Mycotoxin Determination in Peaches and Peach Products with a Modified QuEChERS Extraction Procedure Coupled with UPLC-MS/MS Analysis
Abstract
:1. Introduction
2. Materials and Methods
2.1. Reagents and Chemicals
2.2. Sampling
2.3. Sample Preparation and Extraction Procedure
2.4. Chromatography and Mass Spectrometric Conditions
2.5. Method Validation
2.6. Statistical Analysis
3. Results and Discussion
3.1. UPLC-MS/MS Optimization
3.2. Optimization of Extraction and Purification Procedure
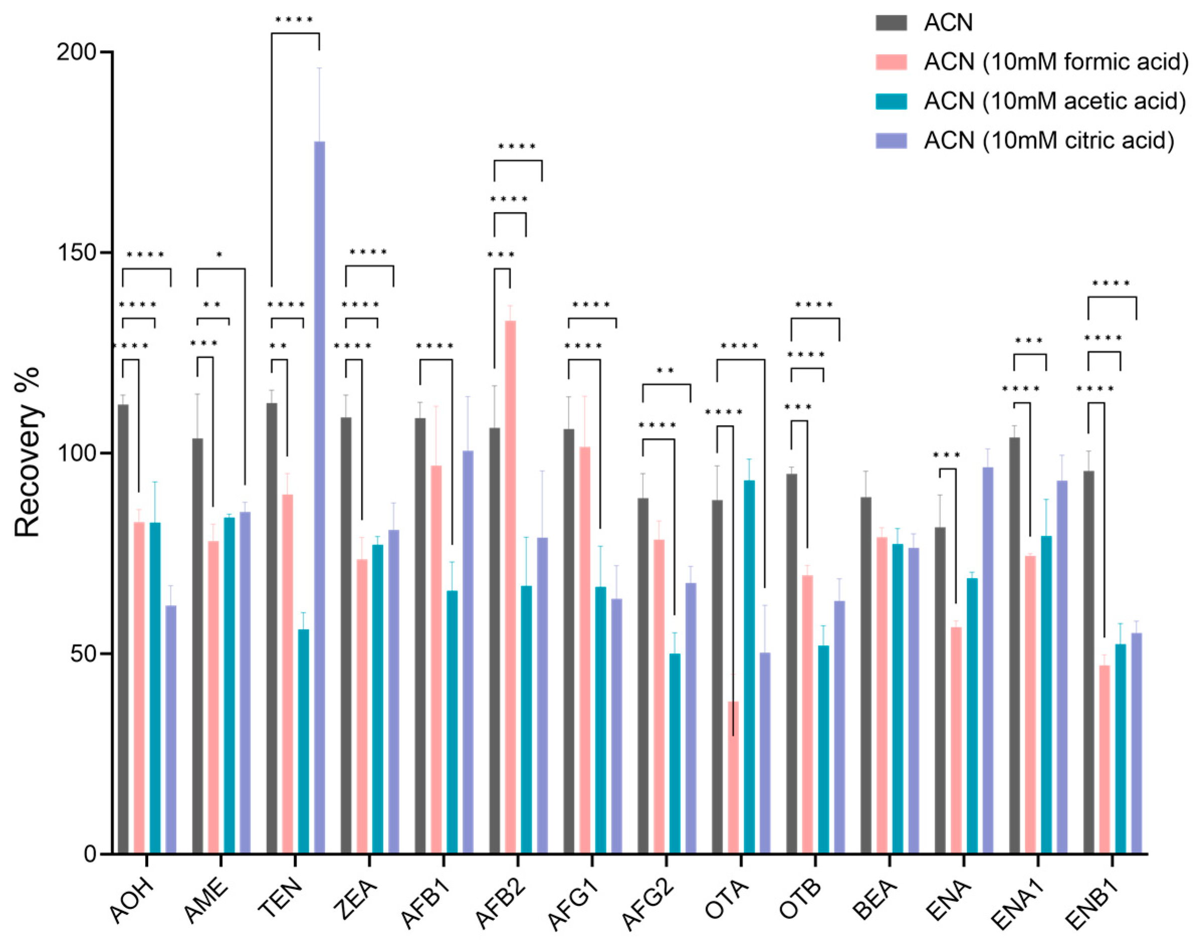
3.2.1. Selection of Extractants
3.2.2. Selection and Dosage of Detergents
3.3. Method Validation
3.3.1. Linearity, LOD, and LOQ
3.3.2. Matrix Effect
3.3.3. Recovery and Precision
3.4. Mycotoxin Detection in Peach
4. Conclusions
Supplementary Materials
Author Contributions
Funding
Data Availability Statement
Conflicts of Interest
References
- Liu, Z.; Zhao, X.; Wu, L.; Zhou, S.; Gong, Z.; Zhao, Y.; Wu, Y. Development of a Sensitive and Reliable UHPLC-MS/MS Method for the Determination of Multiple Urinary Biomarkers of Mycotoxin Exposure. Toxins 2020, 12, 193. [Google Scholar] [CrossRef] [PubMed]
- Tang, Y.Y.; Lin, H.Y.; Chen, Y.C.; Su, W.T.; Wang, S.C.; Chiueh, L.C.; Shin, Y.C. Development of a Quantitative Multi-Mycotoxin Method in Rice, Maize, Wheat and Peanut Using UPLC-MS/MS. Food Anal. Methods 2012, 6, 727–736. [Google Scholar] [CrossRef]
- Wen, J.; Kong, W.; Hu, Y.; Wang, J.; Yang, M. Multi-mycotoxins analysis in ginger and related products by UHPLC-FLR detection and LC-MS/MS confirmation. Food Control 2014, 43, 82–87. [Google Scholar] [CrossRef]
- Yu, Y.; Fu, J.; Xu, Y.; Zhang, J.; Ren, F.; Zhao, H.; Tian, S.; Guo, W.; Tu, X.; Zhao, J.; et al. Genome re-sequencing reveals the evolutionary history of peach fruit edibility. Nat. Commun. 2018, 9, 5404. [Google Scholar] [CrossRef] [PubMed]
- Calado, T.; Venâncio, A.; Abrunhosa, L. Irradiation for mold and mycotoxin control: A review. Compr. Rev. Food Sci. Food Saf. 2014, 13, 1049–1061. [Google Scholar] [CrossRef]
- Patriarca, A.; Pinto, V.F. Prevalence of mycotoxins in foods and decontamination. Curr. Opin. Food Sci. 2017, 14, 50–60. [Google Scholar] [CrossRef]
- De Ruyck, K.; De Boevre, M.; Huybrechts, I.; De Saeger, S. Dietary mycotoxins, co-exposure, and carcinogenesis in humans: Short review. Mutat. Res. Rev. Mutat. Res. 2015, 766, 32–41. [Google Scholar] [CrossRef]
- Anfossi, L.; Giovannoli, C.; Baggiani, C. Mycotoxin detection. Curr. Opin. Biotechnol. 2016, 37, 120–126. [Google Scholar] [CrossRef]
- Romera, D.; Mateo, E.M.; Mateo-Castro, R.; Gomez, J.V.; Gimeno-Adelantado, J.V.; Jimenez, M. Determination of multiple mycotoxins in feedstuffs by combined use of UPLC-MS/MS and UPLC-QTOF-MS. Food Chem. 2018, 267, 140–148. [Google Scholar] [CrossRef]
- Xu, X.; Xu, X.; Han, M.; Qiu, S.; Hou, X. Development of a modified QuEChERS method based on magnetic multiwalled carbon nanotubes for the simultaneous determination of veterinary drugs, pesticides and mycotoxins in eggs by UPLC-MS/MS. Food Chem. 2019, 276, 419–426. [Google Scholar] [CrossRef]
- Silva, A.S.; Brites, C.; Pouca, A.V.; Barbosa, J.; Freitas, A. UHPLC-ToF-MS method for determination of multi-mycotoxins in maize: Development and validation. Curr. Res. Food Sci. 2019, 1, 1–7. [Google Scholar] [CrossRef]
- Wu, F.; Groopman, J.D.; Pestka, J.J. Public health impacts of foodborne mycotoxins. Annu. Rev. Food Sci. Technol. 2014, 5, 351–372. [Google Scholar] [CrossRef] [PubMed]
- Zhao, X.; Liu, D.; Zhang, L.; Zhou, Y.; Yang, M. Development and optimization of a method based on QuEChERS-dSPE followed by UPLC-MS/MS for the simultaneous determination of 21 mycotoxins in nutmeg and related products. Microchem. J. 2021, 168, 106499. [Google Scholar] [CrossRef]
- IARC. Some naturally occurring substances: Food items and constituents, heterocyclic aromatic amines and mycotoxins. In WHO IARC Monographs on the Evaluation of Carcinogenic Risks to Humans; IARC: Lyon, France, 1993; Volume 56, pp. 245–521. [Google Scholar]
- IARC. Presentations Related to the IARC Monographs. IARC Monographs, Evaluations. IARC, Lyon, France. 2016a. Available online: http://monographs.iarc.fr/ENG/Publications/Evaluations.pdf (accessed on 8 July 2023).
- IARC. Agents Classified by the IARC Monographs. 2016b, Volumes 1–116. Available online: http://monographs.iarc.fr/ENG/Classification/ (accessed on 8 July 2023).
- Claeys, L.; Romano, C.; De Ruyck, K.; Wilson, H.; Fervers, B.; Korenjak, M.; Zavadil, J.; Gunter, M.J.; De Saeger, S.; De Boevre, M.; et al. Mycotoxin exposure and human cancer risk: A systematic review of epidemiological studies. Compr. Rev. Food Sci. Food Saf. 2020, 19, 1449–1464. [Google Scholar] [CrossRef] [PubMed]
- Cogliano, V.J.; Baan, R.; Straif, K.; Grosse, Y.; Lauby-Secretan, B.; El Ghissassi, F.; Bouvard, V.; Benbrahim-Tallaa, L.; Guha, N.; Freeman, C.; et al. Preventable exposures associated with human cancers. J. Natl. Cancer Inst. 2011, 103, 1827–1839. [Google Scholar] [CrossRef]
- Guo, J.; Cao, K.; Deng, C.; Li, Y.; Zhu, G.; Fang, W.; Chen, C.; Wang, X.; Wu, J.; Guan, L.; et al. An integrated peach genome structural variation map uncovers genes associated with fruit traits. Genome Biol. 2020, 21, 258. [Google Scholar] [CrossRef] [PubMed]
- Wang, Q.; Cao, K.; Cheng, L.; Li, Y.; Guo, J.; Yang, X.; Wang, J.; Khan, I.A.; Zhu, G.; Fang, W.; et al. Multi-omics approaches identify a key gene, PpTST1, for organic acid accumulation in peach. Hortic. Res. 2022, 9, uhac026. [Google Scholar] [CrossRef]
- Obi, V.I.; Barriuso, J.J.; Gogorcena, Y. Peach Brown Rot: Still in Search of an Ideal Management Option. Agriculture 2018, 8, 125. [Google Scholar] [CrossRef]
- Zhang, S.; Zheng, Q.; Xu, B.; Liu, J. Identification of the Fungal Pathogens of Postharvest Disease on Peach Fruits and the Control Mechanisms of Bacillus subtilis JK-14. Toxins 2019, 11, 322. [Google Scholar] [CrossRef]
- European Commission. Commission Regulation (EU) 2015/1137 of 13 July 2015 amending Regulation (EC) No 1881-2006 as regards the maximum level of Ochratoxin A in Capsicum spp. Spices. Off. J. Eur. Union 2015, 185, 12. [Google Scholar]
- Zinedine, A.; Mañes, J. Occurrence and legislation of mycotoxins in food and feed from Morocco. Food Control 2009, 20, 334–344. [Google Scholar] [CrossRef]
- Berg, T. How to establish international limits for mycotoxins in food and feed? Food Control 2003, 14, 219–224. [Google Scholar] [CrossRef]
- GB 2761; National Food Safety Standard: Maximum Levels of Mycotoxins in Foods. Standards Press of China: Beijing, China, 2017.
- European Commission. Commission Regulation (EC) No 1881/2006 of 19 December 2006 setting maximum levels for certain contaminants in foodstuffs. Off. J. Eur. Union 2006, L364, 5e24. [Google Scholar]
- Cheli, F.; Battaglia, D.; Gallo, R.; Dell’Orto, V. EU legislation on cereal safety: An update with a focus on mycotoxins. Food Control 2014, 37, 315–325. [Google Scholar] [CrossRef]
- D’Agnello, P.; Vita, V.; Franchino, C.; Urbano, L.; Curiale, A.; Debegnach, F.; Iammarino, M.; Marchesani, G.; Chiaravalle, A.E.; De Pace, R. ELISA and UPLC/FLD as Screening and Confirmatory Techniques for T-2/HT-2 Mycotoxin Determination in Cereals. Appl. Sci. 2021, 11, 1688. [Google Scholar] [CrossRef]
- Gonzalez-Jartin, J.M.; Alfonso, A.; Rodriguez, I.; Sainz, M.J.; Vieytes, M.R.; Botana, L.M. A QuEChERS based extraction procedure coupled to UPLC-MS/MS detection for mycotoxins analysis in beer. Food Chem. 2019, 275, 703–710. [Google Scholar] [CrossRef] [PubMed]
- Ouakhssase, A.; Fatini, N.; Ait Addi, E. A facile extraction method followed by UPLC-MS/MS for the analysis of aflatoxins and ochratoxin A in raw coffee beans. Food Addit. Contam. Part A 2021, 38, 1551–1560. [Google Scholar] [CrossRef]
- Zhang, B.; Chen, X.; Han, S.Y.; Li, M.; Ma, T.Z.; Sheng, W.J.; Zhu, X. Simultaneous Analysis of 20 Mycotoxins in Grapes and Wines from Hexi Corridor Region (China): Based on a QuEChERS(-)UHPLC(-)MS/MS Method. Molecules 2018, 23, 1926. [Google Scholar] [CrossRef]
- Singh, J.; Mehta, A. Rapid and sensitive detection of mycotoxins by advanced and emerging analytical methods: A review. Food Sci. Nutr. 2020, 8, 2183–2204. [Google Scholar] [CrossRef]
- Wang, Y.; Nie, J.; Yan, Z.; Li, Z.; Cheng, Y.; Chang, W. Occurrence and co-occurrence of mycotoxins in nuts and dried fruits from China. Food Control 2018, 88, 181–189. [Google Scholar] [CrossRef]
- Perestrelo, R.; Silva, P.; Porto-Figueira, P.; Pereira, J.A.; Silva, C.; Medina, S.; Câmara, J.S. QuEChERS-Fundamentals, relevant improvements, applications and future trends. Anal. Chim. Acta 2019, 1070, 1–28. [Google Scholar]
- Anastassiades, M.; Lehotay, S.J.; Štajnbaher, D.; Schenck, F.J. Fast and easy multiresidue method employing acetonitrile extraction/partitioning and “dispersive solid-phase extraction” for the determination of pesticide residues in produce. J. AOAC Int. 2003, 86, 412–431. [Google Scholar] [CrossRef] [PubMed]
- Betemps, D.L.; De Paula, B.V.; Parent, S.; Galarça, S.P.; Mayer, N.A.; Marodin, G.A.; Rozane, D.E.; Natale, W.; Melo, G.W.B.; Parent, L.E.; et al. Humboldtian Diagnosis of Peach Tree (Prunus persica) Nutrition Using Machine-Learning and Compositional Methods. Agronomy 2020, 10, 900. [Google Scholar] [CrossRef]
- Li, Y.; Zhang, X.; Nie, J.; Bacha, S.A.S.; Yan, Z.; Gao, G. Occurrence and co-occurrence of mycotoxins in apple and apple products from China. Food Control 2020, 118, 107354. [Google Scholar]
- Commission of the European Communities. Commission Decision 2002/657/EC implementing Council Directive 96/23/EC concerning the performances of analytical methods and the interpretation of results. Off. J. Eur. Union 2002, 221, 8–36. [Google Scholar]
- Tian, F.; Qiao, C.; Luo, J.; Guo, L.; Pang, T.; Pang, R.; Li, J.; Wang, C.; Wang, R.; Xie, H. Development and validation of a method for the analysis of five diamide insecticides in edible mushrooms using modified QuEChERS and HPLC-MS/MS. Food Chem. 2020, 333, 127468. [Google Scholar] [CrossRef]
- SANTE/11813/2017; Directorate General for Health and Food Safety. Guidance Document on Analytical Quality Control and Method Validation Procedures for Pesticide Residues Analysis in Food and Feed. European Commission: Brussels, Belgium, 2017; pp. 1–50.
- Zhou, H.; Yan, Z.; Yu, S.; Wu, A.; Liu, N. Development of a Novel UPLC-MS/MS Method for the Simultaneous Determination of 16 Mycotoxins in Different Tea Categories. Toxins 2022, 14, 169. [Google Scholar] [CrossRef]
- Al-Taher, F.; Banaszewski, K.; Jackson, L.; Zweigenbaum, J.; Ryu, D.; Cappozzo, J. Rapid method for the determination of multiple mycotoxins in wines and beers by LC-MS/MS using a stable isotope dilution assay. J. Agric. Food Chem. 2013, 61, 2378–2384. [Google Scholar] [CrossRef]
- Zachariasova, M.; Vaclavikova, M.; Lacina, O.; Vaclavik, L.; Hajslova, J. Deoxynivalenol oligoglycosides: New “masked” fusarium toxins occurring in malt, beer, and breadstuff. J. Agric. Food Chem. 2012, 60, 9280–9291. [Google Scholar] [CrossRef]
- Cao, K.; Wang, B.; Fang, W.; Zhu, G.; Chen, C.; Wang, X.; Li, Y.; Wu, J.; Tang, T.; Fei, Z.; et al. Combined nature and human selections reshaped peach fruit metabolome. Genome Biol. 2022, 23, 146. [Google Scholar]
- da Silva, L.P.; Madureira, F.; de Azevedo Vargas, E.; Faria, A.F.; Augusti, R. Development and validation of a multianalyte method for quantification of mycotoxins and pesticides in rice using a simple dilute and shoot procedure and UHPLC-MS/MS. Food Chem. 2019, 270, 420–427. [Google Scholar]
- Huang, Y.; Shi, T.; Luo, X.; Xiong, H.; Min, F.; Chen, Y.; Nie, S.; Xie, M. Determination of multi-pesticide residues in green tea with a modified QuEChERS protocol coupled to HPLC-MS/MS. Food Chem. 2019, 275, 255–264. [Google Scholar] [CrossRef]
- Commission of the European Communities. Commission Regulation (EU) No 519/2014 of 16 May 2014 amending Regulation (EC) No 401/2006 as regards methods of sampling of large lots, spices and food supplements, performance criteria for T-2, HT-2 toxin and citrinin and screening methods of analysis. Off. J. Eur. Union 2014, L147, 29–43. [Google Scholar]
- Gonzalez-Jartin, J.M.; Rodriguez-Canas, I.; Alfonso, A.; Sainz, M.J.; Vieytes, M.R.; Gomes, A.; Ramos, I.; Botana, L.M. Multianalyte method for the determination of regulated, emerging and modified mycotoxins in milk: QuEChERS extraction followed by UHPLC-MS/MS analysis. Food Chem. 2021, 356, 129647. [Google Scholar] [CrossRef] [PubMed]
- Matuszewski, B.K.; Constanzer, M.L.; Chavez-Eng, C.M. Strategies for the assessment of matrix effect in quantitative bioanalytical methods based on HPLC-MS/MS. Anal. Chem. 2003, 75, 3019–3030. [Google Scholar] [CrossRef] [PubMed]
- Zhao, K.; Shao, B.; Yang, D.; Li, F. Natural occurrence of four Alternaria mycotoxins in tomato- and citrus-based foods in China. J. Agric. Food Chem. 2015, 63, 343–348. [Google Scholar]
- Frangiamone, M.; Cimbalo, A.; Alonso-Garrido, M.; Vila-Donat, P.; Manyes, L. In vitro and in vivo evaluation of AFB1 and OTA-toxicity through immunofluorescence and flow cytometry techniques: A systematic review. Food Chem. Toxicol. 2022, 160, 112798. [Google Scholar]




| Mycotoxin | Ionization | Retention Time (min) | Parent Ion (m/z) | Daughter Ion (m/z) | Cone Voltage (V) |
|---|---|---|---|---|---|
| AOH | ESI- | 2.29 | 257 | 213.0, 215.0 | 45 |
| AME | ESI- | 2.66 | 271 | 228.0, 256.0 | 40 |
| TEN | ES- | 1.80 | 413.0 | 271.0, 141.0 | 35 |
| ZEA | ESI- | 2.53 | 317.4 | 130.9, 175.1 | 45 |
| AFB1 | ESI+ | 2.08 | 313 | 241.2, 285.2 | 45 |
| AFB2 | ESI+ | 2.01 | 315.1 | 259.2, 287.2 | 45 |
| AFG1 | ESI+ | 1.96 | 329 | 200.2, 215.2 | 45 |
| AFG2 | ESI+ | 1.89 | 331 | 189.2, 217.2 | 45 |
| OTA | ESI+ | 2.48 | 404 | 239.0, 358.0 | 30 |
| OTB | ESI+ | 2.32 | 369.9 | 103.1, 205.1 | 25 |
| BEA | ESI+ | 2.99 | 801.4 | 244.2, 262.2 | 32 |
| ENA | ESI+ | 3.23 | 699 | 228.0, 210.0 | 28 |
| ENA1 | ESI+ | 3.18 | 685 | 210.0, 228.0 | 32 |
| ENB1 | ESI+ | 3.02 | 672 | 100.0, 196.0 | 29 |
| Matrix | Analyte | Linear Regression Equation | Calibration Range (µg/L) | r2 | LOD (µg/L) | LOQ (µg/L) | ME |
|---|---|---|---|---|---|---|---|
| Peach | AOH | y = 7.54796x + 838.429 | 5–1000 | 0.995922 | 0.1 | 5 | −0.9994 |
| AME | y = 141.154x + 345.321 | 2–500 | 0.990956 | 0.02 | 5 | −0.1183 | |
| TEN | y = 22.2026x + 2829.26 | 5–500 | 0.99144 | 0.2 | 5 | 1.5079 | |
| ZEA | y = 20.0209x + 1863.53 | 5–500 | 0.99364 | 0.5 | 5 | −0.1468 | |
| AFB1 | y = 122.709x + 12758.3 | 5–500 | 0.991648 | 0.05 | 5 | −0.7668 | |
| AFB2 | y = 501.183x + 120.324 | 2–500 | 0.99965 | 0.005 | 2 | −0.3828 | |
| AFG1 | y = 384.647x + 36757.6 | 2–500 | 0.99304 | 0.002 | 5 | −0.6386 | |
| AFG2 | y = 124.378x + 9920.08 | 2–500 | 0.99364 | 0.05 | 2 | −0.0689 | |
| OTA | y = 9.02856x + 620.06 | 5–500 | 0.997128 | 0.05 | 5 | 0.794 | |
| OTB | y = 26.5723x + 2406.69 | 5–500 | 0.997947 | 0.05 | 5 | 0.0479 | |
| BEA | y = 3201.13x + 3897.59 | 2–500 | 0.995891 | 0.001 | 5 | −0.0951 | |
| ENA | y = 2113.18x + 2125.74 | 5–500 | 0.995857 | 0.001 | 5 | −0.2242 | |
| ENA1 | y = 2288.23x − 616.035 | 5–500 | 0.997949 | 0.001 | 5 | 0.5926 | |
| ENB1 | y = 1600.89x + 3791.16 | 2–500 | 0.991323 | 0.02 | 5 | 0.1839 | |
| Peach juice | AOH | y = 11.2376x − 19.2458 | 2–500 | 0.991274 | 0.1 | 2 | 0.3577 |
| AME | y = 120.66x + 626.241 | 5–500 | 0.993263 | 0.005 | 5 | −0.0844 | |
| TEN | y = 14.904x − 28.3899 | 5–500 | 0.990278 | 0.2 | 5 | 0.6835 | |
| ZEA | y = 22.4055x + 25.457 | 2–500 | 0.998625 | 0.5 | 5 | −0.486 | |
| AFB1 | y = 226.072x − 233.145 | 5–500 | 0.990014 | 0.05 | 5 | −0.5704 | |
| AFB2 | y = 559.227x − 790.339 | 5–500 | 0.991007 | 0.02 | 5 | −0.6592 | |
| AFG1 | y = 464.872x − 360.002 | 5–500 | 0.994151 | 0.02 | 5 | 0.7186 | |
| AFG2 | y = 145.942x − 440.789 | 5–500 | 0.996035 | 0.05 | 5 | 0.0925 | |
| OTA | y = 2.33123x − 13.2666 | 5–500 | 0.995441 | 0.02 | 5 | −0.5368 | |
| OTB | y = 25.4068x − 118.812 | 5–500 | 0.991078 | 0.5 | 5 | 0.0019 | |
| BEA | y = 3901.23x + 7112.98 | 2–500 | 0.995076 | 0.002 | 2 | 0.0895 | |
| ENA | y = 1433.96x − 6253.38 | 5–500 | 0.995853 | 0.001 | 5 | −0.1791 | |
| ENA1 | y = 2253.03x − 11486.1 | 5–500 | 0.99032 | 0.002 | 2 | 0.4337 | |
| ENB1 | y = 1409.9x + 2570.79 | 2–500 | 0.9928 | 0.002 | 5 | 0.2622 | |
| Peach wine | AOH | y = 10.1438x + 13.8803 | 5–500 | 0.994728 | 0.2 | 5 | 0.199 |
| AME | y = 156.222x + 625.792 | 5–500 | 0.995025 | 0.05 | 5 | 0.1855 | |
| TEN | y = 13.8082x − 1.33786 | 5–500 | 0.990515 | 0.5 | 5 | 0.5597 | |
| ZEA | y = 22.3455x − 24.1925 | 5–500 | 0.998802 | 0.5 | 5 | −0.0478 | |
| AFB1 | y = 96.8902x − 342.984 | 5–500 | 0.990201 | 0.05 | 5 | −0.8159 | |
| AFB2 | y = 160.054x − 687.431 | 5–500 | 0.998139 | 0.1 | 5 | −0.9025 | |
| AFG1 | y = 382.84x − 1062.08 | 2–500 | 0.994191 | 0.05 | 2 | −0.6404 | |
| AFG2 | y = 96.164x − 867.755 | 5–500 | 0.996312 | 0.1 | 5 | −0.2801 | |
| OTA | y = 1.83588x − 162.1456 | 5–500 | 0.991823 | 0.1 | 5 | −0.6352 | |
| OTB | y = 26.8597x − 100.638 | 5–500 | 0.992604 | 0.2 | 5 | 0.0592 | |
| BEA | y = 3816.12x + 1726.49 | 2–500 | 0.990235 | 0.005 | 2 | 0.0657 | |
| ENA | y = 1293.02x − 7563.09 | 5–500 | 0.991861 | 0.005 | 5 | −0.1606 | |
| ENA1 | y = 2413.95x − 12259.7 | 5–500 | 0.998278 | 0.005 | 5 | 0.2928 | |
| ENB1 | y = 1441.67x + 2924.4 | 2–500 | 0.990008 | 0.01 | 2 | 0.3524 | |
| Dried peach | AOH | y = 9.03485x − 46.9728 | 5–500 | 0.997586 | 0.05 | 5 | 0.0679 |
| AME | y = 79.9475x + 204.936 | 5–500 | 0.991232 | 0.2 | 5 | −0.3933 | |
| TEN | y = 1.48203x − 7.7823 | 5–500 | 0.997726 | 0.5 | 5 | −0.8325 | |
| ZEA | y = 22.5768x − 73.6506 | 5–500 | 0.99259 | 0.2 | 5 | −0.0379 | |
| AFB1 | y = 115.606x − 408.308 | 5–500 | 0.997732 | 0.02 | 5 | −0.7803 | |
| AFB2 | y = 410.516x − 1613.64 | 5–500 | 0.996872 | 0.01 | 5 | −0.1926 | |
| AFG1 | y = 379.021x − 813.538 | 5–500 | 0.997744 | 0.01 | 5 | 0.4012 | |
| AFG2 | y = 102.06x − 403.805 | 5–500 | 0.991837 | 0.002 | 5 | −0.2359 | |
| OTA | y = 2.44353x − 16.8623 | 5–500 | 0.995904 | 0.1 | 5 | −0.5144 | |
| OTB | y = 24.5706x − 132.813 | 5–500 | 0.990434 | 0.1 | 5 | −0.031 | |
| BEA | y = 2584.51x + 4308.59 | 5–500 | 0.995019 | 0.001 | 5 | −0.2782 | |
| ENA | y = 150.929x − 935.576 | 5–500 | 0.993181 | 0.01 | 5 | −0.1575 | |
| ENA1 | y = 459.574x − 2456.14 | 5–500 | 0.994547 | 0.005 | 5 | −0.849 | |
| ENB1 | y = 1447.42x + 3642.98 | 5–500 | 0.990744 | 0.005 | 5 | −0.7425 | |
| Canned peach | AOH | y = 3.49558x + 0.224697 | 2–500 | 0.990619 | 0.05 | 2 | −0.5777 |
| AME | y = 150.262x + 0971.747 | 5–500 | 0.990368 | 0.05 | 5 | 0.1403 | |
| TEN | y = 13.9001x + 26.7821 | 5–500 | 0.990962 | 0.5 | 5 | 0.5701 | |
| ZEA | y = 26.172x − 3.99094 | 2–500 | 0.998111 | 0.2 | 5 | 0.1114 | |
| AFB1 | y = 150.025x − 631.93 | 5–500 | 0.995683 | 0.02 | 5 | −0.7149 | |
| AFB2 | y = 472.453x − 2400.28 | 5–500 | 0.994168 | 0.02 | 5 | −0.7121 | |
| AFG1 | y = 479.086x − 1849.07 | 5–500 | 0.995939 | 0.002 | 5 | 0.7712 | |
| AFG2 | y = 136.814x − 644.595 | 5–500 | 0.994183 | 0.02 | 5 | 0.0242 | |
| OTA | y = 2.75636x − 16.9416 | 5–500 | 0.992478 | 0.05 | 5 | −0.4523 | |
| OTB | y = 29.084x − 119.389 | 5–500 | 0.990257 | 0.02 | 5 | 0.1469 | |
| BEA | y = 4348.86x + 5791.63 | 2–500 | 0.994447 | 0.002 | 2 | 0.2145 | |
| ENA | y = 2021.39x − 5612.6 | 5–500 | 0.991561 | 0.005 | 5 | 0.1307 | |
| ENA1 | y = 2816.81x − 535.387 | 2–500 | 0.999331 | 0.005 | 2 | 1.021 | |
| ENB1 | y = 1941.94x + 2519.52 | 2–500 | 0.994629 | 0.01 | 2 | 0.52 |
| Analyte | Spiking Level (μg/L) | Peach | Peach Juice | Peach Wine | Dried Peach | Canned Peach | ||||||||||
|---|---|---|---|---|---|---|---|---|---|---|---|---|---|---|---|---|
| R a | RSDr b | RSDR c | R a | RSDr b | RSDR c | R a | RSDr b | RSDR c | R a | RSDr b | RSDR c | R a | RSDr b | RSDR c | ||
| AOH | 5 | 93.4 | 10.7 | 1.8 | 92.2 | 7.1 | 6.4 | 92.4 | 16.0 | 8.1 | 104.1 | 16.1 | 3.5 | 98.9 | 6.9 | 2.4 |
| 10 | 101.1 | 12.0 | 3.1 | 101.3 | 6.3 | 0.8 | 110.8 | 5.2 | 6.4 | 104.8 | 11.7 | 0.7 | 100.8 | 16.7 | 1.5 | |
| 50 | 100.9 | 5.7 | 6.2 | 92.6 | 4.7 | 7.6 | 97.9 | 10.9 | 2.6 | 93.6 | 12.2 | 3.9 | 94.6 | 14.2 | 4.1 | |
| 100 | 87.8 | 5.6 | 9.2 | 103.4 | 7.9 | 1.3 | 88.0 | 5.4 | 10.6 | 104.1 | 6.6 | 0.5 | 100.1 | 5.9 | 4.6 | |
| AME | 5 | 101.3 | 5.1 | 3.9 | 92.2 | 10.2 | 5.1 | 100.7 | 7.1 | 2.3 | 93.4 | 4.7 | 5.6 | 108.4 | 6.1 | 3.8 |
| 10 | 89.3 | 5.3 | 5.3 | 103.9 | 6.6 | 3.1 | 93.4 | 3.6 | 3.3 | 98.1 | 5.8 | 2.7 | 102.6 | 4.7 | 2.4 | |
| 50 | 103.2 | 3.0 | 2.5 | 103.3 | 12.1 | 1.9 | 98.0 | 2.8 | 1.2 | 101.3 | 3.4 | 1.5 | 95.8 | 2.4 | 2.5 | |
| 100 | 99.0 | 1.3 | 3.0 | 98.2 | 3.7 | 3.7 | 97.6 | 2.8 | 3.9 | 108.3 | 9.1 | 3.5 | 95.0 | 4.6 | 5.8 | |
| TEN | 5 | 101.3 | 10.8 | 5.7 | 101.7 | 8.1 | 0.8 | 100.6 | 12.6 | 3.4 | 87.1 | 14.9 | 8.9 | 100.9 | 10.8 | 5.9 |
| 10 | 101.7 | 11.7 | 7.5 | 99.6 | 11.2 | 7.1 | 102.0 | 15.7 | 4.3 | 100.0 | 14.5 | 3.2 | 99.4 | 6.8 | 3.4 | |
| 50 | 101.4 | 9.0 | 3.2 | 97.3 | 10.0 | 7.5 | 91.8 | 7.7 | 3.1 | 97.3 | 10.8 | 5.0 | 95.2 | 11.5 | 3.9 | |
| 100 | 97.1 | 6.7 | 6.1 | 101.4 | 8.8 | 2.9 | 99.9 | 11.2 | 3.1 | 105.1 | 11.5 | 1.5 | 92.7 | 11.0 | 4.0 | |
| ZEA | 5 | 96.3 | 4.1 | 5.8 | 95.7 | 9.6 | 2.6 | 102.2 | 12.0 | 2.2 | 99.0 | 16.1 | 4.4 | 108.1 | 8.1 | 3.2 |
| 10 | 93.6 | 16.1 | 8.9 | 98.5 | 5.6 | 3.3 | 98.3 | 13.9 | 3.6 | 99.4 | 11.9 | 1.6 | 102.2 | 10.6 | 1.6 | |
| 50 | 104.6 | 8.7 | 3.0 | 109.9 | 8.9 | 3.5 | 89.0 | 6.2 | 1.5 | 104.6 | 6.6 | 2.5 | 89.3 | 7.1 | 5.1 | |
| 100 | 92.7 | 4.6 | 6.0 | 96.6 | 7.4 | 4.1 | 96.4 | 4.5 | 4.7 | 101.1 | 6.1 | 5.5 | 100.0 | 5.1 | 2.8 | |
| AFB1 | 5 | 106.2 | 7.1 | 5.3 | 96.4 | 10.2 | 3.1 | 104.8 | 5.1 | 0.7 | 99.9 | 5.0 | 3.1 | 102.5 | 8.6 | 6.2 |
| 10 | 107.2 | 5.5 | 4.2 | 95.6 | 8.9 | 7.1 | 109.4 | 2.4 | 6.5 | 95.3 | 9.9 | 6.3 | 109.6 | 6.3 | 6.1 | |
| 50 | 106.1 | 4.9 | 9.4 | 98.9 | 8.3 | 10.5 | 114.4 | 4.1 | 5.2 | 101.8 | 5.7 | 1.6 | 110.3 | 3.1 | 19.1 | |
| 100 | 108.3 | 7.6 | 10.6 | 92.8 | 5.7 | 5.3 | 113.2 | 5.6 | 7.1 | 96.2 | 17.4 | 4.4 | 107.8 | 7.8 | 6.7 | |
| AFB2 | 5 | 102.5 | 9.4 | 4.3 | 93.7 | 10.6 | 4.7 | 105.2 | 8.6 | 2.3 | 104.3 | 4.4 | 1.1 | 92.1 | 6.3 | 7.3 |
| 10 | 108.0 | 6.8 | 4.0 | 95.2 | 11.2 | 4.6 | 115.3 | 3.2 | 8.3 | 101.9 | 8.5 | 4.3 | 108.0 | 8.9 | 7.6 | |
| 50 | 109.1 | 5.4 | 8.3 | 93.1 | 7.7 | 1.9 | 110.4 | 8.1 | 9.4 | 104.8 | 7.9 | 3.9 | 113.8 | 5.3 | 13.9 | |
| 100 | 107.7 | 5.3 | 10.9 | 96.2 | 11.4 | 2.5 | 104.6 | 7.0 | 7.9 | 97.9 | 11.0 | 5.4 | 113.6 | 6.1 | 5.1 | |
| AFG1 | 5 | 104.3 | 7.3 | 4.3 | 98.9 | 14.5 | 2.3 | 108.6 | 5.7 | 5.3 | 107.6 | 7.5 | 4.0 | 106.3 | 5.8 | 7.2 |
| 10 | 103.3 | 11.6 | 2.3 | 101.1 | 9.8 | 3.0 | 105.9 | 5.4 | 2.4 | 103.1 | 9.4 | 7.0 | 111.1 | 4.3 | 5.8 | |
| 50 | 101.9 | 3.6 | 3.5 | 101.7 | 8.0 | 5.6 | 109.5 | 6.7 | 9.7 | 101.3 | 7.1 | 2.7 | 109.9 | 4.9 | 10.0 | |
| 100 | 104.5 | 2.3 | 2.5 | 95.7 | 4.7 | 3.0 | 108.3 | 7.0 | 5.5 | 99.6 | 14.3 | 3.3 | 106.5 | 3.9 | 5.7 | |
| AFG2 | 5 | 105.9 | 12.9 | 1.7 | 101.2 | 11.3 | 3.2 | 107.9 | 6.4 | 5.8 | 105.9 | 8.3 | 1.5 | 97.8 | 9.1 | 3.9 |
| 10 | 110.1 | 10.4 | 4.9 | 100.8 | 7.7 | 3.7 | 108.1 | 8.4 | 3.8 | 100.1 | 9.4 | 3.7 | 109.2 | 5.2 | 6.8 | |
| 50 | 113.4 | 4.7 | 5.5 | 91.3 | 9.7 | 7.3 | 106.8 | 8.7 | 8.2 | 102.8 | 3.4 | 3.2 | 113.5 | 4.1 | 11.8 | |
| 100 | 107.1 | 2.6 | 7.1 | 89.2 | 4.8 | 7.5 | 106.5 | 4.0 | 4.8 | 103.5 | 16.2 | 2.0 | 111.1 | 3.1 | 9.5 | |
| OTA | 5 | 113.2 | 5.6 | 11.2 | 101.7 | 8.0 | 3.0 | 100.6 | 10.1 | 1.7 | 106.0 | 7.1 | 4.1 | 102.9 | 7.1 | 1.7 |
| 10 | 103.1 | 7.7 | 0.6 | 100.0 | 10.2 | 2.4 | 112.0 | 2.5 | 10.0 | 105.4 | 7.8 | 5.6 | 109.7 | 2.1 | 11.2 | |
| 50 | 109.8 | 10.8 | 8.7 | 107.6 | 6.4 | 5.1 | 111.0 | 6.1 | 8.2 | 104.5 | 6.0 | 4.0 | 102.7 | 4.9 | 11.0 | |
| 100 | 108.0 | 5.5 | 10.1 | 102.2 | 8.0 | 6.9 | 113.0 | 3.3 | 8.1 | 99.2 | 10.7 | 2.5 | 110.4 | 4.7 | 4.9 | |
| OTB | 5 | 117.6 | 9.4 | 16.1 | 100.0 | 10.2 | 1.5 | 115.4 | 3.3 | 8.5 | 94.9 | 7.6 | 3.1 | 110.9 | 6.6 | 8.1 |
| 10 | 112.6 | 7.7 | 6.4 | 104.0 | 4.8 | 4.2 | 110.8 | 3.5 | 5.9 | 101.5 | 13.4 | 3.6 | 112.9 | 3.6 | 14.1 | |
| 50 | 112.7 | 7.0 | 10.8 | 110.0 | 5.7 | 8.0 | 110.6 | 6.7 | 6.1 | 98.1 | 9.8 | 4.6 | 108.6 | 6.2 | 1.5 | |
| 100 | 108.9 | 4.5 | 7.9 | 98.2 | 5.7 | 0.5 | 106.9 | 15.2 | 12.4 | 101.3 | 11.6 | 5.7 | 110.1 | 5.5 | 4.8 | |
| BEA | 5 | 103.6 | 1.5 | 0.9 | 100.2 | 1.4 | 1.8 | 102.1 | 1.3 | 1.3 | 99.5 | 0.7 | 0.7 | 102.0 | 0.7 | 2.1 |
| 10 | 99.0 | 0.7 | 1.3 | 96.1 | 1.2 | 5.7 | 99.1 | 3.2 | 1.0 | 98.4 | 0.8 | 2.2 | 101.7 | 1.0 | 2.1 | |
| 50 | 97.5 | 2.9 | 4.5 | 99.5 | 1.1 | 1.1 | 101.3 | 1.0 | 1.6 | 98.9 | 1.2 | 2.0 | 100.9 | 0.9 | 0.9 | |
| 100 | 99.9 | 0.8 | 0.7 | 99.3 | 0.8 | 1.3 | 101.2 | 1.0 | 2.2 | 98.9 | 1.2 | 0.6 | 100.5 | 0.8 | 1.1 | |
| ENA | 5 | 103.7 | 13.1 | 5.3 | 104.4 | 10.0 | 13.4 | 103.3 | 7.2 | 5.8 | 98.1 | 14.1 | 3.8 | 95.3 | 1.1 | 5.1 |
| 10 | 111.7 | 5.5 | 2.5 | 94.8 | 2.4 | 5.0 | 107.7 | 5.0 | 2.3 | 106.5 | 9.8 | 6.3 | 110.9 | 6.6 | 4.8 | |
| 50 | 97.5 | 2.9 | 3.6 | 87.6 | 2.0 | 12.7 | 102.5 | 15.8 | 5.3 | 101.7 | 5.2 | 0.6 | 107.9 | 5.9 | 5.7 | |
| 100 | 107.7 | 9.4 | 0.4 | 103.8 | 2.4 | 3.7 | 108.9 | 11.3 | 2.7 | 103.0 | 13.7 | 1.6 | 109.1 | 4.5 | 3.3 | |
| ENA1 | 5 | 110.5 | 6.3 | 7.8 | 107.8 | 6.2 | 5.3 | 94.6 | 1.4 | 3.5 | 99.0 | 5.0 | 5.0 | 93.7 | 1.4 | 6.0 |
| 10 | 98.2 | 3.2 | 11.0 | 91.7 | 9.4 | 8.8 | 91.6 | 6.9 | 10.0 | 100.2 | 4.6 | 5.0 | 104.5 | 5.3 | 1.8 | |
| 50 | 99.6 | 6.0 | 5.2 | 96.1 | 1.5 | 9.1 | 96.8 | 2.1 | 1.5 | 99.7 | 5.1 | 6.1 | 97.6 | 2.8 | 2.6 | |
| 100 | 100.5 | 2.7 | 1.7 | 90.1 | 3.0 | 7.0 | 100.2 | 0.8 | 0.5 | 98.9 | 10.1 | 3.7 | 98.2 | 2.7 | 4.3 | |
| ENB1 | 5 | 91.6 | 2.9 | 1.9 | 108.8 | 4.9 | 6.6 | 97.1 | 3.0 | 4.1 | 96.6 | 2.5 | 1.3 | 100.1 | 2.9 | 2.1 |
| 10 | 96.0 | 3.6 | 0.7 | 84.6 | 2.7 | 11.8 | 97.4 | 1.2 | 1.1 | 98.2 | 3.5 | 3.7 | 109.0 | 6.4 | 3.0 | |
| 50 | 100.1 | 2.7 | 2.0 | 88.7 | 4.0 | 9.1 | 99.2 | 3.4 | 3.6 | 100.5 | 2.9 | 3.2 | 94.6 | 3.9 | 0.9 | |
| 100 | 96.2 | 2.4 | 4.3 | 97.8 | 2.5 | 4.2 | 99.2 | 2.8 | 2.6 | 101.2 | 10.8 | 1.8 | 102.0 | 1.4 | 1.2 | |
| Mycotoxin | Part | Positive Sample | Frequency (%) | Range (µg/kg) | Mean (µg/kg) | Median (µg/kg) |
|---|---|---|---|---|---|---|
| AOH | A | 61 | 31.0 | 5.2–1664.3 | 207.9 | 28.3 |
| B | 50 | 25.4 | 8.9–27.1 | 15.3 | 9.7 | |
| AME | A | 65 | 33.0 | 5.3–1024.5 | 102.9 | 16.6 |
| B | 59 | 29.9 | <LOQ | NQ | NQ | |
| TEN | A | 32 | 16.2 | 5.1–139.8 | 32.9 | 11.4 |
| B | 25 | 12.7 | <LOQ | NQ | NQ | |
| ZEA | A | 12 | 6.1 | <LOQ | NQ | NQ |
| B | 8 | 4.1 | <LOQ | NQ | NQ | |
| AFB1 | A | 20 | 10.2 | 41.9 | 41.9 | 41.9 |
| B | 11 | 5.6 | <LOQ | NQ | NQ | |
| AFB2 | A | 72 | 36.5 | <LOQ | NQ | NQ |
| B | 72 | 36.5 | <LOQ | NQ | NQ | |
| AFG1 | A | 94 | 47.7 | <LOQ | NQ | NQ |
| B | 97 | 49.2 | <LOQ | NQ | NQ | |
| AFG2 | A | 50 | 25.4 | <LOQ | NQ | NQ |
| B | 50 | 25.4 | <LOQ | NQ | NQ | |
| OTA | A | 57 | 28.9 | <LOQ | NQ | NQ |
| B | 41 | 20.8 | <LOQ | NQ | NQ | |
| OTB | A | 28 | 14.2 | <LOQ | NQ | NQ |
| B | 20 | 10.2 | <LOQ | NQ | NQ | |
| BEA | A | 97 | 49.2 | 7.0–127.7 | 49.5 | 13.7 |
| B | 100 | 50.8 | 5.2 | 5.2 | 5.2 | |
| ENA | A | 97 | 49.2 | <LOQ | NQ | NQ |
| B | 100 | 50.8 | <LOQ | NQ | NQ | |
| ENA1 | A | 96 | 48.7 | <LOQ | NQ | NQ |
| B | 100 | 50.8 | <LOQ | NQ | NQ | |
| ENB1 | A | 29 | 14.7 | <LOQ | NQ | NQ |
| B | 20 | 10.2 | <LOQ | NQ | NQ |
| Mycotoxin | Positive Sample (n)/Frequency (%) | |||
|---|---|---|---|---|
| Peach Juice | Peach Wine | Dried Peach | Canned Peach | |
| AOH | ND | ND | 1 (5.6) | 4 (13.3) |
| AME | 1 (7.1) | 7 (25.0) | 1 (5.6) | 6 (20) |
| TEN | 1 (7.1) | ND | ND | ND |
| ZEA | ND | ND | ND | ND |
| AFB1 | ND | 4 (14.3) | 2 (11.1) | 4 (13.3) |
| AFB2 | ND | 6 (21.4) | 6 (33.3) | 2 (6.7) |
| AFG1 | ND | ND | ND | 8 (26.7) |
| AFG2 | 1 (7.1) | 5 (17.9) | 8 (44.4) | 3 (10.0) |
| OTA | 2 (14.3) | ND | ND | ND |
| OTB | ND | 1(3.6) | ND | 8 (26.7) |
| BEA | 14 (100.0) | 28 (100.0) | 18 (100.0) | 22 (73.3) |
| ENA | 12 (85.7) | 26 (92.9) | 9 (50.0) | 14 (46.7) |
| ENA1 | 14 (100.0) | 28 (100.0) | 17 (94.4) | 20 (66.7) |
| ENB1 | 14 (100.0) | 27 (96.4) | 17 (94.4) | 16 (53.3) |
Disclaimer/Publisher’s Note: The statements, opinions and data contained in all publications are solely those of the individual author(s) and contributor(s) and not of MDPI and/or the editor(s). MDPI and/or the editor(s) disclaim responsibility for any injury to people or property resulting from any ideas, methods, instructions or products referred to in the content. |
© 2023 by the authors. Licensee MDPI, Basel, Switzerland. This article is an open access article distributed under the terms and conditions of the Creative Commons Attribution (CC BY) license (https://creativecommons.org/licenses/by/4.0/).
Share and Cite
Xie, H.; Li, Y.; Li, J.; Chen, Y.; Li, J.; Kuang, L.; Shah Bacha, S.A.; Zhang, T.; Chao, Y. Mycotoxin Determination in Peaches and Peach Products with a Modified QuEChERS Extraction Procedure Coupled with UPLC-MS/MS Analysis. Foods 2023, 12, 3216. https://doi.org/10.3390/foods12173216
Xie H, Li Y, Li J, Chen Y, Li J, Kuang L, Shah Bacha SA, Zhang T, Chao Y. Mycotoxin Determination in Peaches and Peach Products with a Modified QuEChERS Extraction Procedure Coupled with UPLC-MS/MS Analysis. Foods. 2023; 12(17):3216. https://doi.org/10.3390/foods12173216
Chicago/Turabian StyleXie, Hong, Yinping Li, Jiaxing Li, Yinglong Chen, Jing Li, Lixue Kuang, Syed Asim Shah Bacha, Tiejun Zhang, and Yuehui Chao. 2023. "Mycotoxin Determination in Peaches and Peach Products with a Modified QuEChERS Extraction Procedure Coupled with UPLC-MS/MS Analysis" Foods 12, no. 17: 3216. https://doi.org/10.3390/foods12173216
APA StyleXie, H., Li, Y., Li, J., Chen, Y., Li, J., Kuang, L., Shah Bacha, S. A., Zhang, T., & Chao, Y. (2023). Mycotoxin Determination in Peaches and Peach Products with a Modified QuEChERS Extraction Procedure Coupled with UPLC-MS/MS Analysis. Foods, 12(17), 3216. https://doi.org/10.3390/foods12173216

