Effect and Mode of Different Concentrations of Citrus Peel Extract Treatment on Browning of Fresh-Cut Sweetpotato
Abstract
:1. Introduction
2. Materials and Methods
2.1. Materials
2.2. Preparation of Citrus Extracts
2.3. Characterisation
2.3.1. Optimisation of Citrus Peel Extract Infusion Concentration
2.3.2. Colour Difference Analysis of the Sweetpotatoes
2.3.3. Browning Index (BI) Analysis of the Sweetpotatoes
2.3.4. Sensory Evaluation
2.3.5. ESI-Q TRAP-MS/MS
2.3.6. Metabolite Characterisation and Quantification-ESI-Q TRAP-MS/MS
2.3.7. Physiological Changes in Fresh-Cut Sweetpotatoes Treated with Citrus Extract
2.3.8. Evaluation of Citrus Peel Extract Monomer Components on Browning of Fresh-Cut Sweetpotato
2.3.9. Docking of Citrus Peel Extract Monomer Components with PPO Molecules
2.4. Statistical Analysis
3. Results
3.1. Sensory Characterisation of Fresh-Cut Sweetpotatoes
3.2. Analysis of Fresh-Cut Sweetpotato Colour Difference and Browning Index
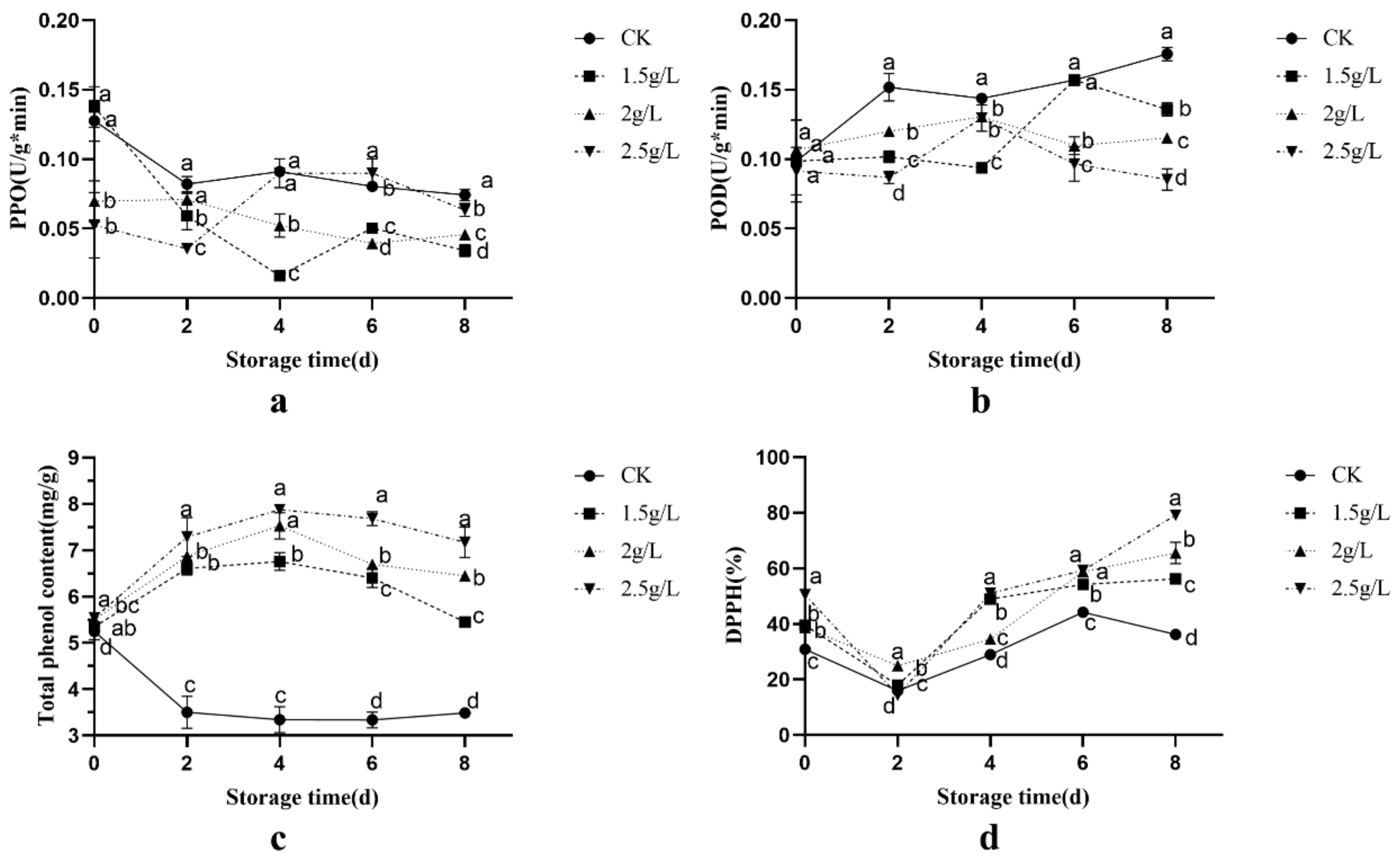
3.3. Physiological Changes in Fresh-Cut Sweetpotatoes Treated with Citrus Extract
3.4. Compositional Analysis of Citrus Extracts
3.5. Anti-Browning Effect of Citrus Extract Monomer
3.6. Interaction of Citrus Peel Extract with PPO Enzymes
4. Conclusions
Author Contributions
Funding
Data Availability Statement
Conflicts of Interest
References
- Qin, Y.; Naumovski, N.; Ranadheera, C.S.; D’Cunha, N.M. Nutrition-Related Health Outcomes of Sweetpotato (Ipomoea batatas) Consumption: A Systematic Review. Food Biosci. 2022, 50, 102208. [Google Scholar] [CrossRef]
- Wang, S.; Nie, S.; Zhu, F. Chemical Constituents and Health Effects of Sweet Potato. Food Res. Int. 2016, 89, 90–116. [Google Scholar] [CrossRef] [PubMed]
- Alam, M.K.; Sams, S.; Rana, Z.H.; Akhtaruzzaman, M.; Islam, S.N. Minerals, Vitamin C, and Effect of Thermal Processing on Carotenoids Composition in Nine Varieties Orange-Fleshed Sweet Potato (Ipomoea batatas L.). J. Food Compos. Anal. 2020, 92, 103582. [Google Scholar] [CrossRef]
- Firdous, N.; Moradinezhad, F.; Farooq, F.; Dorostkar, M. Advances in Formulation, Functionality, and Application of Edible Coatings on Fresh Produce and Fresh-Cut Products: A Review. Food Chem. 2023, 407, 135186. [Google Scholar] [CrossRef] [PubMed]
- Liu, R.; Yu, Z.-L.; Sun, Y.-L.; Zhou, S.-M. The Enzymatic Browning Reaction Inhibition Effect of Strong Acidic Electrolyzed Water on Different Parts of Sweet Potato Slices. Food Biosci. 2021, 43, 101252. [Google Scholar] [CrossRef]
- Azhar Shapawi, Z.-I.; Ariffin, S.H.; Shamsudin, R.; Mohamed Amin Tawakkal, I.S.; Gkatzionis, K. Modeling Respiration Rate of Fresh-Cut Sweet Potato (Anggun) Stored in Different Packaging Films. Food Packag. Shelf Life 2021, 28, 100657. [Google Scholar] [CrossRef]
- Wedamulla, N.E.; Fan, M.; Choi, Y.-J.; Kim, E.-K. Citrus Peel as a Renewable Bioresource: Transforming Waste to Food Additives. J. Funct. Foods 2022, 95, 105163. [Google Scholar] [CrossRef]
- Abdelghffar, E.A.; El-Nashar, H.A.S.; AL-Mohammadi, A.G.A.; Eldahshan, O.A. Orange Fruit (Citrus sinensis) Peel Extract Attenuates Chemotherapy-Induced Toxicity in Male Rats. Food Funct. 2021, 12, 9443–9455. [Google Scholar] [CrossRef]
- Benassi, L.; Alessandri, I.; Vassalini, I. Assessing Green Methods for Pectin Extraction from Waste Orange Peels. Molecules 2021, 26, 1766. [Google Scholar] [CrossRef]
- Ferreira, S.S.; Silva, A.M.; Nunes, F.M. Citrus Reticulata Blanco Peels as a Source of Antioxidant and Anti-Proliferative Phenolic Compounds. Ind. Crops Prod. 2018, 111, 141–148. [Google Scholar] [CrossRef]
- Negro, V.; Mancini, G.; Ruggeri, B.; Fino, D. Citrus Waste as Feedstock for Bio-Based Products Recovery: Review on Limonene Case Study and Energy Valorization. Bioresour. Technol. 2016, 214, 806–815. [Google Scholar] [CrossRef]
- Chen, J.; Xu, Y.; Yi, Y.; Hou, W.; Wang, L.; Ai, Y.; Wang, H.; Min, T. Regulations and Mechanisms of 1-Methylcyclopropene Treatment on Browning and Quality of Fresh-Cut Lotus (Nelumbo nucifera Gaertn.) Root Slices. Postharvest Biol. Technol. 2022, 185, 111782. [Google Scholar] [CrossRef]
- Han, J.; Pang, L.; Bao, L.; Ye, X.; Lu, G. Effect of White Kidney Bean Flour on the Rheological Properties and Starch Digestion Characteristics of Noodle Dough. Foods 2022, 11, 3680. [Google Scholar] [CrossRef] [PubMed]
- Feng, Y.; Sun, Y.; Meng, Z.; Sui, X.; Zhang, D.; Yan, H.; Wang, Q. S-Ethyl Thioacetate as a Natural Anti-Browning Agent Can Significantly Inhibit the Browning of Fresh-Cut Potatoes by Decreasing Polyphenol Oxidase Activity. Sci. Hortic. 2022, 305, 111427. [Google Scholar] [CrossRef]
- Steingass, C.B.; Burkhardt, J.; Bäumer, V.; Kumar, K.; Mibus-Schoppe, H.; Zinkernagel, J.; Esquivel, P.; Jiménez, V.M.; Schweiggert, R. Characterisation of Acylated Anthocyanins from Red Cabbage, Purple Sweet Potato, and Tradescantia Pallida Leaves as Natural Food Colourants by HPLC-DAD-ESI(+)-QTOF-MS/MS and ESI(+)-MSn Analysis. Food Chem. 2023, 416, 135601. [Google Scholar] [CrossRef] [PubMed]
- Wu, J.; Chen, C.; Li, Y.; Cao, K.; Wang, X.; Fang, W.; Zhu, G.; Wang, L. Integrated ESI-MS/MS and APCI-MS/MS Based Metabolomics Reveal the Effects of Canning and Storage on Peach Fruits. Food Chem. 2023, 430, 137087. [Google Scholar] [CrossRef]
- Li, J.; Liu, H.; Mazhar, M.S.; Quddus, S.; Suleria, H.A.R. LC-ESI-QTOF-MS/MS Profiling of Phenolic Compounds in Australian Native Plums and Their Potential Antioxidant Activities. Food Biosci. 2023, 52, 102331. [Google Scholar] [CrossRef]
- Saranya, G.; Jiby, M.V.; Nair, R.A.; Pillai, P.P.; Jayabaskaran, C. Expression and Characterization of a Novel PPO Gene from Mucuna pruriens (L.) DC. var. pruriens Involved in Catecholamine Pathway Mediated Synthesis of L-DOPA. S. Afr. J. Bot. 2023, 158, 232–242. [Google Scholar] [CrossRef]
- Yu, R.; Song, H.; Chen, Y.; Shi, N.; Shen, H.; Shi, P.; Shu, H.; Kong, X.; Yu, L.; Luo, H. Incorporation of Ascorbic Acid and L-Cysteine in Sodium Carboxymethyl Cellulose Coating Delays Color Deterioration and Extends the Shelf-Life of Fresh-Cut Asparagus Lettuce (Lactuca sativa var. angustata). Postharvest Biol. Technol. 2023, 204, 112419. [Google Scholar] [CrossRef]
- Al Ubeed, H.M.S.; Wills, R.B.H.; Bowyer, M.C.; Golding, J.B. Comparison of Hydrogen Sulphide with 1-Methylcyclopropene (1-MCP) to Inhibit Senescence of the Leafy Vegetable, Pak Choy. Postharvest Biol. Technol. 2018, 137, 129–133. [Google Scholar] [CrossRef]
- Zhang, Z.; Peng, Y.; Meng, W.; Pei, L.; Zhang, X. Browning Inhibition of Seabuckthorn Leaf Extract on Fresh-Cut Potato Sticks during Cold Storage. Food Chem. 2022, 389, 133076. [Google Scholar] [CrossRef]
- Singh, M.B.; Vishvakarma, V.K.; Lal, A.A.; Chandra, R.; Jain, P.; Singh, P. A Comparative Study of 5-Fluorouracil, Doxorubicin, Methotrexate, Paclitaxel for Their Inhibition Ability for Mpro of NCoV: Molecular Docking and Molecular Dynamics Simulations. J. Indian Chem. Soc. 2022, 99, 100790. [Google Scholar] [CrossRef]
- Liu, X.; Yang, Q.; Lu, Y.; Li, Y.; Li, T.; Zhou, B.; Qiao, L. Effect of Purslane (Portulaca oleracea L.) Extract on Anti-Browning of Fresh-Cut Potato Slices during Storage. Food Chem. 2019, 283, 445–453. [Google Scholar] [CrossRef] [PubMed]
- Ooraikul, B. Minimally Processed Refrigerated Fruits and Vegetables: Edited by Robert C. Wiley, Chapman & Hall, 1994. £59.00 (Xi + 368 Pages) ISBN 0 412 05571 6. Trends Food Sci. Technol. 1995, 6, 67. [Google Scholar] [CrossRef]
- Du, J.; Fu, Y.; Wang, N. Effects of Aqueous Chlorine Dioxide Treatment on Browning of Fresh-Cut Lotus Root. LWT Food Sci. Technol. 2009, 42, 654–659. [Google Scholar] [CrossRef]
- Hyodo, H.; Uritani, I. Properties of Polyphenol Oxidases Produced in Sweet Potato Tissue after Wounding. Arch. Biochem. Biophys. 1967, 122, 299–309. [Google Scholar] [CrossRef]
- Krishnan, J.G.; Padmaja, G.; Moorthy, S.N.; Suja, G.; Sajeev, M.S. Effect of Pre-Soaking Treatments on the Nutritional Profile and Browning Index of Sweet Potato and Yam Flours. Innov. Food Sci. Emerg. Technol. 2010, 11, 387–393. [Google Scholar] [CrossRef]
- Zha, Z.; Tang, R.; Wang, C.; Li, Y.; Liu, S.; Wang, L.; Wang, K. Riboflavin Inhibits Browning of Fresh-Cut Apples by Repressing Phenolic Metabolism and Enhancing Antioxidant System. Postharvest Biol. Technol. 2022, 187, 111867. [Google Scholar] [CrossRef]
- Meng, Z.; Wang, T.; Malik, A.U.; Wang, Q. Exogenous Isoleucine Can Confer Browning Resistance on Fresh-Cut Potato by Suppressing Polyphenol Oxidase Activity and Improving the Antioxidant Capacity. Postharvest Biol. Technol. 2022, 184, 111772. [Google Scholar] [CrossRef]
- Suri, S.; Singh, A.; Nema, P.K.; Malakar, S.; Arora, V.K. Sweet Lime (Citrus limetta) Peel Waste Drying Approaches and Effect on Quality Attributes, Phytochemical and Functional Properties. Food Biosci. 2022, 48, 101789. [Google Scholar] [CrossRef]
- Noshad, M.; Alizadeh Behbahani, B.; Nikfarjam, Z. Chemical Composition, Antibacterial Activity and Antioxidant Activity of Citrus Bergamia Essential Oil: Molecular Docking Simulations. Food Biosci. 2022, 50, 102123. [Google Scholar] [CrossRef]
- Kola, V.; Carvalho, I.S. Plant Extracts as Additives in Biodegradable Films and Coatings in Active Food Packaging. Food Biosci. 2023, 54, 102860. [Google Scholar] [CrossRef]
- Chen, Y.; Pan, H.; Hao, S.; Pan, D.; Wang, G.; Yu, W. Evaluation of Phenolic Composition and Antioxidant Properties of Different Varieties of Chinese Citrus. Food Chem. 2021, 364, 130413. [Google Scholar] [CrossRef] [PubMed]
- Saleem, M.; Durani, A.I.; Asari, A.; Ahmed, M.; Ahmad, M.; Yousaf, N.; Muddassar, M. Investigation of Antioxidant and Antibacterial Effects of Citrus Fruits Peels Extracts Using Different Extracting Agents: Phytochemical Analysis with in Silico Studies. Heliyon 2023, 9, e15433. [Google Scholar] [CrossRef]
- Shehata, M.G.; Awad, T.S.; Asker, D.; El Sohaimy, S.A.; Abd El- Aziz, N.M.; Youssef, M.M. Antioxidant and Antimicrobial Activities and UPLC-ESI-MS/MS Polyphenolic Profile of Sweet Orange Peel Extracts. Curr. Res. Food Sci. 2021, 4, 326–335. [Google Scholar] [CrossRef] [PubMed]
- Christoffer, C.; Kihara, D. Domain-Based Protein Docking with Extremely Large Conformational Changes. J. Mol. Biol. 2022, 434, 167820. [Google Scholar] [CrossRef]




| Number | Compounds | Formula | Area | Model |
|---|---|---|---|---|
| 1 | Tangeretin (4′,5,6,7,8-Pentamethoxyflavone) | C20H20O7 | 358,438,417.7 | [M + H]+ |
| 2 | Sinensetin (5,6,7,3′,4′-pentamethoxyflavone) | C20H20O7 | 313,793,239.9 | [M + H]+ |
| 3 | Nobiletin (5,6,7,8,3′,4′-Hexamethoxyflavone) | C21H22O8 | 252,548,203 | [M + H]+ |
| 4 | Poncirin (Isosakuranetin-7-O-neohesperidoside) | C28H34O14 | 95,568,827.76 | [M − H]− |
| 5 | Naringenin (5,7,4′-Trihydroxyflavanone) | C15H12O5 | 82,807,051.24 | [M + H]+ |
| 6 | Ferulic acid | C10H10O4 | 72,983,421.61 | [M − H]− |
| 7 | 3,5,4′-Trihydroxy-7-methoxyflavone (Rhamnocitrin) | C16H12O6 | 58,283,098.16 | [M + H]+ |
| 8 | Hesperetin | C16H14O6 | 57,964,786.4 | [M + H]+ |
| 9 | Caffeic acid | C9H8O4 | 16,678,504.41 | [M − H]− |
| 10 | Eriodictyol-7-O-Rutinoside (Eriocitrin) | C27H32O15 | 16,443,012.92 | [M − H]− |
| 11 | Gallic acid | C7H6O5 | 4,898,977.961 | [M − H]− |
| 12 | Vanillic acid | C8H8O4 | 4,666,360.784 | [M − H]− |
| 13 | Isorhamnetin; 3′-Methoxy-3,4′,5,7-Tetrahydroxyflavone | C16H12O7 | 2,612,039.028 | [M − H]− |
| 14 | Salicylic acid | C7H6O3 | 1,255,773.266 | [M − H]− |
| 15 | 3-O-Feruloylquinic acid | C17H20O9 | 875,958.864 | [M + H]+ |
| 16 | Quercetin | C15H10O7 | 646,335.625 | [M + H]+ |
| 17 | Chlorogenic acid (3-O-Caffeoylquinic acid) | C16H18O9 | 634,694.883 | [M − H]− |
| 18 | Syringic acid | C9H10O5 | 564,625.821 | [M − H]− |
| 19 | Cinnamic acid | C9H8O2 | 401,690.163 | [M + H]+ |
| 20 | Coumarin | C9H6O2 | 334,948.726 | [M + H]+ |
| Number | Compounds | Time (h) | ||||
|---|---|---|---|---|---|---|
| 0 | 2 | 4 | 6 | 8 | ||
| 1 | Tangeretin (4′,5,6,7,8-Pentamethoxyflavone) | 1 | 2 | 3 | 3 | 4 |
| 2 | Nobiletin (5,6,7,8,3′,4′-Hexamethoxyflavone) | 1 | 2 | 3 | 3 | 4 |
| 3 | Poncirin (Isosakuranetin-7-O-neohesperidoside) | 1 | 1 | 2 | 2 | 3 |
| 4 | Ferulic acid | 1 | 2 | 3 | 3 | 4 |
| 5 | Hesperetin | 1 | 2 | 2 | 2 | 3 |
| 6 | Eriodictyol-7-O-Rutinoside (Eriocitrin) | 1 | 2 | 2 | 2 | 3 |
| 7 | Gallic acid | 1 | 2 | 3 | 4 | 4 |
| 8 | Isorhamnetin; 3′-Methoxy-3,4′,5,7-Tetrahydroxyflavone | 1 | 2 | 2 | 2 | 3 |
| 9 | Salicylic acid | 1 | 3 | 3 | 4 | 5 |
| 10 | Quercetin | 1 | 2 | 2 | 2 | 3 |
| 11 | Chlorogenic acid (3-O-Caffeoylquinic acid) | 1 | 2 | 3 | 3 | 4 |
| Number | Compounds | Formula | Binding Energy |
|---|---|---|---|
| 1 | Poncirin (Isosakuranetin-7-O-neohesperidoside) | C28H34O14 | −7.8 |
| 2 | Eriodictyol-7-O-Rutinoside (Eriocitrin) | C27H32O15 | −7.7 |
| 3 | Quercetin | C15H10O7 | −7 |
| 4 | Hesperetin | C16H14O6 | −6.7 |
| 5 | Isorhamnetin; 3′-Methoxy-3,4′,5,7-Tetrahydroxyflavone | C16H12O7 | −6.4 |
| 6 | Chlorogenic acid (3-O-Caffeoylquinic acid) | C16H18O9 | −6.4 |
| 7 | Nobiletin (5,6,7,8,3′,4′-Hexamethoxyflavone) | C21H22O8 | −6.3 |
| 8 | Tangeretin (4′,5,6,7,8-Pentamethoxyflavone) | C20H20O7 | −6.2 |
| 9 | Ferulic acid | C10H10O4 | −5.6 |
| 10 | Gallic acid | C7H6O5 | −5.4 |
| 11 | Salicylic acid | C7H6O3 | −5 |
Disclaimer/Publisher’s Note: The statements, opinions and data contained in all publications are solely those of the individual author(s) and contributor(s) and not of MDPI and/or the editor(s). MDPI and/or the editor(s) disclaim responsibility for any injury to people or property resulting from any ideas, methods, instructions or products referred to in the content. |
© 2023 by the authors. Licensee MDPI, Basel, Switzerland. This article is an open access article distributed under the terms and conditions of the Creative Commons Attribution (CC BY) license (https://creativecommons.org/licenses/by/4.0/).
Share and Cite
Fang, X.; Han, J.; Lou, X.; Lv, Y.; Zhang, Y.; Xu, X.; Lv, Z.; Lu, G. Effect and Mode of Different Concentrations of Citrus Peel Extract Treatment on Browning of Fresh-Cut Sweetpotato. Foods 2023, 12, 3855. https://doi.org/10.3390/foods12203855
Fang X, Han J, Lou X, Lv Y, Zhang Y, Xu X, Lv Z, Lu G. Effect and Mode of Different Concentrations of Citrus Peel Extract Treatment on Browning of Fresh-Cut Sweetpotato. Foods. 2023; 12(20):3855. https://doi.org/10.3390/foods12203855
Chicago/Turabian StyleFang, Xiugui, Jiahui Han, Xuefen Lou, You Lv, Yilu Zhang, Ximing Xu, Zunfu Lv, and Guoquan Lu. 2023. "Effect and Mode of Different Concentrations of Citrus Peel Extract Treatment on Browning of Fresh-Cut Sweetpotato" Foods 12, no. 20: 3855. https://doi.org/10.3390/foods12203855
APA StyleFang, X., Han, J., Lou, X., Lv, Y., Zhang, Y., Xu, X., Lv, Z., & Lu, G. (2023). Effect and Mode of Different Concentrations of Citrus Peel Extract Treatment on Browning of Fresh-Cut Sweetpotato. Foods, 12(20), 3855. https://doi.org/10.3390/foods12203855

