Lutein-Fortified Plant-Based Egg Analogs Designed to Improve Eye Health: Formation, Characterization, In Vitro Digestion, and Bioaccessibility
Abstract
1. Introduction
2. Materials and Methods
2.1. Materials
Sample Preparation
2.2. In Vitro Digestion
2.3. Lipid Hydrolysis
2.4. Characterization of Physicochemical Properties
2.4.1. Color
2.4.2. Zeta Potential and Size Distribution
2.4.3. Microstructure
2.5. Lutein Bioaccessibility and Stability
2.6. Statistical Analysis
3. Results and Discussion
3.1. Impact of Droplet Characteristics on Appearance
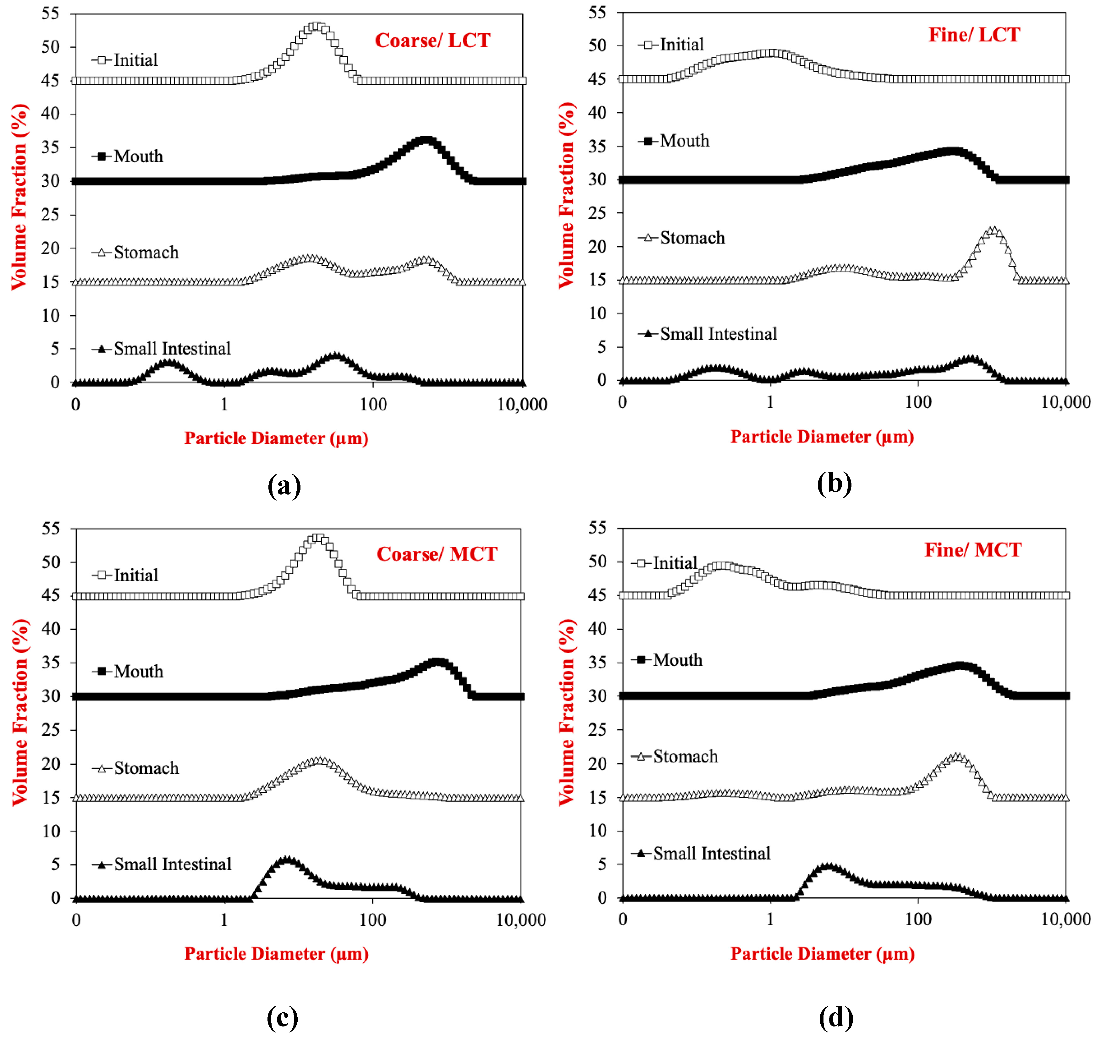
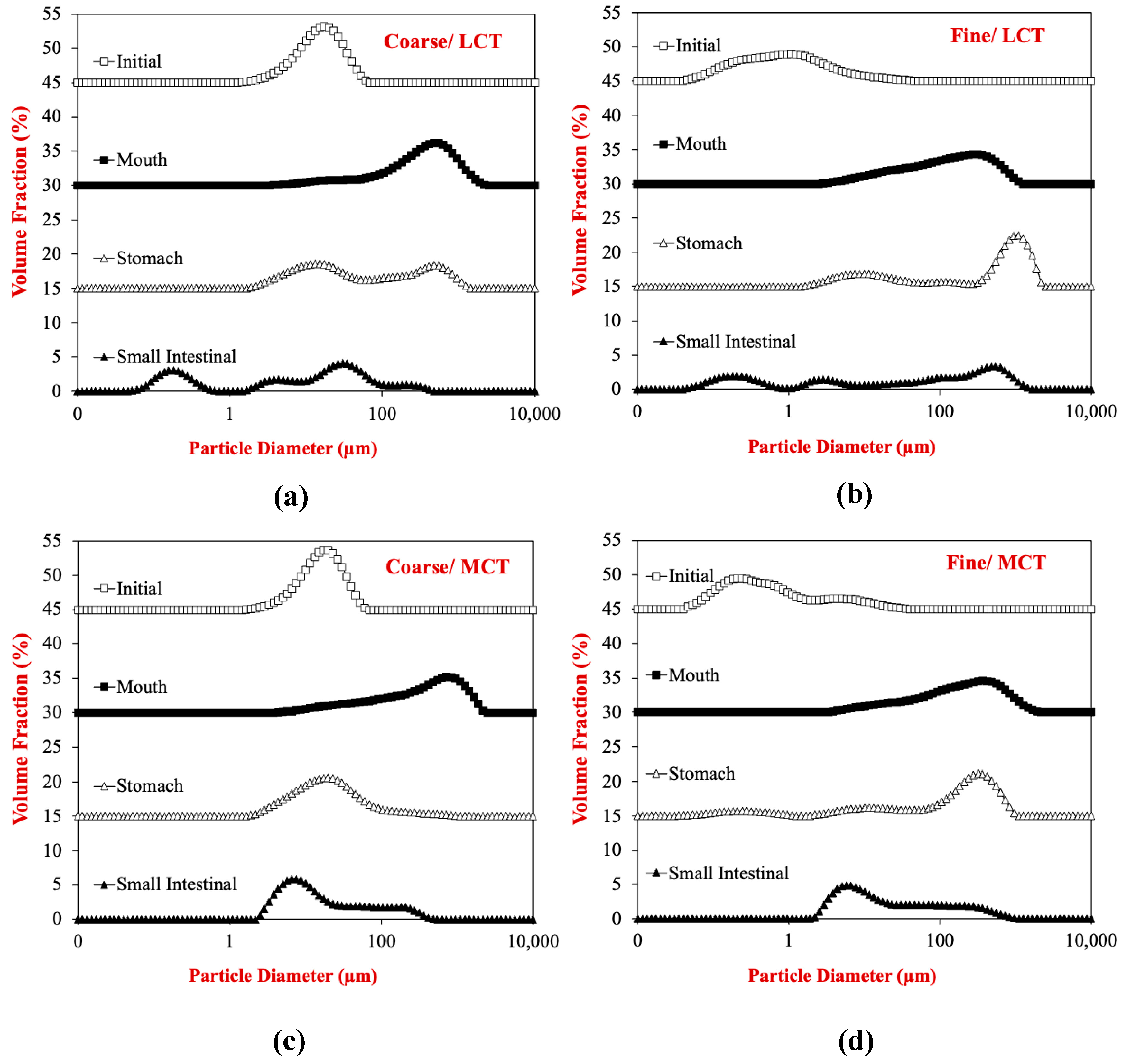
3.2. Impact of Gastrointestinal Transit on Particle Size and Charge Characteristics
3.3. Microstructure
3.4. Lipid Digestion
3.5. Bioaccessibility
4. Conclusions
Author Contributions
Funding
Institutional Review Board Statement
Informed Consent Statement
Data Availability Statement
Acknowledgments
Conflicts of Interest
References
- GFI. Summarizing Plant-Based Food Market Sales Data. Available online: https://gfi.org/marketresearch/ (accessed on 19 December 2020).
- Fehér, A.; Gazdecki, M.; Véha, M.; Szakály, M.; Szakály, Z. A Comprehensive Review of the Benefits of and the Barriers to the Switch to a Plant-Based Diet. Sustainability 2020, 12, 4136. [Google Scholar] [CrossRef]
- Willett, W.; Rockstrom, J.; Loken, B.; Springmann, M.; Lang, T.; Vermeulen, S.; Garnett, T.; Tilman, D.; DeClerck, F.; Wood, A.; et al. Food in the Anthropocene: The EAT-Lancet Commission on healthy diets from sustainable food systems. Lancet 2019, 393, 447–492. [Google Scholar] [CrossRef]
- McClements, D.J.; Grossmann, L. The science of plant-based foods: Constructing next-generation meat, fish, milk, and egg analogs. Compr. Rev. Food Sci. Food Saf. 2021, 20, 4049–4100. [Google Scholar] [CrossRef]
- Zhou, H.; Vu, G.; McClements, D.J. Formulation and characterization of plant-based egg white analogs using RuBisCO protein. Food Chem. 2022, 397, 133808. [Google Scholar] [CrossRef]
- Rondoni, A.; Millan, E.; Asioli, D. Plant-based Eggs: Views of Industry Practitioners and Experts. J. Int. Food Agribus. Mark. 2021, 34, 564–587. [Google Scholar] [CrossRef]
- Aschemann-Witzel, J.; Gantriis, R.F.; Fraga, P.; Perez-Cueto, F.J.A. Plant-based food and protein trend from a business perspective: Markets, consumers, and the challenges and opportunities in the future. Crit. Rev. Food Sci. Nutr. 2021, 61, 3119–3128. [Google Scholar] [CrossRef]
- Caubet, J.-C.; Wang, J. Current Understanding of Egg Allergy. Pediatr. Clin. N. Am. 2011, 58, 427–443. [Google Scholar] [CrossRef]
- Abdel-Aal, E.-S.M.; Akhtar, H.; Zaheer, K.; Ali, R. Dietary Sources of Lutein and Zeaxanthin Carotenoids and Their Role in Eye Health. Nutrients 2013, 5, 1169–1185. [Google Scholar] [CrossRef]
- Handelman, G.J.; Nightingale, Z.D.; Lichtenstein, A.H.; Schaefer, E.J.; Blumberg, J.B. Lutein and zeaxanthin concentrations in plasma after dietary supplementation with egg yolk. Am. J. Clin. Nutr. 1999, 70, 247–251. [Google Scholar] [CrossRef]
- Arunkumar, R.; Calvo, C.M.; Conrady, C.D.; Bernstein, P.S. What do we know about the macular pigment in AMD: The past, the present, and the future. Eye 2018, 32, 992–1004. [Google Scholar] [CrossRef]
- Arunkumar, R.; Gorusupudi, A.; Bernstein, P.S. The macular carotenoids: A biochemical overview. Biochim. Biophys. Acta-Mol. Cell Biol. Lipids 2020, 1865, 158617. [Google Scholar] [CrossRef] [PubMed]
- Bernstein, P.S.; Li, B.X.; Vachali, P.P.; Gorusupudi, A.; Shyam, R.; Henriksen, B.S.; Nolan, J.M. Lutein, zeaxanthin, and meso-zeaxanthin: The basic and clinical science underlying carotenoid-based nutritional interventions against ocular disease. Prog. Retin. Eye Res. 2016, 50, 34–66. [Google Scholar] [CrossRef] [PubMed]
- Bartlett, H.E.; Eperjesi, F. Effect of lutein and antioxidant dietary supplementation on contrast sensitivity in age-related macular disease: A randomized controlled trial. Eur. J. Clin. Nutr. 2007, 61, 1121–1127. [Google Scholar] [CrossRef] [PubMed]
- Ranard, K.M.; Jeon, S.; Mohn, E.S.; Griffiths, J.C.; Johnson, E.J.; Erdman, J.W. Dietary guidance for lutein: Consideration for intake recommendations is scientifically supported. Eur. J. Nutr. 2017, 56, 37–42. [Google Scholar] [CrossRef] [PubMed]
- Boon, C.S.; McClements, D.J.; Weiss, J.; Decker, E.A. Factors influencing the chemical stability of carotenoids in foods. Crit. Rev. Food Sci. Nutr. 2010, 50, 515–532. [Google Scholar] [CrossRef] [PubMed]
- Kumar, D.H.L.; Mitra, J.; Roopa, S.S. Nanoencapsulation of Food Carotenoids. In Environmental Nanotechnology; Dasgupta, N., Ranjan, S., Lichtfouse, E., Eds.; Environmental Chemistry for a Sustainable World; Springer: Cham, Switzerland, 2020; Volume 27, pp. 203–242. [Google Scholar]
- Rostamabadi, H.; Falsafi, S.R.; Jafari, S.M. Nanoencapsulation of carotenoids within lipid-based nanocarriers. J. Control. Release 2019, 298, 38–67. [Google Scholar] [CrossRef]
- Steiner, B.M.; McClements, D.J.; Davidov-Pardo, G. Encapsulation systems for lutein: A review. Trends Food Sci. Technol. 2018, 82, 71–81. [Google Scholar] [CrossRef]
- Zimmer, T.B.R.; Mendonca, C.R.B.; Zambiazi, R.C. Methods of protection and application of carotenoids in foods—A bibliographic review. Food Biosci. 2022, 48, 101829. [Google Scholar] [CrossRef]
- Choi, S.J.; McClements, D.J. Nanoemulsions as delivery systems for lipophilic nutraceuticals: Strategies for improving their formulation, stability, functionality and bioavailability. Food Sci. Biotechnol. 2020, 29, 149–168. [Google Scholar] [CrossRef]
- Kopec, R.E.; Failla, M.L. Recent advances in the bioaccessibility and bioavailability of carotenoids and effects of other dietary lipophiles. J. Food Compos. Anal. 2018, 68, 16–30. [Google Scholar] [CrossRef]
- Zhang, Y.Q.; Kong, L.Y.; Tan, L.B. Effectiveness of nanoscale delivery systems on improving the bioavailability of lutein in rodent models: A systematic review. Crit. Rev. Food Sci. Nutr. 2022, 62, 2375–2390. [Google Scholar] [CrossRef] [PubMed]
- Brodkorb, A.; Egger, L.; Alminger, M.; Alvito, P.; Assuncao, R.; Ballance, S.; Bohn, T.; Bourlieu-Lacanal, C.; Boutrou, R.; Carriere, F.; et al. INFOGEST static in vitro simulation of gastrointestinal food digestion. Nat. Protoc. 2019, 14, 991–1014. [Google Scholar] [CrossRef] [PubMed]
- Zhou, H.; Tan, Y.B.; Lv, S.S.; Liu, J.; Muriel-Mundo, J.L.; Bai, L.; Rojas, O.J.; McClements, D.J. Nanochitin-stabilized pickering emulsions: Influence of nanochitin on lipid digestibility and vitamin bioaccessibility. Food Hydrocoll. 2020, 106, 105878. [Google Scholar] [CrossRef]
- Zhou, H.; Hu, Y.; Tan, Y.B.; Zhang, Z.; McClements, D.J. Digestibility and gastrointestinal fate of meat versus plant-based meat analogs: An in vitro comparison. Food Chem. 2021, 364, 130439. [Google Scholar] [CrossRef] [PubMed]
- Hur, S.J.; Lim, B.O.; Park, G.B.; Joo, S.T. Effects of Various Fiber Additions on Lipid Digestion during In Vitro Digestion of Beef Patties. J. Food Sci. 2009, 74, C653–C657. [Google Scholar] [CrossRef]
- Wong, M.W.K.; Braidy, N.; Pickford, R.; Sachdev, P.; Poljak, A. Comparison of Single Phase and Biphasic Extraction Protocols for Lipidomic Studies Using Human Plasma. Front. Neurol. 2019, 10, 879. [Google Scholar] [CrossRef]
- McGuire, R.G. Reporting of Objective Color Measurements. Am. Soc. Hortic. Sci. 1992, 27, 1254–1255. [Google Scholar] [CrossRef]
- Achir, M.; Randrianatoandro, V.A.; Bohuon, P.; Laffargue, A.; Avallone, S. Kinetic study of β-carotene and lutein degradation in oils during heat treatment. Eur. J. Lipid Sci. Technol. 2010, 112, 349–361. [Google Scholar] [CrossRef]
- da Silva, M.M.; Paese, K.; Guterres, S.S.; Pohlmann, A.R.; Rutz, J.K.; Cantillano, R.F.F.; Nora, L.; Rios, A.d.O. Thermal and ultraviolet-visible light stability kinetics of co-nanoencapsulated carotenoids. Food Bioprod. Process. 2017, 105, 86–94. [Google Scholar] [CrossRef]
- Tan, Y.B.; Lee, P.W.; Martens, T.D.; McClements, D.J. Comparison of Emulsifying Properties of Plant and Animal Proteins in Oil-in-Water Emulsions: Whey, Soy, and RuBisCo Proteins. Food Biophys. 2022, 17, 409–421. [Google Scholar] [CrossRef]
- Ozturk, B.; Argin, S.; Ozilgen, M.; McClements, D.J. Nanoemulsion delivery systems for oil-soluble vitamins: Influence of carrier oil type on lipid digestion and vitamin D3 bioaccessibility. Food Chem. 2015, 187, 499–506. [Google Scholar] [CrossRef] [PubMed]






| Sample | Raw | Cooked | ∆E | ∆C* | Mean Particle Diameter (µm) | Image | |
|---|---|---|---|---|---|---|---|
| LCTs/Coarse | L* | 62.0 ± 0.0 Aa | 60.6 ± 0.5 Ab | 8.9 | 8.8 | 9.86 ± 0.83 | ![]() |
| a* | 6.4 ± 0.0 Bb | 7.8 ± 5.3 Aa | |||||
| b* | 29.6 ± 0.0 Ac | 20.9 ± 0.5 Bd | |||||
| LCTs/Fine | L* | 61.5 ± 0.4 Ba | 65.6 ± 0.4 Aa | 8.2 | 7.1 | 0.33 ± 0.03 | ![]() |
| a* | 9.4 ± 0.6 Ba | 7.0 ± 0.1 Aa | |||||
| b* | 46.9 ± 1.2 Ab | 40.3 ± 0.6 Bb | |||||
| MCTs/Coarse | L* | 33.0 ± 1.2 Bc | 60.2 ± 0.3 Ab | 28.3 | 7.7 | 12.5 ± 1.4 | ![]() |
| a* | 10.0 ± 0.4 Aa | 3.7 ± 0.5 Bb | |||||
| b* | 29.6 ± 0.7 Ac | 25.1 ± 0.8 Bc | |||||
| MCTs/Fine | L* | 58.0 ± 0.2 Bb | 62.9 ± 0.2 Aab | 11.4 | 10.4 | 0.26 ± 0.01 | ![]() |
| a* | 10.7 ± 0.1 Aa | 6.8 ± 0.0 Ba | |||||
| b* | 58.1 ± 0.3 Aa | 48.5 ± 0.2 Ba |
Disclaimer/Publisher’s Note: The statements, opinions and data contained in all publications are solely those of the individual author(s) and contributor(s) and not of MDPI and/or the editor(s). MDPI and/or the editor(s) disclaim responsibility for any injury to people or property resulting from any ideas, methods, instructions or products referred to in the content. |
© 2022 by the authors. Licensee MDPI, Basel, Switzerland. This article is an open access article distributed under the terms and conditions of the Creative Commons Attribution (CC BY) license (https://creativecommons.org/licenses/by/4.0/).
Share and Cite
Vu, G.; Xiang, X.; Zhou, H.; McClements, D.J. Lutein-Fortified Plant-Based Egg Analogs Designed to Improve Eye Health: Formation, Characterization, In Vitro Digestion, and Bioaccessibility. Foods 2023, 12, 2. https://doi.org/10.3390/foods12010002
Vu G, Xiang X, Zhou H, McClements DJ. Lutein-Fortified Plant-Based Egg Analogs Designed to Improve Eye Health: Formation, Characterization, In Vitro Digestion, and Bioaccessibility. Foods. 2023; 12(1):2. https://doi.org/10.3390/foods12010002
Chicago/Turabian StyleVu, Giang, Xiaoke Xiang, Hualu Zhou, and David Julian McClements. 2023. "Lutein-Fortified Plant-Based Egg Analogs Designed to Improve Eye Health: Formation, Characterization, In Vitro Digestion, and Bioaccessibility" Foods 12, no. 1: 2. https://doi.org/10.3390/foods12010002
APA StyleVu, G., Xiang, X., Zhou, H., & McClements, D. J. (2023). Lutein-Fortified Plant-Based Egg Analogs Designed to Improve Eye Health: Formation, Characterization, In Vitro Digestion, and Bioaccessibility. Foods, 12(1), 2. https://doi.org/10.3390/foods12010002





