Physicochemical Properties and Hypolipidemic Activity of Dietary Fiber from Rice Bran Meal Obtained by Three Oil-Production Methods
Abstract
:1. Introduction
2. Materials and Methods
2.1. Materials
2.2. Preparation of Samples
2.3. Structure Characterization
2.3.1. Particle Size Distribution
2.3.2. Scanning Electron Microscopy (SEM)
2.3.3. Fourier Transform Infrared (FT-IR) Spectroscopy
2.3.4. X-ray Diffraction Analysis (XRD)
2.3.5. Thermogravimetric Analysis (TGA)
2.4. Physicochemical Properties
2.4.1. Water Holding Capacity (WHC)
2.4.2. Oil Holding Capacity (OHC)
2.4.3. Swelling Capacity (SC)
2.4.4. Cholesterol Adsorption Capacity (CAC)
2.4.5. Sodium Cholate Binding Capacity (SCBC)
2.5. Animal Experiment Design
2.6. Serum Lipid Level
2.7. Determination of AST and ALT Activity in Serum
2.8. Determination of GSH-Px, SOD Activity and MDA in Liver
2.9. Pathological Observation of Liver
2.10. Statistical Analyses
3. Results and Discussion
3.1. Structure Analysis
3.1.1. Particle Size Analysis
3.1.2. SEM Analysis
3.1.3. FT-IR Analysis
3.1.4. XRD Analysis
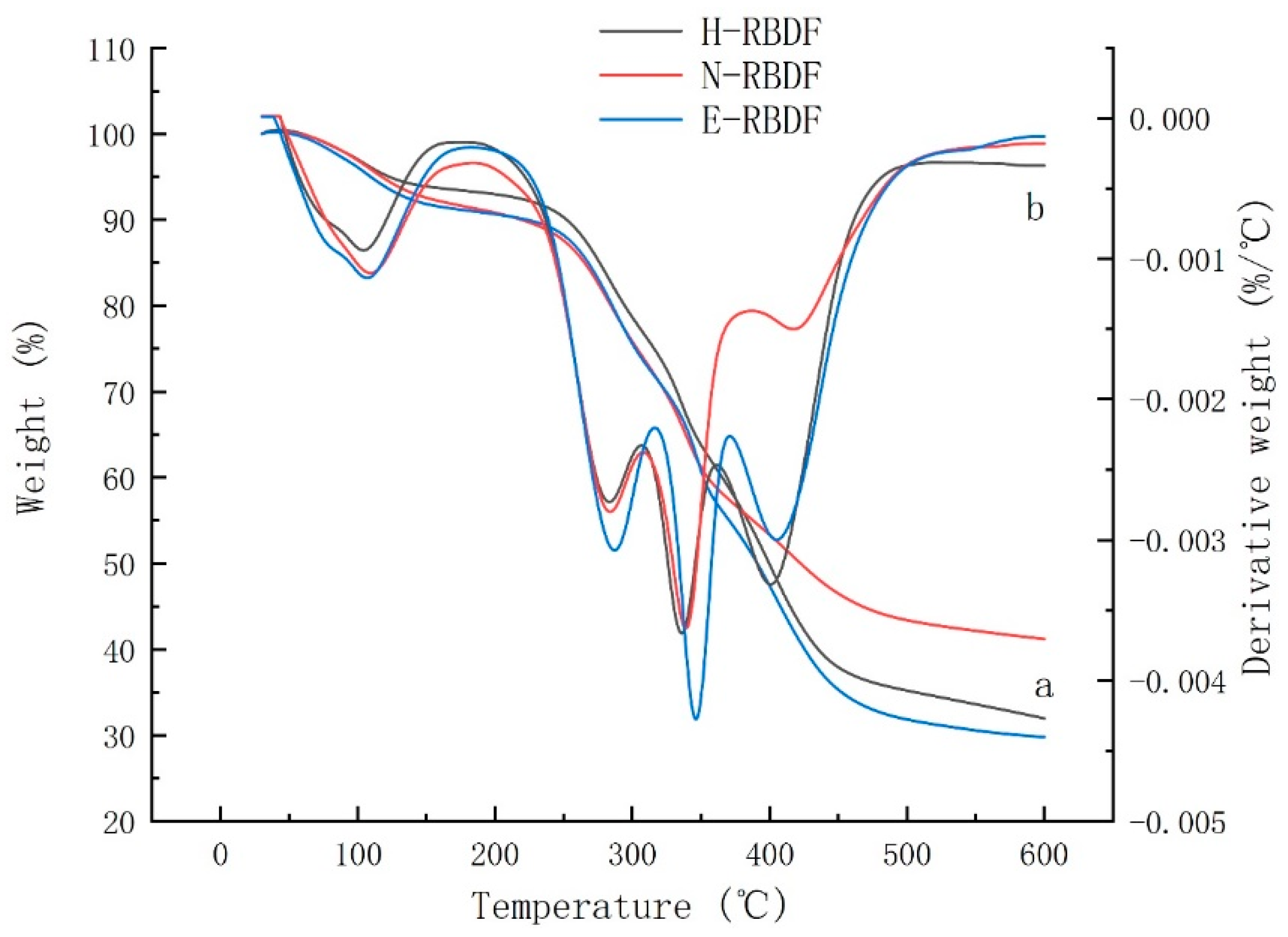
3.1.5. Thermal Analysis
3.2. Functional Properties Analysis
3.2.1. WHC, OHC, and SC Analysis
3.2.2. CAC Analysis
3.2.3. SCBC Analysis
3.3. Effect of Dietary Fiber on Blood Lipid Levels of Rats
3.4. Effect of Dietary Fiber on AST and ALT Activity in Serum
3.5. Effect of Dietary Fiber on GSH-Px, SOD Activity, and MDA in the Liver
3.6. Histopathological Analysis of the Rat Liver
4. Conclusions
Author Contributions
Funding
Institutional Review Board Statement
Data Availability Statement
Conflicts of Interest
Abbreviations
| TDF | Total dietary fiber | 
| SDF | Soluble dietary fiber | 
| IDF | Insoluble dietary fiber | 
| H-RBM | Hydraulic-pressed rice bran meal | 
| N-RBM | N-hexane--leached rice bran meal | 
| E-RBM | Enzyme-method rice bran meal | 
| H-RBDF | Hydraulic-pressed rice bran meal dietary fiber | 
| N-RBDF | N-hexane-leached rice bran meal dietary fiber | 
| E-RBDF | Enzyme-method rice bran meal dietary fiber | 
| NC | Negative control | 
| MC | Model control | 
| PC | Positive control | 
| MDA | Malonic dialdehyde | 
| SOD | Superoxide dismutase | 
| GSH-Px | Glutathione peroxidase | 
| AST | Aspartate aminotransferase | 
| ALT | Alanine aminotransferase | 
| TG | Triacylglycerol | 
| TC | Total cholesterol | 
| HDL-C | High-density lipoprotein cholesterol | 
| LDL-C | Low-density lipoprotein cholesterol | 
| AI | Atherogenic index | 
References
- Verma, N. Introduction to hyperlipidemia and its treatment: A review. Int. J. Curr. Pharm. Res. 2016, 9, 6. [Google Scholar] [CrossRef]
- Goldstein, J.L.; Hazzard, W.R.; Schrott, H.G.; Bierman, E.L.; Motulsky, A.G. Hyperlipidemia in coronary heart disease I. Lipid levels in 500 survivors of myocardial infarction. J. Clin. Investig. 1973, 52, 1533–1543. [Google Scholar] [CrossRef]
- Cassidy, Y.M.; Mcsorley, E.M.; Allsopp, P.J. Effect of soluble dietary fibre on postprandial blood glucose response and its potential as a functional food ingredient. J. Funct. Foods 2018, 46, 423–439. [Google Scholar] [CrossRef]
- Shattat, G.F. A Review Article on Hyperlipidemia: Types, Treatments and New Drug Targets. Biomed. Pharmacol. J. 2014, 7, 399–409. [Google Scholar] [CrossRef]
- Cao, T.C.; Nguyen, T.P.; Nguyen, S.N.; Tran, T.T.T.; Ton, N.M.N.; Le, V.V.M. Cellulase-treated deoiled rice bran: Effects of treatment conditions on dietary fiber content and utilization for formulation of cookies. J. Food Meas. Charact. 2022, 16, 840–848. [Google Scholar] [CrossRef]
- Wang, L.; Wu, J.; Luo, X.; Li, Y.; Wang, R.; Li, Y.; Chen, Z. Dynamic high-pressure microfluidization treatment of rice bran: Effect on Pb (II) ions adsorption in vitro. J. Food Sci. 2018, 83, 1980–1989. [Google Scholar] [CrossRef]
- Chen, H.; Zhao, C.; Li, J.; Hussain, S.; Yan, S.; Wang, Q. Effects of extrusion on structural and physicochemical properties of soluble dietary fiber from nodes of lotus root. Food Sci. Technol. 2018, 93, 204–211. [Google Scholar] [CrossRef]
- Li, S.; Li, J.; Zhi, Z.; Wei, C.; Wang, W.; Ding, T.; Chen, S. Macromolecular properties and hypolipidemic effects of four sulfated polysaccharides from sea cucumbers. Carbohydr. Polym. 2017, 173, 330–337. [Google Scholar] [CrossRef]
- Sapwarobol, S.; Saphyakhajorn, W.; Astina, J. Biological Functions and Activities of Rice Bran as a Functional Ingredient: A Review. Nutr. Metab. Insights 2021, 14, 1389573753. [Google Scholar] [CrossRef]
- Zhu, R.; Xu, T.; He, B.; Wang, Y.; Zhang, L.; Huang, L. Modification of Artichoke Dietary Fiber by Superfine Grinding and High-Pressure Homogenization and Its Protection against Cadmium Poisoning in Rats. Foods 2022, 11, 1716. [Google Scholar] [CrossRef]
- Wu, N.; Qiao, C.; Tian, X.; Tan, B.; Fang, Y. Retrogradation inhibition of rice starch with dietary fiber from extruded and unextruded rice bran. Food Hydrocolloid. 2021, 113, 106488. [Google Scholar] [CrossRef]
- Zadeike, D.; Vaitkeviciene, R.; Degutyte, R.; Bendoraitiene, J.; Rukuiziene, Z.; Cernauskas, D.; Juodeikiene, G. A comparative study on the structural and functional properties of water-soluble and alkali-soluble dietary fibres from rice bran after hot-water, ultrasound, hydrolysis by cellulase, and combined pre-treatments. Int. J. Food Sci. Technol. 2022, 57, 1137–1149. [Google Scholar] [CrossRef]
- Qi, J.; Yokoyama, W.; Masamba, K.G.; Majeed, H.; Zhong, F.; Li, Y. Structural and physico-chemical properties of insoluble rice bran fiber: Effect of acid–base induced modifications. RSC Adv. 2015, 5, 79915–79923. [Google Scholar] [CrossRef]
- Qi, J.; Li, Y.; Masamba, K.G.; Shoemaker, C.F.; Zhong, F.; Majeed, H.; Ma, J. The effect of chemical treatment on the In vitro hypoglycemic properties of rice bran insoluble dietary fiber. Food Hydrocolloid. 2016, 52, 699–706. [Google Scholar] [CrossRef]
- Ren, F.; Feng, Y.; Zhang, H.; Wang, J. Effects of modification methods on microstructural and physicochemical characteristics of defatted rice bran dietary fiber. LWT 2021, 151, 112161. [Google Scholar] [CrossRef]
- Shi, L.; Zheng, L.; Mao, J.; Zhao, C.; Huang, J.; Liu, R.; Chang, M.; Jin, Q.; Wang, X. Effects of the variety and oil extraction method on the quality, fatty acid composition and antioxidant capacity of Torreya grandis kernel oils. LWT 2018, 91, 398–405. [Google Scholar] [CrossRef]
- Li, Y.; Zhang, L.; Xu, Y.; Li, J.; Cao, P.; Liu, Y. Evaluation of the functional quality of rapeseed oil obtained by different extraction processes in a Sprague-Dawley rat model. Food Funct. 2019, 1, 653–6516. [Google Scholar] [CrossRef]
- Jiang, F.; Yuan, L.; Shu, N.; Wang, W.; Liu, Y.; Xu, Y. Foodomics Revealed the Effects of Extract Methods on the Composition and Nutrition of Peanut Oil. J. Agr. Food Chem. 2020, 68, 1147–1156. [Google Scholar] [CrossRef]
- Wongwaiwech, D.; Weerawatanakorn, M.; Tharatha, S.; Ho, C. Comparative study on amount of nutraceuticals in by-products from solvent and cold pressing methods of rice bran oil processing. J. Food Drug Anal. 2019, 27, 71–82. [Google Scholar] [CrossRef]
- Jia, M.; Chen, J.; Liu, X.; Xie, M.; Nie, S.; Chen, Y.; Xie, J.; Yu, Q. Structural characteristics and functional properties of soluble dietary fiber from defatted rice bran obtained through Trichoderma viride fermentation. Food Hydrocolloid. 2019, 94, 468–474. [Google Scholar] [CrossRef]
- Bender, A.B.B.; Speroni, C.S.; Moro, K.I.B.; Morisso, F.D.P.; Dos Santos, D.R.; Da Silva, L.P.; Penna, N.G. Effects of micronization on dietary fiber composition, physicochemical properties, phenolic compounds, and antioxidant capacity of grape pomace and its dietary fiber concentrate. LWT 2020, 117, 108652. [Google Scholar] [CrossRef]
- Hua, X.; Xu, S.; Wang, M.; Chen, Y.; Yang, H.; Yang, R. Effects of high-speed homogenization and high-pressure homogenization on structure of tomato residue fibers. Food Chem. 2017, 232, 443–449. [Google Scholar] [CrossRef] [PubMed]
- Xie, F.; Wang, Y.; Wu, J.; Wang, Z. Functional Properties and Morphological Characters of Soluble Dietary Fibers in Different Edible Parts ofAngelica Keiskei. J. Food Sci. 2016, 81, C2189–C2198. [Google Scholar] [CrossRef] [PubMed]
- Zhang, Y.; Qi, J.; Zeng, W.; Huang, Y.; Yang, X. Properties of dietary fiber from citrus obtained through alkaline hydrogen peroxide treatment and homogenization treatment. Food Chem. 2020, 311, 125873. [Google Scholar] [CrossRef] [PubMed]
- Benitez, V.; Rebollo-Hernanz, M.; Hernanz, S.; Chantres, S.; Aguilera, Y.; Martin-Cabrejas, M.A. Coffee parchment as a new dietary fiber ingredient: Functional and physiological characterization. Food Res. Int. 2019, 122, 105–113. [Google Scholar] [CrossRef]
- Daou, C.; Zhang, H. Functional and physiological properties of total, soluble, and insoluble dietary fibres derived from defatted rice bran. J. Food Sci. Technol. 2014, 51, 3878–3885. [Google Scholar] [CrossRef] [PubMed]
- Liu, Q.; Zhao, J.; Liu, S.; Fan, Y.; Mei, J.; Liu, X.; Wei, T. Positive intervention of insoluble dietary fiber from defatted rice bran on hyperlipidemia in high fat diet fed rats. J. Food Sci. 2021, 86, 3964–3974. [Google Scholar] [CrossRef]
- Liu, Y.; Wang, L.; Liu, F.; Pan, S. Effect of Grinding Methods on Structural, Physicochemical, and Functional Properties of Insoluble Dietary Fiber from Orange Peel. Int. J. Polym. Sci. 2016, 2016, 6269302. [Google Scholar] [CrossRef]
- Zhao, G.; Zhang, R.; Dong, L.; Huang, F.; Tang, X.; Wei, Z.; Zhang, M. Particle size of insoluble dietary fiber from rice bran affects its phenolic profile, bioaccessibility and functional properties. Food Sci. Technol. 2018, 87, 450–456. [Google Scholar] [CrossRef]
- Xu, D.; Hao, J.; Wang, Z.; Liang, D.; Wang, J.; Ma, Y.; Zhang, M. Physicochemical properties, fatty acid compositions, bioactive compounds, antioxidant activity and thermal behavior of rice bran oil obtained with aqueous enzymatic extraction. LWT 2021, 149, 111817. [Google Scholar] [CrossRef]
- Dong, J.L.; Wang, L.; Lü, J.; Zhu, Y.Y.; Shen, R.L. Structural, antioxidant and adsorption properties of dietary fiber from foxtail millet (Setaria italica) bran. J. Sci. Food Agric. 2019, 99, 3886–3894. [Google Scholar] [CrossRef] [PubMed]
- Wen, Y.; Niu, M.; Zhang, B.; Zhao, S.; Xiong, S. Structural characteristics and functional properties of rice bran dietary fiber modified by enzymatic and enzyme-micronization treatments. LWT 2017, 75, 344–351. [Google Scholar] [CrossRef]
- Wang, C.; Song, R.; Wei, S.; Wang, W.; Li, F.; Tang, X.; Li, N. Modification of insoluble dietary fiber from ginger residue through enzymatic treatments to improve its bioactive properties. LWT 2020, 125, 109220. [Google Scholar] [CrossRef]
- Wu, Q.; Wu, J.; Ren, M.; Zhang, X.; Wang, L. Modification of insoluble dietary fiber from rice bran with dynamic high pressure microfluidization: Cd (II) adsorption capacity and behavior. Innov. Food Sci. Emerg. 2021, 73, 102765. [Google Scholar] [CrossRef]
- Zhang, M.; Liao, A.; Thakur, K.; Huang, J.; Zhang, J.; Wei, Z. Modification of wheat bran insoluble dietary fiber with carboxymethylation, complex enzymatic hydrolysis and ultrafine comminution. Food Chem. 2019, 297, 124983. [Google Scholar] [CrossRef]
- Sangnark, A.; Noomhorm, A. Effect of particle sizes on functional properties of dietary fibre prepared from sugarcane bagasse. Food Chem. 2003, 80, 221–229. [Google Scholar] [CrossRef]
- Mudgil, D.; Barak, S.; Khatkar, B.S. X-ray diffraction, IR spectroscopy and thermal characterization of partially hydrolyzed guar gum. Int. J. Biol. Macromol. 2012, 50, 1035–1039. [Google Scholar] [CrossRef]
- Xie, J.; Liu, S.; Dong, R.; Xie, J.; Chen, Y.; Peng, G.; Liao, W.; Xue, P.; Feng, L.; Yu, Q. Bound Polyphenols from Insoluble Dietary Fiber of Defatted Rice Bran by Solid-State Fermentation withTrichoderma viride: Profile, Activity, and Release Mechanism. J. Agr. Food Chem. 2021, 69, 5026–5039. [Google Scholar] [CrossRef]
- Zhao, X.; Chen, J.; Chen, F.; Wang, X.; Zhu, Q.; Ao, Q. Surface characterization of corn stalk superfine powder studied by FTIR and XRD. Colloids Surf. B Biointerfaces 2013, 104, 207–212. [Google Scholar] [CrossRef]
- Xie, F.; Zhao, T.; Wan, H.; Li, M.; Sun, L.; Wang, Z.; Zhang, S. Structural and Physicochemical Characteristics of Rice Bran Dietary Fiber by Cellulase and High-Pressure Homogenization. Appl. Sci. 2019, 9, 1270. [Google Scholar] [CrossRef]
- Liu, Y.; Zhang, H.; Yi, C.; Quan, K.; Lin, B. Chemical composition, structure, physicochemical and functional properties of rice bran dietary fiber modified by cellulase treatment. Food Chem. 2021, 342, 128352. [Google Scholar] [CrossRef]
- Yang, X.; Dai, J.; Zhong, Y.; Wei, X.; Wu, M.; Zhang, Y.; Huang, A.; Wang, L.; Huang, Y.; Zhang, C.; et al. Characterization of insoluble dietary fiber from three food sources and their potential hypoglycemic and hypolipidemic effects. Food Funct. 2021, 12, 6576–6587. [Google Scholar] [CrossRef] [PubMed]
- Zhang, Y.; Liao, J.; Qi, J. Functional and structural properties of dietary fiber from citrus peel affected by the alkali combined with high-speed homogenization treatment. LWT 2020, 128, 109397. [Google Scholar] [CrossRef]
- Moriana, R.; Vilaplana, F.; Karlsson, S.; Ribes-Greus, A. Improved thermo-mechanical properties by the addition of natural fibres in starch-based sustainable biocomposites. Compos. Part A Appl. Sci. Manuf. 2011, 42, 30–40. [Google Scholar] [CrossRef]
- Yang, H.; Yan, R.; Chen, H.; Lee, D.H.; Zheng, C. Characteristics of hemicellulose, cellulose and lignin pyrolysis. Fuel 2007, 86, 1781–1788. [Google Scholar] [CrossRef]
- Kazachenko, A.S.; Vasilieva, N.Y.; Berezhnaya, Y.D.; Fetisova, O.Y.; Borovkova, V.S.; Malyar, Y.N.; Sudakova, I.G.; Sychev, V.V.; Issaoui, N.; Lutoshkin, M.A.; et al. Sulfation of Birch Wood Microcrystalline Cellulose with Sulfamic Acid Using Ion-Exchange Resins as Catalysts. Polymers 2023, 15, 1116. [Google Scholar] [CrossRef]
- Zhang, W.; Zeng, G.; Pan, Y.; Chen, W.; Huang, W.; Chen, H.; Li, Y. Properties of soluble dietary fiber-polysaccharide from papaya peel obtained through alkaline or ultrasound-assisted alkaline extraction. Carbohyd. Polym. 2017, 172, 102–112. [Google Scholar] [CrossRef]
- Gao, W.; Chen, F.; Zhang, L.; Meng, Q. Effects of superfine grinding on asparagus pomace. Part I: Changes on physicochemical and functional properties. J. Food Sci. 2020, 85, 1827–1833. [Google Scholar] [CrossRef] [PubMed]
- Xia, Y.; Meng, P.; Liu, S.; Tan, Z.; Yang, X.; Liang, L.; Xie, F.; Zhang, H.; Wang, G.; Xiong, Z.; et al. Structural and Potential Functional Properties of Alkali-Extracted Dietary Fiber from Antrodia camphorata. Front. Microbiol. 2022, 13, 921164. [Google Scholar] [CrossRef]
- He, S.; Tang, M.; Sun, H.; Ye, Y.; Cao, X.; Wang, J. Potential of water dropwort (Oenanthe javanica DC.) powder as an ingredient in beverage: Functional, thermal, dissolution and dispersion properties after superfine grinding. Powder Technol. 2019, 353, 516–525. [Google Scholar] [CrossRef]
- Nsor-Atindana, J.; Zhong, F.; Mothibe, K.J. In vitro hypoglycemic and cholesterol lowering effects of dietary fiber prepared from cocoa (Theobroma cacao L.) shells. Food Funct. 2012, 3, 1044–1050. [Google Scholar] [CrossRef] [PubMed]
- Feng, Z.; Dou, W.; Alaxi, S.; Niu, Y.; Yu, L.L. Modified soluble dietary fiber from black bean coats with its rheological and bile acid binding properties. Food Hydrocolloid. 2017, 62, 94–101. [Google Scholar] [CrossRef]
- Hu, Y.; Fu, X.; Zhang, F.; Ma, F.; Wang, Z.; Xu, S. Hypolipidemic study of xylanase-modified corn bran fibre in rats. Food Chem. 2010, 123, 563–567. [Google Scholar] [CrossRef]
- Dabour, N.; Elsaadany, K.; Shoukry, E.; Hamdy, S.; Taïbi, A.; Kheadr, E. The ability of yoghurt supplemented with dietary fibers or brans extracted from wheat or rice to reduce serum lipids and enhance liver function in male hypercholesterolemic rats. J. Food Biochem. 2022, 46, e14499. [Google Scholar] [CrossRef]
- Thapa, B.R.; Walia, A. Liver function tests and their interpretation. Indian J. Pediatr. 2007, 74, 663–671. [Google Scholar] [CrossRef] [PubMed]
- Shakeel, M.; Jabeen, F.; Qureshi, N.A.; Fakhr-E-Alam, M. Toxic Effects of Titanium Dioxide Nanoparticles and Titanium Dioxide Bulk Salt in the Liver and Blood of Male Sprague-Dawley Rats Assessed by Different Assays. Biol. Trace Elem. Res. 2016, 173, 405–426. [Google Scholar] [CrossRef]
- Xu, Y.; Zhang, X.; Yan, X.; Zhang, J.; Wang, L.; Xue, H.; Jiang, G.; Ma, X.; Liu, X. Characterization, hypolipidemic and antioxidant activities of degraded polysaccharides from Ganoderma lucidum. Int. J. Biol. Macromol. 2019, 135, 706–716. [Google Scholar] [CrossRef]
- Gao, H.; Zeng, Z.; Zhang, H.; Zhou, X.; Guan, L.; Deng, W.; Xu, L. The Glucagon-Like Peptide-1 Analogue Liraglutide Inhibits Oxidative Stress and Inflammatory Response in the Liver of Rats with Diet-Induced Non-alcoholic Fatty Liver Disease. Biol. Pharm. Bull. 2015, 38, 694–702. [Google Scholar] [CrossRef]
- Zhao, M.; Sheng, X.; Huang, Y.; Wang, Y.; Jiang, C.; Zhang, J.; Yin, Z. Triterpenic acids-enriched fraction from Cyclocarya paliurus attenuates non-alcoholic fatty liver disease via improving oxidative stress and mitochondrial dysfunction. Biomed. Pharmacother. 2018, 104, 229–239. [Google Scholar] [CrossRef]
- Liu, T.; Wang, N.; Xu, X.; Wang, D. Effect of high quality dietary fiber of Hericium erinaceus on lowering blood lipid in hyperlipidemia mice. J. Future Foods 2022, 2, 61–68. [Google Scholar] [CrossRef]









| Group | Feed | Gavage Drugs | 
|---|---|---|
| NC | Basic feed | Normal saline | 
| MC | High-fat feed | Normal saline | 
| PC | High-fat feed | 2 mg/Kg BW/d simvastatin | 
| H-RBDF | High-fat feed | 3 g/Kg BW/d H-RBDF | 
| N-RBDF | High-fat feed | 3 g/Kg BW/d N-RBDF | 
| E-RBDF | High-fat feed | 3 g/Kg BW/d E-RBDF | 
| Sample | Specific Surface Area m2/g | D [3,2] (μm) | D10 (μm) | D50 (μm) | D90 (μm) | Span | 
|---|---|---|---|---|---|---|
| H-RBDF | 1914.75 | 31.34 | 15.94 | 39.82 | 136.68 | 3.03 | 
| N-RBDF | 5613.72 | 10.68 | 4.68 | 18.10 | 51.95 | 2.61 | 
| E-RBDF | 3082.04 | 19.47 | 9.35 | 26.15 | 70.72 | 2.34 | 
| Samples | WHC (g/g) | OHC (g/g) | SC (mL/g) | 
|---|---|---|---|
| N-RBDF | 1.85 ± 0.05 b | 1.46 ± 0.00 b | 1.19 ± 0.00 b | 
| E-RBDF | 2.39 ± 0.01 a | 1.61 ± 0.01 a | 1.59 ± 0.01 a | 
| H-RBDF | 1.53 ± 0.02 c | 1.26 ± 0.02 c | 1.20 ± 0.01 b | 
| Groups | TC (mmol/L) | TG (mmol/L) | HDL-C (mmol/L) | LDL-C (mmol/L) | AI | 
|---|---|---|---|---|---|
| NC | 0.71 ± 0.19 | 1.59 ± 0.19 | 1.02 ± 0.20 | 0.34 ± 0.09 | 0.58 ± 0.17 | 
| MC | 1.97 ± 0.80 ΔΔ | 2.63 ± 0.67 ΔΔ | 0.78 ± 0.13 Δ | 0.83 ± 0.33 ΔΔ | 2.44 ± 0.95 ΔΔ | 
| PC | 0.95 ± 0.37 ** | 2.38 ± 0.37 | 0.76 ± 0.15 | 0.81 ± 0.20 * | 2.16 ± 0.44 | 
| H-RBDF | 1.01 ± 0.31 ** | 2.15 ± 0.22 * | 0.79 ± 0.07 | 0.70 ± 0.10 * | 1.72 ± 0.31 * | 
| N-RBDF | 0.95 ± 0.26 ** | 2.23 ± 0.37 | 0.73 ± 0.15 | 0.69 ± 0.17 * | 2.09 ± 0.40 | 
| E-RBDF | 0.76 ± 0.18 ** | 1.97 ± 0.41 * | 0.78 ± 0.16 | 0.74 ± 0.14 * | 1.55 ± 0.46 * | 
| Groups | GSH-Px (U/mgprot) | SOD (U/mgprot) | MDA (nmol/mgprot) | 
|---|---|---|---|
| NC | 102.7 ± 10.16 | 32.2 ± 5.17 | 26.9 ± 3.36 | 
| MC | 50.0 ± 8.96 ΔΔ | 5.6 ± 1.50 ΔΔ | 151.5 ± 21.13 ΔΔ | 
| PC | 76.4 ± 13.66 ** | 6.9 ± 1.74 | 56.1 ± 10.73 ** | 
| H-RBDF | 72.2 ± 12.36 ** | 8.8 ± 2.83 * | 78.7 ± 15.66 ** | 
| N-RBDF | 67.7 ± 9.86 * | 7.2 ± 1.50 | 82.6 ± 10.44 ** | 
| E-RBDF | 86.9 ± 5.73 ** | 7.8 ± 1.52 | 63.7 ± 14.64 ** | 
| Disclaimer/Publisher’s Note: The statements, opinions and data contained in all publications are solely those of the individual author(s) and contributor(s) and not of MDPI and/or the editor(s). MDPI and/or the editor(s) disclaim responsibility for any injury to people or property resulting from any ideas, methods, instructions or products referred to in the content. | 
© 2023 by the authors. Licensee MDPI, Basel, Switzerland. This article is an open access article distributed under the terms and conditions of the Creative Commons Attribution (CC BY) license (https://creativecommons.org/licenses/by/4.0/).
Share and Cite
Zhu, R.; Tan, S.; Wang, Y.; Zhang, L.; Huang, L. Physicochemical Properties and Hypolipidemic Activity of Dietary Fiber from Rice Bran Meal Obtained by Three Oil-Production Methods. Foods 2023, 12, 3695. https://doi.org/10.3390/foods12193695
Zhu R, Tan S, Wang Y, Zhang L, Huang L. Physicochemical Properties and Hypolipidemic Activity of Dietary Fiber from Rice Bran Meal Obtained by Three Oil-Production Methods. Foods. 2023; 12(19):3695. https://doi.org/10.3390/foods12193695
Chicago/Turabian StyleZhu, Renwei, Sha Tan, Yayi Wang, Linwei Zhang, and Liang Huang. 2023. "Physicochemical Properties and Hypolipidemic Activity of Dietary Fiber from Rice Bran Meal Obtained by Three Oil-Production Methods" Foods 12, no. 19: 3695. https://doi.org/10.3390/foods12193695
APA StyleZhu, R., Tan, S., Wang, Y., Zhang, L., & Huang, L. (2023). Physicochemical Properties and Hypolipidemic Activity of Dietary Fiber from Rice Bran Meal Obtained by Three Oil-Production Methods. Foods, 12(19), 3695. https://doi.org/10.3390/foods12193695
 
        

 
       