Evaluation of Ultra–High–Pressure Sterilization in Terms of Bactericidal Effect, Qualities, and Shelf Life of ‘Xinli No. 7’ (Pyrus sinkiangensis) Pear Juice
Abstract
1. Introduction
2. Materials and Methods
2.1. Materials
2.2. Operation of Ultrasonic–Ascorbic Acid Compound Colour Protection Technology
2.3. Optimization of XL7 Juice by Ultra–High–Pressure Sterilization (UHPS) Processing
2.3.1. Single Factor Test
2.3.2. Effect of Processing Parameters on the Number of XL7 Juice Colonies
2.3.3. Orthogonal Optimization Test
2.3.4. Influence of UHPS and HS Processing on Sterilization Efficiency and Juice Quality
2.4. Determination of Colour Difference
2.5. Determination of Browning Degree and Browning Inhibition Rate (BIR)
2.6. Determination of Polyphenol Oxidase (PPO) Activity
2.7. Determination of Soluble Quinone and 5–Hydroxymethylfurfural (5–HMF) Contents
2.8. Evaluation of Glyconic Acid Content in XL7 Juice
2.9. Polyphenol and Flavonoid Contents in XL7 Juice
2.10. Determination of DPPH and ABTS Free Radical Scavenging Ability
2.11. Identification of Volatile Components in XL7 Juice
2.12. Sensory Analysis of XL7 Juice
2.13. Determination of Microbial Indexes in XL7 Juice
2.14. Effects of Different Sterilization Methods on Storage Quality and Shelf Life of XL7 Juice
2.15. Accelerated Shelf–Life Test
2.16. Storage Quality, Shelf Life and Volatile Compounds of XL7 Juice
2.17. Statistical Analysis
3. Results and Discussion
3.1. Effects of Different Sterilization Methods on Bactericidal Efficacy and Quality of XL7 Juice
3.2. Effects of Different Sterilization Methods on Sensory Quality of XL7 Juice during Storage
3.3. Effects of Different Sterilization Methods on Microbial Indexes of XL7 Juice during Storage
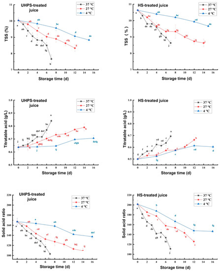
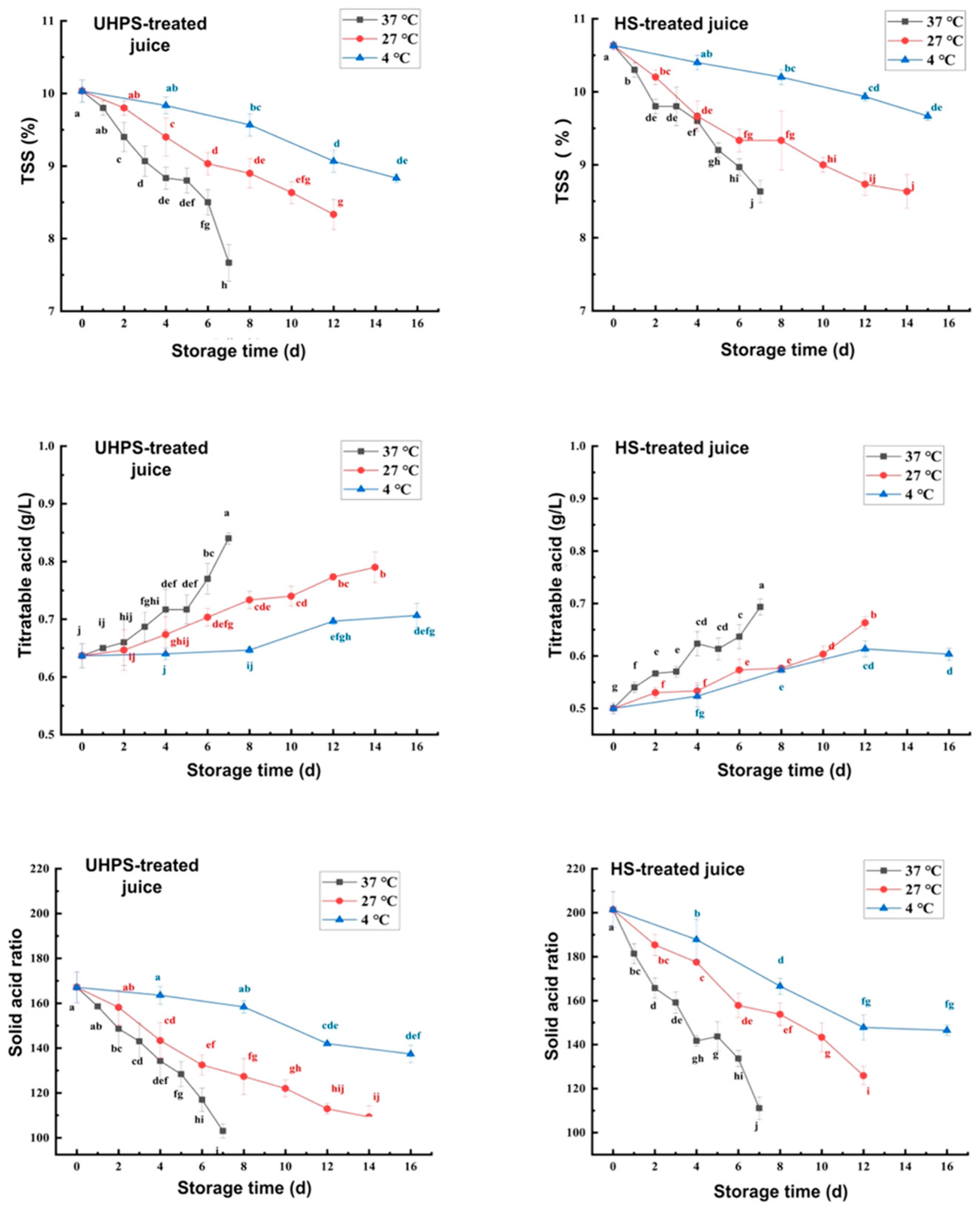
3.4. Effects of Different Sterilization Methods on the Glyconic Acid Content of XL7 Juice during Storage
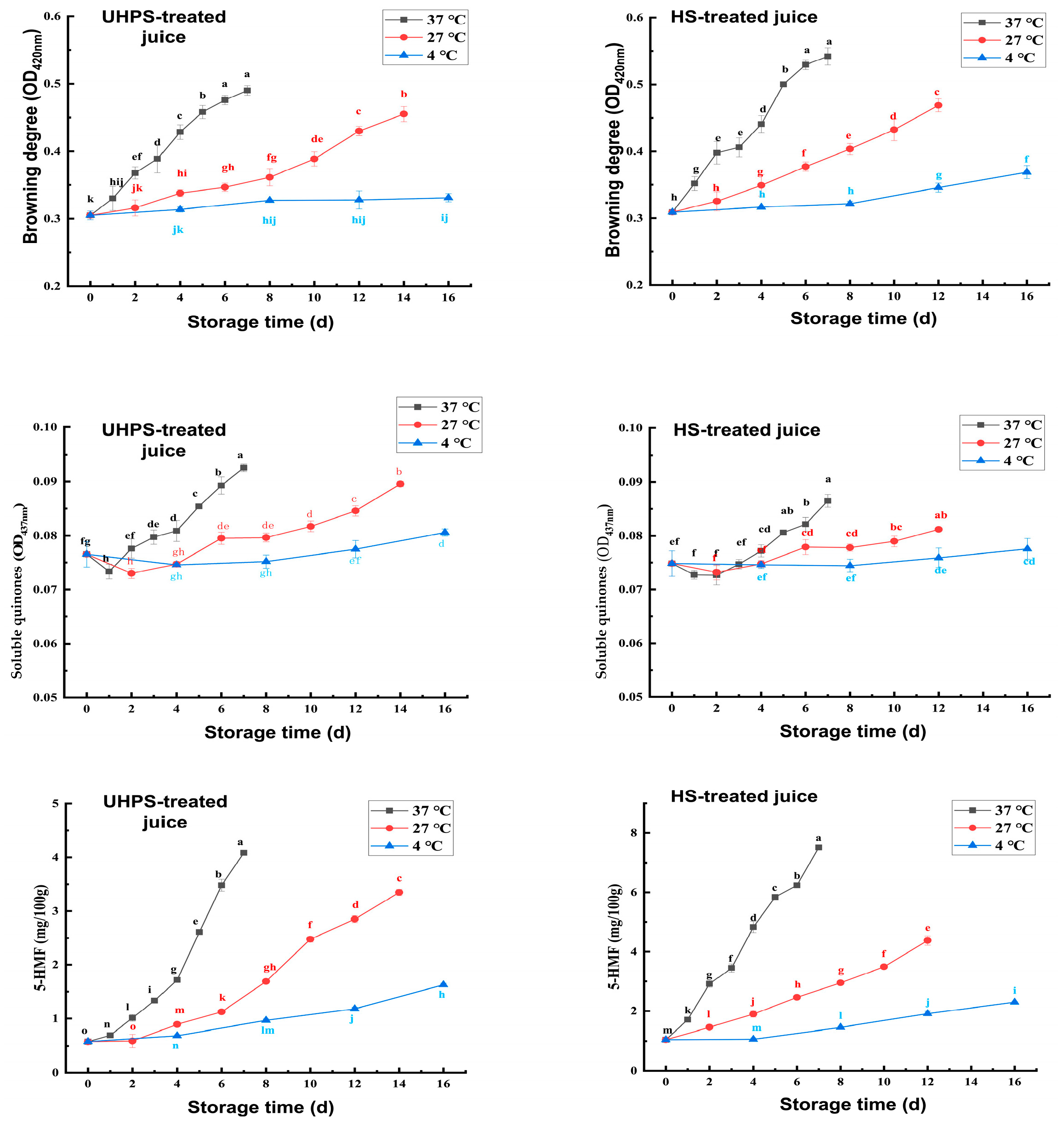
3.5. Effect of Different Sterilization Methods on Colour Quality of XL7 Juice during Storage
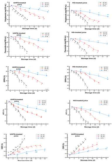
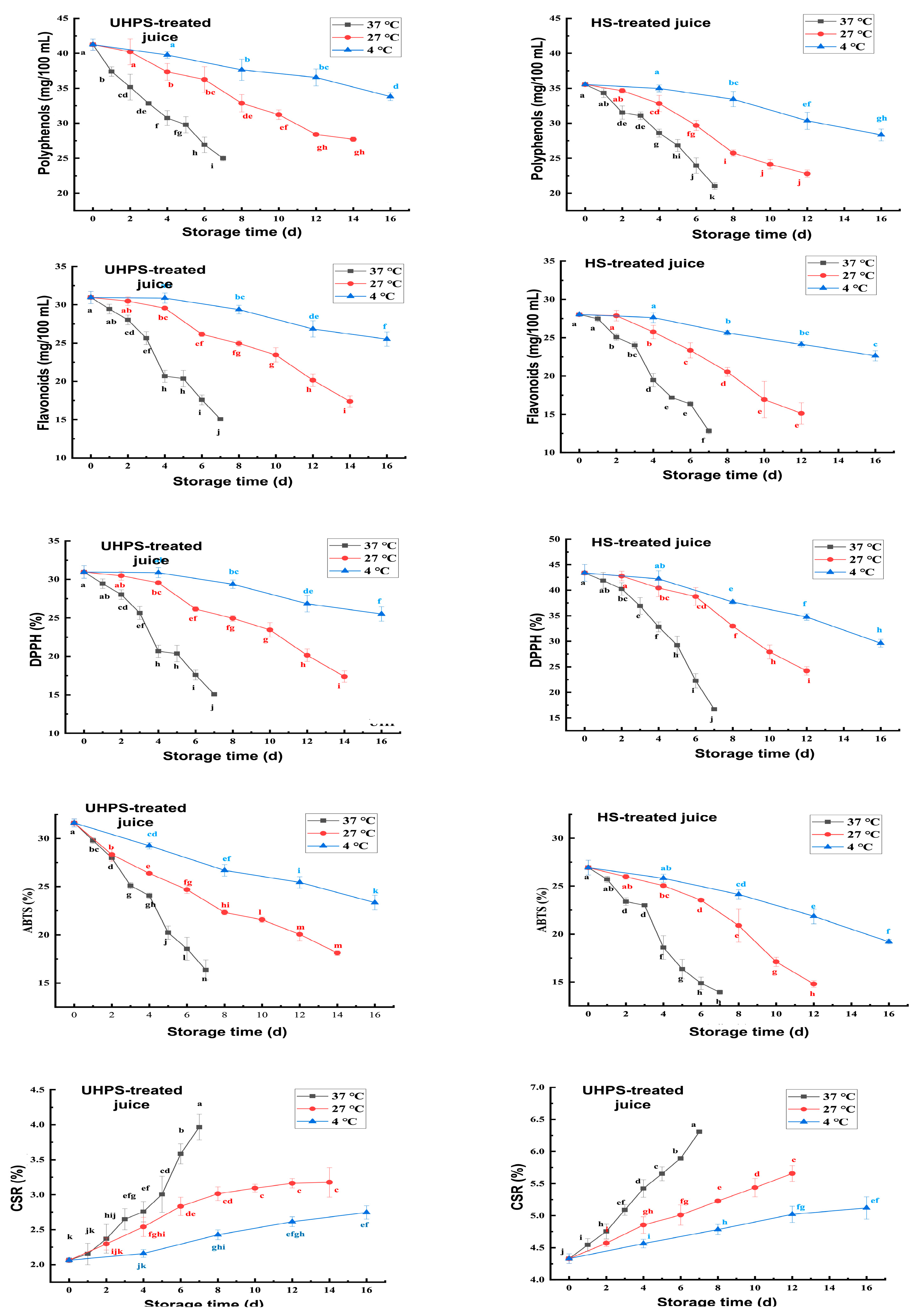
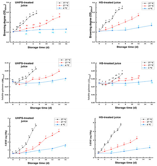
3.6. Effects of Different Sterilization Methods on the Stability of XL7 Juice during Storage
3.7. Prediction of Shelf Life of XL7 Juice Treated by Different Sterilization Methods
3.8. Changes of Volatile Components in XL7 Juice with Different Sterilization Methods before and after Storage
4. Conclusions
Supplementary Materials
Author Contributions
Funding
Data Availability Statement
Conflicts of Interest
References
- Reiland, H.; Slavin, J. Systematic Review of Pears and Health. Nutr. Today 2015, 50, 301–305. [Google Scholar] [CrossRef] [PubMed]
- Zafra-Rojas, Q.Y.; Cruz-Cansino, N.; Ramírez–Moreno, E.; Delgado-Olivares, L.; Villanueva-Sánchez, J.; Alanís-García, E. Effects of ultrasound treatment in purple cactus pear (Opuntia ficus–indica) juice. Ultrason. Sonochem. 2013, 20, 1283–1288. [Google Scholar] [CrossRef] [PubMed]
- Ahmad, A.; Khalid, N. Chapter 5-Dietary Fibers in Modern Food Production: A Special Perspective with β-Glucans. In Biopolymers for Food Design; Grumezescu, A.M., Holban, A.M., Eds.; Academic Press: Cambridge, MA, USA, 2018; pp. 125–156. [Google Scholar]
- Włodarska, K.; Khmelinskii, I.; Sikorska, E. Authentication of apple juice categories based on multivariate analysis of the synchronous fluorescence spectra. Food Control 2018, 86, 42–49. [Google Scholar] [CrossRef]
- Pérez-Lamela, C.; Franco, I.; Falqué, E. Impact of High-Pressure Processing on Antioxidant Activity during Storage of Fruits and Fruit Products: A Review. Molecules 2021, 26, 5265. [Google Scholar] [CrossRef]
- Singh, S.V.; Singh, R.; Singh, A.; Chinchkar, A.V.; Kamble, M.G.; Dutta, S.J.; Singh, S.B. A review on green pressure processing of fruit juices using microfluidization: Quality, safety and preservation. Appl. Food Res. 2022, 2, 100235. [Google Scholar] [CrossRef]
- Berta, G.; Ivo, O.; Eunice, B.; Maria Cristina, M.; Alfredo, A.; Fernanda, C.; Jorge, V.-C.; Rosário, A.; Teresa, P. Aromas and Flavours of Fruits. In Generation of Aromas and Flavours; Alice, V., Ed.; IntechOpen: Rijeka, Croatia, 2018; Chapeter 2. [Google Scholar]
- Umair, M.; Jabeen, S.; Ke, Z.; Jabbar, S.; Javed, F.; Abid, M.; Rehman Khan, K.-U.; Ji, Y.; Korma, S.A.; El–Saadony, M.T.; et al. Thermal treatment alternatives for enzymes inactivation in fruit juices: Recent breakthroughs and advancements. Ultrason. Sonochem. 2022, 86, 105999. [Google Scholar] [CrossRef]
- Ma, T.; Wang, J.; Wang, L.; Yang, Y.; Yang, W.; Wang, H.; Lan, T.; Zhang, Q.; Sun, X. Ultrasound–Combined Sterilization Technology: An Effective Sterilization Technique Ensuring the Microbial Safety of Grape Juice and Significantly Improving Its Quality. Foods 2020, 9, 1512. [Google Scholar] [CrossRef]
- Aneja, K.R.; Dhiman, R.; Aggarwal, N.K.; Kumar, V.; Kaur, M. Microbes Associated with Freshly Prepared Juices of Citrus and Carrots. Int. J. Food Sci. 2014, 2014, 408085. [Google Scholar] [CrossRef]
- Ma, T.; Wang, J.; Lan, T.; Bao, S.; Zhao, Q.; Sun, X.; Liu, X. How to comprehensively improve juice quality: A review of the impacts of sterilization technology on the overall quality of fruit and vegetable juices in 2010–2021, an updated overview and current issues. Crit. Rev. Food Sci. Nutr. 2022, 1–51. [Google Scholar] [CrossRef]
- Aneja, K.R.; Dhiman, R.; Aggarwal, N.K.; Aneja, A. Emerging Preservation Techniques for Controlling Spoilage and Pathogenic Microorganisms in Fruit Juices. Int. J. Microbiol. 2014, 2014, 758942. [Google Scholar] [CrossRef]
- Cubeddu, A.; Fava, P.; Pulvirenti, A.; Haghighi, H.; Licciardello, F. Suitability Assessment of PLA Bottles for High–Pressure Processing of Apple Juice. Foods 2021, 10, 295. [Google Scholar] [CrossRef]
- Niu, H.; Yuan, L.; Zhou, H.; Yun, Y.; Li, J.; Tian, J.; Zhong, K.; Zhou, L. Comparison of the Effects of High Pressure Processing, Pasteurization and High Temperature Short Time on the Physicochemical Attributes, Nutritional Quality, Aroma Profile and Sensory Characteristics of Passion Fruit Purée. Foods 2022, 11, 632. [Google Scholar] [CrossRef] [PubMed]
- Ma, T.; Wang, J.; Wang, H.; Lan, T.; Liu, R.; Gao, T.; Yang, W.; Zhou, Y.; Ge, Q.; Fang, Y.; et al. Is overnight fresh juice drinkable? The shelf life prediction of non–industrial fresh watermelon juice based on the nutritional quality, microbial safety quality, and sensory quality. Food Nutr. Res. 2020, 64. [Google Scholar] [CrossRef] [PubMed]
- Park, J.-M.; Koh, J.-H.; Kim, J.-M. Predicting Shelf–life of Ice Cream by Accelerated Conditions. Korean J. Food Sci. Anim. Resour. 2018, 38, 1216–1225. [Google Scholar] [CrossRef] [PubMed]
- Hough, G.; Garitta, L.; Gómez, G. Sensory shelf-life predictions by survival analysis accelerated storage models. Food Qual. Prefer. 2006, 17, 468–473. [Google Scholar] [CrossRef]
- Gan, X.; Ma, Q.; Wang, L.; Liu, W.; Chen, Z.; Wang, W.; Wang, J.; Mu, J. Physicochemical, sensory characterisation and volatile components of 16 NFC pear juice. J. Food Meas. Charact. 2023. [Google Scholar] [CrossRef]
- Porto, M.R.A.; Okina, V.S.; Pimentel, T.C.; Prudencio, S.H. Physicochemical Stability, Antioxidant Activity, and Acceptance of Beet and Orange Mixed Juice During Refrigerated Storage. Beverages 2017, 3, 36. [Google Scholar] [CrossRef]
- Dorris, M.R.; Voss, D.M.; Bollom, M.A.; Krawiec-Thayer, M.P.; Bolling, B.W. Browning Index of Anthocyanin–Rich Fruit Juice Depends on pH and Anthocyanin Loss More Than the Gain of Soluble Polymeric Pigments. J. Food Sci. 2018, 83, 911–921. [Google Scholar] [CrossRef]
- Zhu, L.; Zhu, L.; Murtaza, A.; Liu, Y.; Liu, S.; Li, J.; Iqbal, A.; Xu, X.; Pan, S.; Hu, W. Ultrasonic Processing Induced Activity and Structural Changes of Polyphenol Oxidase in Orange (Citrus sinensis Osbeck). Molecules 2019, 24, 1922. [Google Scholar] [CrossRef]
- Aslanova, D.; Bakkalbasi, E.; Artik, N. Effect of Storage on 5-Hydroxymethylfurfural (HMF) Formation and Color Change in Jams. Int. J. Food Prop. 2010, 13, 904–912. [Google Scholar] [CrossRef]
- Boyes, S.; Strübi, P.; Dawes, H. Measurement of Protein Content in Fruit Juices, Wine and Plant Extracts in the Presence of Endogenous Organic Compounds. LWT-Food Sci. Technol. 1997, 30, 778–785. [Google Scholar] [CrossRef]
- Zhao, L.; Wang, Y.; Hu, X.; Sun, Z.; Liao, X. Korla pear juice treated by ultrafiltration followed by high pressure processing or high temperature short time. LWT-Food Sci. Technol. 2016, 65, 283–289. [Google Scholar] [CrossRef]
- Velázquez-Estrada, R.M.; Hernández-Herrero, M.M.; Rüfer, C.E.; Guamis-López, B.; Roig-Sagués, A.X. Influence of ultra high pressure homogenization processing on bioactive compounds and antioxidant activity of orange juice. Innov. Food Sci. Emerg. Technol. 2013, 18, 89–94. [Google Scholar] [CrossRef]
- Matute, A.; Tabart, J.; Cheramy-Bien, J.-P.; Pirotte, B.; Kevers, C.; Auger, C.; Schini–Kerth, V.; Dommes, J.; Defraigne, J.-O.; Pincemail, J. Compared Phenolic Compound Contents of 22 Commercial Fruit and Vegetable Juices: Relationship to Ex-Vivo Vascular Reactivity and Potential In Vivo Projection. Antioxidants 2020, 9, 92. [Google Scholar] [CrossRef]
- Loganayaki, N.; Siddhuraju, P.; Manian, S. Antioxidant activity and free radical scavenging capacity of phenolic extracts from Helicteres isora L. and Ceiba pentandra L. J. Food Sci. Technol. 2013, 50, 687–695. [Google Scholar] [CrossRef]
- Xuan, X.; Sun, R.; Zhang, X.; Cui, Y.; Lin, X.; Sun, Y.; Deng, W.; Liao, X.; Ling, J. Novel application of HS-GC-IMS with PCA for characteristic fingerprints and flavor compound variations in NFC Chinese bayberry (Myrica rubra) juice during storage. LWT 2022, 167, 113882. [Google Scholar] [CrossRef]
- Pinto, T.; Vilela, A.; Cosme, F. Chemical and Sensory Characteristics of Fruit Juice and Fruit Fermented Beverages and Their Consumer Acceptance. Beverages 2022, 8, 33. [Google Scholar] [CrossRef]
- Pfaller, M.A.; Sheehan, D.J.; Rex, J.H. Determination of Fungicidal Activities against Yeasts and Molds: Lessons Learned from Bactericidal Testing and the Need for Standardization. Clin. Microbiol. Rev. 2004, 17, 268–280. [Google Scholar] [CrossRef] [PubMed]
- Choi, J.-Y.; Lee, H.-J.; Cho, J.-S.; Lee, Y.-M.; Woo, J.-H.; Moon, K.-D. Prediction of shelf-life and changes in the quality characteristics of semidried persimmons stored at different temperatures. Food Sci. Biotechnol. 2017, 26, 1255–1262. [Google Scholar] [CrossRef]
- Ninga, K.A.; Desobgo, S.C.Z.; Nso, E.J.; Kayem, J. White–flesh guava juice clarification by a fixed-angle conical rotor centrifuge laboratory and characterization of continuous disk stack centrifuges. Heliyon 2022, 8, e11606. [Google Scholar] [CrossRef]
- FAO. Working Paper on Elaboration of a Region Standard for Microbiological Levels in Food; FAO: Rome, Italy, 2002. [Google Scholar]
- Dhenge, R.; Langialonga, P.; Alinovi, M.; Lolli, V.; Aldini, A.; Rinaldi, M. Evaluation of quality parameters of orange juice stabilized by two thermal treatments (helical heat exchanger and ohmic heating) and non-thermal (high–pressure processing). Food Control 2022, 141, 109150. [Google Scholar] [CrossRef]
- Wang, X.; Chen, F.; Ma, L.; Liao, X.; Hu, X. Non-volatile and volatile metabolic profiling of tomato juice processed by high–hydrostatic–pressure and high–temperature short–time. Food Chem. 2022, 371, 131161. [Google Scholar] [CrossRef]
- Maghsoudlou, Y.; Asghari Ghajari, M.; Tavasoli, S. Effects of heat treatment on the phenolic compounds and antioxidant capacity of quince fruit and its tisane’s sensory properties. J. Food Sci. Technol. 2019, 56, 2365–2372. [Google Scholar] [CrossRef]
- Nema, P.K.; Sehrawat, R.; Ravichandran, C.; Kaur, B.P.; Kumar, A.; Tarafdar, A. Inactivating Food Microbes by High–Pressure Processing and Combined Nonthermal and Thermal Treatment: A Review. J. Food Qual. 2022, 2022, 5797843. [Google Scholar] [CrossRef]
- Hossain, M.A.; Rana, M.M.; Kimura, Y.; Roslan, H.A. Changes in Biochemical Characteristics and Activities of Ripening Associated Enzymes in Mango Fruit during the Storage at Different Temperatures. BioMed Res. Int. 2014, 2014, 232969. [Google Scholar] [CrossRef] [PubMed]
- Ricci, A.; Parpinello, G.P.; Versari, A. Modelling the evolution of oxidative browning during storage of white wines: Effects of packaging and closures. Int. J. Food Sci. Technol. 2017, 52, 472–479. [Google Scholar] [CrossRef]
- Yuan, L.; Cheng, F.; Yi, J.; Cai, S.; Liao, X.; Lao, F.; Zhou, L. Effect of high–pressure processing and thermal treatments on color and in vitro bioaccessibility of anthocyanin and antioxidants in cloudy pomegranate juice. Food Chem. 2022, 373, 131397. [Google Scholar] [CrossRef]
- Zeng, D.; Xiao, G.; Xu, Y.; Zou, B.; Wu, J.; Yu, Y. Protein and polyphenols involved in sediment formation in cloudy litchi juice. Food Sci. Biotechnol. 2019, 28, 945–953. [Google Scholar] [CrossRef]
- Liu, J.; Bi, J.; Liu, X.; Liu, D.; Verkerk, R.; Dekker, M.; Lyu, J.; Wu, X. Modelling and optimization of high-pressure homogenization of not–from–concentrate juice: Achieving better juice quality using sustainable production. Food Chem. 2022, 370, 131058. [Google Scholar] [CrossRef]
- Szczepańska, J.; Pinto, C.A.; Skąpska, S.; Saraiva, J.A.; Marszałek, K. Effect of static and multi-pulsed high pressure processing on the rheological properties, microbial and physicochemical quality, and antioxidant potential of apple juice during refrigerated storage. LWT 2021, 150, 112038. [Google Scholar] [CrossRef]
- Guan, Y.; Zhou, L.; Bi, J.; Yi, J.; Liu, X.; Chen, Q.; Wu, X.; Zhou, M. Change of microbial and quality attributes of mango juice treated by high pressure homogenization combined with moderate inlet temperatures during storage. Innov. Food Sci. Emerg. Technol. 2016, 36, 320–329. [Google Scholar] [CrossRef]
- Lou, X.; Jin, Y.; Tian, H.; Yu, H.; Chen, C.; Hanna, M.; Lin, Y.; Yuan, L.; Wang, J.; Xu, H. High–pressure and thermal processing of cloudy hawthorn berry (Crataegus pinnatifida) juice: Impact on microbial shelf–life, enzyme activity and quality–related attributes. Food Chem. 2022, 372, 131313. [Google Scholar] [CrossRef] [PubMed]
- Pritchard, J.; Piccinini, M.; Tiruvalam, R.; He, Q.; Dimitratos, N.; Lopez–Sanchez, J.A.; Morgan, D.J.; Carley, A.F.; Edwards, J.K.; Kiely, C.J.; et al. Effect of heat treatment on Au–Pd catalysts synthesized by sol immobilisation for the direct synthesis of hydrogen peroxide and benzyl alcohol oxidation. Catal. Sci. Technol. 2013, 3, 308–317. [Google Scholar] [CrossRef]







| Test Number | Pressure/Mpa (A) | Pressure Time/Min (B) | Cycle (C) | Column | CFU (lgcfu/mL) |
|---|---|---|---|---|---|
| 1 | 1 (300 MPa) | 1 (15 min) | 1 (1) | 1 | 3.14 |
| 2 | 1 | 2 (20 min) | 2 (2) | 2 | 2.22 |
| 3 | 1 | 3 (25 min) | 3 (3) | 3 | 1.40 |
| 4 | 2 (400 MPa) | 1 | 2 | 3 | 0.40 |
| 5 | 2 | 2 | 3 | 1 | 0.27 |
| 6 | 2 | 3 | 1 | 2 | 0.45 |
| 7 | 3 (500 MPa) | 1 | 3 | 2 | – |
| 8 | 3 | 2 | 1 | 3 | – |
| 9 | 3 | 3 | 2 | 1 | – |
| K1 | 6.76 | 3.54 | 3.59 | 3.41 | |
| K2 | 1.12 | 2.49 | 2.62 | 2.67 | |
| K3 | 0.00 | 1.85 | 1.67 | 1.80 | |
| k1 | 2.25 | 1.18 | 1.20 | 1.14 | |
| k2 | 0.37 | 0.83 | 0.87 | 0.89 | |
| k3 | 0.00 | 0.62 | 0.56 | 0.60 | |
| Range | 2.25 | 0.56 | 0.60 | 0.54 |
| Factor | Sum of Square | Degree of Freedom | Mean Square | F Value | p Value | Significance |
|---|---|---|---|---|---|---|
| Pressure (A) | 8.751 | 2 | 4.376 | 20.213 | 0.047 | * |
| Pressure (B) | 0.485 | 2 | 0.243 | 1.121 | 0.471 | |
| Cycle (C) | 0.614 | 2 | 0.307 | 1.419 | 0.413 | |
| Error | 0.433 | 2 | 0.216 | |||
| Sum | 17.183 | 9 |
| Quality Indexes | NS | UHPS | HS | |
|---|---|---|---|---|
| Microbiological indicators | Moulds and yeasts (lgcfu/mL) | 3.99 ± 0.03 a | ND | ND |
| CFU (lgcfu/mL) | 4.33 ± 0.03 a | ND | ND | |
| E. coli (lgcfu/mL) | 2.4 ± 0.11 a | ND | ND | |
| Glyconic content | TSS (%) | 10.97 ± 0.42 a | 10.63 ± 0.06 a | 10.03 ± 0.15 b |
| Acid (g/L) | 0.63 ± 0.02 a | 0.64 ± 0.02 a | 0.50 ± 0.01 b | |
| Solid acid ratio | 17.36 ± 1.11 b | 16.71 ± 0.69 b | 20.14 ± 0.81 a | |
| Colour | L* | 44.10 ± 0.32 a | 43.59 ± 0.15 b | 43.29 ± 0.06 b |
| a* | 1.01 ± 0.06 b | 1.40 ± 0.16 a | 1.32 ± 0.06 a | |
| b* | 3.80 ± 0.18 b | 4.08 ± 0.16 a,b | 4.17 ± 0.05 a | |
| △E | / | 0.74 ± 0.05 a | 0.95 ± 0.02 b | |
| Browning degree | 0.27 ± 0.01 a | 0.31 ± 0.01 b | 0.31 ± 0.02 b | |
| 5–HMF | 0.46 ± 0.01 c | 0.58 ± 0.04 b | 1.04 ± 0.04 a | |
| Quinone content (ΔOD437 nm/g) | 0.08 ± 0.01 a | 0.08 ± 0.00 a | 0.07 ± 0.00 a | |
| Functional properties | Polyphenols content (mg/100 mL) | 41.21 ± 2.00 a | 41.25 ± 0.65 a | 35.53 ± 0.13 b |
| Flavonoids (mg/100mL) | 32.46 ± 0.70 a | 30.96 ± 0.66 b | 28.02 ± 0.19 c | |
| DPPH (%) | 46.71 ± 1.18 a | 47.52 ± 0.27 a | 43.38 ± 1.64 b | |
| ABTS (%) | 32.41 ± 0.32 a | 31.61 ± 0.41 a | 26.92 ± 0.77 b | |
| Stability index | CSR (%) | 3.73 ± 0.15 b | 2.06 ± 0.03c | 4.33 ± 0.08 a |
| Microbiological Indicators | Storage Time (d) | Ultra–High–Pressure Sterilization (UHPS) | Heating Sterilization (HS) | ||||
|---|---|---|---|---|---|---|---|
| 37 °C | 27 °C | 4 °C | 37 °C | 27 °C | 4 °C | ||
| CFU (log cfu/mL) | 0 | ND | ND | ND | ND | ND | ND |
| 1 | ND | / | / | ND | / | / | |
| 2 | ND | ND | / | ND | ND | / | |
| 3 | ND | / | / | ND | / | / | |
| 4 | ND | ND | ND | ND | ND | ND | |
| 5 | ND | / | / | ND | / | / | |
| 6 | 0.16 ± 0.01 | ND | / | ND | ND | / | |
| 7 | 0.34 ± 0.03 | / | / | ND | / | / | |
| 8 | / | ND | ND | / | ND | ND | |
| 10 | / | ND | / | ND | / | ||
| 12 | / | ND | ND | / | ND | ND | |
| 14 | / | ND | / | ND | / | ||
| 16 | / | ND | ND | / | / | ND | |
| Moulds and yeasts (log cfu/mL) | 0 | ND | ND | ND | ND | ND | ND |
| 1 | ND | / | / | ND | / | / | |
| 2 | ND | ND | / | ND | ND | / | |
| 3 | ND | / | / | ND | / | / | |
| 4 | ND | ND | ND | ND | ND | ND | |
| 5 | ND | / | / | ND | / | / | |
| 6 | ND | ND | / | ND | ND | / | |
| 7 | ND | / | / | ND | / | / | |
| 8 | / | ND | ND | / | ND | ND | |
| 10 | / | ND | / | ND | / | ||
| 12 | / | ND | ND | / | ND | ND | |
| 14 | / | ND | / | ND | / | ||
| 16 | / | ND | ND | / | / | ND | |
| E. coli (log cfu/mL) | 0 | ND | ND | ND | ND | ND | ND |
| 1 | ND | / | / | ND | / | / | |
| 2 | ND | ND | / | ND | ND | / | |
| 3 | ND | / | / | ND | / | / | |
| 4 | ND | ND | ND | ND | ND | ND | |
| 5 | ND | / | / | ND | / | / | |
| 6 | ND | ND | / | ND | ND | / | |
| 7 | ND | / | / | ND | / | / | |
| 8 | / | ND | ND | / | ND | ND | |
| 10 | / | ND | / | ND | / | ||
| 12 | / | ND | ND | / | ND | ND | |
| 14 | / | ND | / | ND | / | ||
| 16 | / | ND | ND | / | / | ND | |
Disclaimer/Publisher’s Note: The statements, opinions and data contained in all publications are solely those of the individual author(s) and contributor(s) and not of MDPI and/or the editor(s). MDPI and/or the editor(s) disclaim responsibility for any injury to people or property resulting from any ideas, methods, instructions or products referred to in the content. |
© 2023 by the authors. Licensee MDPI, Basel, Switzerland. This article is an open access article distributed under the terms and conditions of the Creative Commons Attribution (CC BY) license (https://creativecommons.org/licenses/by/4.0/).
Share and Cite
Gan, X.; Chen, Z.; Wang, L.; Liu, W.; Ma, Q.; Li, R.; Wang, J.; Mu, J. Evaluation of Ultra–High–Pressure Sterilization in Terms of Bactericidal Effect, Qualities, and Shelf Life of ‘Xinli No. 7’ (Pyrus sinkiangensis) Pear Juice. Foods 2023, 12, 2729. https://doi.org/10.3390/foods12142729
Gan X, Chen Z, Wang L, Liu W, Ma Q, Li R, Wang J, Mu J. Evaluation of Ultra–High–Pressure Sterilization in Terms of Bactericidal Effect, Qualities, and Shelf Life of ‘Xinli No. 7’ (Pyrus sinkiangensis) Pear Juice. Foods. 2023; 12(14):2729. https://doi.org/10.3390/foods12142729
Chicago/Turabian StyleGan, Xiaojing, Zhizhou Chen, Liwen Wang, Wenhui Liu, Qianyun Ma, Rongbin Li, Jie Wang, and Jianlou Mu. 2023. "Evaluation of Ultra–High–Pressure Sterilization in Terms of Bactericidal Effect, Qualities, and Shelf Life of ‘Xinli No. 7’ (Pyrus sinkiangensis) Pear Juice" Foods 12, no. 14: 2729. https://doi.org/10.3390/foods12142729
APA StyleGan, X., Chen, Z., Wang, L., Liu, W., Ma, Q., Li, R., Wang, J., & Mu, J. (2023). Evaluation of Ultra–High–Pressure Sterilization in Terms of Bactericidal Effect, Qualities, and Shelf Life of ‘Xinli No. 7’ (Pyrus sinkiangensis) Pear Juice. Foods, 12(14), 2729. https://doi.org/10.3390/foods12142729

