Evaluation of the Anticancer and Probiotic Potential of Autochthonous (Wild) Lacticaseibacillus paracasei Strains from New Ecological Niches as a Possible Additive for Functional Dairy Foods
Abstract
1. Introduction
2. Materials and Methods
2.1. Isolation, Culturing and Identification of the Lacticaseibacillus paracasei Strains
2.2. Cell Line and Culturing
2.3. MTT Assay
2.4. Gene Expression Analysis (RT-qPCR)
2.5. Statistical Analysis
3. Results
3.1. Identification of the Lactobacillus spp. Isolates
3.2. MTT Assay
3.3. Alkaline Phosphatase Experiment
3.4. IAP Gene Expression
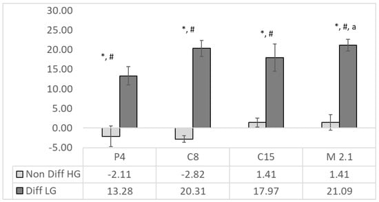
3.5. Bax/Bcl-2 Quantity Expression Ratio
4. Discussion
5. Conclusions
Author Contributions
Funding
Data Availability Statement
Acknowledgments
Conflicts of Interest
References
- Willett, W.C.; Koplan, J.P.; Nugent, R.; Dusenbury, C.; Puska, P.; Gaziano, T.A. Chapter: Prevention of Chronic Disease by Means of Diet and Lifestyle Changes. In Disease Control Priorities in Developing Countries, 2nd ed.; Jamison, D., Breman, J., Measham, A., Alleyne, G., Claeson, M., Evans, D., Jha, P., Mills, A., Musgrove, P., Eds.; The World Bank: Washington, DC, USA, 2006. [Google Scholar]
- Manna, P.R.; Gray, Z.C.; Reddy, P.H. Healthy Immunity on Preventive Medicine for Combating COVID-19. Nutrients 2022, 14, 1004. [Google Scholar] [CrossRef] [PubMed]
- Ayivi, R.D.; Gyawali, R.; Krastanov, A.; Aljaloud, S.O.; Worku, M.; Tahergorabi, R.; Silva, R.C.D.; Ibrahim, S.A. Lactic Acid Bacteria: Food Safety and Human Health Applications. Dairy 2020, 1, 202–232. [Google Scholar] [CrossRef]
- Ağagündüz, D.; Yılmaz, B.; Şahin, T.Ö.; Güneşliol, B.E.; Ayten, Ş.; Russo, P.; Spano, G.; Rocha, J.M.; Bartkiene, E.; Özogul, F. Dairy Lactic Acid Bacteria and Their Potential Function in Dietetics: The Food–Gut-Health Axis. Foods 2021, 10, 3099. [Google Scholar] [CrossRef] [PubMed]
- Coelho, M.C.; Malcata, F.X.; Silva, C.C.G. Lactic Acid Bacteria in Raw-Milk Cheeses: From Starter Cultures to Probiotic Functions. Foods 2022, 11, 2276. [Google Scholar] [CrossRef] [PubMed]
- Beev, G.; Michaylova, M.; Dinev, T.; Naydenova, N.; Tzanova, M.; Urshev, Z. ARDRA Analysis on biodiversity of lactobacilli isolated from Bulgarian raw buffalo milk. Acta Microbiol. Bulg. 2021, 37, 22–26. [Google Scholar]
- Dinev, T.; Rusenova, N.; Velichkova, K.; Beev, G. Antimicrobial potential of eleven Lacticaseibacillus paracasei strains isolated from mountain anthills. Bulg. J. Agric. Sci. 2022, 28, 949–955. [Google Scholar]
- Benavides, A.B.; Ulcuango, M.; Yépez, L.; Tenea, G.N. Assessment of the in vitro bioactive properties of lactic acid bacteria isolated from native ecological niches of Ecuador. Rev. Argent. Microbiol. 2016, 48, 236–244. [Google Scholar] [CrossRef]
- Mirzaei, E.Z.; Lashani, E.; Davoodabadi, A. Antimicrobial properties of lactic acid bacteria isolated from traditional yogurt and milk against Shigella strains. GMS Hyg. Infect. Control. 2018, 13, Doc01. [Google Scholar] [CrossRef]
- Danova, S.; Petrov, K.; Pavlov, P.; Petrova, P. Isolation and characterization of Lactobacillus strains involved in koumiss fermentation. Int. J. Dairy Technol. 2005, 58, 100–105. [Google Scholar] [CrossRef]
- Zhang, Y.; Zhang, L.; Du, M.; Yi, H.; Guo, C.; Tuo, Y.; Han, X.; Li, J.; Zhang, L.; Yang, L. Antimicrobial activity against Shigella sonnei and probiotic properties of wild lactobacilli from fermented food. Microbiol. Res. 2011, 167, 27–31. [Google Scholar] [CrossRef]
- Radulović, Z.; Petrović, T.; Nedović, V.; Dimitrijević, S.; Mirković, N.; Petrušić, M.; Paunović, D. Characterization of autochthonous Lactobacillus paracasei strains on potential probiotic ability. Mljekarstvo 2010, 60, 86–93. [Google Scholar]
- Smetanková, J.; Hladíková, Z.; Zimanová, M.; Greif, G.; Greifová, M. Lactobacilli isolated from lump sheep’s cheeses and their antimicrobial properties. Czech J. Food Sci. 2014, 32, 152–157. [Google Scholar] [CrossRef]
- Georgieva, R.; Yocheva, L.; Tserovska, L.; Zhelezova, G.; Stefanova, N.; Atanasova, A.; Danguleva, A.; Ivanova, G.; Karapetkov, N.; Rumyan, N.; et al. Antimicrobial activity and antibiotic susceptibility of Lactobacillus and Bifidobacterium spp. intended for use as starter and probiotic cultures. Biotechnol. Biotechnol. Equip. 2015, 29, 84–91. [Google Scholar] [CrossRef] [PubMed]
- Mangia, N.; Saliba, L.; Deiana, P. Functional and safety characterization of autochthonous Lactobacillus paracasei FS103 isolated from sheep cheese and its survival in sheep and cow fermented milks during cold storage. Ann. Microbiol. 2019, 69, 161–170. [Google Scholar] [CrossRef]
- Lashani, E.; Davoodabadi, A.; Soltan Dallal, M. Antimicrobial effects of Lactobacillus plantarum and Lactobacillus paracasei isolated from honey against Staphylococcus aureus. J. Babol Univ. Med. Sci. 2018, 20, 44–49. [Google Scholar]
- Hassan, Y.; Bullerman, L. Antifungal activity of Lactobacillus paracasei subsp. tolerans against Fusarium proliferatum and Fusarium graminearum in a liquid culture setting. J. Food Prot. 2008, 71, 2116–2213. [Google Scholar] [CrossRef]
- Wei, X.; Zhang, Y.; Zhou, H.; Tian, F.; Ni, Y. Antimicrobial activities and in vitro properties of cold-adapted Lactobacillus strains isolated from the intestinal tract of cold water fishes of high latitude water areas in Xinjiang, China. BMC Microbiol. 2019, 19, 247. [Google Scholar] [CrossRef]
- Ghosh, T.; Beniwal, A.; Semwal, A.; Navani, N.K. Mechanistic insights into probiotic properties of lactic acid bacteria associated with ethnic fermented dairy products. Front. Microbiol. 2019, 10, 502. [Google Scholar] [CrossRef]
- Carabotti, M.; Scirocco, A.; Maselli, M.A.; Severi, C. The gut-brain axis: Interactions between enteric microbiota, central and enteric nervous systems. Ann. Gastroenterol. 2015, 28, 203–209. [Google Scholar]
- Forestier, C.; De Champs, C.; Vatoux, C.; Joly, B. Probiotic activities of Lactobacillus casei rhamnosus: In vitro adherence to intestinal cells and antimicrobial properties. Res. Microbiol. 2001, 152, 167–173. [Google Scholar] [CrossRef]
- Plaza-Diaz, J.; Ruiz-Ojeda, F.J.; Gil-Campos, M.; Gil, A. Mechanisms of Action of Probiotics. Adv. Nutr. 2019, 10 (suppl. 1), S49–S66. [Google Scholar] [CrossRef] [PubMed]
- Mojibi, P.; Tafvizi, F.; Torbati, M.B. Cell-bound exopolysaccharide extract from indigenous probiotic bacteria induce apoptosis in HT–29 cell-line. Iran. J. Pathol. 2019, 14, 41–51. [Google Scholar] [CrossRef] [PubMed]
- Karimi, A.S.; Tafvizi, F.; Tajabadi, E.M. Heat-killed probiotic bacteria induce apoptosis of HT-29 human colon adenocarcinoma cell line via the regulation of Bax/Bcl2 and caspases pathway. Hum. Exp. Toxicol. 2019, 38, 1069–1081. [Google Scholar] [CrossRef] [PubMed]
- Dehghani, N.; Tafvizi, F.; Jafari, P.B. Cell cycle arrest and anticancer potential of probiotic Lactobacillus rhamnosus against HT-29 cancer cells. BioImpacts 2021, 11, 245. [Google Scholar] [CrossRef]
- Shi, Y.; Meng, L.; Zhang, C.; Zhang, F.; Fang, Y. Extracellular vesicles of Lacticaseibacillus paracasei PC-H1 induce colorectal cancer cells apoptosis via PDK1/AKT/Bcl-2 signaling pathway. Microbiol. Res. 2021, 255, 126921. [Google Scholar] [CrossRef]
- Lallès, J.P. Microbiota-host interplay at the gut epithelial level, health and nutrition. J. Anim. Sci. Biotechnol. 2016, 7, 66. [Google Scholar] [CrossRef]
- Forgue-Lafitte, M.E.; Coudray, A.M.; Bréant, B.; Mester, J. Proliferation of the human colon carcinoma cell line HT29: Autocrine growth and deregulated expression of the c-Myc oncogene. Cancer Res. 1989, 49, 6566–6571. [Google Scholar]
- Martínez-Maqueda, D.; Miralles, B.; Recio, I. Chapter: HT29 Cell Line. In The Impact of Food Bioactives on Health: In Vitro and Ex Vivo Models; Verhoeckx, K., Cotter, P., López-Expósito, I., Kleiveland, C., Lea, T., Mackie, A., Requena, T., Swiatecka, D., Wichers, H., Eds.; Springer: Cham, Switzerland, 2015. [Google Scholar] [CrossRef]
- Malo, M.S.; Mozumder, M.; Zhang, X.B.; Biswas, S.; Chen, A.; Bai, L.C.; Merchant, J.L.; Hodin, R.A. Intestinal alkaline phosphatase gene expression is activated by ZBP-89. Am. J. Physiol. Gastrointest. Liver Physiol. 2006, 290, G737–G746. [Google Scholar] [CrossRef][Green Version]
- Nollevaux, G.; Devillé, C.; El Moualij, B.; Zorzi, W.; Deloyer, P.; Schneider, Y.J.; Peulen, O.; Dandrifosse, G. Development of a serum-free co-culture of human intestinal epithelium cell-lines (Caco-2/HT29-5M21). BMC Cell Biol. 2006, 7, 20. [Google Scholar] [CrossRef]
- Manoochehri, M.; Karbasi, A.; Bandehpour, M.; Kazemi, B. Down-regulation of BAX gene during carcinogenesis and acquisition of resistance to 5-FU in colorectal cancer. Pathol. Oncol. Res. 2014, 20, 301–307. [Google Scholar] [CrossRef]
- Khodapasand, E.; Jafarzadeh, N.; Farrokhi, F.; Kamalidehghan, B.; Houshmand, M. Is Bax/Bcl-2 ratio considered as a prognostic marker with age and tumor location in colorectal cancer? Iran. Biomed. J. 2015, 19, 69–75. [Google Scholar] [CrossRef] [PubMed]
- Kulsoom, B.; Shamsi, T.S.; Afsar, N.A.; Memon, Z.; Ahmed, N.; Hasnain, S.N. Bax, Bcl-2, and Bax/Bcl-2 as prognostic markers in acute myeloid leukemia: Are we ready for Bcl-2-directed therapy? Cancer Manag. Res. 2018, 10, 403–416. [Google Scholar] [CrossRef] [PubMed]
- Roy, D.; Ward, P.; Vincent, D.; Mondou, F. Molecular identification of potentially probiotic lactobacilli. Curr. Microbiol. 2000, 40, 40–46. [Google Scholar] [CrossRef] [PubMed]
- Walter, J.; Tannock, G.W.; Tilsala-Timisjarvi, A.; Rodtong, S.; Loach, D.M.; Munro, K.; Alatossava, T. Detection and identification of gastrointestinal Lactobacillus species by using denaturing gradient gel electrophoresis and species-specific PCR primers. Appl. Environ. Microbiol. 2000, 66, 297–303. [Google Scholar] [CrossRef]
- Chen, Z.Y.; Hsieh, Y.M.; Huang, C.C.; Tsai, C.C. Inhibitory Effects of Probiotic Lactobacillus on the Growth of Human Colonic Carcinoma Cell Line HT-29. Molecules 2017, 22, 107. [Google Scholar] [CrossRef]
- Gout, S.; Marie, C.; Lainé, M.; Tavernier, G.; Block, M.; Jacquier-Sarlin, M. Early enterocytic differentiation of HT-29 cells: Biochemical changes and strength increases of adherens junctions. Exp. Cell Res. 2004, 299, 498–510. [Google Scholar] [CrossRef]
- Andersen, C.L.; Jensen, J.L.; Orntoft, T.F. Normalization of real-time quantitative reverse transcription-PCR data: A model-based variance estimation approach to identify genes suited for normalization, applied to bladder and colon cancer data sets. Cancer Res. 2004, 64, 5245–5250. [Google Scholar] [CrossRef]
- Li, J.; Li, Q.; Gao, N.; Wang, Z.; Li, F.; Li, J.; Shan, A. Exopolysaccharides produced by Lactobacillus rhamnosus GG alleviate hydrogen peroxide-induced intestinal oxidative damage and apoptosis through the Keap1/Nrf2 and Bax/Bcl-2 pathways in vitro. Food Funct. 2021, 12, 9632–9641. [Google Scholar] [CrossRef]
- Cheon, M.J.; Lee, N.K.; Paik, H.D. Neuroprotective Effects of Heat-Killed Lactobacillus plantarum 200655 Isolated from Kimchi Against Oxidative Stress. Probiotics Antimicrob. Proteins 2021, 13, 788–795. [Google Scholar] [CrossRef]
- Raisova, M.; Hossini, A.M.; Eberle, J.; Riebeling, C.; Wieder, T.; Sturm, I.; Daniel, P.T.; Orfanos, C.E.; Geilen, C.C. The Bax/Bcl-2 ratio determines the susceptibility of human melanoma cells to CD95/Fas-mediated apoptosis. J. Investig. Dermatol. 2001, 117, 333–340. [Google Scholar] [CrossRef]
- Wang, J.L.; Liu, D.; Zhang, Z.J.; Shan, S.; Han, X.; Srinivasula, S.M.; Croce, C.M.; Alnemri, E.S.; Huang, Z. Structure-based discovery of an organic compound that binds Bcl-2 protein and induces apoptosis of tumor cells. Proc. Natl. Acad. Sci. USA 2000, 97, 7124–7129. [Google Scholar] [CrossRef] [PubMed]
- Fawley, J.; Gourlay, D.M. Intestinal alkaline phosphatase: A summary of its role in clinical disease. J. Surg. Res. 2016, 202, 225–234. [Google Scholar] [CrossRef] [PubMed]
- Narisawa, S.; Huang, L.; Iwasaki, A.; Hasegawa, H.; Alpers, D.H.; Millán, J.L. Accelerated fat absorption in intestinal alkaline phosphatase knockout mice. Mol. Cell. Biol. 2003, 23, 7525–7530. [Google Scholar] [CrossRef] [PubMed]
- Coman, M.M.; Verdenelli, M.C.; Cecchini, C.; Silvi, S.; Orpianesi, C.; Boyko, N.; Cresci, A. In vitro evaluation of antimicrobial activity of Lactobacillus rhamnosus IMC 501(®), Lactobacillus paracasei IMC 502(®) and SYNBIO(®) against pathogens. J. Appl. Microbiol. 2014, 117, 518–527. [Google Scholar] [CrossRef]
- Masuoka, H.; Shimada, K.; Kiyosue-Yasuda, T.; Kiyosue, M.; Oishi, Y.; Kimura, S.; Yamada, A.; Hirayama, K. Transition of the intestinal microbiota of dogs with age. Biosci. Microbiota Food Health. 2017, 36, 27–31. [Google Scholar] [CrossRef]
- Goldberg, R.F.; Austen, W.G., Jr.; Zhang, X.; Munene, G.; Mostafa, G.; Biswas, S.; McCormack, M.; Eberlin, K.R.; Nguyen, J.T.; Tatlidede, H.S.; et al. Intestinal alkaline phosphatase is a gut mucosal defense factor maintained by enteral nutrition. Proc. Natl. Acad. Sci. USA 2008, 105, 3551–3556. [Google Scholar] [CrossRef]
- Ghosh, S.S.; Wang, J.; Yannie, P.J.; Cooper, R.C.; Sandhu, Y.K.; Kakiyama, G.; Korzun, W.J.; Ghosh, S. Over-Expression of Intestinal Alkaline Phosphatase Attenuates Atherosclerosis. Circ. Res. 2021, 128, 1646–1659. [Google Scholar] [CrossRef]
- Jang, H.J.; Son, S.; Kim, J.A.; Jung, M.Y.; Choi, Y.J.; Kim, D.H.; Lee, H.K.; Shin, D.; Kim, Y. Characterization and Functional Test of Canine Probiotics. Front. Microbiol. 2021, 12, 625562. [Google Scholar] [CrossRef]




| P4 n = 6 | C8 n = 6 | C15 n = 6 | M2.1 n = 6 | MRS n = 6 | Lacto n = 4 | |
|---|---|---|---|---|---|---|
| Native pH | pH 3.94 | pH 4.40 | pH 4.08 | pH 3.98 | pH 5.6 | pH 4.00 |
| 5% | 3.32 ± 1.57 | −5.84 ± 5.09 | 9.83 ± 3.59* | 6.21 ± 3.66 | 1.44 ± 1.51 | −19.42 ± 2.15 a |
| 10% | −3.52 ± 0.64 | −13.93 ± 2.11 * | 0.51 ± 1.10 | 9.33 ± 3.37 * | −7.31 ± 3.39 a | −91.03 ± 0.99 *,a |
| 20% | −92.97 ± 0.64 *,a | −38.81 ± 2.65 * | −83.39 ± 2.13 *,a | −90.16 ± 1.73 *,a | −20.33 ± 3.19 * | −84.12 ± 2.54 *,a |
| 40% | −88.42 ± 0.32 *,a | −93.17 ± 0.51 *,a | −83.31 ± 1.31 *,a | −80.86 ± 0.48 *,a | −35.00 ± 1.83 * | −86.99 ± 1.85 * |
| Neutralized pH | pH 7 | pH 7 | pH 7 | pH 7 | pH 7 | Osmo_pH7 |
| 5% | 22.35 ± 3.38 *,a | −6.32 ± 3.28 | 2.30 ± 3.71 | 9.53 ± 2.39 * | 4.34 ± 2.63 *,a | −5.51 ± 2.46 * |
| 10% | 19.38 ± 2.92 *,a | −8.24 ± 2.50 | 1.15 ± 2.36 | 8.82 ± 2.34 *,a | 2.31 ± 1.59 | −13.53 ± 4.37 * |
| 20% | 0.18 ± 3.51 | −37.99 ± 1.59 * | −8.67 ± 1.59 * | −9.20 ± 2.30 * | −12.18 ± 1.48 * | −47.88 ± 1.03 * |
| 40% | −33.97 ± 0.65 * | −49.11 ± 1.04 * | −29.87 ± 2.49 | −36.78 ± 2.14 * | −39.24 ± 1.35 *,a | −93.78 ± 0.46 *,a |
| Abbreviation | Full Name | Forward | Reverse | Product Length |
|---|---|---|---|---|
| BAX NM_001291430.2 | BCL-2 associated X, apoptosis regulator (BAX) | CCCGAGAGGTCTTTTTCCGAG | CCAGCCCATGATGGTTCTGAT | 155 |
| BCL-2 NM_000657.3 | BCL-2 apoptosis regulator (BCL-2) | GCTCTTGAGATCTCCGGTTG | AATGCATAAGGCAACGATCC | 186 |
| IAP NM_001631.5 | Intestinal alkaline phosphatase | GTATGTGTGGAACCGCACTG | CTGGTAAGCCACACCCTCAT | 244 |
| GAPDH NM_002046.7 | Glyceraldehyde-3-phosphate dehydrogenase | GAGTCAACGGATTTGGTCGT | TTGATTTTGGAGGGATCTCG | 238 |
| Actb NM_001101.5 | Actin beta | CGTCTTCCCCTCCATCGT | GGGGTACTTCAGGGTGAGGA | 124 |
| A: Non-Differentiated HT29 Cells (Cancer Cells) | ||||
|---|---|---|---|---|
| P4 | C8 | C15 | M2.1 | |
| ALP activity | ↓(−) differentiation | ↓(−) differentiation | ↑(+) differentiation | ↑(+) differentiation |
| IAP | ↑(+) differentiation | ↓(−) differentiation | ↑(+) differentiation | ↑↑(+) differentiation |
| Bax/Bcl Ratio | ↑↑↑(+) pro-apoptotic | ↑↑(+) pro-apoptotic | ↑(+) pro-apoptotic | ↑↑(+) pro-apoptotic |
| Net effects | Anticancer potential | Anticancer potential | Insignificant anticancer potential | Anticancer potential |
| B: Differentiated HT29 Cells (Enterocytes) | ||||
| P4 | C8 | C15 | M2.1 | |
| ALP activity | ↑↑(+) differentiation | ↑↑(+) differentiation | ↑↑(+) differentiation | ↑↑(+) differentiation |
| IAP | ↓↓(−) differentiation | ↓(−) differentiation | ↑(+) differentiation | ↓↓↓(−) differentiation |
| Bax/Bcl Ratio | ↓(+) anti-apoptotic | ↑↑(−) pro-apoptotic | ↑(−) pro-apoptotic | ↓(+) anti-apoptotic |
| Net effects | Probiotic potential | Insignificant probiotic potential | Insignificant probiotic potential | Probiotic potential |
Disclaimer/Publisher’s Note: The statements, opinions and data contained in all publications are solely those of the individual author(s) and contributor(s) and not of MDPI and/or the editor(s). MDPI and/or the editor(s) disclaim responsibility for any injury to people or property resulting from any ideas, methods, instructions or products referred to in the content. |
© 2023 by the authors. Licensee MDPI, Basel, Switzerland. This article is an open access article distributed under the terms and conditions of the Creative Commons Attribution (CC BY) license (https://creativecommons.org/licenses/by/4.0/).
Share and Cite
Vachkova, E.; Petrova, V.; Grigorova, N.; Ivanova, Z.; Beev, G. Evaluation of the Anticancer and Probiotic Potential of Autochthonous (Wild) Lacticaseibacillus paracasei Strains from New Ecological Niches as a Possible Additive for Functional Dairy Foods. Foods 2023, 12, 185. https://doi.org/10.3390/foods12010185
Vachkova E, Petrova V, Grigorova N, Ivanova Z, Beev G. Evaluation of the Anticancer and Probiotic Potential of Autochthonous (Wild) Lacticaseibacillus paracasei Strains from New Ecological Niches as a Possible Additive for Functional Dairy Foods. Foods. 2023; 12(1):185. https://doi.org/10.3390/foods12010185
Chicago/Turabian StyleVachkova, Ekaterina, Valeria Petrova, Natalia Grigorova, Zhenya Ivanova, and Georgi Beev. 2023. "Evaluation of the Anticancer and Probiotic Potential of Autochthonous (Wild) Lacticaseibacillus paracasei Strains from New Ecological Niches as a Possible Additive for Functional Dairy Foods" Foods 12, no. 1: 185. https://doi.org/10.3390/foods12010185
APA StyleVachkova, E., Petrova, V., Grigorova, N., Ivanova, Z., & Beev, G. (2023). Evaluation of the Anticancer and Probiotic Potential of Autochthonous (Wild) Lacticaseibacillus paracasei Strains from New Ecological Niches as a Possible Additive for Functional Dairy Foods. Foods, 12(1), 185. https://doi.org/10.3390/foods12010185

