Genetic Variation and Heritability of Sensory and Artisan Bread Traits in a Set of SRW Wheat Breeding Lines
Abstract
1. Introduction
2. Materials and Methods
2.1. Grain Source
2.2. SDS Sedimentation Volume
2.3. Extraction and SE- HPLC Analysis of Protein Fractions
2.4. Bread Baking
2.5. Sensory Panel Evaluation
2.6. Data Analysis
2.7. SNP Calling and Genome-Wide Association Study (GWAS)
3. Results
4. Discussion
5. Conclusions
Supplementary Materials
Author Contributions
Funding
Institutional Review Board Statement
Informed Consent Statement
Data Availability Statement
Acknowledgments
Conflicts of Interest
References
- Giraldo, P.; Benavente, E.; Manzano-Agugliaro, F.; Gimenez, E. Worldwide research trends on wheat and barley: A bibliometric comparative analysis. Agronomy 2019, 9, 352. [Google Scholar] [CrossRef]
- Longin, F.; Beck, H.; Gütler, H.; Heilig, W.; Kleinert, M.; Rapp, M.; Philipp, N.; Erban, A.; Brilhaus, D.; Mettler-Altmann, T. Aroma and quality of breads baked from old and modern wheat varieties and their prediction from genomic and flour-based metabolite profiles. Food Res. Int. 2020, 129, 108748. [Google Scholar] [CrossRef]
- USDA—National Agricultual Statistics Service. 2022. Available online: https://quickstats.nass.usda.gov/ (accessed on 21 September 2022).
- Rekik, F.; van Es, H.; Hernandez-Aguilera, J.N.; Gómez, M.I. Linking coffee to soil: Can soil health increase coffee cup quality in Colombia? Soil Sci. 2019, 184, 25–33. [Google Scholar] [CrossRef]
- Arnold, R.J.; Ochoa, A.; Kerth, C.R.; Miller, R.K.; Murray, S.C. Assessing the impact of corn variety and Texas terroir on flavor and alcohol yield in new-make bourbon whiskey. PLoS ONE 2019, 14, e0220787. [Google Scholar] [CrossRef]
- Starr, G.; Bredie, W.L.P.; Hansen, Å.S. Sensory profiles of cooked grains from wheat species and varieties. J. Cereal Sci. 2013, 57, 295–303. [Google Scholar] [CrossRef]
- Chang, C.-Y.; Seitz, L.M.; Chambers, E., IV. Volatile flavor components of breads made from hard red winter wheat and hard white winter wheat. Cereal Chem. 1995, 72, 237–242. [Google Scholar]
- Laidig, F.; Hüsken, A.; Rentel, D.; Piepho, H.-P. Protein use efficiency and stability of baking quality in winter wheat based on the relation of loaf volume and grain protein content. Theor. Appl. Genet. 2022, 135, 1331–1343. [Google Scholar] [CrossRef] [PubMed]
- Starr, G.; Hansen, Å.S.; Petersen, M.A.; Bredie, W. Aroma of wheat porridge and bread-crumb is influenced by the wheat variety. LWT-Food Sci. Technol. 2015, 63, 590–598. [Google Scholar] [CrossRef]
- Guttieri, M.J.; Bowen, D.; Gannon, D.; O’Brien, K.; Souza, E. Solvent retention capacities of irrigated soft white spring wheat flours. Crop Sci. 2001, 41, 1054–1061. [Google Scholar] [CrossRef]
- Wang, Y.; Zhen, S.; Luo, N.; Han, C.; Lu, X.; Li, X.; Xia, X.; He, Z.; Yan, Y. Low molecular weight glutenin subunit gene Glu-B3h confers superior dough strength and breadmaking quality in wheat (Triticum aestivum L.). Sci. Rep. 2016, 6, 27182. [Google Scholar] [CrossRef] [PubMed]
- Bajgain, P.; Sallam, A.H.; Annor, G.; Conley, E.; Steffenson, B.J.; Muehlbauer, G.J.; Anderson, J.A. Genetic characterization of flour quality and bread-making traits in a spring wheat nested association mapping population. Crop Sci. 2021, 61, 1168–1183. [Google Scholar] [CrossRef]
- Singh, N.; Donovan, R.; MacRitchie, F. Use of sonication and SE-HPLC in the study of wheat flour proteins. I. Dissolution of total proteins in the absence of reducing agents. Cereal Chem. 1990, 67, 150–161. [Google Scholar]
- Gupta, R.; Khan, K.; Macritchie, F. Biochemical basis of flour properties in bread wheats. I. Effects of variation in the quantity and size distribution of polymeric protein. J. Cereal Sci. 1993, 18, 23–41. [Google Scholar] [CrossRef]
- Ohm, J.B.; Ross, A.; Ong, Y.L.; Peterson, C. Using multivariate techniques to predict wheat flour dough and noodle characteristics from size-exclusion HPLC and RVA data. Cereal Chem. 2006, 83, 1–9. [Google Scholar] [CrossRef]
- Callejo, M.J. Present situation on the descriptive sensory analysis of bread. J. Sens. Stud. 2011, 26, 255–268. [Google Scholar] [CrossRef]
- Duizer, L.; Walker, S. The application of sensory science to the evaluation of grain-based foods. In Encyclopedia of Food Grains; Elsevier Ltd.: Oxford, UK, 2016; Volume 3–4. [Google Scholar]
- Herb, D.; Filichkin, T.; Fisk, S.; Helgerson, L.; Hayes, P.; Meints, B.; Jennings, R.; Monsour, R.; Tynan, S. Vinkemeier. Effects of barley (Hordeum vulgare L.) variety and growing environment on beer flavor. J. Am. Soc. Brew. Chem. 2017, 75, 345–353. [Google Scholar]
- Branlard, G.; Dardevet, M.; Saccomano, R.; Lagoutte, F.; Gourdon, J. Genetic diversity of wheat storage proteins and bread wheat quality. Euphytica 2001, 119, 59–67. [Google Scholar] [CrossRef]
- Payne, P.I. Genetics of wheat storage proteins and the effect of allelic variation on bread-making quality. Annu. Rev. Plant Physiol. 1987, 38, 141–153. [Google Scholar] [CrossRef]
- Shewry, P.R.; Tatham, A.S.; Lazzeri, P. Biotechnology of wheat quality. J. Sci. Food Agric. 1997, 73, 397–406. [Google Scholar] [CrossRef]
- Soil Survey Staff, N.R.C.S.; United States Department of Agriculture (USDA). Web Soil Survey. 2022. Available online: http://websoilsurvey.sc.egov.usda.gov/ (accessed on 11 May 2023).
- Herbek, J.; Lee, C. A comprehensive guide to wheat management in Kentucky. In Cooperative Extension Service; University of Kentucky College of Agriculture: Lexington, KY, USA; Kentucky State University: Frankfort, UK, 2009; pp. 6–12. [Google Scholar]
- Fuertes-Mendizábal, T.; Aizpurua, A.; González-Moro, M.B.; Estavillo, J.M. Improving wheat breadmaking quality by splitting the N fertilizer rate. Eur. J. Agron. 2010, 33, 52–61. [Google Scholar] [CrossRef]
- Cereals & Grains Association. AACC Approved Methods. In Method 56–70: Sodium Dodecyl Sulfate Sedimentation Test for Durum Wheat, 10th ed.; Cereals & Grains Association: St. Paul, MN, USA, 2000. [Google Scholar]
- Malalgoda, M.; Ohm, J.-B.; Meinhardt, S.; Simsek, S. Association between gluten protein composition and breadmaking quality characteristics in historical and modern spring wheat. Cereal Chem. 2018, 95, 226–238. [Google Scholar] [CrossRef]
- Ohm, J.B.; Hareland, G.; Simsek, S.; Seabourn, B. Size-exclusion HPLC of protein using a narrow-bore column for evaluation of breadmaking quality of hard spring wheat flours. Cereal Chem. 2009, 86, 463–469. [Google Scholar] [CrossRef]
- Ohm, J.B.; Ross, A.; Peterson, C.; Ong, Y.L. Relationships of high molecular weight glutenin subunit composition and molecular weight distribution of wheat flour protein with water absorption and color characteristics of noodle dough. Cereal Chem. 2008, 85, 123–131. [Google Scholar] [CrossRef]
- Knapp, S.; Stroup, W.; Ross, W. Exact confidence intervals for heritability on a progeny mean basis 1. Crop Sci. 1985, 25, 192–194. [Google Scholar] [CrossRef]
- Baardseth, P.; Kvaal, K.; Lea, P.; Ellekjaer, M.; Færgestad, E. The effects of bread making process and wheat quality on French baguettes. J. Cereal Sci. 2000, 32, 73–87. [Google Scholar] [CrossRef]
- Martens, H.; Naes, T. Multivariate Calibration; John Wiley & Sons: Hoboken, NJ, USA, 1992. [Google Scholar]
- Verges, V.L.; Brown-Guedira, G.L.; Van Sanford, D.A. Genome-wide association studies combined with genomic selection as a tool to increase Fusarium head blight resistance in wheat. Crop Breed. Genet. Genom. 2021, 3, e210007. [Google Scholar]
- Poland, J.A.; Rife, T.W. Genotyping-by-sequencing for plant breeding and genetics. Plant Genome 2012, 5, 92–102. [Google Scholar] [CrossRef]
- Wang, J.; Zhang, Z. GAPIT Version 3: Boosting power and accuracy for genomic association and prediction. Genom. Proteom. Bioinform. 2021, 19, 629–640. [Google Scholar] [CrossRef]
- Knott, C.A.; Van Sanford, D.A.; Souza, E.J. Genetic variation and the effectiveness of early-generation selection for soft winter wheat quality and gluten strength. Crop Sci. 2009, 49, 113–119. [Google Scholar] [CrossRef]
- Souza, E.; Martin, J.; Guttieri, M.; O’Brien, K.; Habernicht, D.; Lanning, S.; McLean, R.; Carlson, G.; Talbert, L. Influence of genotype, environment, and nitrogen management on spring wheat quality. Crop Sci. 2004, 44, 425–432. [Google Scholar] [CrossRef]
- Halloran, G.; Lee, J. Plant nitrogen distribution in wheat cultivars. Aust. J. Agric. Res. 1979, 30, 779–789. [Google Scholar] [CrossRef]
- Monaghan, J.M.; Snape, J.W.; Chojecki, A.J.S.; Kettlewell, P.S. The use of grain protein deviation for identifying wheat cultivars with high grain protein concentration and yield. Euphytica 2001, 122, 309–317. [Google Scholar] [CrossRef]
- Rapp, M.; Beck, H.; Gütler, H.; Heilig, W.; Starck, N.; Römer, P.; Cuendet, C.; Uhlig, F.; Kurz, H.; Würschum, T.; et al. Spelt: Agronomy, quality, and flavor of its breads from 30 varieties tested across multiple environments. Crop Sci. 2017, 57, 739–747. [Google Scholar] [CrossRef]
- Longin, C.F.H.; Sieber, A.-N.; Reif, J.C. Combining frost tolerance, high grain yield and good pasta quality in durum wheat. Plant Breed. 2013, 132, 353–358. [Google Scholar] [CrossRef]
- Arata, A.F.; Rogers, W.J.; Tranquilli, G.E.; Arrigoni, A.C.; Rondanini, D.P. Nitrogen–sulfur fertilisation effects on gluten composition and industrial quality in Argentinean bread wheat cultivars differing in apparent sulfur recovery. Crop Pasture Sci. 2021, 72, 183–196. [Google Scholar] [CrossRef]
- López-Bellido, L.; Fuentes, M.; Castillo, J.E.; López-Garrido, F.J. Effects of tillage, crop rotation and nitrogen fertilization on wheat-grain quality grown under rainfed Mediterranean conditions. Field Crops Res. 1998, 57, 265–276. [Google Scholar] [CrossRef]
- Kaltsikes, P.; Evans, L.; Bushuk, W. Durum-type wheat with high bread-making quality. Science 1968, 159, 211–213. [Google Scholar] [CrossRef]
- Kerber, E.; Tipples, K. Effects of the D genome on milling and baking properties of wheat. Can. J. Plant Sci. 1969, 49, 255–263. [Google Scholar] [CrossRef]
- Liu, C.Y.; Shepherd, K.W.; Rathjen, A.J. Improvement of durum wheat pastamaking and breadmaking qualities. Cereal Chem. 1996, 73, 155–166. [Google Scholar]
- Shewry, P.R.; Halford, N.G.; Tatham, A.S. High molecular weight subunits of wheat glutenin. J. Cereal Sci. 1992, 15, 105–120. [Google Scholar] [CrossRef]
- DeWitt, N. (Louisiana State University, Baton Rouge, LA, USA). Personal communication, 2022.
- Anderson, O.; Rausch, C.; Moullet, O.; Lagudah, E. The wheat D-genome HMW-glutenin locus: BAC sequencing, gene distribution, and retrotransposon clusters. Funct. Integr. Genom. 2003, 3, 56–68. [Google Scholar] [CrossRef] [PubMed]
- Appels, R.; Eversole, K.; Stein, N.; Feuillet, C.; Keller, B.; Singh, N.K.; International Wheat Genome Sequencing Consortium. Shifting the limits in wheat research and breeding using a fully annotated reference genome. Science 2018, 361, eaar7191. [Google Scholar]
- Bietz, J.; Shepherd, K.; Wall, J. Single-kernel analysis of glutenin: Use in wheat genetics and breeding. Cereal Chem. 1975, 52, 513–532. [Google Scholar]
- Liu, S.; Chao, S.; Anderson, J.A. New DNA markers for high molecular weight glutenin subunits in wheat. Theor. Appl. Genet. 2008, 118, 177–183. [Google Scholar] [CrossRef]
- Gómez-Becerra, H.F.; Abugalieva, A.; Morgounov, A.; Abdullayev, K.; Bekenova, L.; Yessimbekova, M.; Sereda, G.; Shpigun, S.; Tsygankov, V.; Zelenskiy, Y. Phenotypic correlations, G× E interactions and broad sense heritability analysis of grain and flour quality characteristics in high latitude spring bread wheats from Kazakhstan and Siberia. Euphytica 2010, 171, 23–38. [Google Scholar] [CrossRef]
- Dhaka, V.; Khatkar, B. Effects of gliadin/glutenin and HMW-GS/LMW-GS ratio on dough rheological properties and bread-making potential of wheat varieties. J. Food Qual. 2015, 38, 71–82. [Google Scholar] [CrossRef]
- Field, J.M.; Shewry, P.R.; Miflin, B.J. Solubilisation and characterisation of wheat gluten proteins: Correlations between the amount of aggregated proteins and baking quality. J. Sci. Food Agric. 1983, 34, 370–377. [Google Scholar] [CrossRef]
- Shewry, P.R.; Halford, N.G.; Belton, P.S.; Tatham, A.S. The structure and properties of gluten: An elastic protein from wheat grain. Philos. Trans. R. Soc. London. Ser. B Biol. Sci. 2002, 357, 133–142. [Google Scholar] [CrossRef]






| Quality Parameter | Units | Entry Means | Mean Squares | |||||
|---|---|---|---|---|---|---|---|---|
| Min | Max | Mean | Year | Genotype | Genotype × Year | Error | ||
| Aroma | 1–7 scale † | 3.10 | 5.20 | 4.0 | 4.72 | 1.57 * | 1.23 | 1.24 |
| Flavor | 1–7 scale † | 3.10 | 5.20 | 4.0 | 10.47 | 1.75 ** | 1.06 | 1.28 |
| Texture: Crumb | 1–7 scale † | 2.70 | 5.10 | 3.70 | 7.04 | 2.47 *** | 1.11 | 1.17 |
| Texture: Crust | 1–7 scale † | 3.20 | 5.10 | 4.10 | 1.58 | 2.17 *** | 1.13 | 1.07 |
| Grain Protein Concentration | % | 9.12 | 14.64 | 11.27 | 12.43 | 1.67 *** | 1.19 | 0.09 |
| Kernel Hardness | % | 7.32 | 31.12 | 19.36 | 40.22 | 30.20 *** | 24.02 | 2.72 |
| SDS Sedimentation Volume | cm3 | 4.75 | 15.25 | 9.25 | 1548.39 | 5.71 *** | 2.69 | 0.17 |
| Loaf Volume | cm3 | 400 | 625 | 502 | 3517.66 | 1875.86 *** | 602.08 | |
| Loaf Density | gr/cm3 | 0.41 | 0.74 | 0.53 | 6.15 × 10−7 | 0.0021 ns | 0.002 | |
| Loaf Height | cm | 5.4 | 8.9 | 6.9 | 2.73 | 0.33 ** | 0.20 | |
| Dough extensibility score | 1–7 scale ‡ | 1.00 | 7.00 | 3.30 | 35.03 | 3.31 ** | 2.15 | |
| Flour Protein Concentration | % | 8.28 | 15.07 | 10.87 | 0.93 ns | 0.76 | ||
| T_HMW-GS | A% | 21.33 | 31.59 | 26.46 | 5.18 *** | 0.79 | ||
| T_LMW-GS | A% | 10.21 | 16.03 | 13.06 | 0.98 *** | 0.18 | ||
| T_Gli | A% | 35.35 | 45.14 | 39.34 | 5.85 *** | 1.18 | ||
| T_HMW:LMW | - | 1.50 | 2.44 | 2.04 | 0.02 * | 0.01 | ||
| T_Gli:Glu | - | 0.79 | 1.36 | 1.00 | 0.02 *** | 0.002 | ||
| UPP:TPP | - | 0.34 | 0.59 | 0.47 | 0.002 *** | 0.001 | ||
| Flavor | Crumb | Crust | GPC | KH | SV | LH | DE | LV | LD | FPC | T_HMW | T_LMW | T_Gli | T_HMW: LMW | T_Gli: Glu | UPP:TPP | |
|---|---|---|---|---|---|---|---|---|---|---|---|---|---|---|---|---|---|
| Aroma | 0.4 ** | 0.43 *** | 0.35 * | 0.15 ns | −0.01 ns | 0.39 ** | 0.28 * | 0.51 *** | 0.32 * | −0.18 ns | 0.16 ns | 0.13 ns | −0.01 ns | 0.14 ns | 0.16 ns | −0.1 ns | 0.21 ns |
| Flavor | 0.58 *** | 0.4 *** | 0.04 ns | −0.1 ns | 0.36 * | 0.31 * | 0.34 * | 0.26 * | −0.12 ns | −0.01 ns | 0.23 ns | 0.02 ns | −0.2 ns | 0.25 * | −0.17 ns | 0.24 ns | |
| Crumb | 0.66 *** | 0.08 ns | −0.16 ns | 0.32 * | 0.3 * | 0.44 *** | 0.34 * | −0.37 * | 0.12 ns | 0.18 ns | −0.02 ns | −0.09 ns | 0.22 ns | −0.09 ns | 0.29 * | ||
| Crust | 0.18 ns | −0.02 ns | 0.45 *** | 0.39 ** | 0.45 *** | 0.4 ** | −0.35 * | 0.17 ns | 0.19 ns | −0.12 ns | −0.12 ns | 0.35 * | −0.08 ns | 0.49 *** | |||
| GPC | 0.5 *** | 0.51 *** | 0.27 * | 0.39 ** | 0.21 ns | −0.12 ns | 0.81 *** | −0.27 * | −0.39 ** | 0.28 * | 0.13 ns | 0.32 ** | 0.23 * | ||||
| KH | 0.2 ns | 0.07 ns | −0.05 ns | −0.09 ns | 0.14 ns | 0.31 * | −0.33 * | −0.23 ns | 0.32 * | −0.12 ns | 0.33 ** | 0.11 ns | |||||
| SV | 0.57 *** | 0.6 *** | 0.5 *** | −0.33 * | 0.47 *** | 0.29 * | −0.1 ns | −0.24 ns | 0.45 *** | −0.23 ns | 0.63 *** | ||||||
| LH | 0.47 *** | 0.66 *** | −0.45 *** | 0.27 * | 0.29 * | −0.1 ns | −0.24 ns | 0.45 *** | −0.21 ns | 0.58 *** | |||||||
| DE | 0.54 *** | −0.46 *** | 0.4 ** | 0.14 ns | −0.11 ns | −0.19 ns | 0.41 ** | 0.16 ns | 0.25 * | ||||||||
| LV | −0.76 *** | 0.1 ns | 0.06 ns | −0.24 * | −0.07 ns | 0.32 * | 0.01 ns | 0.53 *** | |||||||||
| LD | −0.08 ns | −0.02 ns | 0.15 ns | −0.01 ns | −0.18 ns | −0.02 ns | −0.4 * | ||||||||||
| FPC | −0.08 ns | −0.18 ns | 0.12 ns | 0.14 ns | 0.11 ns | 0.06 ns | |||||||||||
| T_HMW | 0.63 *** | −0.91 *** | 0.49 *** | −0.96 *** | 0.1 ns | ||||||||||||
| T_LMW | −0.65 *** | −0.38 ** | −0.76 *** | −0.34 * | |||||||||||||
| T_Gli | −0.36 * | 0.97 *** | −0.09 ns | ||||||||||||||
| T_HMW:LMW | −0.29 * | 0.49 *** | |||||||||||||||
| T_Gli:Glu | 0.01 ns |
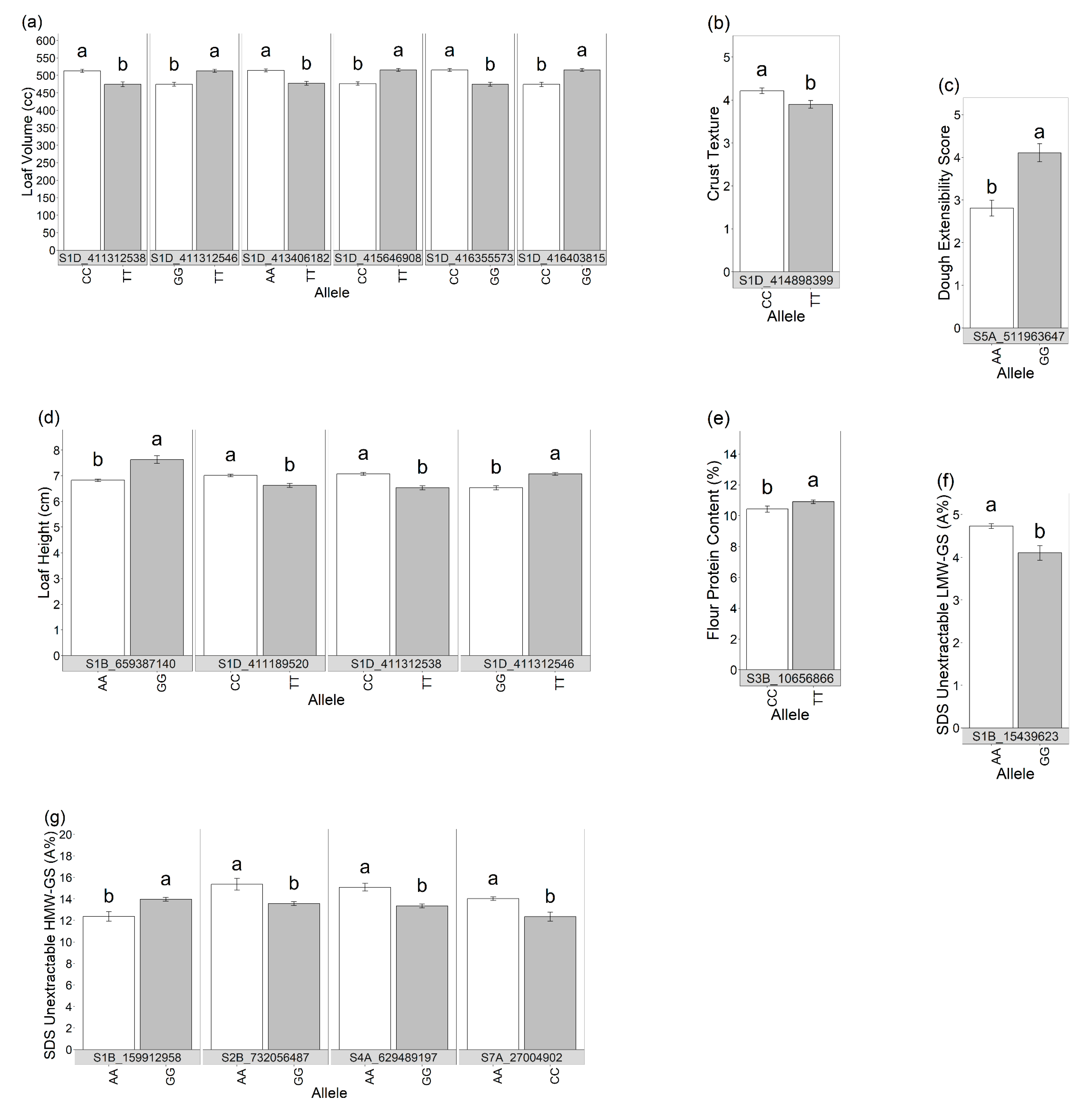
| Trait | SNP | Chr | Position | Environment | Model | Effect (%) | FDR Adj. p-Value |
|---|---|---|---|---|---|---|---|
| CRUST TEXTURE | S1D_414898399 | 1D | 414898399 | ENV 1 (2020) | FARMCPU | 0.35 | 4.7 × 10−2 |
| ENV 3 (AVERAGE) | BLINK | 0.24 | 9.3 × 10−3 | ||||
| LOAF HEIGHT | S1B_659387140 | 1B | 659387140 | ENV 3 (AVERAGE) | BLINK | 0.26 | 6.2 × 10−2 |
| FARMCPU | 0.21 | 1.6 × 10−3 | |||||
| ENV 4 (BLUPS) | BLINK | 0.15 | 2.8 × 10−3 | ||||
| FARMCPU | 0.12 | 3.6 × 10−4 | |||||
| GLM | 0.19 | 4.5 × 10−2 | |||||
| S1D_411189520 | 1D | 411189520 | ENV 1 (2020) | BLINK | −0.32 | 6.3 × 10−5 | |
| GLM | −0.33 | 7.2 × 10−2 | |||||
| ENV 3 (AVERAGE) | GLM | −0.21 | 1.5 × 10−2 | ||||
| S1D_411312538 | 1D | 411312538 | ENV 1 (2020) | GLM | −0.33 | 7.2 × 10−2 | |
| ENV 3 (AVERAGE) | GLM | −0.27 | 4.9 × 10−3 | ||||
| ENV 4 (BLUPS) | GLM | −0.13 | 4.5 × 10−2 | ||||
| S1D_411312546 | 1D | 411312546 | ENV 1 (2020) | GLM | 0.33 | 7.2 × 10−2 | |
| ENV 3 (AVERAGE) | BLINK | 0.25 | 5.3 × 10−6 | ||||
| FARMCPU | 0.20 | 8.8 × 10−6 | |||||
| GLM | 0.27 | 4.9 × 10−3 | |||||
| ENV 4 (BLUPS) | BLINK | 0.12 | 1.0 × 10−4 | ||||
| FARMCPU | 0.09 | 3.5 × 10−4 | |||||
| GLM | 0.13 | 4.5 × 10−2 | |||||
| LOAF VOLUME | S1D_411312538 | 1D | 411312538 | ENV 1 (2020) | FARMCPU | −22.37 | 1.5 × 10−2 |
| ENV 4 (BLUPS) | FARMCPU | −12.50 | 7.0 × 10−2 | ||||
| S1D_411312546 | 1D | 411312546 | ENV 1 (2020) | FARMCPU | 20.21 | 3.4 × 10−2 | |
| ENV 4 (BLUPS) | FARMCPU | 12.50 | 7.0 × 10−2 | ||||
| S1D_413406182 | 1D | 413406182 | ENV 1 (2020) | BLINK | −21.08 | 2.2 × 10−4 | |
| FARMCPU | −21.08 | 1.5 × 10−2 | |||||
| S1D_415646908 | 1D | 415646908 | ENV 1 (2020) | FARMCPU | 19.75 | 2.5 × 10−2 | |
| ENV 3 (AVERAGE) | BLINK | 17.41 | 2.1 × 10−4 | ||||
| FARMCPU | 9.07 | 3.0 × 10−2 | |||||
| ENV 4 (BLUPS) | FARMCPU | 12.41 | 5.5 × 10−2 | ||||
| S1D_416355573 | 1D | 416355573 | ENV 1 (2020) | FARMCPU | −19.31 | 4.2 × 10−2 | |
| ENV 4 (BLUPS) | FARMCPU | −12.94 | 5.5 × 10−2 | ||||
| S1D_416403815 | 1D | 416403815 | ENV 1 (2020) | FARMCPU | 22.50 | 2.2 × 10−2 | |
| ENV 4 (BLUPS) | FARMCPU | 12.95 | 5.5 × 10−2 | ||||
| DOUGH EXTENSIBILITY | S5A_511963647 | 5A | 511963647 | ENV 1 (2020) | BLINK | 1.17 | 3.7 × 10−6 |
| FARMCPU | 0.63 | 6.6 × 10−2 | |||||
| ENV 3 (AVERAGE) | BLINK | 0.75 | 4.4 × 10−7 | ||||
| FARMCPU | 0.58 | 9.9 × 10−6 | |||||
| ENV 4 (BLUPS) | BLINK | 0.30 | 6.9 × 10−5 | ||||
| FARMCPU | 0.22 | 1.6 × 10−4 | |||||
| FLOUR PROTEIN | S3B_10656866 | 3B | 10656866 | ENV 1 (2020) | BLINK | 0.87 | 1.7 × 10−3 |
| FARMCPU | 0.87 | 4.6 × 10−2 | |||||
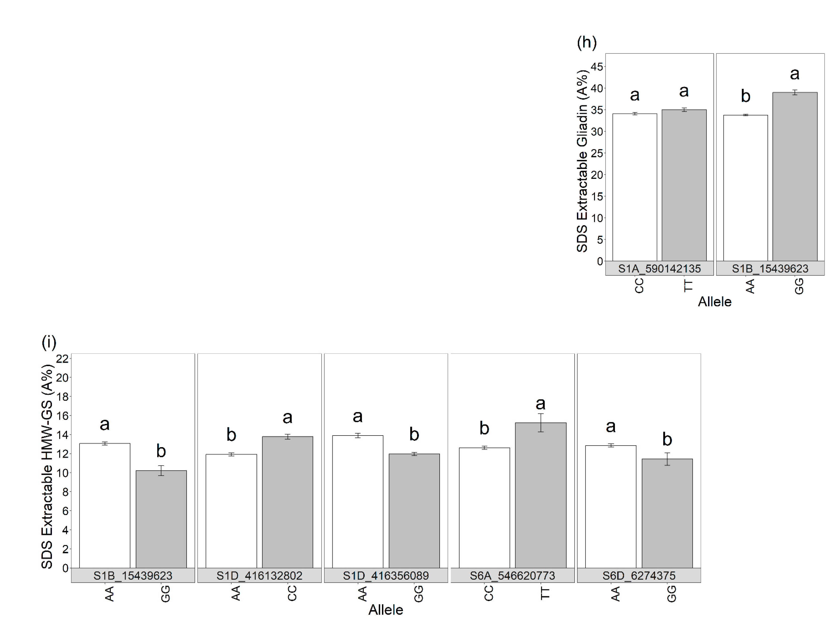
| E_GLIADIN | S1A_590142135 | 1A | 590142135 | ENV 2 (2021) | BLINK | 0.87 | 6.6 × 10−3 |
| FARMCPU | 0.70 | 5.0 × 10−4 | |||||
| ENV 3 (AVERAGE) | FARMCPU | 0.55 | 1.2 × 10−2 | ||||
| ENV 4 (BLUPS) | FARMCPU | 0.42 | 7.1 × 10−3 | ||||
| S1B_15439623 | 1B | 15439623 | ENV 1 (2020) | BLINK | 2.52 | 8.6 × 10−10 | |
| FARMCPU | 2.30 | 2.4 × 10−19 | |||||
| GLM | 2.59 | 2.4 × 10−3 | |||||
| ENV 2 (2021) | BLINK | 2.43 | 5.8 × 10−11 | ||||
| FARMCPU | 2.35 | 1.6 × 10−12 | |||||
| GLM | 2.35 | 7.2 × 10−4 | |||||
| ENV 3 (AVERAGE) | BLINK | 2.50 | 4.0 × 10−12 | ||||
| FARMCPU | 2.10 | 1.3 × 10−13 | |||||
| GLM | 2.46 | 1.2 × 10−4 | |||||
| ENV 4 (BLUPS) | BLINK | 2.05 | 3.3 × 10−12 | ||||
| FARMCPU | 1.91 | 3.6 × 10−15 | |||||
| GLM | 2.02 | 1.2 × 10−4 | |||||
| E_HMW | S1B_15439623 | 1B | 15439623 | ENV 1 (2020) | BLINK | −1.07 | 6.0 × 10−3 |
| ENV 2 (2021) | BLINK | −1.28 | 8.8 × 10−6 | ||||
| FARMCPU | −1.06 | 1.1 × 10−7 | |||||
| GLM | −1.58 | 8.2 × 10−3 | |||||
| ENV 3 (AVERAGE) | BLINK | −1.13 | 7.5 × 10−6 | ||||
| FARMCPU | −1.23 | 4.9 × 10−9 | |||||
| GLM | −1.41 | 5.9 × 10−3 | |||||
| ENV 4 (BLUPS) | BLINK | −0.82 | 2.8 × 10−6 | ||||
| FARMCPU | 0.59 | 3.7 × 10−8 | |||||
| GLM | −1.07 | 7.2 × 10−3 | |||||
| S1D_416132802 | 1D | 416132802 | ENV 2 (2021) | GLM | 1.03 | 8.2 × 10−3 | |
| ENV 3 (AVERAGE) | GLM | 0.96 | 5.4 × 10−3 | ||||
| ENV 4 (BLUPS) | BLINK | 0.59 | 1.0 × 10−6 | ||||
| FARMCPU | −0.81 | 4.0 × 10−8 | |||||
| GLM | 0.71 | 7.2 × 10−3 | |||||
| S1D_416356089 | 1D | 416356089 | ENV 2 (2021) | BLINK | −0.89 | 8.8 × 10−6 | |
| FARMCPU | −1.03 | 1.6 × 10−10 | |||||
| GLM | −1.11 | 8.2 × 10−3 | |||||
| ENV 3 (AVERAGE) | BLINK | −0.74 | 1.1 × 10−5 | ||||
| FARMCPU | −0.61 | 1.6 × 10−4 | |||||
| GLM | −0.98 | 5.4 × 10−3 | |||||
| ENV 4 (BLUPS) | GLM | −0.71 | 7.2 × 10−3 | ||||
| S6A_546620773 | 6A | 546620773 | ENV 3 (AVERAGE) | BLINK | 1.12 | 1.5 × 10−2 | |
| FARMCPU | 0.84 | 1.0 × 10−1 | |||||
| S6D_6274375 | 6D | 6274375 | ENV 2 (2021) | FARMCPU | −1.18 | 2.0 × 10−4 | |
| ENV 4 (BLUPS) | BLINK | −0.97 | 1.1 × 10−3 | ||||
| FARMCPU | −0.90 | 3.5 × 10−3 | |||||
| U_HMW | S1B_159912958 | 1B | 159912958 | ENV 1 (2020) | BLINK | 0.96 | 3.4 × 10−2 |
| FARMCPU | 1.23 | 2.2 × 10−2 | |||||
| S2B_732056487 | 2B | 732056487 | ENV 1 (2020) | BLINK | −0.97 | 3.4 × 10−2 | |
| FARMCPU | −1.37 | 3.7 × 10−2 | |||||
| S4A_629489197 | 4A | 629489197 | ENV 3 (AVERAGE) | BLINK | −1.05 | 1.9 × 10−4 | |
| ENV 4 (BLUPS) | BLINK | −0.75 | 1.1 × 10−3 | ||||
| S7A_27004902 | 7A | 27004902 | ENV 3 (AVERAGE) | BLINK | −0.84 | 3.5 × 10−3 | |
| ENV 4 (BLUPS) | BLINK | −0.60 | 1.2 × 10−2 | ||||
| U_LMW | S1B_15439623 | 1B | 15439623 | ENV 1 (2020) | BLINK | −0.46 | 1.4 × 10−6 |
| FARMCPU | −0.44 | 4.4 × 10−8 |
Disclaimer/Publisher’s Note: The statements, opinions and data contained in all publications are solely those of the individual author(s) and contributor(s) and not of MDPI and/or the editor(s). MDPI and/or the editor(s) disclaim responsibility for any injury to people or property resulting from any ideas, methods, instructions or products referred to in the content. |
© 2023 by the authors. Licensee MDPI, Basel, Switzerland. This article is an open access article distributed under the terms and conditions of the Creative Commons Attribution (CC BY) license (https://creativecommons.org/licenses/by/4.0/).
Share and Cite
Castellari, M.P.; Simsek, S.; Ohm, J.-B.; Perry, R.; Poffenbarger, H.J.; Phillips, T.D.; Jacobsen, K.L.; Van Sanford, D.A. Genetic Variation and Heritability of Sensory and Artisan Bread Traits in a Set of SRW Wheat Breeding Lines. Foods 2023, 12, 2617. https://doi.org/10.3390/foods12132617
Castellari MP, Simsek S, Ohm J-B, Perry R, Poffenbarger HJ, Phillips TD, Jacobsen KL, Van Sanford DA. Genetic Variation and Heritability of Sensory and Artisan Bread Traits in a Set of SRW Wheat Breeding Lines. Foods. 2023; 12(13):2617. https://doi.org/10.3390/foods12132617
Chicago/Turabian StyleCastellari, Maria P., Senay Simsek, Jae-Bom Ohm, Robert Perry, Hanna J. Poffenbarger, Timothy D. Phillips, Krista L. Jacobsen, and David A. Van Sanford. 2023. "Genetic Variation and Heritability of Sensory and Artisan Bread Traits in a Set of SRW Wheat Breeding Lines" Foods 12, no. 13: 2617. https://doi.org/10.3390/foods12132617
APA StyleCastellari, M. P., Simsek, S., Ohm, J.-B., Perry, R., Poffenbarger, H. J., Phillips, T. D., Jacobsen, K. L., & Van Sanford, D. A. (2023). Genetic Variation and Heritability of Sensory and Artisan Bread Traits in a Set of SRW Wheat Breeding Lines. Foods, 12(13), 2617. https://doi.org/10.3390/foods12132617

