Pesticide Residues and Berry Microbiome after Ozonated Water Washing in Table Grape Storage
Abstract
:1. Introduction
2. Materials and Methods
2.1. Plant Material, Growth Conditions and Viticulture Management Practices
2.2. Ozonated Water Washing and Pesticide Residues Determination
2.3. Biological Assessment of Gray Mold and Berry Microbiome
2.4. Data Analysis
3. Results
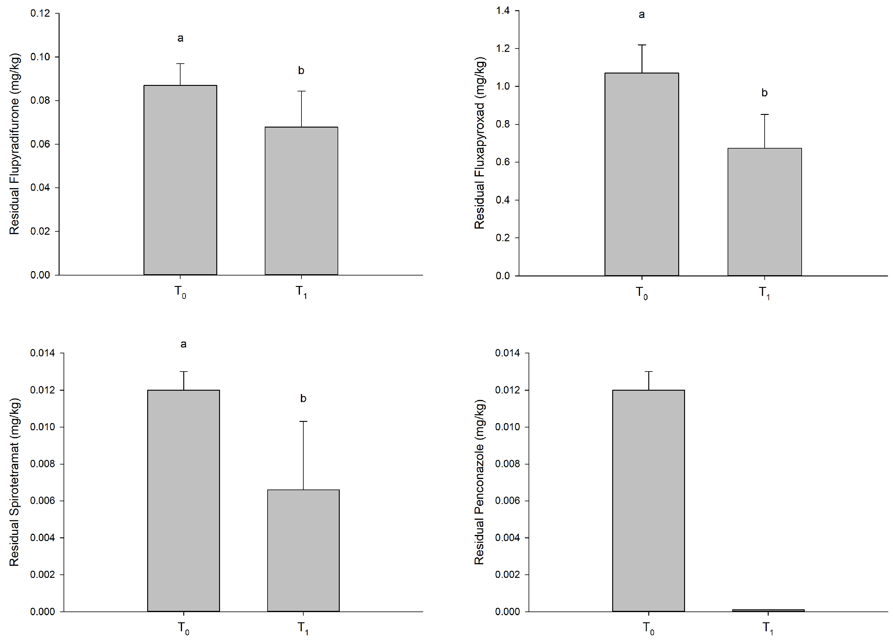
3.1. Pesticide Residues’ Detection and Degradation Effects of Ozonated Water
3.2. Effects of Ozone Treatment on Gray Mold and Berries Microbiome
4. Discussion
Author Contributions
Funding
Data Availability Statement
Conflicts of Interest
References
- Oerke, E. Crop losses to pests. J. Agric. Sci. 2006, 144, 31–43. [Google Scholar] [CrossRef]
- Yigit, N.; Velioglu, Y.S. Effects of processing and storage on pesticide residues in foods. Crit. Rev. Food Sci. Nutr. 2020, 60, 3622–3641. [Google Scholar] [CrossRef] [PubMed]
- Bolognesi, C.; Morasso, G. Genotoxicity of pesticides: Potential risk for consumers. Trends Food Sci. Technol. 2000, 11, 182–187. [Google Scholar] [CrossRef]
- EFSA (European Food Safety Authority); Medina-Pastor, P.; Triacchini, G. The 2018 European Union report on pesticide residues in food. EFSA J. 2020, 18, 6057. [Google Scholar]
- Wu, J.; Luan, T.; Lan, C.; Lo, T.W.H.; Chan, G.Y.S. Removal of residual pesticides on vegetable using ozonated water. Food Control 2007, 18, 466–472. [Google Scholar] [CrossRef]
- Swami, S.; Kumar, B.; Singh, S.B. Effect of ozone application on the removal of pesticides from grapes and green bell peppers and changes in their nutraceutical quality. J. Environ. Sci. Health 2021, 56, 722–730. [Google Scholar] [CrossRef] [PubMed]
- Wang, S.; Wang, J.; Li, C.; Xu, Y.; Wu, Z. Ozone Treatment Pak Choi for the Removal of Malathion and Carbosulfan Pesticide Residues. Food Chem. 2020, 337, 127755. [Google Scholar] [CrossRef]
- Özen, T.; Koyuncu, M.A.; Erbaş, D. Effect of ozone treatments on the removal of pesticide residues and postharvest quality in green pepper. J. Food Sci. Technol. 2021, 58, 2186–2196. [Google Scholar] [CrossRef]
- Chen, C.; Liu, C.; Jiang, A.; Zhao, Q.; Liu, S.; Hu, W. Effects of ozonated water on microbial growth, quality retention and pesticide residue removal of fresh-cut onions. Ozone Sci. Eng. 2020, 42, 399–407. [Google Scholar] [CrossRef]
- Balawejder, M.; Antos, P.; Sadło, S. Potential of ozone utilization for reduction of pesticide residue in food of plant origin. A review. Rocz. Panstw. Zakl. Hig. 2013, 64, 13–18. [Google Scholar]
- Li, C.; Yuan, S.; Jiang, F.; Xie, Y.; Guo, Y.; Hang, Y.; Cheng, Y.; Qian, H.; Yao, W. Degradation of Fluopyram in Water under Ozone Enhanced Microbubbles: Kinetics, Degradation Products, Reaction Mechanism, and Toxicity Evaluation. Chemosphere 2020, 258, 127216. [Google Scholar] [CrossRef]
- Kassem, H.S.; Tarabih, M.E.; Ismail, H.; Eleryan, E.E. Effectiveness of Ozonated Water for Preserving Quality and Extending Storability of Star Ruby Grapefruit. Processes 2022, 10, 277. [Google Scholar] [CrossRef]
- U.S. Food and Drug Administration. Title 21: Food and Drugs Part 173. Secondary direct food additives permitted in food for human consumption subpart D, specific usage additivies. Fed. Reg. 2001, 66, 33829. [Google Scholar]
- Khadre, M.A.; Yousef, A.E.; Kim, J.-G. Microbiological Aspects of Ozone Applications in Food: A Review. J. Food Sci. 2001, 66, 1242–1252. [Google Scholar] [CrossRef]
- Karaca, H.; Velioglu, Y.S. Ozone Applications in Fruit and Vegetable Processing. Food Rev. Int. 2007, 23, 91–106. [Google Scholar] [CrossRef]
- Karaca, H.; Velioglu, Y.S. Effects of Ozone Treatments on Microbial Quality and Some Chemical Properties of Lettuce, Spinach, and Parsley. Postharvest Biol. Technol. 2014, 88, 46–53. [Google Scholar] [CrossRef]
- de Oliveira, J.M.; de Alencar, E.R.; Blum, L.E.B.; de Souza Ferreira, W.F.; Botelho, S.D.C.C.; Racanicci, A.M.C.; Leandro, E.D.S.; Mendonca, M.A.; Moscon, E.B.; Bizerra, L.V.A.; et al. Ozonation of Brazil Nuts: Decomposition Kinetics, Control of Aspergillus flavus and the Effect on Color and on Raw Oil Quality. LWT 2020, 123, 109106. [Google Scholar] [CrossRef]
- Sachadyn-Krol, M.; Agriopoulou, S. Ozonation as a Method of Abiotic Elicitation Improving the Health-Promoting Properties of Plant Products—A Review. Molecules 2020, 25, 2416. [Google Scholar] [CrossRef]
- Agriopoulou, S.; Koliadima, A.; Karaiskakis, G.; Kapolos, J. Kinetic Study of Aflatoxins’ Degradation in the Presence of Ozone. Food Control 2016, 61, 221–226. [Google Scholar] [CrossRef]
- Sadło, S.; Szpyrka, E.; Piechowicz, B.; Antos, P.; Józefczyk, R.; Balawejder, M. Reduction of Captan, Boscalid and Pyraclostrobin Residues on Apples Using Water Only, Gaseous Ozone, and Ozone Aqueous Solution. Ozone Sci. Eng. 2017, 39, 97–103. [Google Scholar] [CrossRef]
- Wang, S.; Wang, J.; Wang, T.; Li, C.; Wu, Z. Effects of ozone treatment on pesticide residues in food: A review. Int. J. Food. Sci. Technol. 2019, 54, 301–312. [Google Scholar] [CrossRef]
- Mattia, C.; Bischetti, G.B.; Gentile, F. Biotechnical characteristics of root systems of typical Mediterranean species. Plant Soil 2005, 278, 23–32. [Google Scholar] [CrossRef]
- Baiano, A.; La Notte, E.; Coletta, A.; Terracone, C.; Antonacci, D. Effects of irrigation volume and nitrogen fertilization on Redglobe and Michele Palieri table grape cultivars. Am. J. Enol. Vitic. 2011, 62, 57–65. [Google Scholar] [CrossRef]
- Costa, C.; Lucera, A.; Conte, A.; Nobile, M. Antimicrobial Treatments to Preserve Packaged Ready-to-Eat Table Grapes. Food Technol. Biotechnol. 2013, 51, 301–307. [Google Scholar]
- Servili, A.; Feliziani, E.; Romanazzi, G. Exposure to volatiles of essential oils alone or under hypobaric treatment to control postharvest gray mold of table grapes. Postharvest Biol. Technol. 2017, 133, 36–40. [Google Scholar] [CrossRef]
- IRAC Insecticide Resistance Action Committee. Available online: https://irac-online.org/ (accessed on 12 June 2023).
- FRAC Fungicide Resistance Action Committee. Available online: https://www.frac.info/ (accessed on 12 June 2023).
- Tzortzakis, N.; Chrysargyris, A. Postharvest ozone application for the preservation of fruits and vegetables. Food Rev. Int. 2017, 33, 270–315. [Google Scholar] [CrossRef]
- Masten, S.J.; Tian, M.; Upham, B.L.; Trosko, J.E. Effect of selected pesticides and their ozonation by-products on gap junctional intercellular communication using rat liver epithelial cell lines. Chemosphere 2001, 44, 457–465. [Google Scholar] [CrossRef]
- Pierpoint, A.C.; Hapeman, C.J.; Torrents, A. Ozone treatment of soil contaminated with aniline and trifluralin. Chemosphere 2003, 50, 1025–1034. [Google Scholar] [CrossRef]
- Tahmasseb, L.A.; Nélieu, S.; Kerhoas, L.; Einhorn, J. Ozonation of chlorophenylurea pesticides in water: Reaction monitoring and degradation pathways. Sci. Total Environ. 2002, 291, 33–44. [Google Scholar] [CrossRef]










| Molecule (Commercial Product, Dose) | Activity Spectra | Mobility | W.S. (mg/L) | W.DT50 (Days) | S.DT50 (Days) | MRL (mg/Kg) |
|---|---|---|---|---|---|---|
| Acetamiprid (Epik SL, 2 L/ha) | Aphids, whiteflies, thrips | Systemic | 2950 | 4.7 | 3 | 0.5 |
| Flupyradifurone (Sivanto Prime, 0.5 L/ha) | Aphids, leafhoppers | Systemic | 3200 | 31.4 | 130 | 3 |
| Spirotetramat (Movento 48 SC, 1.5 L/ha) | Aphids, mealybugs | Systemic | 29.9 | 0.8 | 0.7 | 2 |
| Fludioxonil (Geoxe, 1 kg/ha) | Gray mold | Contact | 1.8 | 2 | 16 | 5 |
| Fluxapyroxad (Sercadis, 0.15 L/ha) | Powdery mildew | Locally systemic | 3.4 | 4.4 | 181.5 | 3 |
| Penconazole (Scudex, 0.2 L/ha) | Powdery mildew | Systemic | 73 | 2 | 89.7 | 0.5 |
| Proquinazid (Talendo, 0.2 L/ha) | Powdery mildew | Locally systemic | 0.9 | 0.8 | 30.5 | 0.5 |
| Trifloxystrobin (Flint, 0.15 kg/ha) | Powdery mildew | Locally systemic | 0.6 | 1.1 | 1.7 | 3 |
| Factors | Acetamiprid | s.e. | Flupyradifurone | s.e. | Fludioxonil | s.e. | Fluxapyroxad | s.e. |
|---|---|---|---|---|---|---|---|---|
| Ozone concentration | ||||||||
| 3 mg/L | 0.009 | ±0.001 | 0.041 b | ±0.005 | 0.126 b | ±0.024 | 0.287 b | ±0.037 |
| 5 mg/L | 0.010 | ±0.001 | 0.064 a | ±0.005 | 0.276 a | ±0.024 | 0.418 a | ±0.037 |
| 10 mg/L | 0.010 | ±0.001 | 0.051 a | ±0.005 | 0.265 a | ±0.024 | 0.355 a | ±0.037 |
| Significance | n.s. | * | ** | * | ||||
| Washing time | ||||||||
| 5 min | 0.010 | ±0.001 | 0.055 | ±0.004 | 0.259 a | ±0.020 | 0.390 | ±0.030 |
| 10 min | 0.008 | ±0.001 | 0.048 | ±0.004 | 0.185 b | ±0.020 | 0.316 | ±0.030 |
| Significance | n.s. | n.s. | * | n.s. | ||||
| Interactions | ||||||||
| Ozone concentration× Washing time | n.s. | n.s. | ** | n.s. | ||||
| Treatment | McKinney’s Index (%) |
|---|---|
| Sulfur dioxide | 30.6 b * |
| 10 mg/L × 10 min | 80.6 a |
| 10 mg/L × 5 min | 80.6 a |
| 5 mg/L × 10 min | 80.6 a |
| 5 mg/L × 5 min | 77.8 a |
| 3 mg/L × 10 min | 77.8 a |
| 3 mg/L × 5 min | 66.7 a |
Disclaimer/Publisher’s Note: The statements, opinions and data contained in all publications are solely those of the individual author(s) and contributor(s) and not of MDPI and/or the editor(s). MDPI and/or the editor(s) disclaim responsibility for any injury to people or property resulting from any ideas, methods, instructions or products referred to in the content. |
© 2023 by the authors. Licensee MDPI, Basel, Switzerland. This article is an open access article distributed under the terms and conditions of the Creative Commons Attribution (CC BY) license (https://creativecommons.org/licenses/by/4.0/).
Share and Cite
Caponio, G.; Vendemia, M.; Mallardi, D.; Marsico, A.D.; Alba, V.; Gentilesco, G.; Forte, G.; Velasco, R.; Coletta, A. Pesticide Residues and Berry Microbiome after Ozonated Water Washing in Table Grape Storage. Foods 2023, 12, 3144. https://doi.org/10.3390/foods12173144
Caponio G, Vendemia M, Mallardi D, Marsico AD, Alba V, Gentilesco G, Forte G, Velasco R, Coletta A. Pesticide Residues and Berry Microbiome after Ozonated Water Washing in Table Grape Storage. Foods. 2023; 12(17):3144. https://doi.org/10.3390/foods12173144
Chicago/Turabian StyleCaponio, Gabriele, Marco Vendemia, Domenica Mallardi, Antonio Domenico Marsico, Vittorio Alba, Giovanni Gentilesco, Giovanna Forte, Riccardo Velasco, and Antonio Coletta. 2023. "Pesticide Residues and Berry Microbiome after Ozonated Water Washing in Table Grape Storage" Foods 12, no. 17: 3144. https://doi.org/10.3390/foods12173144
APA StyleCaponio, G., Vendemia, M., Mallardi, D., Marsico, A. D., Alba, V., Gentilesco, G., Forte, G., Velasco, R., & Coletta, A. (2023). Pesticide Residues and Berry Microbiome after Ozonated Water Washing in Table Grape Storage. Foods, 12(17), 3144. https://doi.org/10.3390/foods12173144

