Influence of Anticaking Agents and Storage Conditions on Quality Characteristics of Spray Dried Apricot Powder: Shelf Life Prediction Studies Using Guggenheim-Anderson-de Boer (GAB) Model
Abstract
1. Introduction
2. Materials and Methods
2.1. Materials
2.2. Spray Drying to Prepare Apricot Powder
2.3. SDAP Storage
2.3.1. Physicochemical Properties
Initial and Critical Moisture Content and Water-Activity Determination
Degree of Caking
2.3.2. Micrometric Properties
Flowability
- ρt = tapped density
- ρb = bulk density
Hygroscopicity
Rehydration Time and Rehydration Ratio
2.3.3. Color-Value Determination
2.3.4. Microbiological Analysis
2.3.5. Storage-Life Prediction of SDAP
2.3.6. Determination of Glass Transition (Tg) and Sticky-Point (Ts) Temperatures
2.4. Statistical Analysis
3. Results and Discussion
3.1. Moisture Content
3.2. Water Activity
3.3. Degree of Caking
3.4. Flowability
3.5. Hygroscopicity
3.6. Rehydration Time and Rehydration Ratio
3.7. Color Profile
3.8. Total Aerobic Bacteria (TAB) Count
3.9. Glass Transition Temperature (Tg) and Sticky-Point (Ts) Temperature
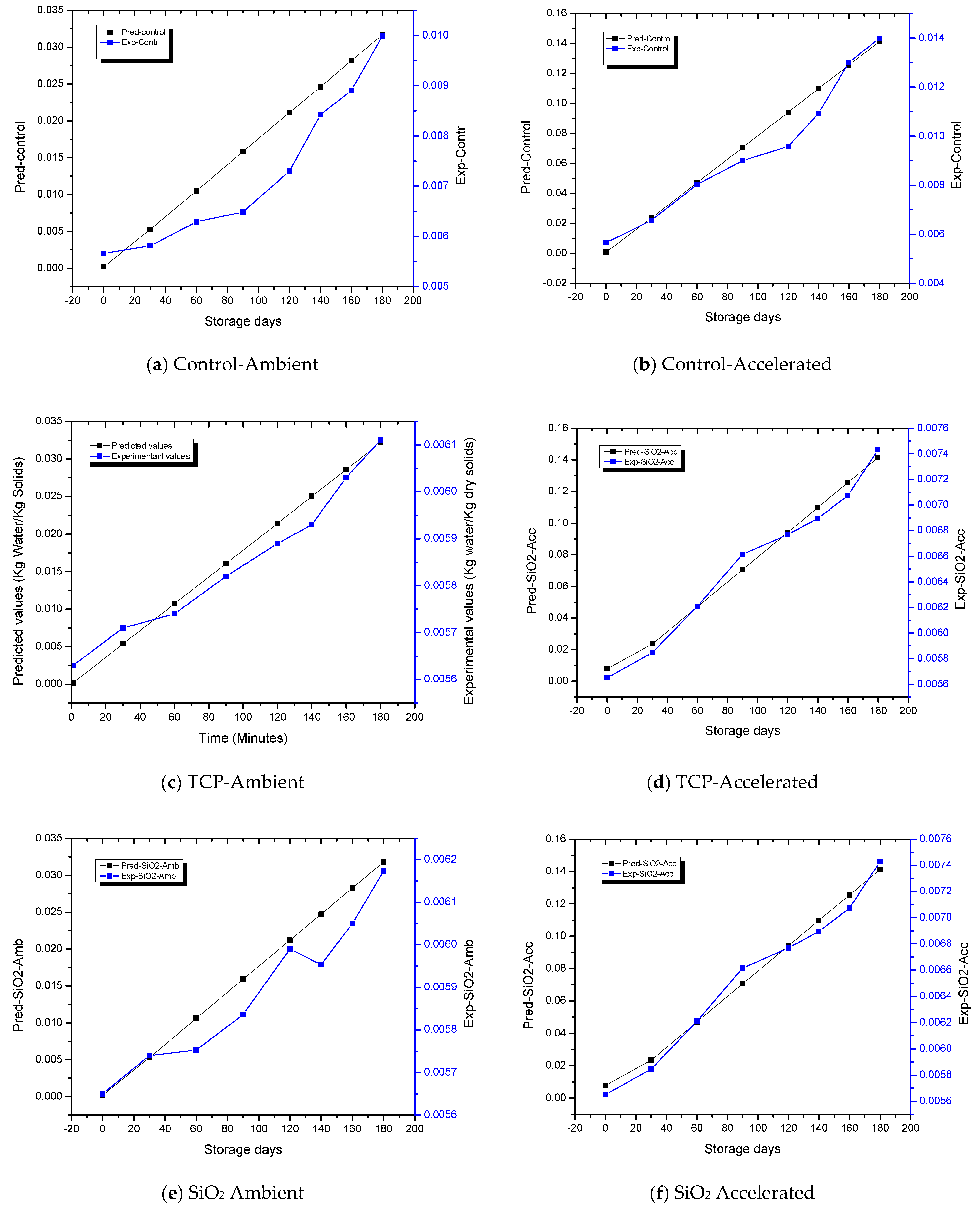
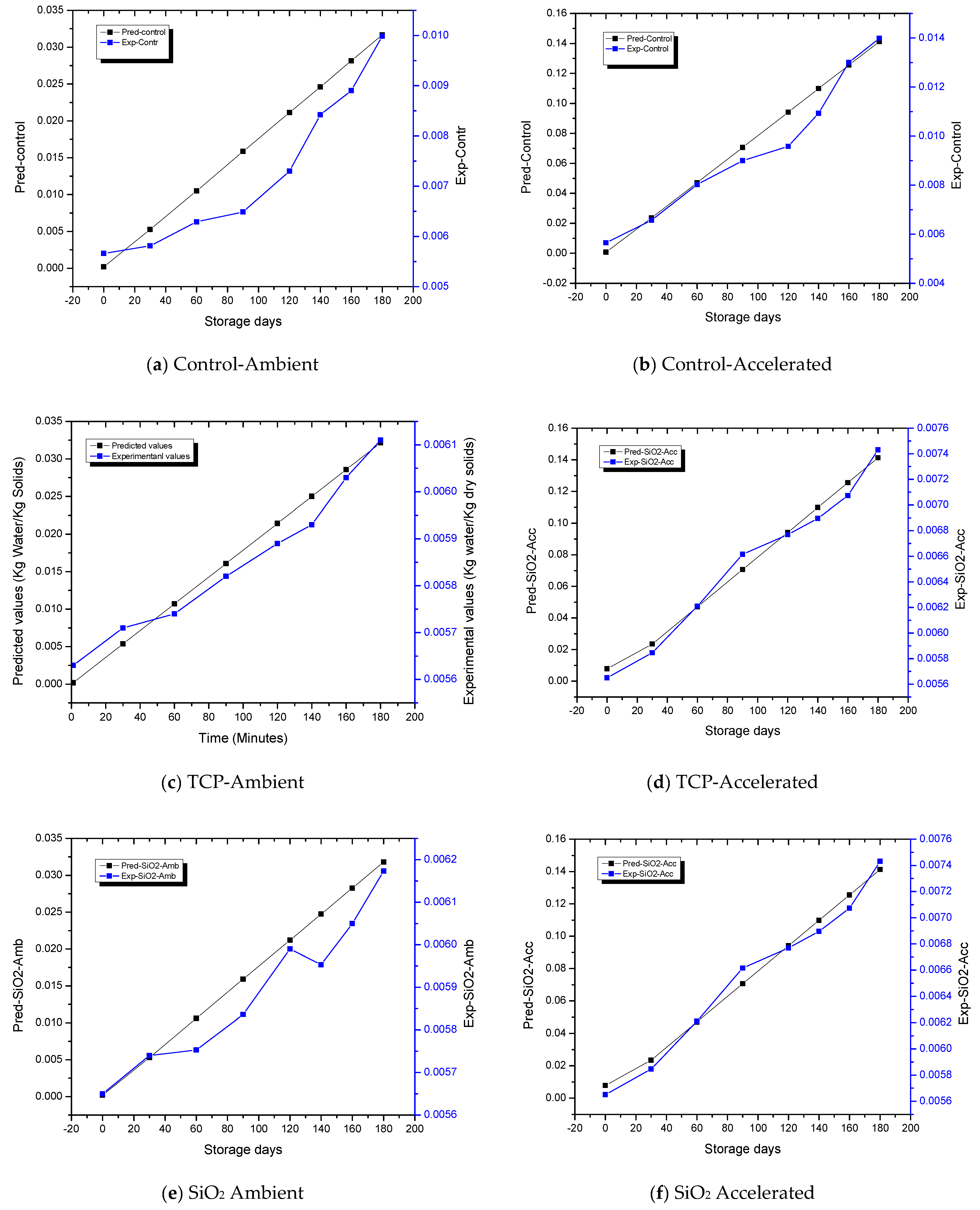
3.10. Storage-Life Prediction of Spray-Dried Apricot Powder Using GAB Model
4. Conclusions
Author Contributions
Funding
Data Availability Statement
Conflicts of Interest
References
- Maiti, R.; Thakur, A.K.; Gupta, A.; Mandal, D. Postharvest management of agricultural produce. Res. Trends Bioresour. Manag. Technol. 2018, 1, 137–166. [Google Scholar]
- Jangam, S.V.; Joshi, V.S.; Mujumdar, A.S.; Thorat, B.N. Studies on dehydration of sapota (Achras zapota). Dry. Technol. 2008, 26, 369–377. [Google Scholar] [CrossRef]
- Tan, S.L.; Sulaiman, R.; Rukayadi, Y.; Ramli, N.S. Physical, chemical, microbiological properties and shelf life kinetic of spray-dried cantaloupe juice powder during storage. LWT 2021, 140, 110597. [Google Scholar] [CrossRef]
- Wong, C.; Pui, L.; Ng, J. Production of spray-dried Sarawak pineapple (Ananas comosus) powder from enzyme liquefied puree. Int. Food Res. J. 2015, 22, 1631–1636. [Google Scholar]
- Cano-Chauca, M.; Stringheta, P.; Ramos, A.; Cal-Vidal, J. Effect of the carriers on the microstructure of mango powder obtained by spray drying and its functional characterization. Innov. Food Sci. Emerg. Technol. 2005, 6, 420–428. [Google Scholar] [CrossRef]
- Hasmadi, M. Effect of water on the caking properties of different types of wheat flour. Food Res. 2021, 5, 266–270. [Google Scholar]
- Barbosa-Cánovas, G.V.; Ortega-Rivas, E.; Juliano, P.; Yan, H. Food Powders: Physical Properties, Processing, and Functionality; Springer: Berlin, Germany, 2005; Volume 86. [Google Scholar]
- Fabra, M.; Talens, P.; Moraga, G.; Martínez-Navarrete, N. Sorption isotherm and state diagram of grapefruit as a tool to improve product processing and stability. J. Food Eng. 2009, 93, 52–58. [Google Scholar] [CrossRef]
- Pua, C.; Hamid, N.S.A.; Tan, C.; Mirhosseini, H.; Rahman, R.A.; Rusul, G. Storage stability of jackfruit (Artocarpus heterophyllus) powder packaged in aluminium laminated polyethylene and metallized co-extruded biaxially oriented polypropylene during storage. J. Food Eng. 2008, 89, 419–428. [Google Scholar] [CrossRef]
- Marsh, K.; Bugusu, B. Food packaging—Roles, materials, and environmental issues. J. Food Sci. 2007, 72, R39–R55. [Google Scholar] [CrossRef]
- Jaya, S.; Das, H. Accelerated storage, shelf life and color of mango powder. J. Food Process. Preserv. 2005, 29, 45–62. [Google Scholar] [CrossRef]
- Bashir, O.; Hussain, S.Z.; Gani, G.; Jan, N.; Rather, A.; Reshi, M.; Amin, T. Evaluating the physicochemical and antioxidant characteristics of apricot juice prepared through pectinase enzyme-assisted extraction from Halman variety. J. Food Meas. Charact. 2021, 15, 2645–2658. [Google Scholar] [CrossRef]
- AOAC. Association of Official and Analytical Chemists. Official Methods of Analysis; AOAC: Washington, DC, USA, 2012. [Google Scholar]
- Ramachandra, C.; Rao, P.S. Shelf-life and colour change kinetics of Aloe vera gel powder under accelerated storage in three different packaging materials. J. Food Sci. Technol. 2013, 50, 747–754. [Google Scholar] [CrossRef]
- Jinapong, N.; Suphantharika, M.; Jamnong, P. Production of instant soymilk powders by ultrafiltration, spray drying and fluidized bed agglomeration. J. Food Eng. 2008, 84, 194–205. [Google Scholar] [CrossRef]
- Cai, Y.-Z.; Corke, H. Production and properties of spray-dried Amaranthus betacyanin pigments. J. Food Sci. 2000, 65, 1248–1252. [Google Scholar] [CrossRef]
- Goula, A.M.; Adamopoulos, K.G. Effect of maltodextrin addition during spray drying of tomato pulp in dehumidified air. I Drying kinetics and product recovery. Dry. Technol. 2008, 26, 714–725. [Google Scholar] [CrossRef]
- Puttongsiri, T.; Choosakul, N.; Sakulwilaingam, D. Moisture content and physical properties of instant mashed potato. In Proceedings of the International Conference on Nutrition and Food Science, This Information Is Indicated in Singapore 018-ICNFS2012-N030.pdf. 2012, pp. 92–95. Available online: www.ipcbee.com (accessed on 29 October 2022).
- Rai, P.; Rai, C.; Majumdar, G.; Das Gupta, S.; De, S. Resistance in series model for ultrafiltration of mosambi (Citrus sinensis (L.) Osbeck) juice in a stirred continuous mode. J. Membr. Sci. 2006, 283, 116–122. [Google Scholar] [CrossRef]
- Liu, F.; Cao, X.; Wang, H.; Liao, X. Changes of tomato powder qualities during storage. Powder Technol. 2010, 204, 159–166. [Google Scholar] [CrossRef]
- Moreira, G.E.G.; Costa, M.G.M.; de Souza, A.C.R.; de Brito, E.S.; de Medeiros, M.d.F.D.; de Azeredo, H.M. Physical properties of spray dried acerola pomace extract as affected by temperature and drying aids. LWT-Food Sci. Technol. 2009, 42, 641–645. [Google Scholar] [CrossRef]
- Hymavathi, T.; Khader, V. Carotene, ascorbic acid and sugar content of vacuum dehydrated ripe mango powders stored in flexible packaging material. J. Food Compos. Anal. 2005, 18, 181–192. [Google Scholar] [CrossRef]
- Lipasek, R.A.; Ortiz, J.C.; Taylor, L.S.; Mauer, L.J. Effects of anticaking agents and storage conditions on the moisture sorption, caking, and flowability of deliquescent ingredients. Food Res. Int. 2012, 45, 369–380. [Google Scholar] [CrossRef]
- Dak, M.; Sagar, V.; Jha, S. Shelf-life and kinetics of quality change of dried pomegranate arils in flexible packaging. Food Packag. Shelf Life 2014, 2, 1–6. [Google Scholar] [CrossRef]
- Chen, X. Food drying fundamentals. In Drying Technologies in Food Processing; Wiley-Blackwell: Oxford, UK, 2008; pp. 1–52. [Google Scholar]
- Gabas, A.L.; Telis, V.R.N.; Sobral, P.J.d.A.; Telis-Romero, J. Effect of maltodextrin and arabic gum in water vapor sorption thermodynamic properties of vacuum dried pineapple pulp powder. J. Food Eng. 2007, 82, 246–252. [Google Scholar] [CrossRef]
- Roos, Y.H. Glass transition temperature and its relevance in food processing. Annu. Rev. Food Sci. Technol. 2010, 1, 469–496. [Google Scholar] [CrossRef] [PubMed]
- Phanindrakumar, H.; Radhakrishna, K.; Mahesh, S.; Jagannath, J.; Bawa, A. Effect of pretreatments and additives on the thermal behavior and hygroscopicity of freeze-dried pineapple juice powder. J. Food Process. Preserv. 2005, 29, 307–318. [Google Scholar] [CrossRef]
- Gawałek, J.; Bartczak, P. Effect of red beet juice spray drying conditions on selected properties of produced powder. Food Sci. Technol. Qual. 2014, 2, 164–174. [Google Scholar] [CrossRef]
- Salimi Hizaji, A.; Maghsoudlou, Y.; Jafari, S. Application of peleg model to study effect of water temperature and storage time on rehydration kinetics of air dried potato cubes. Lat. Am. Appl. Res. 2010, 40, 131–136. [Google Scholar]
- Ng, M.L.; Sulaiman, R. Development of beetroot (Beta vulgaris) powder using foam mat drying. LWT 2018, 88, 80–86. [Google Scholar] [CrossRef]
- Kumar, P.; Mishra, H. Storage stability of mango soy fortified yoghurt powder in two different packaging materials: HDPP and ALP. J. Food Eng. 2004, 65, 569–576. [Google Scholar] [CrossRef]
- Wong, C.; Lim, W. Storage stability of spray-dried papaya (Carica papaya L.) powder packaged in aluminium laminated polyethylene (ALP) and polyethylene terephthalate (PET). Int. Food Res. J. 2016, 23, 1887. [Google Scholar]
- Ghosh, D.; Das, S.; Bagchi, D.; Smarta, R. Innovation in Healthy and Functional Foods; CRC Press: Boca Raton, FL, USA, 2012. [Google Scholar]
- Rahel, R.; Chauhan, A.; Srinivasulu, K.; Ravi, R.; Kudachikar, V. Quality attributes of various spray dried pulp powder prepared from low temperature stored calcium salts pretreated guava fruits. Int. J. Food Sci. Nutr. Eng. 2016, 9, 843–854. [Google Scholar]
- Chauhan, A.K.; Patil, V. Effect of packaging material on storage ability of mango milk powder and the quality of reconstituted mango milk drink. Powder Technol. 2013, 239, 86–93. [Google Scholar] [CrossRef]



| Ambient | Accelerated | |||||
|---|---|---|---|---|---|---|
| Storage Duration (Days) | Control (0 kg/kg) | TCP (0.017 kg/kg) | SiO2 (0.017 kg/kg) | Control (0 kg/kg) | TCP (0.017 kg/kg) | SiO2 (0.017 kg/kg) |
| Moisture Content (%) | ||||||
| 0 | 5.613 ± 0.03 aAT | 5.613 ± 0.03 aAV | 5.613 ± 0.03 aAX | 5.613 ± 0.03 aAT | 5.613 ± 0.03 aAV | 5.613 ± 0.02 aAX |
| 30 | 5.813 ± 0.01 bAT | 5.710 ± 0.05 bBV | 5.740 ± 0.02 bCX | 6.567 ± 0.02 bAU | 5.862 ± 0.06 bBW | 5.846 ± 0.03 bCY |
| 60 | 6.290 ± 0.03 cAT | 5.743 ± 0.04 bBV | 5.753 ± 0.03 bBX | 8.028 ± 0.03 cAU | 5.940 ± 0.03 cBW | 6.210 ± 0.01 cCY |
| 90 | 6.487 ± 0.03 dAT | 5.826 ± 0.01 cBV | 5.836 ± 0.04 cBX | 8.997 ± 0.04 dAU | 6.136 ± 0.03 dBW | 6.616 ± 0.03 dCY |
| 120 | 7.300 ± 0.01 eAT | 5.891 ± 0.03 dBV | 5.990 ± 0.03 dCX | 9.580 ± 0.05 eAU | 6.276 ± 0.01 eBW | 6.770 ± 0.04 eCY |
| 140 | 8.421 ± 0.02 fAT | 5.936 ± 0.02 eBV | 5.953 ± 0.02 dBX | 10.930 ± 0.06 fAU | 6.632 ± 0.03 fBW | 6.896 ± 0.03 fCY |
| 160 | 8.902 ± 0.04 gAT | 6.033 ± 0.02 fBV | 6.050 ± 0.03 eBX | 11.002 ± 0.03 gAU | 6.853 ± 0.04 gBW | 7.073 ± 0.05 gCY |
| 180 | 9.987 ± 0.03 hAT | 6.113 ± 0.03 gBV | 6.173 ± 0.01 fCX | 11.990 ± 0.01 hAU | 7.273 ± 0.02 hBW | 7.430 ± 0.03 hCY |
| Water Activity (aw) | ||||||
| 0 | 0.280 ± 0.03 aAT | 0.280 ± 0.02 aAV | 0.280 ± 0.02 aAX | 0.280 ± 0.03 aAT | 0.280 ± 0.04 aAV | 0.280 ± 0.08 aAX |
| 30 | 0.342 ± 0.02 bAT | 0.322 ± 0.07 bBV | 0.350 ± 0.04 bCX | 0.411 ± 0.07 bAU | 0.384 ± 0.03 bBW | 0.382 ± 0.07 bBY |
| 60 | 0.422 ± 0.05 cAT | 0.413 ± 0.03 cBV | 0.411 ± 0.03 cBX | 0.482 ± 0.03 cAU | 0.454 ± 0.03 cBW | 0.464 ± 0.03 cCY |
| 90 | 0.470 ± 0.03 dAT | 0.452 ± 0.01 dBV | 0.462 ± 0.05 dCX | 0.648 ± 0.05 dAU | 0.505 ± 0.02 BW | 0.515 ± 0.03 dCY |
| 120 | 0.542 ± 0.06 eAT | 0.505 ± 0.03 eBV | 0.522 ± 0.03 eCX | 0.692 ± 0.03 eAU | 0.553 ± 0.03 eBW | 0.566 ± 0.02 eCY |
| 140 | 0.570 ± 0.03 fAT | 0.533 ± 0.04 fBV | 0.593 ± 0.01 fCX | 0.742 ± 0.02 fAU | 0.621 ± 0.02 fBW | 0.613 ± 0.03 fCY |
| 160 | 0.601 ± 0.07 gAT | 0.574 ± 0.03 gBV | 0.621 ± 0.03 gCX | 0.807 ± 0.03 gAU | 0.642 ± 0.03 gBW | 0.654 ± 0.03 gCY |
| 180 | 0.710 ± 0.01 hAT | 0.601 ± 0.02 hBV | 0.634 ± 0.02 hCX | 0.881 ± 0.03 hAU | 0.720 ± 0.04 hBW | 0.731 ± 0.04 hCY |
| Degree of Caking (%) | ||||||
| 0 | 10.191 ± 1.03 aAT | 10.191 ± 1.04 aBV | 10.191 ± 1.13 aCX | 10.191 ± 1.09 aAT | 10.191.03 aAV | 10.191 ± 1.05 aAX |
| 30 | 10.889 ± 1.03 bAT | 10.226 ± 1.03 bBV | 10.131 ± 1.23 bCX | 11.237 ± 1.03 bAU | 10.646 ± 1.06 bBW | 10.746 ± 1.03 bCY |
| 60 | 12.298 ± 1.01 cAT | 10.270 ± 1.03 cBV | 10.456 ± 1.07 cCX | 13.561 ± 1.05 cAU | 11.056 ± 1.06 cBW | 11.146 ± 1.07 cCY |
| 90 | 13.232 ± 1.04 dAT | 10.383 ± 1.04 dBV | 10.693 ± 1.07 dCX | 15.489 ± 1.03 dAU | 11.926 ± 1.03 dBW | 12.053 ± 1.03 dCY |
| 120 | 15.289 ± 1.07 eAT | 10.805 ± 1.07 eBV | 11.152 ± 1.06 eCX | 17.409 ± 1.03 eAU | 12.583 ± 1.01 eBW | 12.953 ± 1.04 eCY |
| 140 | 16.786 ± 1.03 fAT | 11.353 ± 1.08 fBV | 11.646 ± 1.09 fCX | 19.843 ± 1.01 fAU | 13.246 ± 1.03 fBW | 13.464 ± 1.04 fCY |
| 160 | 18.894 ± 1.07 gAT | 12.033 ± 1.03 gBV | 12.233 ± 1.04 gCX | 21.353 ± 1.01 gAU | 13.953 ± 1.02 gBW | 14.056 ± 1.02 gCY |
| 180 | 20.597 ± 1.03 hAT | 12.363 ± 1.07 hV | 13.036 ± 1.03 hCX | 24.761 ± 1.08 hAU | 14.803 ± 1.03 hBW | 15.242 ± 1.03 hCY |
| Ambient | Accelerated | |||||
|---|---|---|---|---|---|---|
| Storage Duration (Days) | Control (0 kg/kg) | TCP (0.017 kg/kg) | SiO2 (0.017 kg/kg) | Control (0 kg/kg) | TCP (0.017 kg/kg) | SiO2 (0.017 kg/kg) |
| Flowability (CI) | ||||||
| 0 | 22.356 ± 2.03 aAT | 22.356 ± 2.05 aAV | 22.356 ± 2.01 aAX | 22.356 ± 2.13 aAT | 22.356 ± 2.11 aAV | 22.356 ± 2.08 aAX |
| 30 | 23.461 ± 2.07 bAT | 23.476 ± 2.03 bBV | 23.878 ± 2.03 bCX | 24.521 ± 2.23 bAU | 24.246 ± 2.04 bBW | 24.601 ± 2.01 bBY |
| 60 | 26.232 ± 2.03 cAT | 25.651 ± 2.03 cBV | 25.904 ± 2.02 cCX | 28.467 ± 2.03 cAU | 27.451 ± 2.03 cBW | 27.808 ± 2.03 cCY |
| 90 | 27.898 ± 2.05 dAT | 26.204 ± 2.02 dBV | 26.408 ± 2.03 dCX | 29.219 ± 2.33 dAU | 28.206 ± 2.06 dBW | 28.461 ± 2.02 dCY |
| 120 | 29.231 ± 2.03 eAT | 27.329 ± 2.03 eBV | 27.442 ± 2.01 eCX | 31.515 ± 2.04 eAU | 29.509 ± 2.03 eBW | 30.221 ± 2.03 eCY |
| 140 | 30.996 ± 2.01 fAT | 29.662 ± 2.07 fBV | 29.705 ± 2.03 fCX | 32.757 ± 2.09 fAU | 31.748 ± 2.08 fBW | 32.336 ± 2.05 fCY |
| 160 | 32.414 ± 2.03 gAT | 31.221 ± 2.03 gBV | 32.217 ± 2.05 gCX | 34.227 ± 2.03 gAU | 33.216 ± 2.24 gBW | 34.016 ± 2.03 gCY |
| 180 | 34.262 ± 2.02 hAT | 32.654 ± 2.09 hBV | 33.709 ± 2.08 hCX | 36.981 ± 2.31 hAU | 34.470 ± 2.25 hBW | 35.007 ± 2.23 hCY |
| Hygroscopicity (%) | ||||||
| 0 | 23.041 ± 2.02 aAT | 23.041 ± 2.03 aAV | 23.041 ± 2.023 aAX | 23.041 ± 2.01 aAT | 23.041 ± 2.23 aBV | 23.041 ± 25 aCX |
| 30 | 23.253 ± 2.03 bAT | 23.173 ± 2.22 bBV | 23.192 ± 2.13 bCX | 23.767 ± 2.03 bAU | 23.471 ± 2.33 bBW | 23.527 ± 2.03 bCY |
| 60 | 23.577 ± 2.13 cAT | 23.321 ± 2.03 cBV | 23.371 ± 2.03 cCX | 24.656 ± 2.09 cAU | 24.021 ± 2.05 cBW | 24.132 ± 2.30 cCY |
| 90 | 24.053 ± 2.03 dAT | 23.867 ± 2.11 dBV | 24.027 ± 2.33 dCX | 25.062 ± 2.03 dAU | 24.773 ± 2.06 dBW | 25.073 ± 2.03 dCY |
| 120 | 25.223 ± 2.16 eAT | 24.073 ± 2.03 eBV | 24.671 ± 2.03 eCX | 26.137 ± 2.09 eAU | 25.247 ± 2.16 eBW | 26.023 ± 2.20 eCY |
| 140 | 26.232 ± 2.03 fAT | 24.784 ± 2.03 fBV | 25.107 ± 2.22 fCX | 28.232 ± 2.03 fAU | 26.477 ± 2.03 fBW | 27.067 ± 2.03 fCY |
| 160 | 27.109 ± 2.22 gAT | 25.439 ± 2.36 gBV | 25.957 ± 2.17 gCX | 29.553 ± 2.11 gAU | 27.666 ± 2.04 gBW | 28.223 ± 2.44 gCY |
| 180 | 28.432 ± 2.03 hAT | 26.023 ± 2.03 hBV | 26.223 ± 2.23 hCX | 31.247 ± 2.43 hAU | 28.289 ± 2.17 hBW | 29.027 ± 2.22 hCY |
| Powder Rehydration Time (PRT) (min.) | ||||||
| 0 | 1.423 ± 0.13 aAT | 1.423 ± 0.02 aAV | 1.423 ± 0.02 aAX | 1.423 ± 0.05 aAT | 1.423 ± 0.04 aAV | 1.423 ± 0.21 aAX |
| 30 | 1.480 ± 0.22 bAT | 1.463 ± 0.14 bBV | 1.467 ± 0.03 bBX | 1.453 ± 0.23 bAU | 1.437 ± 0.06 bBW | 1.448 ± 0.27 bCY |
| 60 | 1.527 ± 0.44 cAT | 1.503 ± 0.13 cBV | 1.503 ± 0.11 cBX | 2.020 ± 0.14 cAU | 1.550 ± 0.11 cBW | 1.560 ± 0.21 cCY |
| 90 | 1.573 ± 0.56 dAT | 1.540 ± 0.02 dBV | 1.540 ± 0.23 dBX | 2.113 ± 0.03 dAU | 2.013 ± 0.03 dBW | 2.037 ± 0.27 dCY |
| 120 | 2.017 ± 0.12 eAT | 1.870 ± 0.05 eBV | 2.026 ± 0.07 eCX | 2.160 ± 0.16 eAU | 2.047 ± 0.15 eBW | 2.060 ± 0.36 eCY |
| 140 | 2.123 ± 0.03 fAT | 2.040 ± 0.04 fBV | 2.057 ± 0.22 fCX | 2.260 ± 0.18 fAU | 2.147 ± 0.03 fBW | 2.180 ± 0.55 fCY |
| 160 | 2.200 ± 0.17 gAT | 2.097 ± 0.13 gBV | 2.103 ± 0.44 gCX | 2.370 ± 0.14 gAU | 2.223 ± 0.19 gBW | 2.270 ± 0.44 gCY |
| 180 | 2.230 ± 0.22 hAT | 2.120 ± 0.23 hBV | 2.177 ± 0.21 hCX | 2.583 ± 0.13 hAU | 2.320 ± 0.18 hBW | 2.363 ± 0.28 hCY |
| Rehydration Ratio | ||||||
| 0 | 6.047 ± 0.13 aAT | 6.047 ± 0.25 aAV | 6.047 ± 0.21 aAX | 6.047 ± 0.17 aAT | 6.047 ± 0.18 aAV | 6.047 ± 0.11 aAX |
| 30 | 5.447 ± 0.22 bAT | 5.481 ± 0.03 bBV | 5.474 ± 0.23 bCX | 5.417 ± 0.03 bAU | 5.463 ± 0.16 bBW | 5.453 ± 0.03 bCY |
| 60 | 5.413 ± 0.17 cAT | 5.483 ± 0.29 cBV | 5.457 ± 0.27 cCX | 5.127 ± 0.12 cAU | 5.351 ± 0.26 cBW | 5.421 ± 0.16 cCY |
| 90 | 5.371 ± 0.03 dAT | 5.453 ± 0.28 dBV | 5.376 ± 0.29 dCX | 5.033 ± 0.03 dAU | 5.181 ± 0.27 dBW | 5.295 ± 0.03 dCY |
| 120 | 5.310 ± 0.10 eAT | 5.393 ± 0.03 eBV | 5.288 ± 0.11 eCX | 4.971 ± 0.03 eAU | 4.991 ± 0.31 eBW | 5.021 ± 0.16 eCY |
| 140 | 5.211 ± 0.03 fAT | 4.557 ± 0.07 fBV | 5.235 ± 0.09 fCX | 4.541 ± 0.18 fAU | 4.463 ± 0.21 fBW | 4.722 ± 0.03 fCY |
| 160 | 4.553 ± 0.20 gAT | 4.752 ± 0.30 gBV | 4.812 ± 0.12 gCX | 4.053 ± 0.12 gAU | 4.223 ± 0.29 gBW | 4.242 ± 0.11 gCY |
| 180 | 4.247 ± 0.02 hAT | 4.843 ± 0.13 hBV | 4.671 ± 0.08 hCX | 3.653 ± 0.08 hAU | 3.863 ± 0.06 hBW | 3.763 ± 0.01 hCY |
| Ambient | Accelerated | |||||
|---|---|---|---|---|---|---|
| Storage Duration (Days) | Control (0 kg/kg) | TCP (0.017 kg/kg) | SiO2 (0.017 kg/kg) | Control (0 kg/kg) | TCP (0.017 kg/kg) | SiO2 (0.017 kg/kg) |
| L*-Value | ||||||
| 0 | 57.337 ± 3.13 aAT | 57.337 ± 3.24 aAV | 57.337 ± 3.23 aAX | 57.337 ± 3.21 aAT | 57.337 ± 3.02 aAV | 57.337 ± 3.10 aAX |
| 30 | 57.304 ± 3.21 bAT | 57.327 ± 3.03 bBV | 57.323 ± 3.22 bCX | 56.323 ± 3.03 bAU | 56.383 ± 3.23 bBW | 56.330 ± 3.23 bCY |
| 60 | 56.902 ± 3.22 cAT | 57.267 ± 3.10 cBV | 57.215 ± 3.21 cCX | 54.102 ± 3.34 cAU | 55.615 ± 3.21 cBW | 55.530 ± 3.12 cCY |
| 90 | 55.346 ± 3.32 dAT | 56.967 ± 3.03 dBV | 56.933 ± 3.08 dCX | 52.217 ± 3.03 dAU | 54.867 ± 3.32 dBW | 54.946 ± 3.26 dCY |
| 120 | 53.779 ± 3.43 eAT | 55.428 ± 3.19 eBV | 55.348 ± 3.19 eCX | 50.789 ± 3.33 eAU | 53.803 ± 3.34 eBW | 53.680 ± 3.23 eCY |
| 140 | 52.121 ± 3.21 fAT | 54.873 ± 3.11 fBV | 54.677 ± 3.18 fCX | 48.668 ± 3.22 fAU | 53.293 ± 3.45 fBW | 53.246 ± 3.54 fCY |
| 160 | 51.223 ± 3.11 gAT | 54.247 ± 3.18 gBV | 54.071 ± 3.16 gCX | 46.243 ± 3.22 gAU | 52.647 ± 3.27 gBW | 52.543 ± 3.04 gCY |
| 180 | 50.278 ± 3.10 hAT | 53.993 ± 3.11 hBV | 53.285 ± 3.17 hCX | 45.561 ± 3.11 hAU | 51.653 ± 3.29 hBW | 50.821 ± 3.23 hCY |
| a* Value | ||||||
| 0 | 5.463 ± 1.06 aAT | 5.463 ± 1.09 aAV | 5.463 ± 1.09 aAX | 5.463 ± 1.09 aAT | 5.463 ± 1.07 aAV | 5.463 ± 1.05 aAX |
| 30 | 5.964 ± 1.05 bAT | 5.896 ± 1.03 bBV | 5.946 ± 1.08 bCX | 6.019 ± 1.03 bAU | 5.641 ± 1.03 bBW | 5.743 ± 1.03 bCY |
| 60 | 6.412 ± 1.04 cAT | 6.357 ± 1.18 cBV | 6.280 ± 1.07 cCX | 6.673 ± 1.08 cAU | 6.853 ± 1.09 cBW | 6.757 ± 1.06 cCY |
| 90 | 7.017 ± 1.01 dAT | 7.007 ± 1.23 dBV | 6.940 ± 1.06 dCX | 7.227 ± 1.03 dAU | 7.287 ± 1.03 dBW | 7.296 ± 1.03 dCY |
| 120 | 7.323 ± 1.10 eAT | 7.223 ± 1.22 eBV | 7.047 ± 1.03 eCX | 7.661 ± 1.08 eAU | 7.627 ± 1.09 eBW | 7.583 ± 1.03 eCY |
| 140 | 7.816 ± 1.22 fAT | 7.547 ± 1.21 fBV | 7.357 ± 1.05 fCX | 8.232 ± 1.03 fAU | 8.037 ± 1.03 fBW | 8.057 ± 1.04 fCY |
| 160 | 8.012 ± 1.21 gAT | 7.943 ± 1.32 gBV | 7.862 ± 1.03 gCX | 8.767 ± 1.04 gAU | 8.343 ± 1.07 gBW | 8.372 ± 1.03 gCY |
| 180 | 8.429 ± 1.21 hAT | 8.023 ± 1.32 hBV | 8.123 ± 1.01 hCX | 9.251 ± 1.06 hAU | 8.853 ± 1.04 hBW | 8.712 ± 1.04 hCY |
| b* Value | ||||||
| 0 | 27.128 ± 2.03 aAT | 27.128 ± 2.23 aAV | 27.128 ± 2.11 aAX | 27.128 ± 2.11 aAT | 27.128 ± 2.33 aAV | 27.128 ± 2.11 AX |
| 30 | 26.778 ± 2.17 bAT | 27.074 ± 2.43 bBV | 26.982 ± 2.03 bCX | 26.878 ± 2.16 bAU | 27.471 ± 2.03 bBW | 27.667 ± 2.03 bCY |
| 60 | 26.023 ± 2.03 cAT | 26.871 ± 2.21 cBV | 26.772 ± 2.11 cCX | 25.343 ± 2.03 cAU | 26.022 ± 2.21 cBW | 26.017 ± 2.22 cBY |
| 90 | 25.505 ± 2.03 dAT | 26.271 ± 2.43 dBV | 26.135 ± 2.03 dCX | 24.223 ± 2.23 dAU | 25.773 ± 2.03 dBW | 25.175 ± 2.34 dCY |
| 120 | 24.862 ± 2.22 eAT | 25.762 ± 2.12 eBV | 25.552 ± 2.03 eCX | 23.616 ± 2.03 eAU | 24.241 ± 2.21 eBW | 24.112 ± 2.03 eCY |
| 140 | 23.880 ± 2.03 fAT | 25.176 ± 2.25 fBV | 25.107 ± 2.21 fCX | 21.443 ± 2.23 fAU | 23.265 ± 2.03 fBW | 23.136 ± 2.03 fcY |
| 160 | 22.775 ± 2.027 gAT | 24.842 ± 2.21 gBV | 24.336 ± 2.23 gCX | 19.998 ± 2.03 gAU | 22.343 ± 2.31 gBW | 22.237 ± 2.21 gCY |
| 180 | 21.870 ± 2.03 hAT | 24.017 ± 2.23 hBV | 23.885 ± 2.23 hCX | 18.233 ± 2.21 hAU | 21.271 ± 2.03 hAW | 21.116 ± 2.29 hBY |
| Total Plate Count (TAB) (CFU/g × 103) | ||||||
| 0 | 0.661 ± 1.21 aAXT | 0.661 ± 1.21 aAV | 0.661 ± 1.27 aAX | 0.661 ± 1.21 aAT | 0.661 ± 1.28 aAV | 0.661 ± 1.53 aAX |
| 30 | 3.721 ± 1.22 bAT | 3.712 ± 1.55 bBV | 3.744 ± 1.53 bCX | 4.022 ± 1.24 bAU | 3.852 ± 1.53 bBW | 3.842 ± 1.10 bCY |
| 60 | 3.872 ± 1.24 cAT | 3.753 ± 1.21 cBV | 3.753 ± 1.53 cCX | 4.661 ± 1.53 cAU | 3.934 ± 1.26 cBW | 3.944 ± 1.53 cCY |
| 90 | 4.299 ± 1.53 dAT | 3.824 ± 1.53 dBV | 3.824 ± 1.11 dCX | 5.128 ± 1.27 dAU | 4.147 ± 1.53 dBW | 4.610 ± 1.53 dCY |
| 120 | 4.663 ± 1.27 eAT | 3.893 ± 1.21 eBV | 3.910 ± 1.53 eCX | 5.780 ± 1.53 eAU | 4.268 ± 1.27 eBW | 4.770 ± 1.10 eCY |
| 140 | 4.987 ± 1.53 fAT | 3.932 ± 1.53 fBV | 3.950 ± 1.26 fCX | 6.216 ± 1.28 fAU | 4.694 ± 1.53 fBW | 4.894 ± 1.19 fCY |
| 160 | 5.239 ± 1.29 gAT | 4.032 ± 1.23 gBV | 4.050 ± 1.29 gCX | 6.908 ± 1.28 gAU | 5.252 ± 1.29 gBW | 5.073 ± 1.53 gCY |
| 180 | 5.601 ± 1.53 hAT | 4.110 ± 1.19 hBV | 4.174 ± 1.18 hCX | 7.980 ± 1.57 hAU | 6.051 ± 1.33 hBW | 6.242 ± 1.10 hCY |
Disclaimer/Publisher’s Note: The statements, opinions and data contained in all publications are solely those of the individual author(s) and contributor(s) and not of MDPI and/or the editor(s). MDPI and/or the editor(s) disclaim responsibility for any injury to people or property resulting from any ideas, methods, instructions or products referred to in the content. |
© 2022 by the authors. Licensee MDPI, Basel, Switzerland. This article is an open access article distributed under the terms and conditions of the Creative Commons Attribution (CC BY) license (https://creativecommons.org/licenses/by/4.0/).
Share and Cite
Bashir, O.; Hussain, S.Z.; Ameer, K.; Amin, T.; Beenish; Ahmed, I.A.M.; Aljobair, M.O.; Gani, G.; Mir, S.A.; Ayaz, Q.; et al. Influence of Anticaking Agents and Storage Conditions on Quality Characteristics of Spray Dried Apricot Powder: Shelf Life Prediction Studies Using Guggenheim-Anderson-de Boer (GAB) Model. Foods 2023, 12, 171. https://doi.org/10.3390/foods12010171
Bashir O, Hussain SZ, Ameer K, Amin T, Beenish, Ahmed IAM, Aljobair MO, Gani G, Mir SA, Ayaz Q, et al. Influence of Anticaking Agents and Storage Conditions on Quality Characteristics of Spray Dried Apricot Powder: Shelf Life Prediction Studies Using Guggenheim-Anderson-de Boer (GAB) Model. Foods. 2023; 12(1):171. https://doi.org/10.3390/foods12010171
Chicago/Turabian StyleBashir, Omar, Syed Zameer Hussain, Kashif Ameer, Tawheed Amin, Beenish, Isam A. Mohamed Ahmed, Moneera O. Aljobair, Gousia Gani, Shakeel Ahmad Mir, Qudsiya Ayaz, and et al. 2023. "Influence of Anticaking Agents and Storage Conditions on Quality Characteristics of Spray Dried Apricot Powder: Shelf Life Prediction Studies Using Guggenheim-Anderson-de Boer (GAB) Model" Foods 12, no. 1: 171. https://doi.org/10.3390/foods12010171
APA StyleBashir, O., Hussain, S. Z., Ameer, K., Amin, T., Beenish, Ahmed, I. A. M., Aljobair, M. O., Gani, G., Mir, S. A., Ayaz, Q., & Nazir, N. (2023). Influence of Anticaking Agents and Storage Conditions on Quality Characteristics of Spray Dried Apricot Powder: Shelf Life Prediction Studies Using Guggenheim-Anderson-de Boer (GAB) Model. Foods, 12(1), 171. https://doi.org/10.3390/foods12010171

