitooligosaccharides and high voltage cold atmospheric plasma on the shelf-life extension of Asian sea bass slices stored at 4 °C. Innov. Food Sci. Emerg. Technol. 2020, 64, 102339. [Google Scholar] [CrossRef]
- Rajasekaran, B.; Singh, A.; Nagarajan, M.; Benjakul, S. Effect of chitooligosaccharide and α-tocopherol on physical properties and oxidative stability of shrimp oil-in-water emulsion stabilized by bovine serum albumin-chitosan complex. Food Control 2022, 137, 108899. [Google Scholar] [CrossRef]
- Quideau, S.; Deffieux, D.; Douat-Casassus, C.; Pouységu, L. Plant polyphenols: Chemical properties, biological activities, and synthesis. Angew. Chem. Int. Ed. 2011, 50, 586–621. [Google Scholar] [CrossRef] [PubMed]
- Quan, T.H.; Benjakul, S.; Sae-leaw, T.; Balange, A.K.; Maqsood, S. Protein–polyphenol conjugates: Antioxidant property, functionalities and their applications. Trends Food Sci. Technol. 2019, 91, 507–517. [Google Scholar] [CrossRef]
- Mittal, A.; Vashistha, V.K.; Das, D.K. Recent advances in the antioxidant activity and mechanisms of chalcone derivatives: A computational review. Free Radic. Res. 2022, 56, 378–397. [Google Scholar] [CrossRef]
- Park, H.-H.; Ko, S.-C.; Oh, G.-W.; Jang, Y.-M.; Kim, Y.-M.; Park, W.S.; Choi, I.-W.; Jung, W.-K. Characterization and biological activity of PVA hydrogel containing chitooligosaccharides conjugated with gallic acid. Carbohydr. Polym. 2018, 198, 197–205. [Google Scholar] [CrossRef]
- Kim, J.-S.; Hyun, T.K.; Kim, M.-J. The inhibitory effects of ethanol extracts from sorghum, foxtail millet and proso millet on α-glucosidase and α-amylase activities. Food Chem. 2011, 124, 1647–1651. [Google Scholar] [CrossRef]
- Karadeniz, F.; Kim, S.-K. Antidiabetic activities of chitosan and its derivatives: A mini review. Adv. Food Nutr. Res. 2014, 73, 33–44. [Google Scholar] [PubMed]
- Mittal, A.; Singh, A.; Benjakul, S. α-amylase inhibitory activity of chitooligosaccharide from shrimp shell chitosan and its epigallocatechin gallate conjugate: Kinetics, fluorescence quenching and structure–activity relationship. Food Chem. 2023, 403, 134456. [Google Scholar] [CrossRef] [PubMed]
- Karadeniz, F.; Artan, M.; Kong, C.-S.; Kim, S.-K. Chitooligosaccharides protect pancreatic β-cells from hydrogen peroxide-induced deterioration. Carbohydr. Polym. 2010, 82, 143–147. [Google Scholar] [CrossRef]
- Ju, C.; Yue, W.; Yang, Z.; Zhang, Q.; Yang, X.; Liu, Z.; Zhang, F. Antidiabetic effect and mechanism of chitooligosaccharides. Biol. Pharm. Bull. 2010, 33, 1511–1516. [Google Scholar] [CrossRef] [PubMed]
- Jo, S.-H.; Ha, K.-S.; Moon, K.-S.; Kim, J.-G.; Oh, C.-G.; Kim, Y.-C.; Apostolidis, E.; Kwon, Y.-I. Molecular weight dependent glucose lowering effect of low molecular weight chitosan oligosaccharide (GO2KA1) on postprandial blood glucose level in SD rats model. Int. J. Mol. Sci. 2013, 14, 14214–14224. [Google Scholar] [CrossRef] [PubMed]
- Priyanka, D.; Prashanth, K.H.; Tharanathan, R. A review on potential anti-diabetic mechanisms of chitosan and its derivatives. Carbohydr. Polym. Technol. Appl. 2022, 3, 100188. [Google Scholar] [CrossRef]
- Liu, S.-H.; Chen, F.-W.; Chiang, M.-T. Chitosan oligosaccharide alleviates abnormal glucose metabolism without inhibition of hepatic lipid accumulation in a high-fat diet/streptozotocin-induced diabetic rat model. Mar. Drugs 2021, 19, 360. [Google Scholar] [CrossRef] [PubMed]
- You, J.; Zhao, M.; Chen, S.; Jiang, L.; Gao, S.; Yin, H.; Zhao, L. Effect of chitooligosaccharides with a specific degree of polymerization on multiple targets in T2DM mice. Bioresour. Bioprocess. 2022, 9, 94. [Google Scholar] [CrossRef]
- Lu, X.; Guo, H.; Sun, L.; Zhang, L.; Zhang, Y. Protective effects of sulfated chitooligosaccharides with different degrees of substitution in MIN6 cells. Int. J. Biol. Macromol. 2013, 52, 92–98. [Google Scholar] [CrossRef]
- Lu, X.; Guo, H.; Zhang, Y. Protective effects of sulfated chitooligosaccharides against hydrogen peroxide-induced damage in MIN6 cells. Int. J. Biol. Macromol. 2012, 50, 50–58. [Google Scholar] [CrossRef]
- Zou, Y.; Wang, Y.; Zhang, S.; Wu, Y.; Liu, X. Chitooligosaccharide biguanide repairs Islet β-cell dysfunction by activating the IRS-2/PI3K/Akt signaling pathway in Type 2 diabetic rats. Adv. Ther. 2019, 2, 1800136. [Google Scholar] [CrossRef]
- Behera, H.T.; Mojumdar, A.; Das, S.R.; Jema, S.; Ray, L. Production of N-acetyl chitooligosaccharide by novel Streptomyces chilikensis strain RC1830 and its evaluation for anti-radical, anti-inflammatory, anti-proliferative and cell migration potential. Bioresour. Technol. Rep. 2020, 11, 100428. [Google Scholar] [CrossRef]
- Chotphruethipong, L.; Chanvorachote, P.; Reudhabibadh, R.; Singh, A.; Benjakul, S.; Roytrakul, S.; Hutamekalin, P. Chitooligosaccharide from Pacific white shrimp shell chitosan ameliorates inflammation and oxidative stress via NF-κB, Erk1/2, Akt and Nrf2/HO-1 pathways in LPS-induced RAW264. 7 macrophage cells. Foods 2023, 12, 2740. [Google Scholar] [CrossRef] [PubMed]
- Santos-Moriano, P.; Kidibule, P.; Míguez, N.; Fernandez-Arrojo, L.; Ballesteros, A.O.; Fernández-Lobato, M.; Plou, F.J. Tailored enzymatic synthesis of chitooligosaccharides with different deacetylation degrees and their anti-inflammatory activity. Catalysts 2019, 9, 405. [Google Scholar] [CrossRef]
- Lee, S.-H.; Senevirathne, M.; Ahn, C.-B.; Kim, S.-K.; Je, J.-Y. Factors affecting anti-inflammatory effect of chitooligosaccharides in lipopolysaccharides-induced RAW264. 7 macrophage cells. Bioorg. Med. Chem. Lett. 2009, 19, 6655–6658. [Google Scholar] [CrossRef] [PubMed]
- Chung, M.J.; Park, J.K.; Park, Y.I. Anti-inflammatory effects of low-molecular weight chitosan oligosaccharides in IgE–antigen complex-stimulated RBL-2H3 cells and asthma model mice. Int. Immunopharmacol. 2012, 12, 453–459. [Google Scholar] [CrossRef]
- Zheng, H.-Z.; Cui, C.-L.; Jeong, W.-S.; Chung, S.-K. Anti-inflammatory effect of unripe apple polyphenols-chitooligosaccharides microcapsule against LPS-induced RAW 264.7 cells. Appl. Biol. Chem. 2020, 63, 51. [Google Scholar] [CrossRef]
- Li, X.; Wang, J.; Chen, X.; Tian, J.; Li, L.; Zhao, M.; Jiao, Y.; Zhou, C. Effect of chitooligosaccharides on cyclin D1, bcl-xl and bcl-2 mRNA expression in A549 cells using quantitative PCR. Chin. Sci. Bull. 2011, 56, 1629–1632. [Google Scholar] [CrossRef]
- Zou, P.; Yang, X.; Zhang, Y.; Du, P.; Yuan, S.; Yang, D.; Wang, J. Antitumor effects of orally and intraperitoneally administered chitosan oligosaccharides (COSs) on S180-bearing/residual mouse. J. Food Sci. 2016, 81, H3035–H3042. [Google Scholar] [CrossRef]
- Park, J.K.; Chung, M.J.; Choi, H.N.; Park, Y.I. Effects of the molecular weight and the degree of deacetylation of chitosan oligosaccharides on antitumor activity. Int. J. Mol. Sci. 2011, 12, 266–277. [Google Scholar] [CrossRef]
- Luo, Y.; Deng, L.; Deng, Q.-J.; Wen, L. Comparative study of the chitooligosaccharides effect on the proliferation inhibition and radiosensitization of three types of human gastric cancer cell line. Asian Pac. J. Trop. Med. 2016, 9, 601–605. [Google Scholar] [CrossRef]
- Zou, P.; Yuan, S.; Yang, X.; Zhai, X.; Wang, J. Chitosan oligosaccharides with degree of polymerization 2–6 induces apoptosis in human colon carcinoma HCT116 cells. Chem.-Biol. Interact. 2018, 279, 129–135. [Google Scholar] [CrossRef] [PubMed]
- Zou, P.; Yuan, S.; Yang, X.; Guo, Y.; Li, L.; Xu, C.; Zhai, X.; Wang, J. Structural characterization and antitumor effects of chitosan oligosaccharides against orthotopic liver tumor via NF-κB signaling pathway. J. Funct. Foods 2019, 57, 157–165. [Google Scholar] [CrossRef]
- Zhai, X.; Yuan, S.; Yang, X.; Zou, P.; Shao, Y.; Abd El-Aty, A.; Hacımüftüoğlu, A.; Wang, J. Growth-inhibition of S180 residual-tumor by combination of cyclophosphamide and chitosan oligosaccharides in vivo. Life Sci. 2018, 202, 21–27. [Google Scholar] [CrossRef] [PubMed]
- Zhai, X.; Li, C.; Ren, D.; Wang, J.; Ma, C.; Abd El-Aty, A. The impact of chitooligosaccharides and their derivatives on the in vitro and in vivo antitumor activity: A comprehensive review. Carbohydr. Polym. 2021, 266, 118132. [Google Scholar] [CrossRef]
- Park, D.; Bae, D.-K.; Jeon, J.H.; Lee, J.; Oh, N.; Yang, G.; Yang, Y.-H.; Kim, T.K.; Song, J.; Lee, S.H. Immunopotentiation and antitumor effects of a ginsenoside Rg3-fortified red ginseng preparation in mice bearing H460 lung cancer cells. Environ. Toxicol. Pharmacol. 2011, 31, 397–405. [Google Scholar] [CrossRef] [PubMed]
- Salah, R.; Michaud, P.; Mati, F.; Harrat, Z.; Lounici, H.; Abdi, N.; Drouiche, N.; Mameri, N. Anticancer activity of chemically prepared shrimp low molecular weight chitin evaluation with the human monocyte leukaemia cell line, THP-1. Int. J. Biol. Macromol. 2013, 52, 333–339. [Google Scholar] [CrossRef] [PubMed]
- Böckelmann, L.C.; Felix, T.; Calabrò, S.; Schumacher, U. YKL-40 protein expression in human tumor samples and human tumor cell line xenografts: Implications for its use in tumor models. Cell. Oncol. 2021, 44, 1183–1195. [Google Scholar] [CrossRef]
- Shao, R. YKL-40 acts as an angiogenic factor to promote tumor angiogenesis. Front. Physiol. 2013, 4, 122. [Google Scholar] [CrossRef]
- Karagozlu, M.Z.; Kim, J.-A.; Karadeniz, F.; Kong, C.-S.; Kim, S.-K. Anti-proliferative effect of aminoderivatized chitooligosaccharides on AGS human gastric cancer cells. Process Biochem. 2010, 45, 1523–1528. [Google Scholar] [CrossRef]
- Saetang, J.; Sukkapat, P.; Mittal, A.; Julamanee, J.; Khopanlert, W.; Maneechai, K.; Nazeer, R.A.; Sangkhathat, S.; Benjakul, S. Proteome analysis of the antiproliferative activity of the novel chitooligosaccharide–gallic acid conjugate against the SW620 colon cancer cell line. Biomedicines 2023, 11, 1683. [Google Scholar] [CrossRef] [PubMed]
- Ryu, B.; Kim, S.-Y.; Vo, T.-S.; Kim, W.-S.; Kim, D.G.; Kim, S.-K. Characterization of the in vitro effects of gallic acid-grafted-chitooligosaccharides in the suppression of AGS human gastric cancer cell proliferation. RSC Adv. 2017, 7, 24561–24568. [Google Scholar] [CrossRef]
- Cheng, Y.; Qin, K.; Huang, N.; Zhou, Z.; Xiong, H.; Zhao, J.; Zhang, Y.; Yu, S. Cytokeratin 18 regulates the transcription and alternative splicing of apoptotic-related genes and pathways in HeLa cells. Oncol. Rep. 2019, 42, 301–312. [Google Scholar] [CrossRef] [PubMed]
- Jiang, Z.; Wang, S.; Hou, J.; Chi, J.; Wang, S.; Shao, K.; Liu, W.; Sun, R.; Han, B. Effects of carboxymethyl chitosan oligosaccharide on regulating immunologic function and inhibiting tumor growth. Carbohydr. Polym. 2020, 250, 116994. [Google Scholar] [CrossRef] [PubMed]
- Jang, D.; Lee, D.; Shin, Y.C.; Lee, J.S.; Jung, J.; Ryoo, S. Low molecular weight chitooligosaccharide inhibits infection of SARS-CoV-2 in vitro. J. Appl. Microbiol. 2022, 133, 1089–1098. [Google Scholar] [CrossRef] [PubMed]
- Artan, M.; Karadeniz, F.; Karagozlu, M.Z.; Kim, M.-M.; Kim, S.-K. Anti-HIV-1 activity of low molecular weight sulfated chitooligosaccharides. Carbohydr. Res. 2010, 345, 656–662. [Google Scholar] [CrossRef] [PubMed]
- Karadeniz, F. In Vitro anti-HIV-1 activity of chitosan oligomers N-conjugated with asparagine and glutamine. BioTech 2023, 12, 18. [Google Scholar] [CrossRef] [PubMed]
- Kumirska, J.; Weinhold, M.X.; Thöming, J.; Stepnowski, P. Biomedical activity of chitin/chitosan based materials influence of physicochemical properties apart from molecular weight and degree of N-acetylation. Polymers 2011, 3, 1875–1901. [Google Scholar] [CrossRef]
- No, H.; Meyers, S.; Prinyawiwatkul, W.; Xu, Z. Applications of chitosan for improvement of quality and shelf life of foods: A review. J. Food Sci. 2007, 72, R87–R100. [Google Scholar] [CrossRef]
- Lee, B.C.; Kim, M.S.; Choi, S.H.; Kim, K.Y.; Kim, T.S. In vitro and in vivo antimicrobial activity of water-soluble chitosan oligosaccharides against Vibrio vulnificus. Int. J. Mol. Med. 2009, 24, 327–333. [Google Scholar]
- Fernandes, J.C.; Tavaria, F.K.; Fonseca, S.C.; Ramos, Ó.S.; Pintado, M.E.; Malcata, F.X. In vitro screening for anti-microbial activity of chitosans and chitooligosaccharides, aiming at potential uses in functional textiles. J. Microbiol. Biotechnol. 2010, 20, 311–318. [Google Scholar] [CrossRef]
- Mei, Y.X.; Dai, X.Y.; Yang, W.; Xu, X.W.; Liang, Y.X. Antifungal activity of chitooligosaccharides against the dermatophyte Trichophyton rubrum. Int. J. Biol. Macromol. 2015, 77, 330–335. [Google Scholar] [CrossRef] [PubMed]
- Ke, Y.; Ding, B.; Zhang, M.; Dong, T.; Fu, Y.; Lv, Q.; Ding, W.; Wang, X. Study on inhibitory activity and mechanism of chitosan oligosaccharides on Aspergillus flavus and Aspergillus fumigatus. Carbohydr. Polym. 2022, 275, 118673. [Google Scholar] [CrossRef] [PubMed]
- Rúnarsson, Ö.V.; Holappa, J.; Nevalainen, T.; Hjálmarsdóttir, M.; Järvinen, T.; Loftsson, T.; Einarsson, J.M.; Jónsdóttir, S.; Valdimarsdóttir, M.; Másson, M. Antibacterial activity of methylated chitosan and chitooligomer derivatives: Synthesis and structure activity relationships. Eur. Polym. J. 2007, 43, 2660–2671. [Google Scholar] [CrossRef]
- Rúnarsson, Ö.V.; Holappa, J.; Malainer, C.; Steinsson, H.; Hjálmarsdóttir, M.; Nevalainen, T.; Másson, M. Antibacterial activity of N-quaternary chitosan derivatives: Synthesis, characterization and structure activity relationship (SAR) investigations. Eur. Polym. J. 2010, 46, 1251–1267. [Google Scholar] [CrossRef]
- Hui, A.; Yan, R.; Wang, W.; Wang, Q.; Zhou, Y.; Wang, A. Incorporation of quaternary ammonium chitooligosaccharides on ZnO/palygorskite nanocomposites for enhancing antibacterial activities. Carbohydr. Polym. 2020, 247, 116685. [Google Scholar] [CrossRef] [PubMed]
- Palamae, S.; Mittal, A.; Buatong, J.; Zhang, B.; Hong, H.; Benjakul, S. Chitooligosaccharide-catechin conjugate: Antimicrobial mechanisms toward Vibrio parahaemolyticus and its use in shucked Asian green mussel. Food Control 2023, 151, 109794. [Google Scholar] [CrossRef]
- Buatong, J.; Mittal, A.; Mittraparp-Arthorn, P.; Palamae, S.; Saetang, J.; Benjakul, S. Bactericidal action of shrimp shell chitooligosaccharide conjugated with epigallocatechin gallate (COS-EGCG) against Listeria monocytogenes. Foods 2023, 12, 634. [Google Scholar] [CrossRef] [PubMed]
- Buatong, J.; Preedanon, S.; Mittal, A.; Palamae, S.; Benjakul, S. Contaminated fungi in dried salted fishes: Isolation, identification, and their inhibition by chitooligosaccharide-gallic acid conjugate. J. Food Sci. 2023. [Google Scholar] [CrossRef]
- Dai, X.; Hou, W.; Sun, Y.; Gao, Z.; Zhu, S.; Jiang, Z. Chitosan oligosaccharides inhibit/disaggregate fibrils and attenuate amyloid β-mediated neurotoxicity. Int. J. Mol. Sci. 2015, 16, 10526–10536. [Google Scholar] [CrossRef]
- Liu, P.; Li, H.; Li, R.; Geng, Y.; Gong, J.; Xu, H.; Xu, Z.; Shi, J. Nanoencapsulation of chitooligosaccharides enhances its oral bioavailability and anti-liver fibrotic effects. Food Res. Int. 2022, 157, 111471. [Google Scholar] [CrossRef] [PubMed]
- Singh, A.; Benjakul, S.; Prodpran, T. Effect of chitooligosaccharide from squid pen on gel properties of sardine surimi gel and its stability during refrigerated storage. Int. J. Food Sci. Technol. 2019, 54, 2831–2838. [Google Scholar] [CrossRef]
- Yu, J.; Wang, Q.; Zhang, H.; Qin, X.; Chen, H.; Corke, H.; Hu, Z.; Liu, G. Increased stability of curcumin-loaded pickering emulsions based on glycated proteins and chitooligosaccharides for functional food application. LWT—Food Sci. Technol. 2021, 148, 111742. [Google Scholar] [CrossRef]
- Gulzar, S.; Tagrida, M.; Nilsuwan, K.; Prodpran, T.; Benjakul, S. Electrospinning of gelatin/chitosan nanofibers incorporated with tannic acid and chitooligosaccharides on polylactic acid film: Characteristics and bioactivities. Food Hydrocoll. 2022, 133, 107916. [Google Scholar] [CrossRef]
- Chen, H.; Lin, S.; Wu, J.; Xu, Y.; Cai, X.; Wang, S. The structure, antioxidant activity, and stability of fish gelatin/chitooligosaccharide nanoparticles loaded with apple polyphenols. J. Sci. Food Agric. 2023, 103, 4211–4220. [Google Scholar] [CrossRef] [PubMed]
- Mittal, A.; Singh, A.; Zhang, B.; Zhao, Q.; Benjakul, S. Inhibition mechanism of chitooligosaccharide-polyphenol conjugates toward polyphenoloxidase from shrimp cephalothorax. Molecules 2023, 28, 5560. [Google Scholar] [CrossRef]





Disclaimer/Publisher’s Note: The statements, opinions and data contained in all publications are solely those of the individual author(s) and contributor(s) and not of MDPI and/or the editor(s). MDPI and/or the editor(s) disclaim responsibility for any injury to people or property resulting from any ideas, methods, instructions or products referred to in the content. |
© 2023 by the authors. Licensee MDPI, Basel, Switzerland. This article is an open access article distributed under the terms and conditions of the Creative Commons Attribution (CC BY) license (https://creativecommons.org/licenses/by/4.0/).
Share and Cite
Mittal, A.; Singh, A.; Buatong, J.; Saetang, J.; Benjakul, S. Chitooligosaccharide and Its Derivatives: Potential Candidates as Food Additives and Bioactive Components. Foods 2023, 12, 3854. https://doi.org/10.3390/foods12203854
Mittal A, Singh A, Buatong J, Saetang J, Benjakul S. Chitooligosaccharide and Its Derivatives: Potential Candidates as Food Additives and Bioactive Components. Foods. 2023; 12(20):3854. https://doi.org/10.3390/foods12203854
Chicago/Turabian StyleMittal, Ajay, Avtar Singh, Jirayu Buatong, Jirakrit Saetang, and Soottawat Benjakul. 2023. "Chitooligosaccharide and Its Derivatives: Potential Candidates as Food Additives and Bioactive Components" Foods 12, no. 20: 3854. https://doi.org/10.3390/foods12203854
APA StyleMittal, A., Singh, A., Buatong, J., Saetang, J., & Benjakul, S. (2023). Chitooligosaccharide and Its Derivatives: Potential Candidates as Food Additives and Bioactive Components. Foods, 12(20), 3854. https://doi.org/10.3390/foods12203854

