Sheep’s Butter and Correspondent Buttermilk Produced with Sweet Cream and Cream Fermented by Aromatic Starter, Kefir and Probiotic Culture
Abstract
1. Introduction
2. Materials and Methods
2.1. Butter and Buttermilk Production
- (a)
- Non-inoculated and kept at 4 ± 2 °C for 48 h (S—sweet);
- (b)
- Inoculated with 5% (v/v) aromatic culture (Flora Danica, FD-DVS™, CHR Hansen, supplied by Promolac, Lisbon, Portugal), composed of Lactococcus lactis subsp. cremoris, Leuconostoc, Lactococcus lactis subsp. lactis, Lactococcus lactis subsp. lactis biovar diacetylactis and kept for 24 h at 20 °C, then maintained at 4 ± 2 °C for 24 h (A—aromatic);
- (c)
- Inoculated with 5% (v/v) kefir culture (eXact Kefir 1™, CHR Hansen, supplied by Promolac, Lisbon, Portugal), composed of Debaryomyces hansenii, Lactococcus lactis subsp. cremoris, Lactococcus lactis subsp. lactis biovar diacetylactis, Lactococcus lactis subsp. lactis, Leuconostoc, Streptococcus thermophilus and kept for 24 h at 20 °C, then maintained at 4 ± 2 °C for 24 h (K—kefir);
- (d)
- Inoculated with 5% (v/v) probiotic culture composed of a mixture of Lactobacillus paracasei (nu-trish L. casei 431™, CHR Hansen), Lactobacillus acidophilus (nu-trish LA-5™, CHR Hansen) and Lactobacillus rhamnosus (nu-trish LGG™, CHR Hansen, supplied by Promolac, Lisbon, Portugal), in the proportion 1:1:1 and kept for 24 h at 20 °C, then maintained at 4 ± 2 °C for 24 h (P—probiotics) [36,37,38].
2.2. Physicochemical Analyses
2.2.1. Moisture and Total Solids
2.2.2. Ashes
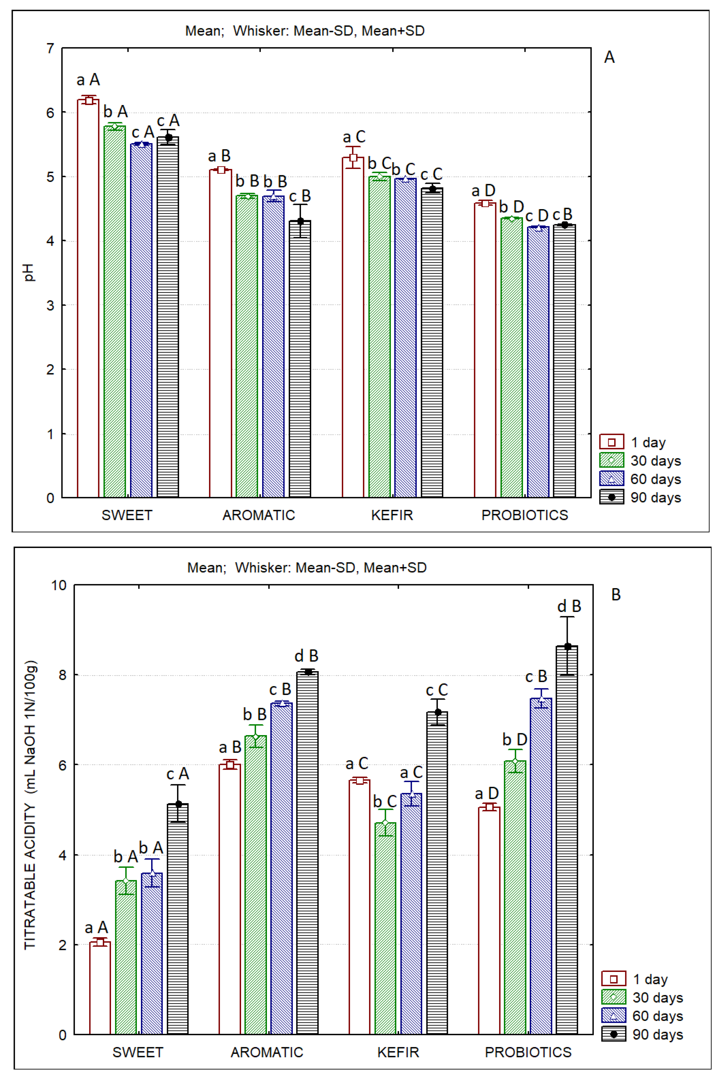
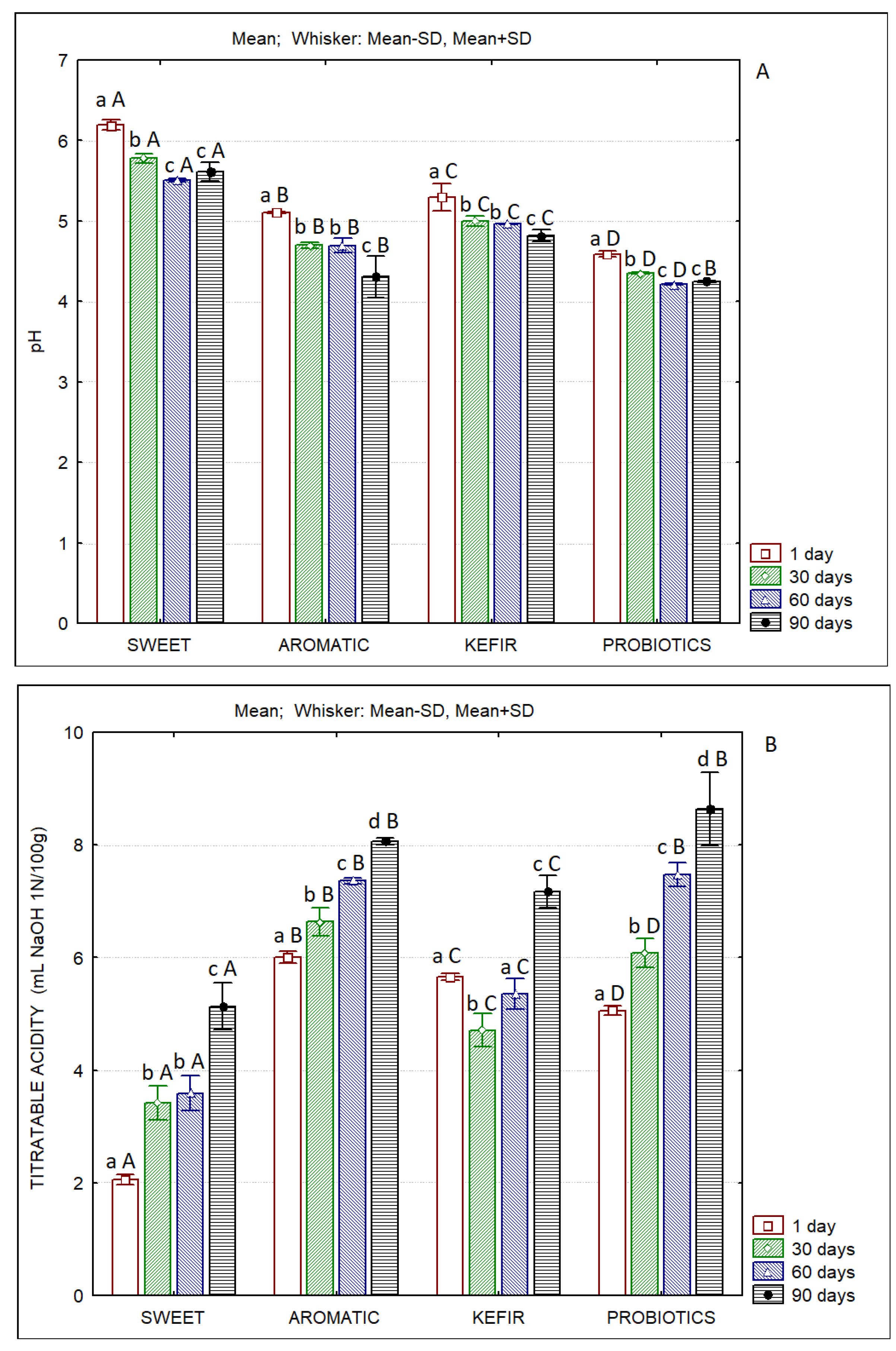
2.2.3. Titratable Acidity
2.2.4. pH
2.2.5. Fat
2.2.6. Protein
2.2.7. Fatty Acid Composition
2.2.8. Color
2.2.9. Texture Profile
2.2.10. Rheological Analysis
2.2.11. Viscosity
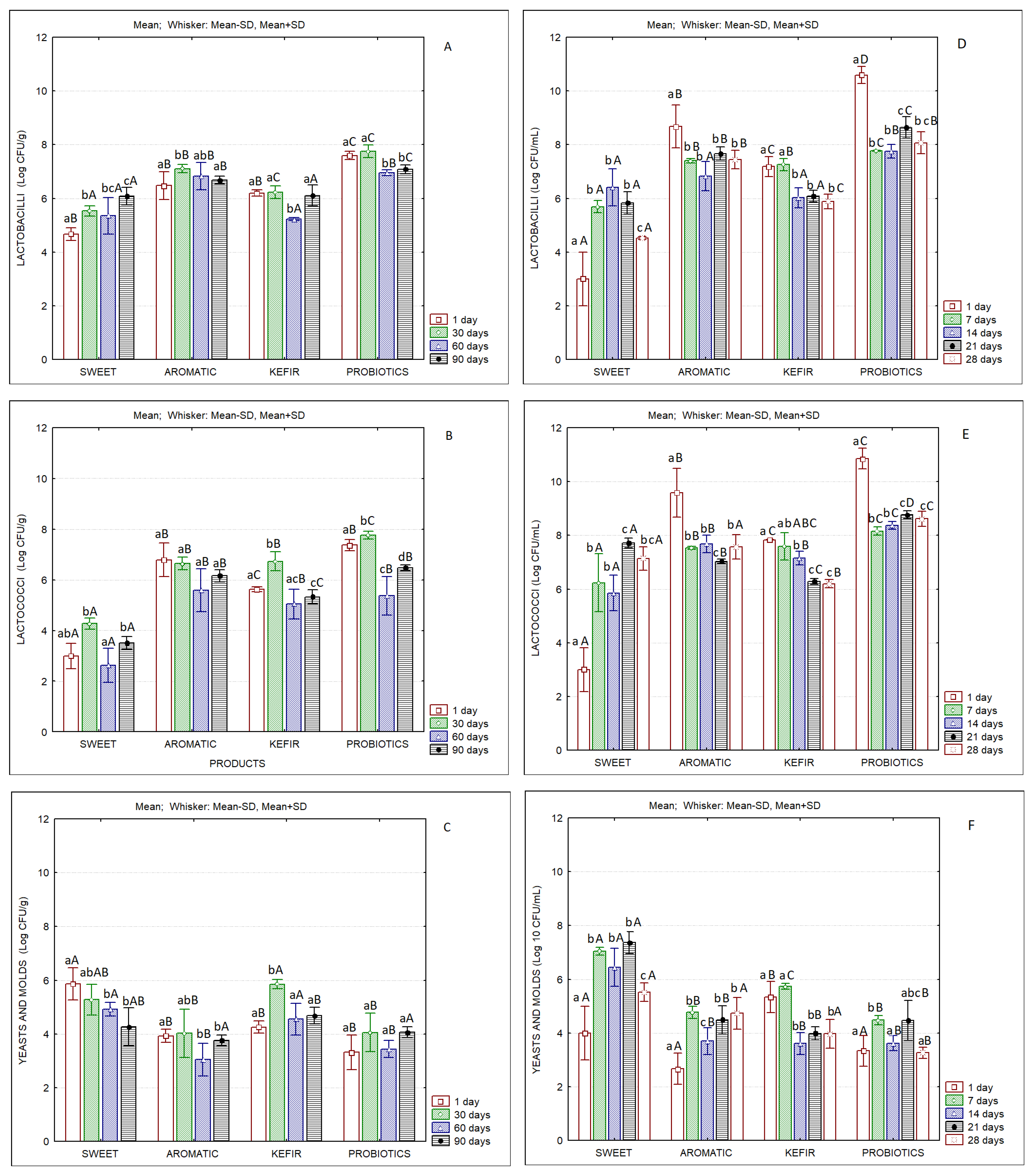
2.3. Microbiological Analysis
2.4. Sensory Analysis
2.5. Statistical Analysis
3. Results and Discussion
4. Conclusions
Supplementary Materials
Author Contributions
Funding
Data Availability Statement
Conflicts of Interest
References
- Pandya, A.J.; Ghodke, K.M. Goat and sheep milk products other than cheeses and yoghurt. Small Rumin. Res. 2007, 68, 193–206. [Google Scholar] [CrossRef]
- Skeaff, C.M.; Williscroft, K.; Mann, J.; Chisholm, A. Replacing cows’ with sheep’s dairy fat lowers plasma cholesterol con-centration in participants consuming dairy fat-rich diets. Eur. J. Clin. Nutr. 2004, 58, 250–257. [Google Scholar] [CrossRef] [PubMed]
- Hayaloglu, A.A.; Karagul-Yuceer, Y. Utilization and characterization of small ruminants’ milk and milk products in Turkey: Current status and new perspectives. Small Rumin. Res. 2011, 101, 73–83. [Google Scholar] [CrossRef]
- Tulla, A.F. Sustainable rural development requires value-added activities linked with comparative advantage: The case of the Catalan Pyrenees. Eur. Countrys. 2019, 11, 229–256. [Google Scholar] [CrossRef]
- Saǧdiç, O.; Arici, M.; Simşek, O. Selection of starters for a traditional Turkish yayik butter made from yoghurt. Food Microbiol. 2002, 19, 303–312. [Google Scholar] [CrossRef]
- Samet-Bali, O.; Ayadi, M.A.; Attia, H. Traditional Tunisian butter: Physicochemical and microbial characteristics and storage stability of the oil fraction. LWT-Food Sci. Tech. 2009, 42, 899–905. [Google Scholar] [CrossRef]
- Idoui, T.; Boudjerda, J.; Leghouchia, E.; Karam, N.E. Lactic acid bacteria from “Sheep’s Dhan”, a traditional butter from sheep’s milk: Isolation, identification and major technological traits. Grasas Aceites 2009, 60, 177–183. [Google Scholar] [CrossRef]
- Begum, P.; Madhavi, G.; Rajagopal, S.; Viswanath, B.; Razak, M.; Venkataratnamma, V. Probiotics as functional foods: Potential effects on human health and its impact on neurological diseases. Int. J. Nutr. Pharmacol. Neurol. Dis. 2017, 7, 23–33. [Google Scholar]
- Kandylis, P.; Pissaridi, K.; Bekatorou, A.; Kanellaki, M.; Koutinas, A. Dairy and non-dairy probiotic beverages. Curr. Opin. Food Sci. 2016, 7, 58–63. [Google Scholar] [CrossRef]
- Zoumpopoulou, G.; Pot, B.; Tsakalidou, E.; Papadimitriou, K. Review-Dairy probiotics: Beyond the role of promoting gut and immune health. Int. Dairy J. 2017, 67, 46–60. [Google Scholar] [CrossRef]
- Tripathi, M.; Giri, S. Probiotic functional foods: Survival of probiotics during processing and storage. J. Fun. Foods 2014, 9, 225–241. [Google Scholar] [CrossRef]
- Guarner, F.; Sanders, M.H.; Al, E. World Gastroenterology Organisation Global Guidelines, Probiotics and Prebiotics; World Gastroenterology Organisation: Milwaukee, WI, USA, 2017. [Google Scholar]
- Ranadheera, C.; Vidanarachchi, J.; Rocha, R.; Cruz, A.; Ajlouni, S. Probiotic delivery through fermentation: Dairy vs. non-dairy beverages. Fermentation 2017, 3, 67. [Google Scholar] [CrossRef]
- Ewe, J.-A.; Loo, S.-Y. Effect of cream fermentation on microbiological, physicochemical and rheological properties of L. helveticus-butter. Food Chem. 2016, 201, 29–36. [Google Scholar] [CrossRef]
- Gundogdu, E.; Cakmakci, S.; Hayaloglu, A.A. Volatile profiles and sensory characteristics of yogurt or cream butter. Mljekarstvo 2020, 70, 184–200. [Google Scholar] [CrossRef]
- Ferreira, L.; Borges, A.R.; Gomes, D.; Dias, S.; Pereira, C.; Henriques, M. Adding value and innovation in dairy small and medium-sized enterprises: From butter to probiotic butter and buttermilk. J. Food Process. Preserv. 2020, 46, e14867. [Google Scholar] [CrossRef]
- Bahrami, M.; Ahmadi, D.; Beigmohammadi, F.; Hosseini, F. Mixing sweet cream buttermilk with whole milk to produce cream cheese. Ir. J. Agr. Food Res. 2015, 54, 73–78. [Google Scholar] [CrossRef]
- Singh, H.; Gallier, S. Nature’s complex emulsion: The fat globules of milk. Food Hydrocoll. 2017, 68, 81–89. [Google Scholar] [CrossRef]
- Bourlieu, C.; Cheillan, D.; Blot, M.; Daira, P.; Trauchesse, M.; Ruet, S.; Gassi, J.; Beaucher, E.; Robert, B.; Leconte, N.; et al. Polar lipid composition of bioactive dairy co-products buttermilk and butter-serum: Emphasis on sphingolipid and ceramide isoforms. Food Chem. 2018, 240, 67–74. [Google Scholar] [CrossRef]
- Lopeza, C.; Blot, M.; Briard-Bion, V.; Cirié, C.; Graulet, B. Butter serums and buttermilks as sources of bioactive lipids from the milk fat globule membrane: Differences in their lipid composition and potentialities of cow diet to increase n-3 PUFA. Food Res. Int. 2017, 100, 864–872. [Google Scholar] [CrossRef] [PubMed]
- Conway, V.; Couture, O.; Richard, C.; Gauthier, S.; Pouliot, Y.; Lamarche, B. Impact of buttermilk consumption on plasma lipids and surrogate markers of cholesterol homeostasis in men and women. Nutr. Metab. Cardiovasc. Dis. 2013, 23, 1255–1262. [Google Scholar] [CrossRef] [PubMed]
- Conway, V.; Couture, P.; Gauthier, S.; Pouliot, Y.; Lamarche, B. Effect of buttermilk consumption on blood pressure in moderately hypercholesterolemic men and women. Nutrition 2014, 30, 116–119. [Google Scholar] [CrossRef] [PubMed]
- Castro-Gómez, P.; Rodríguez-Alcalá, L.; Monteiro, K.; Ruiz, A.; Carvalho, J.; Fontecha, J. Antiproliferative activity of but-termilk lipid fractions isolated using food grade and non-food grade solvents on human cancer cell lines. Food Chem. 2016, 212, 695–702. [Google Scholar] [CrossRef] [PubMed]
- Kuchta-Noctor, A.; Murray, B.; Stanton, C.; Deverya, R.; Kelly, P. Anticancer activity of buttermilk against SW480 colon cancer cells is associated with caspase-independent cell death and attenuation of Wnt, Akt, and ERK signaling. Nutr. Cancer 2016, 68, 1234–1246. [Google Scholar] [CrossRef] [PubMed]
- Tomé-Carneiro, J.; Crespo, M.; Burgos-Ramos, E.; Tomas-Zapico, C.; García-Serrano, A.; Castro-Gómez, P.; Venero, C.; Pereda-Pérez, I.; Baliyan, S.; Valencia, A.; et al. Buttermilk and krill oil phospholipids improve hippocampal insulin resistance and synaptic signaling in aged rats. Mol. Neurobiol. 2018, 55, 7285–7296. [Google Scholar] [CrossRef] [PubMed]
- Meshram, B. Buttermilk based fruit juice beverages. Asian J. Dairy Food Res. 2015, 34, 297–299. [Google Scholar] [CrossRef]
- Mudgil, D.; Barak, S.; Darji, P. Development and characterization of functional cultured buttermilk utilizing Aloe vera juice. Food Biosci. 2016, 15, 105–109. [Google Scholar] [CrossRef]
- Konrad, G.; Kleinschmidt, T.; Lorenz, C. Ultrafiltration of whey buttermilk to obtain a phospholipid concentrate. Int. Dairy J. 2013, 30, 39–44. [Google Scholar] [CrossRef]
- Barry, K.; Dinan, T.; Philip, M.; Kelly, P. Selective enrichment of dairy phospholipids in a buttermilk substrate through investigation of enzymatic hydrolysis of milk proteins in conjunction with ultrafiltration. Int. Dairy J. 2017, 68, 80–87. [Google Scholar] [CrossRef]
- de Bassi, L.; Ferreira, G.; Santana da Silva, A.; Sivieri, K.; Aragon-Alegro, L.; Costa, M. Evaluation of physicochemical, mi-crobiological and sensorial characteristics of fermented milk beverages with buttermilk addition. Int. J. Dairy Technol. 2012, 65, 282–286. [Google Scholar] [CrossRef]
- Antunes, A.; Marasca, E.; Moreno, I.; Dourado, F.; Rodrigues, L.; Lerayer, A. Development of a probiotic buttermilk. Ciência Tec. Alimentar 2007, 27, 83–90. [Google Scholar] [CrossRef]
- Burns, P.; Vinderola, G.; Molinari, F.; Reinheimer, J. Suitability of whey and buttermilk for the growth and frozen storage of probiotic lactobacilli. Int. J. Dairy Technol. 2008, 61, 156–164. [Google Scholar] [CrossRef]
- Antunes, A.; Silva, E.; Van Dender, A.; Marasca, E.; Moreno, I.; Faria, E.; Padula, M.; Lerayer, A. Probiotic buttermilk-like fermented milk product development in a semiindustrial scale: Physicochemical, microbiological and sensory acceptability. Int. J. Dairy Technol. 2009, 62, 556–563. [Google Scholar] [CrossRef]
- Wróblewska, B.; Markiewicz, L.; Szyc, A.; Dietrich, M.; Szymkiewicz, A.; Fotschki, J. Lactobacillus casei LcY decreases milk protein immunoreactivity of fermented buttermilk but also contains IgE-reactive proteins. Food Res. Int. 2016, 83, 95–101. [Google Scholar] [CrossRef]
- Shaikh, M.; Rathi, S. Utilisation of buttermilk for the preparation of carbonated fruit-flavoured beverages. Int. J. Dairy Technol. 2009, 62, 564–570. [Google Scholar] [CrossRef]
- Underwood, M.A.; Salzman, N.H.; Bennett, S.H.; Barman, M.; Mills, D.A.; Marcobal, A.; Tancredi, D.J.; Bevins, C.L.; Sherman, M.P. A randomized placebo-controlled comparison of 2 prebiotic/probiotic combinations in preterm infants: Impact on weight gain, intestinal microbiota, and fecal short-chain fatty acids. J. Pediatric Gast. Nutr. 2009, 48, 216–225. [Google Scholar] [CrossRef]
- Giuliano Rizzardini, G.; Eskesen, D.; Calder, P.C.; Capetti, A.; Jespersen, L.; Clerici, M. Evaluation of the immune benefits of two probiotic strains Bifidobacterium animalis ssp. lactis, BB-12® and Lactobacillus paracasei ssp. paracasei, L. casei 431® in an influenza vaccination model: A randomised, double-blind, placebo-controlled study. Br. J. Nutr. 2012, 107, 876–884. [Google Scholar] [CrossRef] [PubMed]
- Linn, Y.H.; Thu, K.K.; Win, N.H.H. Effect of probiotics for the prevention of acute radiation-induced diarrhoea among cervical cancer patients: A randomized double-blind placebo-controlled study. Probiotics Antimicrob. Proteins 2019, 11, 638–647. [Google Scholar] [CrossRef] [PubMed]
- AOAC Official Method 925. AOAC Official Method 925.23; Official Methods of Analysis of AOAC International. 16th ed. AOAC International: Washington, DC, USA, 1995.
- AOAC Official Method 945.46; Official Methods of Analysis of AOAC International. 16th ed. AOAC International: Washington, DC, USA, 1995.
- NP-638; Cream—Acidity Determination (Portuguese Standard No. 638). Instituto Português da Qualidade: Lisboa, Portugal, 1985. (In Portuguese)
- NP 1712; Butter—Determination of Total Acidity (Portuguese Standard No. 1712). Instituto Português da Qualidade: Lisboa, Portugal, 1981. (In Portuguese)
- NP 470; Milk-Determination of Total Acidity (Portuguese Standard No. 470). Instituto Português da Qualidade: Lisboa, Portugal, 1981. (In Portuguese)
- Funke-Guerber (Ed.) Laboratory Catalogue for Milk Analysis; Funke-Dr. N. Gerber Labortechnik GmbH: Berlin, Germany, 2018. [Google Scholar]
- Egan, H.; Ronald, S.K.; Ronald, S. Pearson’s Chemical Analysis of Foods; Longman Scientific & Technical: Harlow, UK, 1987. [Google Scholar]
- ISO-15214:1998; Microbiology of Food and Animal Feeding Stuffs—Horizontal Method for the Enumeration of Mesophilic Lactic Acid Bacteria. Colony-Count Technique at 30 °C. International Organization for Standardization: Geneva, Switzerland, 1998.
- ISO 6611:2004|IDF 94:2004; Milk and Milk Products. Enumeration of Colony-Forming Units of Yeasts and/or Moulds. Colonycount Technique at 25 °C. International Organization for Standardization: Geneva, Switzerland, 2004.
- ISO 4121:2003; Sensory Analysis. Guidelines for the Use of Quantitative Response Scales. International Organization for Standardization: Geneva, Switzerland, 2003.
- ISO 8587:1988; Sensory Analysis. Methodology. Ranking. Technical Committee ISO/TC 34/SC 12. Sensory Analysis. International Organization for Standardization: Geneva, Switzerland, 1988.
- NP-1711; Pasteurized Butter—Definition, Characteristics, Packaging and Labelling, 1986 (Portuguese Standard No. 1711). Instituto Português da Qualidade: Lisboa, Portugal, 1986. (In Portuguese)
- Hilali, M.; Rischkowsky, B. Characteristics and utilization of sheep and goat milk in the Middle East. Small Rumin. Res. 2011, 101, 92–101. [Google Scholar] [CrossRef]
- Qian, J. A Simple Review of CIE δe* (Color Difference) Equations. Available online: https://techkonusa.com/a-simple-review-of-cie-%CE%B4e-color-difference-equations/ (accessed on 10 November 2022).
- Koochekiy, A.; Hesarinejad, M.A.; Mozafari, M.R. A Lepidium perfoliatum seed gum: Investigation of monosaccharide composition, antioxidant activity and rheological behavior in presence of salts. Chem. Biol. Technol. Agric. 2022, 9, 61. [Google Scholar] [CrossRef]
- Lin, H.Y.; Tsai, J.C.; Lai, L.S. Effect of salts on the rheology of hydrocolloids from mulberry (Morus alba L.) leaves in concentrated domain. Food Hydrocoll. 2009, 23, 2331–2338. [Google Scholar] [CrossRef]
- Hesarinejad, M.A.; Shekarforoush, E.; Attar, F.R.; Ghaderi, S. The dependency of rheological properties of Plantago lanceolata seed mucilage as a novel source of hydrocolloid on mono-and di-valent salts. Int. J. Biol. Macromol. 2020, 147, 1278–1284. [Google Scholar] [CrossRef] [PubMed]
- Hesarinejad, M.A.; Jokandan, M.S.; Mohammadifar, M.A.; Koocheki, A.; Razavi, S.M.A.; Marcel, T.A.; Attar, F.R. The effects of concentration and heating-cooling rate on rheological properties of Plantago lanceolata seed mucilage. Int. J. Biol. Macromol. 2018, 115, 1260–1266. [Google Scholar] [CrossRef]
- Dias, R.S.; Balthazar, C.F.; Cavalcanti, R.N.; Sobral, L.A.; Rodrigues, J.F.; Neto, R.P.C.; Tavares, M.I.B.; Ribeiro, A.P.B.; Grimaldi, R.; Sant’Anna, C.; et al. Nutritional, rheological and sensory properties of butter processed with different mixtures of cow and sheep milk cream. Food Biosci. 2022, 46, 101564. [Google Scholar] [CrossRef]
- Wong, J.M.W.; de Souza, R.; Kendall, C.W.C.; Emam, A.; Jenkins, D.J.A. Colonic Health: Fermentation and Short Chain Fatty Acids. J. Clin. Gastroenterol. 2006, 40, 235–243. [Google Scholar] [CrossRef] [PubMed]
- Özkanli, O.; Kaya, A. Storage stability of butter oils produced from sheep’s non-pasteurized and pasteurized milk. Food Chem. 2007, 100, 1026–1031. [Google Scholar] [CrossRef]
- Erkaya, T.; Ürkek, B.; Doğru, Ü.; Çetin, B.; Sengül, M. Probiotic butter: Stability, free fatty acid composition and some quality parameters during refrigerated storage. Int. Dairy J. 2015, 49, 102–110. [Google Scholar] [CrossRef]
- Olszewska, M.; Staniewski, B.; Łaniewska-Trokenheim, L. Cell viability of Bifidobacterium lactis strain in long-term storage butter assessed with the plate count and fluorescence techniques. Czech J. Food Sci. 2012, 30, 421–428. [Google Scholar] [CrossRef]
- Karaca, Y.; İlhan Gün, I.; Seydim, A.; Guzel-Seydim, Z. Production and quality of kefir cultured butter. Mljekarstvo 2018, 68, 64–72. [Google Scholar] [CrossRef]
- Bellinazo, P.L.; Vitola, H.R.S.; Cruxen, C.E.S.; Braun, C.L.K.; Hackbart, H.C.S.; Silva, W.P.; Fiorentini, Â.M. Probiotic butter: Viability of Lactobacillus casei strains and bixin antioxidant effect (Bixa orellana L.). J. Food Process. Preserv. 2019, 43, e14088. [Google Scholar] [CrossRef]
- Sakkas, L.; Evageliou, V.; Panagiotis, E.I.; Moatsou, G. Properties of sweet buttermilk released from the churning of cream separated from sheep or cow milk or sheep cheese whey: Effect of heat treatment and storage of cream. Foods 2022, 11, 465. [Google Scholar] [CrossRef]
- Sharma, A.; Noda, M.; Sugiyama, M.; Ahmad, A.; Kaur, B. Production of functional buttermilk and soymilk Using Pediococcus acidilactici BD16 (alaD+). Molecules 2021, 26, 4671. [Google Scholar] [CrossRef] [PubMed]
- Ogrodowczyk, A.M.; Kalicki, B.; Wróblewska, B. The effect of lactic acid fermentation with different bacterial strains on the chemical composition, immunoreactive properties, and sensory quality of sweet buttermilk. Food Chem. 2021, 353, 129512. [Google Scholar] [CrossRef] [PubMed]
- Kahyaoğlu, D.T.; Çakmakç, S. A comparative study on some properties and oxidation stability during storage of butter produced from different animals’ milk. Gida J. Food 2018, 43, 283–293. [Google Scholar] [CrossRef]



| Products | Dry Matter (% w/w) | Fat (% w/w) | Protein (% w/w) | Ashes (% w/w) |
|---|---|---|---|---|
| S—Sweet | 87.24 ± 2.79 a | 83.63 ± 3.28 a | 0.34 ± 0.05 a | 1.19 ± 0.23 a |
| A—Aromatic | 87.57 ± 5.02 a | 83.42 ± 4.96 a | 1.08 ± 0.14 b | 1.35 ± 0.27 a |
| K—Kefir | 85.58 ± 4.92 a | 81.88 ± 3.89 a | 0.84 ± 0.19 b | 1.38 ± 0.23 a |
| P—Probiotics | 78.50 ± 3.13 b | 74.75 ± 2.18 b | 0.89 ± 0.11 b | 1.58 ± 0.26 a |
| L*1 d | L*30 d | L*60 d | L*90 d | |
| S—Sweet | 90.00 ± 0.22 a | 88.00 ± 0.70 a | 81.23 ± 0.21 a | 84.67 ± 0.77 a |
| A—Aromatic | 90.93 ± 0.31 b | 85.63 ± 1.28 b | 81.73 ± 0.15 b | 83.75 ± 1.23 a |
| K—Kefir | 91.70 ± 0.17 c | 90.20 ± 0.42 c | 83.17 ± 0.71 c | 89.07 ± 0.45 b |
| P—Probiotics | 92.90 ± 0.17 d | 88.20 ± 0.72 a | 86.43 ± 0.64 d | 84.90 ± 1.44 a |
| a*1 d | a*30 d | a*60 d | a*90 d | |
| S—Sweet | −3.00 ± 0.00 a | −2.90 ± 0.08 a | −3.03 ± 0.17 a | −3.30 ± 0.29 a |
| A—Aromatic | −3.30 ± 0.17 b | −3.30 ± 0.28 b | −3.33 ± 0.12 b | −3.55 ± 0.31 b |
| K—Kefir | −3.17 ± 0.25 ab | −3.33 ± 0.10 b | −3.43 ± 0.25 b | −3.18 ± 0.43 a |
| P—Probiotics | −3.20 ± 0.00 ab | −3.27 ± 0.06 b | −3.17 ± 0.35 ab | −3.10 ± 0.35 a |
| b*1 d | b*30 d | b*60 d | b*90 d | |
| S—Sweet | 3.67 ± 0.17 a | 2.80 ± 0.22 a | 1.67 ± 0.31 a | 4.00 ± 0.13 a |
| A—Aromatic | 4.53 ± 0.21 b | 3.35 ± 0.97 b | 3.00 ± 0.10 b | 5.57 ± 0.27 b |
| K—Kefir | 4.63 ± 0.40 b | 4.70 ± 0.16 c | 4.50 ± 0.00 c | 6.87 ± 0.27 c |
| P—Probiotics | 4.80 ± 0.00 b | 4.30 ± 0.20 c | 4.00 ± 0.50 c | 6.44 ± 0.33 c |
| A—Storage Time | 1 Day | 30 Days | 60 Days | 90 Days |
| Sweet | Sweet | Sweet | Sweet | |
| Aromatic vs... | 0.99 | 2.77 | 1.12 | 3.03 |
| Kefir vs... | 2.00 | 4.64 | 6.15 | 14.58 |
| Probiotics vs… | 4.65 | 0.95 | 15.99 | 3.36 |
| Aromatic | Aromatic | Aromatic | Aromatic | |
| Kefir vs... | 0.29 | 9.13 | 3.28 | 16.57 |
| Probiotics vs… | 2.07 | 2.78 | 11.87 | 2.27 |
| Kefir | Kefir | Kefir | Kefir | |
| Probiotics vs… | 0.82 | 2.39 | 6.10 | 10.01 |
| B-Products | 30 days | 60 days | 90 days | |
| Sweet 1st day vs... | 2.58 | 38.88 | 14.80 | |
| Aromatic 1st day vs... | 13.18 | 42.80 | 30.85 | |
| Kefir 1st day vs... | 1.05 | 36.56 | 4.05 | |
| Probiotics 1st day vs... | 11.35 | 21.25 | 32.95 | |
| Products | Hardness (N) | Adhesiveness (N) | Gumminess (N) | Springiness | Cohesiveness | Resilience |
|---|---|---|---|---|---|---|
| S—Sweet | 38.75 ± 7.30 a | −7.16 ± 2.39 a | 10.80 ± 3.24 a | 0.85 ± 0.10 a | 0.29 ± 0.02 a | 0.09 ± 0.02 a |
| A—Aromatic | 30.78 ± 2.89 b | −7.98 ± 1.81 a | 10.15 ± 1.77 a | 0.78 ± 0.12 a | 0.34 ± 0.04 a | 0.09 ± 0.01 a |
| K—Kefir | 37.52 ± 5.17 a | −6.97 ± 1.00 a | 11.24 ± 2.15 a | 0.80 ± 0.08 a | 0.29 ± 0.02 a | 0.08 ± 0.02 a |
| P—Probiotics | 43.78 ± 12.43 a | −5.46 ± 2.32 a | 12.66 ± 3.00 a | 0.73 ± 0.19 a | 0.27 ± 0.03 a | 0.10 ± 0.01 a |
| Fatty Acids | S—Sweet | A—Aromatic | K—Kefir | P—Probiotics |
|---|---|---|---|---|
| C6:0 | 0.66 ± 0.02 a | 0.66 ± 0.00 a | 0.55 ± 0.00 b | 0.79 ± 0.00 c |
| C8:0 | 0.88 ± 0.03 a | 0.87 ± 0.00 a | 0.77 ± 0.00 b | 1.07 ± 0.00 c |
| C10:0 | 3.85 ± 0.11 a | 3.78 ± 0.01 a | 3.53 ± 0.00 b | 4.54 ± 0.00 c |
| C12:0 | 3.28 ± 0.09 a | 3.22 ± 0.00 a | 3.13 ± 0.01 b | 3.69 ± 0.01 c |
| C14:0 | 10.67 ± 0.29 a | 10.52 ± 0.01 a | 10.44 ± 0.05 a | 11.39 ± 0.03 b |
| C14:1 | 0.19 ± 0.01 a | 0.18 ± 0.00 a | 0.18 ± 0.00 a | 0.19 ± 0.00 a |
| C15:0 | 1.23 ± 0.02 a | 1.20 ± 0.02 a | 1.21 ± 0.01 a | 1.27 ± 0.00 a |
| C15:1 c10 | 0.34 ± 0.00 a | 0.33 ± 0.00 a | 0.33 ± 0.00 a | 0.34 ± 0.02 a |
| C16:0 | 32.24 ± 0.10 a | 31.60 ± 0.10 a | 31.80 ± 0.19 a | 32.53 ± 0.05 a |
| C16:1 c7 | 0.26 ± 0.00 a | 0.26 ± 0.00 a | 0.26 ± 0.00 a | 0.26 ± 0.01 a |
| C16:1 c9 | 1.22 ± 0.01 a | 1.20 ± 0.01 a | 1.21 ± 0.01 a | 1.27 ± 0.00 a |
| C17:0 | 0.84 ± 0.03 a | 0.82 ± 0.00 a | 0.42 ± 0.57 b | 0.83 ± 0.00 a |
| C17:1 c10 | 0.31 ± 0.01 a | 0.30 ± 0.00 a | 0.30 ± 0.00 a | 0.33 ± 0.02 a |
| C18:0 | 10.56 ± 0.34 a | 10.25 ± 0.04 a | 10.39 ± 0.07 a | 10.18 ± 0.01 a |
| C18:1 c9 | 25.47 ± 2.17 ab | 26.73 ± 0.09 a | 27.50 ± 0.18 a | 23.16 ± 0.12 b |
| C18:1 c11 | 0.69 ± 0.01 a | 0.67 ± 0.00 a | 0.69 ± 0.00 a | 0.66 ± 0.00 a |
| C18:1 c12 | 0.42 ± 0.02 a | 0.43 ± 0.00 a | 0.44 ± 0.00 a | 0.40 ± 0.00 b |
| C18:2c9t12 | 0.42 ± 0.01 a | 0.41 ± 0.00 a | 0.41 ± 0.00 a | 0.44 ± 0.00 b |
| C18:2 | 5.17 ± 0.02 a | 5.12 ± 0.02 a | 5.17 ± 0.04 a | 5.36 ± 0.02 b |
| C18:3 c6c9c13 | 0.48 ± 0.01 a | 0.41 ± 0.12 a | 0.48 ± 0.01 a | 0.53 ± 0.00 a |
| C18:3 | 0.06 ± 0.00 a | 0.06 ± 0.00 a | 0.07 ± 0.00 a | 0.06 ± 0.00 a |
| C20:1 | 0.34 ± 0.01 a | 0.60 ± 0.39 a | 0.33 ± 0.00 a | 0.32 ± 0.00 a |
| C20:3 | 0.15 ± 0.00 a | 0.14 ± 0.00 b | 0.14 ± 0.00 b | 0.13 ± 0.00 c |
| C21:0 | 0.08 ± 0.00 a | 0.08 ± 0.00 a | 0.08 ± 0.00 a | 0.07 ± 0.00 b |
| C22:0 | 0.05 ± 0.00 a | 0.05 ± 0.00 a | 0.05 ± 0.00 a | 0.05 ± 0.00 a |
| C22:2 | 0.07 ± 0.00 a | 0.06 ± 0.00 b | 0.06 ± 0.00 b | 0.06 ± 0.00 b |
| C24:0 | 0.05 ± 0.02 a | 0.05 ± 0.00 a | 0.05 ± 0.00 a | 0.05 ± 0.02 a |
| C24:1 | 0.03 ± 0.00 a | 0.01 ± 0.02 a | 0.04 ± 0.00 a | 0.02 ± 0.00 a |
| ∑SFA | 64.38 ± 1.92 a | 63.09 ± 0.14 a | 62.38 ± 0.024 a | 66.46 ± 0.12 b |
| ∑MUFA | 29.26 ± 0.27 a | 30.71 ± 0.27 a | 31.28 ± 0.20 a | 26.96 ± 0.11 b |
| ∑PUFA | 6.36 ± 0.20 a | 6.19 ± 0.14 a | 6.34 ± 0.05 a | 6.58 ± 0.01 b |
| Parameters | Products | |||
|---|---|---|---|---|
| S—Sweet | A—Aromatic | K—Kefir | P—Probiotics | |
| Total solids (% w/w) | 13.92 ± 0.13 a | 11.87 ± 0.11 b | 13.70 ± 0.11 c | 10.49 ± 0.02 d |
| Protein (% w/w) | 5.12 ± 0.00 a | 4.25 ± 0.10 b | 3.70 ± 0.07 c | 3.95 ± 0.05 d |
| Fat (% w/v) | 2.57 ± 0.06 a | 2.53 ± 0.12 a | 2.93 ± 0.58 a | 2.10 ± 0.00 b |
| Ashes (% w/w) | 1.52 ± 0.11 a | 0.68 ± 0.07 b | 0.78 ± 0.33 b | 0.76 ± 0.10 b |
| T.A. (mL NaOH 1 N/L) | 35.10 ± 0.47 a | 84.98 ± 0.64 b | 56.3 ± 0.49 c | 84.75 ± 0.90 b |
| pH | 6.24 ± 0.01 a | 4.65 ± 0.00 b | 4.92 ± 0.01 c | 4.52 ± 0.01 d |
| Viscosity (cPs) | 18.42 ± 1.42 a | 43.08 ± 4.31 b | 165.77 ± 1.97 c | 219.87 ± 8.81 d |
| Color values | ||||
| L* | 82.07 ± 0.15 a | 77.00 ± 0.35 b | 83.70 ± 0.10 c | 82.40 ± 0.26 a |
| a* | −3.97 ± 0.15 a | −3.57 ± 0.25 b | −3.83 ± 0.06 b | −4.20 ± 0.10 c |
| b* | 4.27 ± 0.21 a | 0.97 ± 0.06 b | 5.97 ± 0.06 c | 5.33 ± 0.21 d |
Disclaimer/Publisher’s Note: The statements, opinions and data contained in all publications are solely those of the individual author(s) and contributor(s) and not of MDPI and/or the editor(s). MDPI and/or the editor(s) disclaim responsibility for any injury to people or property resulting from any ideas, methods, instructions or products referred to in the content. |
© 2023 by the authors. Licensee MDPI, Basel, Switzerland. This article is an open access article distributed under the terms and conditions of the Creative Commons Attribution (CC BY) license (https://creativecommons.org/licenses/by/4.0/).
Share and Cite
Silva, T.; Pires, A.; Gomes, D.; Viegas, J.; Pereira-Dias, S.; Pintado, M.E.; Henriques, M.; Pereira, C.D. Sheep’s Butter and Correspondent Buttermilk Produced with Sweet Cream and Cream Fermented by Aromatic Starter, Kefir and Probiotic Culture. Foods 2023, 12, 331. https://doi.org/10.3390/foods12020331
Silva T, Pires A, Gomes D, Viegas J, Pereira-Dias S, Pintado ME, Henriques M, Pereira CD. Sheep’s Butter and Correspondent Buttermilk Produced with Sweet Cream and Cream Fermented by Aromatic Starter, Kefir and Probiotic Culture. Foods. 2023; 12(2):331. https://doi.org/10.3390/foods12020331
Chicago/Turabian StyleSilva, Tânia, Arona Pires, David Gomes, Jorge Viegas, Susana Pereira-Dias, Manuela E. Pintado, Marta Henriques, and Carlos Dias Pereira. 2023. "Sheep’s Butter and Correspondent Buttermilk Produced with Sweet Cream and Cream Fermented by Aromatic Starter, Kefir and Probiotic Culture" Foods 12, no. 2: 331. https://doi.org/10.3390/foods12020331
APA StyleSilva, T., Pires, A., Gomes, D., Viegas, J., Pereira-Dias, S., Pintado, M. E., Henriques, M., & Pereira, C. D. (2023). Sheep’s Butter and Correspondent Buttermilk Produced with Sweet Cream and Cream Fermented by Aromatic Starter, Kefir and Probiotic Culture. Foods, 12(2), 331. https://doi.org/10.3390/foods12020331

