Effect on the Quality of Larimichthys crocea Pretreated with Dual-Frequency Orthogonal Ultrasonic-Assisted Immersion with Different Powers during Refrigerated Storage at 4 °C
Abstract
:1. Introduction
2. Materials and Methods
2.1. Preparation of Fillets from LYCs and Sample Processing
2.2. Microbiological Analysis
2.3. Determination of pH
2.4. Determination of WHC
2.5. TVB−N
2.6. Determination of TBA
2.7. K Value
2.8. Determination of Texture
2.9. Scanning Electron Microscope (SEM)
2.10. Determination of Total Sulfhydryl Content
2.11. Determination of Ca2+−ATPase Activity
2.12. Determination of Myofibril Fragmentation Index (MFI)
2.13. Statistical Analysis
3. Results and Discussion
3.1. Microbiological Analysis
3.2. pH Value
3.3. WHC
3.4. TVB−N
3.5. TBA
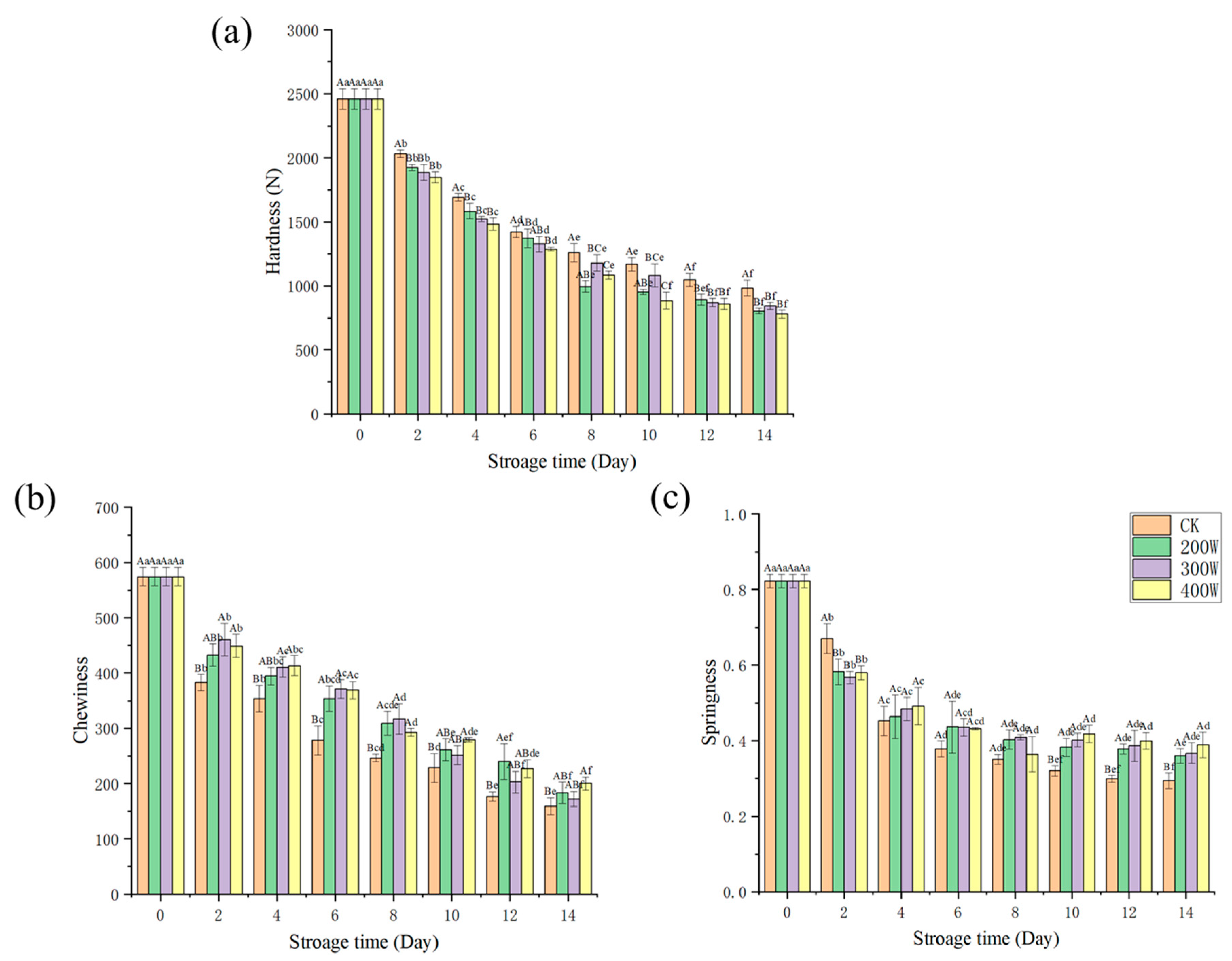
3.6. Texture
3.7. Scanning Electron Microscope
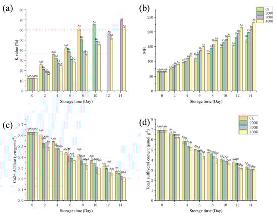
3.8. K Value
3.9. MFI
3.10. Ca2+−ATPase
3.11. Total Sulfhydryl Content
4. Conclusions
Author Contributions
Funding
Institutional Review Board Statement
Data Availability Statement
Acknowledgments
Conflicts of Interest
References
- Ma, X.; Mei, J.; Xie, J. Effects of Multi-Frequency Ultrasound on the Freezing Rates, Quality Properties and Structural Characteristics of Cultured Large Yellow Croaker (Larimichthys crocea). Ultrason. Sonochem. 2021, 76, 105657. [Google Scholar] [CrossRef] [PubMed]
- Zhang, J.; Zhou, G.; Ji, S.; Zou, L.; Liang, J.; Walayat, N.; Chen, J.; Lyu, F.; Ding, Y. Effect of Pulse Light on the Quality of Refrigerated (4 °C) Large Yellow Croaker (Pseudosciaena crocea). LWT 2022, 167, 113855. [Google Scholar] [CrossRef]
- Shi, Z.; Zhong, S.; Yan, W.; Liu, M.; Yang, Z.; Qiao, X. The Effects of Ultrasonic Treatment on the Freezing Rate, Physicochemical Quality, and Microstructure of the Back Muscle of Grass Carp (Ctenopharyngodon idella). LWT 2019, 111, 301–308. [Google Scholar] [CrossRef]
- Ekonomou, S.I.; Boziaris, I.S. Non-Thermal Methods for Ensuring the Microbiological Quality and Safety of Seafood. Appl. Sci. 2021, 11, 833. [Google Scholar] [CrossRef]
- Ansari, J.A.; Ismail, M.; Farid, M. Investigation of the Use of Ultrasonication Followed by Heat for Spore Inactivation. Food Bioprod. Process. 2017, 104, 32–39. [Google Scholar] [CrossRef]
- Khadhraoui, B.; Ummat, V.; Tiwari, B.K.; Fabiano-Tixier, A.S.; Chemat, F. Review of Ultrasound Combinations with Hybrid and Innovative Techniques for Extraction and Processing of Food and Natural Products. Ultrason. Sonochem. 2021, 76, 105625. [Google Scholar] [CrossRef]
- Feng, R.; Zhao, Y.; Zhu, C.; Mason, T.J. Enhancement of Ultrasonic Cavitation Yield by Multi-Frequency Sonication. Ultrason. Sonochem. 2002, 9, 231–236. [Google Scholar] [CrossRef]
- Barati, A.H.; Mokhtari-Dizaji, M.; Mozdarani, H.; Bathaie, Z.; Hassan, Z.M. Effect of Exposure Parameters on Cavitation Induced by Low-Level Dual-Frequency Ultrasound. Ultrason. Sonochem. 2007, 14, 783–789. [Google Scholar] [CrossRef]
- Tian, Y.; Zhang, P.; Zhu, Z.; Sun, D.-W. Development of a Single/Dual-Frequency Orthogonal Ultrasound-Assisted Rapid Freezing Technique and Its Effects on Quality Attributes of Frozen Potatoes. J. Food Eng. 2020, 286, 110112. [Google Scholar] [CrossRef]
- Zhai, W.; Liu, H.M.; Hong, Z.Y.; Xie, W.J.; Wei, B. A Numerical Simulation of Acoustic Field within Liquids Subject to Three Orthogonal Ultrasounds. Ultrason. Sonochem. 2017, 34, 130–135. [Google Scholar] [CrossRef]
- Sivakumar, M. Kinetics of P-Nitrophenol Degradation: Effect of Reaction Conditions and Cavitational Parameters for a Multiple Frequency System. Chem. Eng. J. 2002, 85, 327–338. [Google Scholar] [CrossRef]
- Zhao, X.; Lan, W.; Zhai, Y.; Xie, J. Multi-Frequency Ultrasound:A Potential Method to Improve the Effects of Surface Decontamination and Structural Characteristics on Large Yellow Croaker (Pseudosciaena crocea) during Refrigerated Storage. Ultrason. Sonochem. 2021, 79, 105787. [Google Scholar] [CrossRef] [PubMed]
- Zhang, C.; Xie, J. Ultrasound-Assisted Slightly Acidic Electrolyzed Water in Aquatic Product Sterilization: A Review. Foods 2022, 11, 3863. [Google Scholar] [CrossRef] [PubMed]
- Amiri, A.; Sharifian, P.; Soltanizadeh, N. Application of Ultrasound Treatment for Improving the Physicochemical, Functional and Rheological Properties of Myofibrillar Proteins. Int. J. Biol. Macromol. 2018, 111, 139–147. [Google Scholar] [CrossRef]
- Cheng, H.; Bian, C.; Yu, H.; Mei, J.; Xie, J. Effect of Ultrasound-Assisted Freezing Combined with Potassium Alginate on the Quality Attributes and Myofibril Structure of Large Yellow Croaker (Pseudosciaena crocea). LWT 2022, 167, 113869. [Google Scholar] [CrossRef]
- Lan, W.; Zhang, B.; Zhou, D.; Mo, Y.; Feng, H.; Xie, J. Effect of Ultrasonic Combined with Slightly Acidic Electrolyzed Water Treatment on Quality Changes of Vacuum-Packaged Sea Bass (Lateolabrax japonicas) during Refrigerated Storage. Food Sci. 2022, 43, 62–68. [Google Scholar]
- Liu, W.; Mei, J.; Xie, J. Effect of Locust Bean Gum-Sodium Alginate Coatings Incorporated with Daphnetin Emulsions on the Quality of Scophthalmus Maximus at Refrigerated Condition. Int. J. Biol. Macromol. 2021, 170, 129–139. [Google Scholar] [CrossRef]
- Choi, M.-J.; Min, S.-G.; Hong, G.-P. Effects of Pressure-Shift Freezing Conditions on the Quality Characteristics and Histological Changes of Pork. LWT-Food Sci. Technol. 2016, 67, 194–199. [Google Scholar] [CrossRef]
- Sáez, M.I.; Suárez, M.D.; Martínez, T.F. Effects of Alginate Coating Enriched with Tannins on Shelf Life of Cultured Rainbow Trout (Oncorhynchus mykiss) Fillets. LWT 2020, 118, 108767. [Google Scholar] [CrossRef]
- Li, P.; Peng, Y.; Mei, J.; Xie, J. Effects of Microencapsulated Eugenol Emulsions on Microbiological, Chemical and Organoleptic Qualities of Farmed Japanese Sea Bass (Lateolabrax japonicus) during Cold Storage. LWT 2020, 118, 108831. [Google Scholar] [CrossRef]
- Zhou, R.; Liu, Y.; Xie, J.; Wang, X. Effects of Combined Treatment of Electrolysed Water and Chitosan on the Quality Attributes and Myofibril Degradation in Farmed Obscure Puffer Fish (Takifugu obscurus) during Refrigerated Storage. Food Chem. 2011, 129, 1660–1666. [Google Scholar] [CrossRef]
- Shi, X.; Zhang, J.; Shi, C.; Tan, Y.; Hong, H.; Luo, Y. Nondestructive Prediction of Freshness for Bighead Carp (Hypophthalmichthys nobilis) Head by Excitation-Emission Matrix (EEM) Analysis Based on Fish Eye Fluid: Comparison of BPNNs and RBFNNs. Food Chem. 2022, 382, 132341. [Google Scholar] [CrossRef] [PubMed]
- Zhao, Y.; Lan, W.; Shen, J.; Xu, Z.; Xie, J. Combining Ozone and Slurry Ice Treatment to Prolong the Shelf-Life and Quality of Large Yellow Croaker (Pseudosciaena crocea). LWT 2022, 154, 112615. [Google Scholar] [CrossRef]
- Yang, F.; Jia, S.; Liu, J.; Gao, P.; Yu, D.; Jiang, Q.; Xu, Y.; Yu, P.; Xia, W.; Zhan, X. The Relationship between Degradation of Myofibrillar Structural Proteins and Texture of Superchilled Grass Carp (Ctenopharyngodon idella) Fillet. Food Chem. 2019, 301, 125278. [Google Scholar] [CrossRef]
- Culler, R.D.; Parrish, F.C., Jr.; Smith, G.C.; Cross, H.R. Relationship of Myofibril Fragmentation Index to Certain Chemical, Physical and Sensory Characteristics of Bovine Longissimus Muscle. J. Food Sci. 1978, 43, 1177–1180. [Google Scholar] [CrossRef]
- Zhao, X.; Chen, L.; Wongmaneepratip, W.; He, Y.; Zhao, L.; Yang, H. Effect of Vacuum Impregnated Fish Gelatin and Grape Seed Extract on Moisture State, Microbiota Composition, and Quality of Chilled Seabass Fillets. Food Chem. 2021, 354, 129581. [Google Scholar] [CrossRef] [PubMed]
- Yang, Z.; Tao, X.; Zhang, H.; Rao, S.; Gao, L.; Pan, Z.; Jiao, X. Isolation and Characterization of Virulent Phages Infecting Shewanella Baltica and Shewanella Putrefaciens, and Their Application for Biopreservation of Chilled Channel Catfish (Ictalurus punctatus). Int. J. Food Microbiol. 2019, 292, 107–117. [Google Scholar] [CrossRef]
- Lan, W.; Lang, A.; Zhou, D.; Xie, J. Combined Effects of Ultrasound and Slightly Acidic Electrolyzed Water on Quality of Sea Bass (Lateolabrax japonicus) Fillets during Refrigerated Storage. Ultrason. Sonochem. 2021, 81, 105854. [Google Scholar] [CrossRef]
- Li, T.; Li, J.; Hu, W.; Li, X. Quality Enhancement in Refrigerated Red Drum (Sciaenops ocellatus) Fillets Using Chitosan Coatings Containing Natural Preservatives. Food Chem. 2013, 138, 821–826. [Google Scholar] [CrossRef]
- Khan, M.A.; Parrish, C.C.; Shahidi, F. Quality Indicators of Cultured Newfoundland Blue Mussels (Mytilus edulis) during Storage on Ice: Microbial Growth, PH, Lipid Oxidation, Chemical Composition Characteristics, and Microbial Fatty Acid Contents. J. Agric. Food Chem. 2005, 53, 7067–7073. [Google Scholar] [CrossRef]
- Merlo, T.C.; Contreras-Castillo, C.J.; Saldaña, E.; Barancelli, G.V.; Dargelio, M.D.B.; Yoshida, C.M.P.; Ribeiro Junior, E.E.; Massarioli, A.; Venturini, A.C. Incorporation of Pink Pepper Residue Extract into Chitosan Film Combined with a Modified Atmosphere Packaging: Effects on the Shelf Life of Salmon Fillets. Food Res. Int. 2019, 125, 108633. [Google Scholar] [CrossRef] [PubMed]
- Olatunde, O.O.; Benjakul, S.; Vongkamjan, K. Combined Effects of High Voltage Cold Atmospheric Plasma and Antioxidants on the Qualities and Shelf-Life of Asian Sea Bass Slices. Innov. Food Sci. Emerg. Technol. 2019, 54, 113–122. [Google Scholar] [CrossRef]
- Qiu, X.; Chen, S.; Liu, G.; Yang, Q. Quality Enhancement in the Japanese Sea Bass (Lateolabrax japonicas) Fillets Stored at 4°C by Chitosan Coating Incorporated with Citric Acid or Licorice Extract. Food Chem. 2014, 162, 156–160. [Google Scholar] [CrossRef] [PubMed]
- Singh, A.; Benjakul, S. The Combined Effect of Squid Pen Chitooligosaccharides and High Voltage Cold Atmospheric Plasma on the Shelf-Life Extension of Asian Sea Bass Slices Stored at 4 °C. Innov. Food Sci. Emerg. Technol. 2020, 64, 102339. [Google Scholar] [CrossRef]
- Mariutti, L.R.B.; Bragagnolo, N. Influence of Salt on Lipid Oxidation in Meat and Seafood Products: A Review. Food Res. Int. 2017, 94, 90–100. [Google Scholar] [CrossRef]
- Zhang, C.; Wang, J.; Xie, J. Quality Changes of Larimichthys Crocea Pretreated by Ultrasonic-Assisted Immersion under Cold Storage at 4 °C. Ultrason. Sonochem. 2023, 98, 106484. [Google Scholar] [CrossRef]
- Martínez, O.; Salmerón, J.; Epelde, L.; Vicente, M.S.; de Vega, C. Quality Enhancement of Smoked Sea Bass (Dicentrarchus labrax) Fillets by Adding Resveratrol and Coating with Chitosan and Alginate Edible Films. Food Control 2018, 85, 168–176. [Google Scholar] [CrossRef]
- Peña-Gonzalez, E.; Alarcon-Rojo, A.D.; Garcia-Galicia, I.; Carrillo-Lopez, L.; Huerta-Jimenez, M. Ultrasound as a Potential Process to Tenderize Beef: Sensory and Technological Parameters. Ultrason. Sonochem. 2019, 53, 134–141. [Google Scholar] [CrossRef]
- Mousakhani-Ganjeh, A.; Hamdami, N.; Soltanizadeh, N. Impact of High Voltage Electric Field Thawing on the Quality of Frozen Tuna Fish (Thunnus albacares). J. Food Eng. 2015, 156, 39–44. [Google Scholar] [CrossRef]
- Cropotova, J.; Tappi, S.; Genovese, J.; Rocculi, P.; Dalla Rosa, M.; Rustad, T. The Combined Effect of Pulsed Electric Field Treatment and Brine Salting on Changes in the Oxidative Stability of Lipids and Proteins and Color Characteristics of Sea Bass (Dicentrarchus labrax). Heliyon 2021, 7, e05947. [Google Scholar] [CrossRef]
- Zhao, W.; Yu, D.; Xia, W. Vacuum Impregnation of Chitosan Coating Combined with Water-Soluble Polyphenol Extracts on Sensory, Physical State, Microbiota Composition and Quality of Refrigerated Grass Carp Slices. Int. J. Biol. Macromol. 2021, 193, 847–855. [Google Scholar] [CrossRef] [PubMed]
- Bonilla, J.; Atarés, L.; Vargas, M.; Chiralt, A. Properties of Wheat Starch Film-Forming Dispersions and Films as Affected by Chitosan Addition. J. Food Eng. 2013, 114, 303–312. [Google Scholar] [CrossRef]
- Stadnik, J.; Dolatowski, Z.J. Influence of Sonication on Warner-Bratzler Shear Force, Colour and Myoglobin of Beef (m. semimembranosus). Eur. Food Res. Technol. 2011, 233, 553–559. [Google Scholar] [CrossRef]
- Hopkins, D.L.; Martin, L.; Gilmour, A.R. The Impact of Homogenizer Type and Speed on the Determination of Myofibrillar Fragmentation. Meat Sci. 2004, 67, 705–710. [Google Scholar] [CrossRef]
- Wang, A.; Kang, D.; Zhang, W.; Zhang, C.; Zou, Y.; Zhou, G. Changes in Calpain Activity, Protein Degradation and Microstructure of Beef M. Semitendinosus by the Application of Ultrasound. Food Chem. 2018, 245, 724–730. [Google Scholar] [CrossRef] [PubMed]
- D’Alessandro, A.; Marrocco, C.; Rinalducci, S.; Mirasole, C.; Failla, S.; Zolla, L. Chianina Beef Tenderness Investigated through Integrated Omics. J. Proteom. 2012, 75, 4381–4398. [Google Scholar] [CrossRef]
- Chen, Q.; Kong, B.; Han, Q.; Liu, Q.; Xu, L. The Role of Bacterial Fermentation in the Hydrolysis and Oxidation of Sarcoplasmic and Myofibrillar Proteins in Harbin Dry Sausages. Meat Sci. 2016, 121, 196–206. [Google Scholar] [CrossRef]
- Zhang, Z.; Regenstein, J.M.; Zhou, P.; Yang, Y. Effects of High Intensity Ultrasound Modification on Physicochemical Property and Water in Myofibrillar Protein Gel. Ultrason. Sonochem. 2017, 34, 960–967. [Google Scholar] [CrossRef]






Disclaimer/Publisher’s Note: The statements, opinions and data contained in all publications are solely those of the individual author(s) and contributor(s) and not of MDPI and/or the editor(s). MDPI and/or the editor(s) disclaim responsibility for any injury to people or property resulting from any ideas, methods, instructions or products referred to in the content. |
© 2023 by the authors. Licensee MDPI, Basel, Switzerland. This article is an open access article distributed under the terms and conditions of the Creative Commons Attribution (CC BY) license (https://creativecommons.org/licenses/by/4.0/).
Share and Cite
Zhang, C.; Wang, J.; Xie, J. Effect on the Quality of Larimichthys crocea Pretreated with Dual-Frequency Orthogonal Ultrasonic-Assisted Immersion with Different Powers during Refrigerated Storage at 4 °C. Foods 2023, 12, 3259. https://doi.org/10.3390/foods12173259
Zhang C, Wang J, Xie J. Effect on the Quality of Larimichthys crocea Pretreated with Dual-Frequency Orthogonal Ultrasonic-Assisted Immersion with Different Powers during Refrigerated Storage at 4 °C. Foods. 2023; 12(17):3259. https://doi.org/10.3390/foods12173259
Chicago/Turabian StyleZhang, Chenchen, Jinfeng Wang, and Jing Xie. 2023. "Effect on the Quality of Larimichthys crocea Pretreated with Dual-Frequency Orthogonal Ultrasonic-Assisted Immersion with Different Powers during Refrigerated Storage at 4 °C" Foods 12, no. 17: 3259. https://doi.org/10.3390/foods12173259
APA StyleZhang, C., Wang, J., & Xie, J. (2023). Effect on the Quality of Larimichthys crocea Pretreated with Dual-Frequency Orthogonal Ultrasonic-Assisted Immersion with Different Powers during Refrigerated Storage at 4 °C. Foods, 12(17), 3259. https://doi.org/10.3390/foods12173259

