Effect of Capsaicin and Dihydrocapsaicin in Capsicum on Myofibrillar Protein in Duck Meat
Abstract
:1. Introduction
2. Materials and Methods
2.1. Materials and Reagents
2.2. Extraction of MPs
2.3. MPs Sample Preparation
2.4. Carbonyl Content
2.5. Free Sulfhydryl Content
2.6. Surface Hydrophobicity
2.7. Hydroxyl Radical Scavenging Activity
2.8. DPPH Radical Scavenging Activity
2.9. Differential Scanning Calorimetry (DSC)
2.10. Particle Size
2.11. Molecular Fluorescence
2.12. Statistical Analysis
3. Results and Discussion
3.1. Carbonyl and Free Sulfhydryl Group Content
3.2. Surface Hydrophobicity
3.3. •OH and DPPH Scavenging Rates
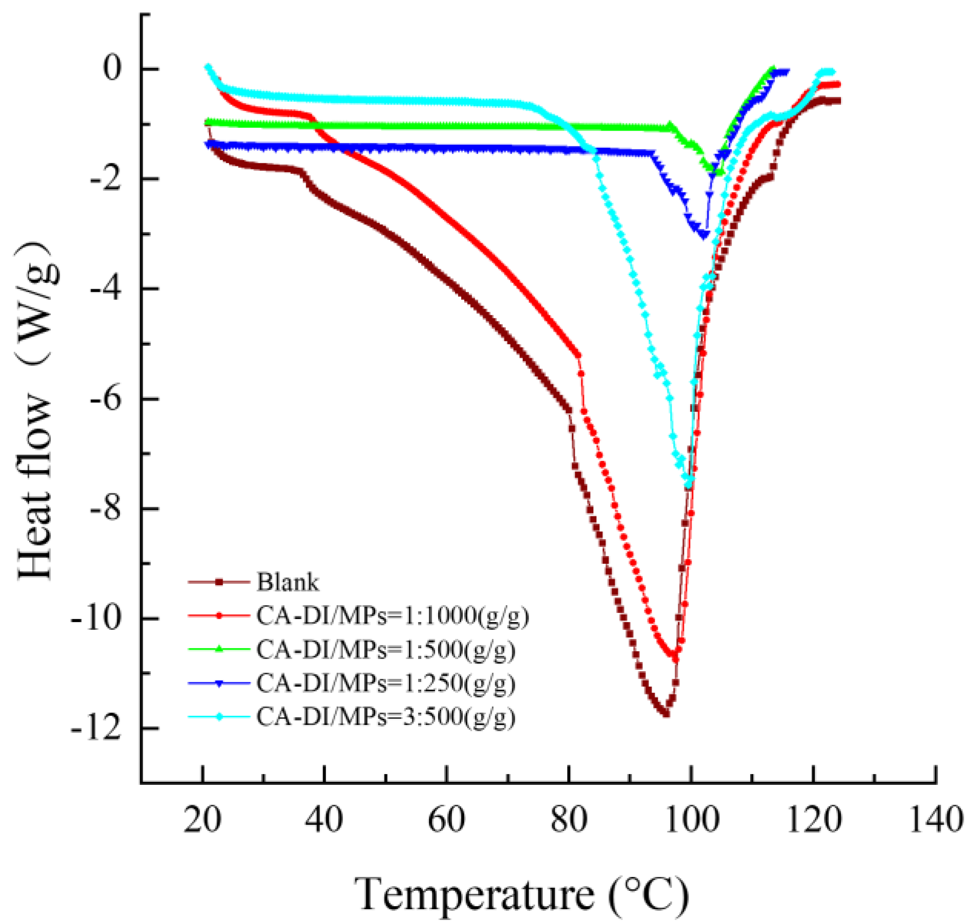
3.4. DSC Analysis
3.5. Particle Size
3.6. Endogenous Amino Acids
4. Conclusions
Author Contributions
Funding
Data Availability Statement
Conflicts of Interest
Appendix A

References
- Chen, X.; Zhao, J.Y.; Zhu, L.X.; Luo, X.; Mao, Y.W.; Hopkins, D.L.; Zhang, Y.M.; Dong, P.C. Effect of modified atmosphere packaging on shelf life and bacterial community of roast duck meat. Food Res. Int. 2020, 137, 109645. [Google Scholar] [CrossRef] [PubMed]
- Khan, M.A.; Ali, S.; Yang, H.; Kamboh, A.A.; Zhou, G. Improvement of color, texture and food safety of ready-to-eat high pressure-heat treated duck breast. Food Chem. 2018, 277, 646–654. [Google Scholar] [CrossRef] [PubMed]
- Qiao, Y.; Huang, J.; Chen, Y.; Chen, H.; Zhao, L.; Huang, M.; Zhou, G.H. Meat quality, fatty acid composition and sensory evaluation of Cherry Valley, Spent Layer and Crossbred ducks. Anim. Sci. J. 2017, 88, 156–165. [Google Scholar] [CrossRef] [PubMed]
- Jo, Y.; An, K.A.; Arshad, M.S.; Kwon, J.H.; Kwon, J.H. Effects of e-beam irradiation on amino acids, fatty acids, and volatiles of smoked duck meat during storage. Innov. Food Sci. Emerg. 2018, 47, 101–109. [Google Scholar] [CrossRef]
- Li, K.; Kang, Z.L.; Zou, Y.F.; Xu, X.L.; Zhou, G.H. Effect of ultrasound treatment on functional properties of reduced-salt chicken breast meat batter. J. Food Sci. Technol. 2015, 52, 2622–2633. [Google Scholar] [CrossRef]
- Sun, W.; Zhou, F.; Sun, D.W.; Zhao, M. Effect of oxidation on the emulsifying properties of myofibrillar proteins. Food Bioprocess Tech. 2013, 6, 1703–1712. [Google Scholar] [CrossRef]
- Smaoui, S.; Ennouri, K.; Chakchouk-Mtibaa, A.; Karray-Rebai, I.; Hmidi, M.; Bouchaala, K.; Mellouli, L. Relationships between textural modifications, lipid and protein oxidation and sensory attributes of refrigerated turkey meat sausage treated with bacteriocin bacTN635. Food Bioprocess Tech. 2017, 10, 1655–1667. [Google Scholar] [CrossRef]
- Wang, H.; Luo, Y.K.; Ertbjerg, P. Myofibrillar protein gel properties are influenced by oxygen concentration in modified atmosphere packaged minced beef. Food Chem. 2017, 230, 475–481. [Google Scholar] [CrossRef]
- Sun, W.Z.; Zhao, Q.Z.; Zhao, M.M.; Yang, B.; Cui, C.; Ren, J.Y. Structural evaluation of myofibrillar proteins during processing of Cantonese sausage by Raman spectroscopy. J. Agric. Food Chem. 2011, 59, 11070–11077. [Google Scholar] [CrossRef]
- Estevez, M.; Ventanas, S.; Cava, R. Protein oxidation in frankfurters with increasing levels of added rosemary essential oil: Effect on color and texture deterioration. J. Food Sci. 2005, 70, C427–C432. [Google Scholar] [CrossRef]
- Stadtman, E.R.; Berlett, B.S. Reactive oxygen-mediated protein oxidation in aging and disease. Chem. Res. Toxicol. 1997, 10, 485–494. [Google Scholar] [CrossRef] [PubMed]
- Park, D.; Xiong, Y.L.; Alderton, A.L. Concentration effects of hydroxyl radical oxidizing systems on biochemical properties of porcine muscle myofibrillar protein. Food Chem. 2007, 101, 1239–1246. [Google Scholar] [CrossRef]
- Chen, N.N.; Zhao, M.M.; Sun, W.Z. Effect of protein oxidation on the in vitro digestibility of soy protein isolate. Food Chem. 2013, 141, 3224–3229. [Google Scholar] [CrossRef] [PubMed]
- Diane, d.L.P.; Veronique, S.L.; Sayd, T.; Gatellier, P. Oxidation and nitrosation of meat proteins under gastro-intestinal conditions: Consequences in terms of nutritional and health values of meat. Food Chem. 2018, 243, 295–304. [Google Scholar]
- Veronique, S.L.; Astruc, T.; Marinova, P.; Greve, E.; Gatellier, P. Effect of meat cooking on physicochemical state and in vitro digestibility of myofibrillar proteins. J. Agr. Food Chem. 2008, 56, 1488–1494. [Google Scholar]
- Estévez, M.; Luna, C. Dietary protein oxidation: A silent threat to human health? Crit. Rev. Food Sci. 2017, 57, 3781–3793. [Google Scholar] [CrossRef]
- Marcio, C.; Maria, F.B.; Patricia, M.; Isabel, C.F.R.F. Adding molecules to food, pros and cons: A review on synthetic and natural food additives. Compr. Rev. Food Sci. Food Saf. 2014, 13, 377–399. [Google Scholar]
- Elizabeth, D.L.T.J.; Gassara, F.; Kouassi, A.P.; Brar, S.K.; Belkacemi, K. Spice use in food: Properties and benefits. Crit. Rev. Food Sci. 2017, 57, 1078–1088. [Google Scholar] [CrossRef]
- Kanatt, S.R.; Chawla, S.P.; Sharma, A. Antioxidant and radio-protective activities of lemon grass and star anise extracts. Food Biosci. 2014, 6, 24–30. [Google Scholar] [CrossRef]
- Cao, Y.Y.; Zhao, P.; Fan, W.G.; Liu, Y.H. Antioxidant mechanism of yam saponin, hesperidin, ginger extract on oxidative chicken myofibrillar protein. J. Biobased. Mater. Bio. 2021, 15, 428–434. [Google Scholar] [CrossRef]
- Chan, C.L.; Gan, R.Y.; Shah, N.P.; Corke, H. Polyphenols from selected dietary spices and medicinal herbs differentially affect common food-borne pathogenic bacteria and lactic acid bacteria. Food Control 2018, 92, 437–443. [Google Scholar] [CrossRef]
- Vallverdu-Queralt, A.; Regueiro, J.; Martinez-Huelamo, M.; Alvarenga, J.F.R.; Leal, L.N.; Lamuela-Raventos, R.M. A comprehensive study on the phenolic profile of widely used culinary herbs and spices: Rosemary, thyme, oregano, cinnamon, cumin and bay. Food Chem. 2014, 154, 299–307. [Google Scholar] [CrossRef]
- Saowarose, T.; Thittaya, D.U.; Kwanchanok, U.; Thanaporn, S.; Nathawut, S.; Thanet, L.; Pimonrat, K. Beneficial effects of capsaicin and dihydrocapsaicin on endothelial inflammation, nitric oxide production and antioxidant activity. Biomed. Pharmacother. 2022, 154, 113521. [Google Scholar]
- Hasan, H.; Aliek, A. Addition of capsicum oleoresin, carvacrol, cinnamaldehyde and their mixtures to the broiler diet ii: Effects on meat quality. J. Anim. Sci. Tech. 2018, 60, 9. [Google Scholar]
- Kim, Y.K. Quality improvement of the chicken sausage with pepper seed (capsicum annuum L.). Curr. Res. Nutr. Food Sci. 2020, 8, 829–836. [Google Scholar] [CrossRef]
- Luis, M.; Irene, C.; Jose, A.B.; Pedro, R. Effect of capsicum annuum (red sweet and cayenne) and piper nigrum (black and white) pepper powders on the shelf life of fresh pork sausages packaged in modified atmosphere. J. Food Sci. 2006, 71, S48–S53. [Google Scholar]
- Park, J.H.; Kim, C.S. Effect of paprika (capsicum annuum L.) on inhibition of lipid oxidation in lard-pork model system during storage at 4 °C. Food Sci. Biotechnol. 2007, 16, 753–758. [Google Scholar]
- Lu, M.W.; Chen, C.Y.; Lan, Y.Q.; Xiao, J.; Li, R.; Huang, J.Q.; Huang, Q.R.; Cao, Y.; Ho, C.T. Capsaicin-the major bioactive ingredient of chili peppers: Bio-efficacy and delivery systems. Food Funct. 2020, 11, 2848–2860. [Google Scholar] [CrossRef]
- Sedmak, J.J.; Grossberg, S.E. A rapid, sensitive, and versatile assay for protein using Coomassie brilliant blue G 250. Anal. Biochem. 1977, 79, 544–552. [Google Scholar] [CrossRef]
- Rodriguez-Carpena, J.G.; Morcuende, D.; Estevez, M. Avocado by-products as inhibitors of color deterioration and lipid and protein oxidation in raw porcine patties subjected to chilled storage. Meat Sci. 2011, 89, 166–173. [Google Scholar] [CrossRef]
- Supreetha, B.U.; Chandra, M.V.; Shamasundar, B.A. Effect of setting on the properties of proteins from threadfin bream (nemipterus japonicus) fish mince. Int. J. Cur. Res. Rev. 2015, 7, 19–24. [Google Scholar]
- Guo, J.; He, Z.Y.; Wu, S.F.; Zeng, M.M.; Chen, J. Effects of concentration of flavor compounds on interaction between soy protein isolate and flavor compounds. Food Hydrocolloid. 2019, 100, 105388. [Google Scholar] [CrossRef]
- Zhu, C.Z.; Zhang, W.G.; Zhou, G.H.; Xu, X.L. Identification of antioxidant peptides of Jinhua ham generated in the products and through the simulated gastrointestinal digestion system. J. Sci. Food Agr. 2016, 96, 99–108. [Google Scholar] [CrossRef] [PubMed]
- Nunes, R.; Anastacio, A.; Carvalho, I.S. Antioxidant and free radical scavenging activities of different plant parts from two erica species. J. Food Quality. 2012, 35, 307–314. [Google Scholar] [CrossRef]
- Jia, G.L.; Nirasawa, S.; Ji, X.H.; Luo, Y.K.; Liu, H.J. Physicochemical changes in myofibrillar proteins extracted from pork tenderloin thawed by a high-voltage electrostatic field. Food Chem. 2018, 240, 910–916. [Google Scholar] [CrossRef]
- Xiong, Y.; Li, Q.R.; Miao, S.; Zhang, Y.; Zheng, B.D.; Zhang, L.T. Effect of ultrasound on physicochemical properties of emulsion stabilized by fish myofibrillar protein and xanthan gum. Innov. Food Sci. Emerg. 2019, 54, 225–234. [Google Scholar] [CrossRef]
- Huang, F.; Huang, M.; Xu, X.L.; Zhou, G.H. Influence of heat on protein degradation, ultrastructure and eating quality indicators of pork. J. Sci. Food Agr. 2011, 91, 443–448. [Google Scholar] [CrossRef]
- Xiong, Y.L.; Park, D.; Zu, T. Variation in the cross-linking pattern of porcine myofibrillar protein exposed to three oxidative environments. J. Agr. Food Chem. 2009, 57, 153–159. [Google Scholar] [CrossRef]
- Wiking, L.; Nielsen, J.H. The influence of oxidation on proteolysis in raw milk. J. Dairy Res. 2004, 71, 196–200. [Google Scholar] [CrossRef]
- Valquíria, C.S.F.; David, M.; Marta, S.M.; Fabio, A.P.S.; Mario, E. Role of protein oxidation in the nutritional loss and texture changes in ready-to-eat chicken patties. Inter. J. Food Sci. Tech. 2018, 53, 1518–1526. [Google Scholar]
- Ganhao, R.; Morcuende, D.; Estevez, M. Tryptophan depletion and formation of α-aminoadipic and γ-glutamic semialdehydes in porcine burger patties with added phenolic-rich fruit extracts. J. Agr. Food Chem. 2010, 58, 3541–3548. [Google Scholar] [CrossRef] [PubMed]
- Bao, Y.L.; Boeren, S.; Ertbjerg, P. Myofibrillar protein oxidation affects filament charges, aggregation and water-holding. Meat Sci. 2018, 135, 102–108. [Google Scholar] [CrossRef]
- Bu, X.R.; Wang, H.H.; Wang, Y.J.; Ojangba, T.; Nan, H.L.; Zhang, L.; Yu, Q.L. Effects of iron-catalyzed oxidation and methemoglobin oxidation systems on endogenous enzyme activity and myofibrillar protein degradation in yak meat. Food Chem. 2023, 404, 134647. [Google Scholar] [CrossRef] [PubMed]
- Morzel, M.; Gatellier, P.; Sayd, T.; Renerre, M.; Laville, E. Chemical oxidation decreases proteolytic susceptibility of skeletal muscle myofibrillar proteins. Meat Sci. 2006, 73, 536–543. [Google Scholar] [CrossRef] [PubMed]
- Mitra, B.; Rinnan, A.; Ruiz-Carrascal, J. Tracking hydrophobicity state, aggregation behaviour and structural modifications of pork proteins under the influence of assorted heat treatments. Food Res. Int. 2017, 101, 266–273. [Google Scholar] [CrossRef]
- Bao, Y.; Puolanne, E.; Ertbjerg, P. Effect of oxygen concentration in modified atmosphere packaging on color and texture of beef patties cooked to different temperatures. Meat Sci. 2016, 121, 189–195. [Google Scholar] [CrossRef]
- Xu, B.; He, W.J.; Yi, Y.; Wang, H.X.; Xu, W.; Guo, D.J. The impacting mechanism of β-sanshool in zanthoxylum bungeanum maxim on the structure of myofibrillar protein in duck meat. LWT Food Sci. Technol. 2023, 182, 114838. [Google Scholar] [CrossRef]
- Wattanachant, S.; Benjakul, S.; Ledward, D.A. Effect of heat treatment on changes in texture, structure and properties of Thai indigenous chicken muscle. Food Chem. 2005, 93, 337–348. [Google Scholar] [CrossRef]
- Zhang, H.Y.; Wu, J.J.; Guo, X.Y. Effects of antimicrobial and antioxidant activities of spice extracts on raw chicken meat quality. Food Sci. Hum. Well. 2016, 5, 39–48. [Google Scholar] [CrossRef]
- Muppalla, S.R.; Chawla, S.P. Effect of gum arabic-polyvinyl alcohol films containing seed cover extract of zanthoxylum rhetsa on shelf life of refrigerated ground chicken meat. J. Food Safety. 2018, 38, e12460. [Google Scholar] [CrossRef]
- Latorre, M.E.; Palacio, M.I.; Velázquez, D.E.; Purslow, P.P. Specific effects on strength and heat stability of intramuscular connective tissue during long time low temperature cooking. Meat Sci. 2019, 153, 109–116. [Google Scholar] [CrossRef]
- Tornberg, E. Effects of heat on meat proteins—Implications on structure and quality of meat products. Meat Sci. 2005, 70, 493–508. [Google Scholar] [CrossRef] [PubMed]
- Su, C.; He, Z.F.; Li, H.J. Covalent interactions between rabbit myofibrillar proteins and quercetin: A promising approach to enhance protein antioxidant capacity and thermal stability. LWT Food Sci. Technol. 2022, 171, 114132. [Google Scholar] [CrossRef]
- Zhang, M.; Li, C.; Zhang, Y.; Pan, J.; Huang, S.; He, L.; Jin, G. Impact of salt content and hydrogen peroxide-induced oxidative stress on protein oxidation, conformational/morphological changes, and micro-rheological properties of porcine myofibrillar proteins. Food Chem. 2021, 370, 131074. [Google Scholar] [CrossRef] [PubMed]
- Bao, Y.; Ertbjerg, P.; Estévez, M.; Yuan, L.; Gao, R. Freezing of meat and aquatic food: Underlying mechanisms and implications on protein oxidation. Compr. Rev. Food Sci. Food Saf. 2021, 20, 5548–5569. [Google Scholar] [CrossRef]
- Chen, H.S.; Diao, J.J.; Li, Y.Y.; Chen, Q.; Kong, B.H. The effectiveness of clove extracts in the inhibition of hydroxyl radical oxidation-induced structural and rheological changes in porcine myofibrillar protein. Meat Sci. 2016, 111, 60–66. [Google Scholar] [CrossRef] [PubMed]
- Bao, Y.L.; Ertbjerg, P. Effects of protein oxidation on the texture and water-holding of meat: A review. Crit. Rev. Food Sci. 2019, 59, 3564–3578. [Google Scholar] [CrossRef] [PubMed]
- Huang, J.J.; Zeng, S.W.; Xiong, S.B.; Huang, Q.L. Steady, dynamic, and creep-recovery rheological properties of myofibrillar protein from grass carp muscle. Food Hydrocolloid. 2016, 61, 48–56. [Google Scholar] [CrossRef]
- Zhang, L.; Sun, J.; Qi, Y.; Song, Y.Q.; Yang, Z.Y.; Li, Z.; Liu, L.; Wang, P.; Xu, X.L.; Zhou, G.H. Forming nanoconjugates or inducing macroaggregates, curcumin dose effect on myosin assembling revealed by molecular dynamics simulation. Colloids Surf. A Physicochem. Eng. Asp. 2020, 607, 125415. [Google Scholar] [CrossRef]
- Li, S.Y.; Yang, X.; Zhang, Y.Y.; Ma, H.L.; Liang, Q.F.; Qu, W.J.; He, R.H.; Zhou, C.S.; Mahunu, G.K. Effects of ultrasound and ultrasound assisted alkaline pretreatments on the enzymolysis and structural characteristics of rice protein. Ultrason. Sonochem. 2016, 31, 20–28. [Google Scholar] [CrossRef]
- Wang, H.T.; Zhu, J.M.; Zhang, H.W.; Chen, Q.; Kong, B.H. Understanding interactions among aldehyde compounds and porcine myofibrillar proteins by spectroscopy and molecular dynamics simulations. J. Mol. Liq. 2022, 349, 59. [Google Scholar] [CrossRef]
- Xie, W.L.; Huang, Y.; Xiang, Y.Z.; Xiong, S.B.; Manyande, A.; Du, H.Y. Insights into the binding mechanism of polyphenols and fish myofibrillar proteins explored using multi-spectroscopic methods. Food Bioprocess Tech. 2020, 13, 797–806. [Google Scholar] [CrossRef]





| Ratio of CA–DI to MPs (g/g) | Initial Denaturation Temperature Td (°C) | Heat Absorption (J g −1) | Peak Denaturation Temperature (°C) |
|---|---|---|---|
| Blank group | 69.93 ± 0.35 a | 1825.00 ± 22.17 e | 93.85 ± 1.49 a |
| 1:1000 | 77.92 ± 1.14 b | 1714.00 ± 24.30 d | 97.27 ± 1.04 ab |
| 1:500 | 96.62 ± 1.35 d | 200.24 ± 5.03 a | 103.04 ± 1.48 c |
| 2:500 | 94.26 ± 1.09 d | 314.42 ± 7.54 b | 101.68 ± 1.63 bc |
| 3:500 | 84.47 ± 0.64 c | 765.34 ± 12.82 c | 98.35 ± 0.85 b |
Disclaimer/Publisher’s Note: The statements, opinions and data contained in all publications are solely those of the individual author(s) and contributor(s) and not of MDPI and/or the editor(s). MDPI and/or the editor(s) disclaim responsibility for any injury to people or property resulting from any ideas, methods, instructions or products referred to in the content. |
© 2023 by the authors. Licensee MDPI, Basel, Switzerland. This article is an open access article distributed under the terms and conditions of the Creative Commons Attribution (CC BY) license (https://creativecommons.org/licenses/by/4.0/).
Share and Cite
Sun, W.; He, W.; Guo, D.; Xu, W. Effect of Capsaicin and Dihydrocapsaicin in Capsicum on Myofibrillar Protein in Duck Meat. Foods 2023, 12, 3532. https://doi.org/10.3390/foods12193532
Sun W, He W, Guo D, Xu W. Effect of Capsaicin and Dihydrocapsaicin in Capsicum on Myofibrillar Protein in Duck Meat. Foods. 2023; 12(19):3532. https://doi.org/10.3390/foods12193532
Chicago/Turabian StyleSun, Wei, Wenjie He, Danjun Guo, and Wei Xu. 2023. "Effect of Capsaicin and Dihydrocapsaicin in Capsicum on Myofibrillar Protein in Duck Meat" Foods 12, no. 19: 3532. https://doi.org/10.3390/foods12193532
APA StyleSun, W., He, W., Guo, D., & Xu, W. (2023). Effect of Capsaicin and Dihydrocapsaicin in Capsicum on Myofibrillar Protein in Duck Meat. Foods, 12(19), 3532. https://doi.org/10.3390/foods12193532

