Phenolic Acid Content and Antioxidant Properties of Edible Potato (Solanum tuberosum L.) with Various Tuber Flesh Colours
Abstract
1. Introduction
2. Materials and Methods
2.1. Plant Material
2.2. Sample Preparation
2.3. Polyphenol Extraction and Identification
2.4. Anthocyanin Extraction and Identification
2.5. Extract Preparation
2.6. Measuring Total Phenolic and Anthocyanin Content
2.7. DPPH Radical-Scavenging Activity
2.8. ABTS Radical-Scavenging Activity
2.9. Ferric Reducing Antioxidant Power (FRAP) Assay
2.10. Measuring Total and Reduced Ascorbate Content
2.11. Statistical Analysis
3. Results and Discussion
3.1. Phenolic Acid Content
3.2. Flavonol Content in Coloured and Bright-Fleshed Potato Tubers [mg 100 g−1 FM]
3.3. Anthocyanin Content in Coloured and Bright-Fleshed Potato Tubers [mg 100 g−1 FM]
3.4. Analysis of Total Reducing and Antioxidant Compounds in Coloured and Bright-Fleshed Potato Tubers
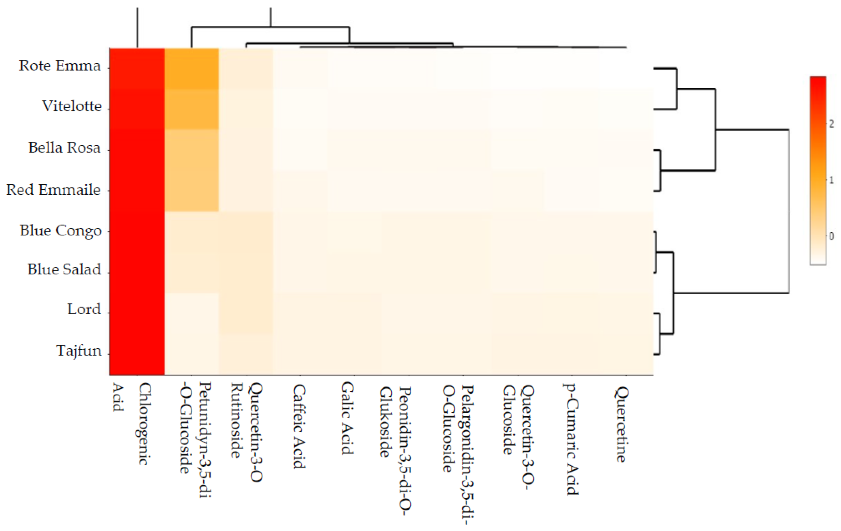
3.5. Multidimensional Analysis of Scaled Heat Maps in Coloured and Bright-flesh of Potatoes
4. Conclusions
Author Contributions
Funding
Data Availability Statement
Conflicts of Interest
References
- Bvenura, C.; Witbooi, H.; Kambizi, L. Pigmented Potatoes: A Potential Panacea for Food and Nutrition Security and Health? Foods 2022, 11, 175. [Google Scholar] [CrossRef] [PubMed]
- De Masi, L.; Bontempo, P.; Rigano, D.; Stiuso, P.; Carafa, V.; Nebbioso, A.; Piacente, S.; Montoro, P.; Aversano, R.; D’Amelia, V. Comparative phytochemical characterization, genetic profile, and antiproliferative activity of polyphenol-rich extracts from pigmented tubers of different Solanum tuberosum varieties. Molecules 2020, 25, 233. [Google Scholar] [CrossRef] [PubMed]
- Oertel, A.; Matros, A.; Hartmann, A.; Arapitsas, P.; Dehmer, K.J.; Martens, S.; Mock, H.-P. Metabolite profiling of red and blue potatoes revealed cultivar and tissue specific patterns for anthocyanins and other polyphenols. Planta 2017, 246, 281–297. [Google Scholar] [CrossRef] [PubMed]
- Vaitkevičienė, N.; Kulaitienė, J.; Jarienė, E.; Levickienė, D.; Danillčenko, H.; Średnicka-Tober, D.; Rembiałkowska, E.; Hallmann, E. Characterization of Bioactive Compounds in Colored Potato (Solanum Tuberosum L.) Cultivars Grown with Conventional, Organic, and Biodynamic Methods. Sustainability 2020, 12, 2701. [Google Scholar] [CrossRef]
- Kotíková, Z.; Šulc, M.; Lachman, J.; Pivec, V.; Orsák, M.; Hamouz, K. Carotenoid profile and retention in yellow-, purple- and red-fleshed potatoes after thermal processing. Food Chem. 2016, 15, 992–1001. [Google Scholar] [CrossRef]
- Lachman, J.; Hamouz, K.; Sulc, M.; Orsak, M.; Pivec, V.; Hejtmankova, A.; Dvorak, P.; Cepl, J. Cultivar differences of total anthocyanins and anthocyanidins in red and purple-fleshed potatoes and their relation to antioxidant activity. Food Chem. 2009, 114, 834–836. [Google Scholar] [CrossRef]
- Silveira, A.C.; Falagán, N.; Aguayo, E.; Vilaró, F.; Escalona, W.H. Compositional changes on colored and light-yellow-fleshed potatoes subjected to two cooking processes. CyTA-J. Food 2017, 15, 241–248. [Google Scholar] [CrossRef]
- Akyol, H.; Riciputi, Y.; Capanoglu, E.; Caboni, M.F.; Verardo, V. Phenolic Compounds in the Potato and its Byproducts: An Overview. Int. J. Mol. Sci. 2016, 17, 835. [Google Scholar] [CrossRef]
- Kazimierczak, R.; Średnicka-Tober, D.; Hallmann, E.; Kopczyńska, K.; Zarzyńska, K. The impact of organic vs. conventional agricultural practices on selected quality features of eight potato cultivars. Agronomy 2019, 9, 799. [Google Scholar] [CrossRef]
- Liao, M.; Zou, B.; Chen, J.; Yao, Z.; Huang, L.; Luo, Z.; Wang, Z. Effect of domestic cooking methods on the anthocyanins and antioxidant activity of deeply purple-fleshed sweetpotato GZ9. Heliyon 2019, 5, e1515. [Google Scholar] [CrossRef]
- Koszowska, A.; Dittfeld, A.; Puzon-Brończyk, A.; Nowak, J.; Zubelewicz-Szkodzińska, B. Polyphenols in the prevention of lifestyle diseases. Adv. Phyt. 2013, 4, 263–266. [Google Scholar]
- Vaitkevičienė, N.; Jarienė, E.; Ingold, R.; Peschke, J. Effect of biodynamic preparations on the soil biological and agrochemical properties and coloured potato tubers quality. Open Agric. 2019, 4, 17–23. [Google Scholar] [CrossRef]
- Franková, H.; Musilová, J.; Árvay, J.; Harangozo, Ľ.; Šnirc, M.; Vollmannová, A.; Lidiková, J.; Hegedűsová, A.; Jaško, E. Variability of Bioactive Substances in Potatoes (Solanum Tuberosum L.) Depending on Variety and Maturity. Agronomy 2022, 12, 1454. [Google Scholar] [CrossRef]
- Zhang, Z.; Li, X.; Sang, S.; McClements, D.J.; Chen, L.; Long, J.; Jiao, A.; Jin, Z.; Qiu, C. Polyphenols as Plant-Based Nutraceuticals: Health Effects, Encapsulation, Nano-Delivery, and Application. Foods 2022, 11, 2189. [Google Scholar] [CrossRef]
- Brown, C.R.; Culley, D.E.; Bonierbale, M.W.; Amorós, W. Anthocyanin, carotenoid content, and antioxidant values in native South American potato cultivars. HortScience 2007, 42, 1733–1736. [Google Scholar] [CrossRef]
- Piątkowska, E.; Kopeć, A.; Leszczyńska, T. Anthocyanins—their profile, occurrence, and impact onhuman organism. Food Sci. Technol. Qual. 2011, 4, 24–35. [Google Scholar]
- Zawistowski, J.; Kopec, A.; Kitts, D.D. Effect of a black rice extract (Oryza sativa L. indica) on cholesterol levels and plasma lipid parameters in Wistar Kyoto rats. J. Funct. Foods 2009, 1, 50–56. [Google Scholar] [CrossRef]
- Jiang, Z.; Chen, C.; Wang, J.; Xie, W.; Wang, M.; Li, X.; Zhang, X. Purple potato (Solanum tuberosum L.) anthocyanins attenuate alcohol-induced hepatic injury by enhancing antioxidant defense. J. Nat. Med. 2016, 70, 45–53. [Google Scholar] [CrossRef]
- Han, K.; Sekikawa, M.; Shimada, K.; Hashimoto, M.; Hashimoto, N.; Noda, T.; Tanaka, H.; Fukushima, M. Anthocyanin-rich purple potato flake extract has antioxidant capacity and improves antioxidant potential in rats. Br. J. Nutr. 2006, 96, 1125–1133. [Google Scholar] [CrossRef] [PubMed]
- Wierzbicka, A.; Hallmann, E.; Grudzińska, M. Polyphenol content of potatoes depending on the variety and effective microorganisms. Fragm. Agron. 2015, 32, 81–88. [Google Scholar]
- Ah-Hen, K.S.; Fuenzalida, C.; Hess, S.; Contreras, A.; Vega-Gálvez, A.; Lemus-Mondaca, R. Antioxidant capacity and total phenolic compounds of twelve selected potato landrace clones grown in southern Chile. Chil. J. Agric. Res. 2012, 72, 3–9. [Google Scholar] [CrossRef]
- Külen, O.; Stushnoff, C.; Holm, D.G. Effect of cold storage on total phenolics content, antioxidant activity and vitamin C level of selected potato clones. J. Sci. Food Agric. 2013, 93, 2437–2444. [Google Scholar] [CrossRef] [PubMed]
- Rytel, E.; Tajner-Czopek, A.; Kita, A.; Soko, A.B.; Towska Kucharska, A.Z.; Hamouz, K. Effect of the production process on the content of anthocyanins in dried red-fleshed potato cubes. Ital. J. Food Sci. 2019, 31, 150–160. [Google Scholar]
- Yin, L.; Chen, T.; Li, Y.; Fu, S.; Li, L.; Xu, M.; Niu, Y. A comparative study on total anthocyanin content, composition of anthocyanidin, total phenolic content and antioxidant activity of pigmented potato peel and flesh. Food Sci. Technol. Res. 2016, 22, 219–226. [Google Scholar] [CrossRef]
- WRB. World Reference Database for Soil Resources. 2014. Available online: http://www.fao.org/3/ai3794e.pdf (accessed on 8 November 2022).
- Nawrocki, S. Fertilizer Recommendations. Part I. Limit Numbers for Valuation of Soils in Macro-and Microelements; IUNG Puławy: Pulawy, Poland, 1990; p. 44. [Google Scholar]
- Zarzecka, K.; Gugała, M.; Sikorska, A.; Mystkowska, I. The impact of the soil conditioner UGmax on selected qualitative characteristics of potato tubers. Appl. Ecol. Env. Res. 2018, 16, 39–50. [Google Scholar] [CrossRef]
- Rodriguez-Saona, L.E.; Giusti, M.M.; Wrolstad, R.E. Anthocyanin pigment composition of red-fleshed potatoes. J. Food Sci. 1998, 63, 458–465. [Google Scholar] [CrossRef]
- Yang, Z.; Chen, Z.; Yuan, S.; Zhai, W.; Piao, X.; Piao, X. Extraction and identification of anthocyanin from purple corn (Zea mays L.). Int. J. Food Sci. Technol. 2009, 44, 2485–2492. [Google Scholar] [CrossRef]
- Fuleki, T.; Francis, F.J. Quantitative Methods for Anthocyanins; Blackwell Publishing Ltd.: Hoboken, NJ, USA, 1968; Volume 33, pp. 266–274. [Google Scholar]
- Re, R.; Pellegrini, N.; Proteggente, A.; Pannala, A.; Yang, M.; Rice-Evans, C. Antioxidant activity applying an improved ABTS radical cation decolorization assay. Free Radic. Biol. Med. 1999, 26, 1231–1237. [Google Scholar] [CrossRef]
- Du, G.; Li, M.; Ma, F.; Dong, L. Antioxidant capacity and the relationship with polyphenol and Vitamin C in Actinidia fruits. Food Chem. 2009, 113, 557–562. [Google Scholar] [CrossRef]
- Bartoli, C.G.; Yu, J.; Gomez, F.; Fernandaz, L.; McIntosh, L.; Foyer, C.H. Interrelationships between Light and Respiration in the Control of Ascorbic Acid Synthesis. J. Exp. Bot. 2006, 57, 1621–1631. [Google Scholar] [CrossRef]
- Hosseini-Beheshti, E.; Lund, S.T.; Kitts, D.D. Characterization of antioxidant capacity from fruits with distinct anthocyanin biosynthetic pathways. J. Nutr. Food Sci. 2012, 2, 122. [Google Scholar]
- Ezekiel, R.; Singh, N.; Sharma, S.; Kaur, A. Beneficial phytochemicals in potato—A review. Food Res. Int. 2013, 50, 487–496. [Google Scholar] [CrossRef]
- Rytel, E.; Tajner-Czopek, A.; Kita, A.; Aniołowska, M.; Kucharska, A.Z.; Sokół-Łętowska, A.; Hamouz, K. Content of polyphenols in coloured and yellow fleshed potatoes during dices processing. Food Chem. 2014, 161, 224–229. [Google Scholar] [CrossRef]
- Navarre, D.A.; Pillai, S.S.; Shakya, R.; Holden, M.J. HPLC profiling of phenolics in diverse potato genotypes. Food Chem. 2011, 127, 34–41. [Google Scholar] [CrossRef]
- Perla, V.; Holm, D.G.; Jayanty, S.S. Effect of cooking methods on polyphenols, pigments and antioxidant activity in potato tubers. Food Sci. Technol. 2012, 45, 161–171. [Google Scholar] [CrossRef]
- Mulinacci, N.; Ieri, F.; Giaccherini, C.; Innocenti, M.; Andrenelli, L.; Canova, G.; Saracchi, M.; Casiraghi, M.C. Effect of cooking on the anthocyanins, phenolic acids, glycoalkaloids, and resistant starch content in two pigmented cultivars of Solanum tuberosum L. J. Agric. Food. Chem. 2008, 56, 11830–11837. [Google Scholar] [CrossRef]
- Kita, A.; Bąkowska-Barczak, A.; Lisińska, G.; Hamouz, K.; Kułakowska, K. Antioxidant activity and quality of red and purple flesh potato chips. LWT-Food Sci. Technol. 2015, 62, 525–531. [Google Scholar] [CrossRef]
- Tierno, R.; Hornero-Méndez, D.; Gallardo-Guerrero, L.; López Pardo, R.; Ruiz de Galarreta, J.I. Effect of boiling on the total phenolic, anthocyanin and carotenoid concentrations of potato tubers from selected cultivars and introgressed breeding lines from native potato species. J. Food Compos. Anal. 2015, 41, 58–65. [Google Scholar] [CrossRef]
- Andre, C.M.; Oufir, M.; Guignard, C.; Hoffmann, L.; Hausman, J.F.; Evers, D.; Larondelle, Y. Antioxidant profiling of native Andean potato tubers (Solanum tuberosum L.) reveals cultivars with high levels of β-carotene, α-tocopherol, chlorogenic acid and petanin. J. Agric. Food Chem. 2007, 55, 10839–10849. [Google Scholar] [CrossRef]
- Nemś, A.; Miedzianka, J.; Pęksa, A.; Kita, A. Prohealthy compounds content in potatoes varieties of different flesh colour. Bromatol. I Chem. Toksykol. 2015, 3, 473–478. [Google Scholar]
- Rasheed, H.; Ahmad, D.; Bao, J. Genetic Diversity and Health Properties of Polyphenols in Potato. Antioxidants 2022, 11, 603. [Google Scholar] [CrossRef] [PubMed]


| Cultivar Characteristics | Coloured-fleshed Potatoes | Bright-fleshed Potatoes | ||||||
|---|---|---|---|---|---|---|---|---|
| “Rote Emma” | “Blue Salad” | “Vitelotte” | “Red Emmalie” | “Blue Congo” | “Bella Rosa” | “Lord” | “Tajfun” | |
| Maturity | Medium Early | Early | Early | Medium Early | Late | Very early | Early | Medium early |
| Flesh colour | Dark red | Light blue-purple | Dark Purple | Red | Violet | Yellow | Light yellow | Light Yellow |
| Skin colour | Red | Dark blue-purple | Dark Purple | Red | Violet | Pink | Light yellow | Light yellow |
| Tuber shape | Long oval | Short oval | Long | Long | Oval | Round oval | Round oval | Oval |
| Cooking type | AB | A | AB | AB | BC | AB | AB | B-BC |
| Picture | ![]() | ![]() | ![]() | ![]() | ![]() | ![]() | ![]() | ![]() |
| Cultivar | Phenolic Acids (sum) | Chlorogenic Acid | Gallic Acid | p-Coumaric Acid | Caffeic Acid |
|---|---|---|---|---|---|
| mg∙100 g−1 fresh mass (FM) ± SD | |||||
| a Rote Emma (c) | 80.49 ± 0.10 b–h | 75.60 ± 0.32 b–g,h | 1.55 ± 0.09 e,f,g,h | 0.79 ± 0.03 e,f,g,h | 2.55 ± 0.08 b,c,d,e,f,g,h |
| b Blue Salad (c) | 120.62 ± 0.70 a,c–h | 117.71 ± 0.27 a,c–h, | 1.37 ± 0.06 e,g,h | 0.71 ± 0.06 f,g,h | 0.83 ± 0.08 a,d,g,h |
| c Vitelotte (c) | 129.94 ± 0.69 a,b,d–h | 126.77 ± 0.55 a,b,d–h | 1.44 ± 0.10 e,g,h | 0.80 ± 0.06 f,g,h | 0.93 ± 0.04 a,d,f,g,h |
| d Red Emmalie (c) | 77.85 ± 0.48 a,b,c,e–h | 73.37 ± 0.75 a,b,c,e–h | 1.42 ± 0.11 e,g,h | 0.73 ± 0.02 e,f,g,h | 2.33 ± 0.05 a,b,c,e,f,g,h |
| e Blue Congo (c) | 107.96 ± 0.43 a–d,f,g,h | 105.55 ± 0.66 a–d,f,g,h | 0.88 ± 0.05 a,b,c,d,f | 0.58 ± 0.06 a,c,d | 0.95 ± 0.07 a,d,f,g,h |
| f Bella Rosa (b) | 66.50 ± 0.73 a–e | 64.11 ± 0.75 a–e | 1.25 ± 0.03 a,e,g,h,f | 0.48 ± 0.03 a,b,c,d | 0.66 ± 0.05 a,c,d,e |
| g Lord (b) | 64.78 ± 0.55 a–e | 62.95 ± 0.23 a–e | 0.69 ± 0.04 a,b,c,d,f | 0.56 ± 0.06 a,b,c,d | 0.58 ± 0.05 a,b,c,d,e |
| h Tajfun (b) | 65.30 ± 0.91 a–e | 63.46 ± 0.69 a–e | 0.72 ± 0.09 a,b,c,d,f | 0.51 ± 0.05 a,b,c,d | 0.63 ± 0.05 a,b,c,d,e |
| Means | 89.19 | 86.19 | 1.18 | 0.64 | 1.18 |
| Cultivar | Flavonols (sum) | Quercetin | Quercetin-3-O-Glucoside | Quercetin-3-O-Rutinoside |
|---|---|---|---|---|
| mg 100 g−1 fresh mass (FM) ± SD | ||||
| a Rote Emma (c) | 8.08 ± 0.04 d,f,g,h | 0.30 ± 0.03 b,g | 0.67 ± 0,04 b,d,g | 7.11 ± 0.10 d,f,g,h |
| b Blue Salad (c) | 8.00 ± 0.12 d,f,g,h | 0.19 ± 0.02 a,d,f,g | 0.49 ± 0.04 a,d | 7.32 ± 0.13 d,f,g,h, |
| c Vitelotte (c) | 8.19 ± 0.16 d,f,g,h | 0.25 ± 0.03 b,g | 0.53 ± 0.04 d,g | 7.41 ± 0.13 d–h |
| d Red Emmalie (c) | 6.10 ± 0.08 a,b,c,e–h | 0.38 ± 0.08 b,g | 1.79 ± 0.14 a,b,c,e–h | 3.93 ± 0.21 a,b,c,e,f,h |
| e Blue Congo (c) | 7.80 ± 0.09 d,f,g,h | 0.31 ± 0.05 b,g | 0.55 ± 0.04 d,g | 6.94 ± 0.21 a,b,c,e,f–h |
| f Bella Rosa (b) | 4.06 ± 0.07 a–e,h | 0.34 ± 0.04 b,c,g | 0.64 ± 0.05 d,g | 3.06 ± 0.07 a,b,d,f–h |
| g Lord (b) | 3.82 ± 0.09 a–h | 0.20 ± 0.04 a,d,e,h | 0.33 ± 0.04 a,c–f,h | 3.29 ± 0.07 a–e,h |
| h Tajfun (b) | 2.97 ± 0.09 a–g | 0.37 ± 0.04 b,c,g | 0.63 ± 0.04 d,g | 1.97 ± 0.02 a–g |
| Means | 6.62 | 0.29 | 0.70 | 5.63 |
| Cultivar | Anthocyanins (sum) | Petunidin-3,5-di-O-Glucoside | Pelargonidin-3,5-di-O-Glucoside | Peonidin-3,5-di-O-Glucoside |
|---|---|---|---|---|
| mg 100 g−1 fresh mass (FM) ± SD | ||||
| a Rote Emma (c) | 39.99 b–f | 37.22 b–h | 1.34 * | 1.43 * |
| b Blue Salad (c) | 9.40 a,c,d,f | 6.55 a,c–e,g,h | 1.41 * | 1.44 * |
| c Vitelotte (c) | 54.09 a,b,d–f | 51.27 a,b,d,e,f | 1.37 * | 1.45 * |
| d Red Emmalie (c) | 22.57 a–c,e,f | 19.76 a,b,c,e,f | 1.39 * | 1.42 * |
| e Blue Congo (c) | 9.54 a,c,d,f | 6.67 a,c,d,f | 1.42 * | 1.45 * |
| f Bella Rosa (b) | 20.15 a–e | 17.42 a–e | 1.32 * | 1.41 * |
| g Lord (b) | 0.00 | 0.00 | 0.00 | 0.00 |
| h Tajfun (b) | 0.00 | 0.00 | 0.00 | 0.00 |
| Means | 25.95 | 23.15 | 1.37 | 1.43 |
| Cultivar | FRAP (μmol Trolox ∗ g−1 DW) ± SD | ABTS (μmol Trolox ∗ g−1 DW) ± SD | DPPH (μmol TE ∗ g−1 DW) ± SD | Total Phenolic Compounds (mg GAE ∗ 100 g−1 FM) ± SD | Total Ascorbate Content (μg ∗ g−1 FM) ± SD | Reduced Ascorbate Content (μg ∗ g−1 FM) ± SD | Oxidised Ascorbate Content (μg ∗ g−1 FM) ± SD |
|---|---|---|---|---|---|---|---|
| a Rote Emma (c) | 3.74 ± 0.18 b,c | 34.46 ± 0.28 c–h | 9.21 ± 0.16 b,c,e,f,g | 111.92 ± 0.42 b–h | 368.55 ± 0.88 b–h | 272.73 ± 0.61 b–h | 95.82 ± 0.39 b–h |
| b Blue Salad (c) | 5.63 ± 0.24 a,c–h | 34.88 ± 0.35 c–h | 12.77 ± 0.29 a,c–h | 143.93 ± 0.43 a,c–h | 153.47 ± 0.38 a,c–h | 113.57 ± 0.54 a,c–h | 39.90 ± 0.47 a,c–h |
| c Vitelotte (c) | 6.89 ± 0.26 a,b,d–h | 40.93 ± 0.40 a,b,d–h | 18.30 ± 0.15 a,b,d–h | 219.16 ± 1.03 a,b,d–h | 417.83 ± 0.52 a,b,d–h | 309.19 ± 0.14 a,b,d–h | 108.64 ± 0.81 a,b,d–h |
| d Red Emmalie (c) | 3.87 ± 0.52 b,c | 37.22 ± 0.46 a,b,c,e,h | 9.33 ± 0.30 b,c,e–h | 139.53 ± 0.83 a,b,c,e–h | 407.92 ± 1.04 a,b,c,e–h | 301.86 ± 0.50 a,b,c,e–h | 106.06 ± 0.52 a,b,c,f,g,h |
| e Blue Congo (c) | 3.36 ± 0.63 b,c | 29.06 ± 0.30 a–h | 11.72 ± 0.20 a–d,f,g,h | 155.72 ± 0.64 a–d,f,g,h | 401.12 ± 1.72 a–d,f,g,h | 296.83 ± 0.76 a–d,f,g,h | 104.29 ± 1.07 a,b,c,g,h |
| f Bella Rosa (b) | 3.67 ± 0.17 b,c | 36.17 ± 0.51 a,b,c,e,g,h | 8.17 ± 0.35 a–e,g | 107.82 ± 0.82 a–e,g,h | 274.34 ± 1.22 a–e,g,h | 203.01 ± 1.31 a–e,g,h | 71.33 ± 1.05 a–e,g,h |
| g Lord (b) | 3.22 ± 0.46 b,c | 38.39 ± 0.38 a,b,c,e,g,h | 3.27 ± 0.03 a–e,f | 52.99 ± 0.65 a–e,f,h | 169.22 ± 1.11 a–f,h | 125.22 ± 1.12 a–f,h | 44.00 ± 0.69 a–f,h |
| h Tajfun (b) | 3.41 ± 0.55 b,c | 39.12 ± 0.55 a–f | 8.61 ± 0.31 b–e,g | 71.27 ± 0.66 a–g | 198.25 ± 1.31 a–g | 146.71 ± 0.97 a–g | 51.54 ± 0.82 a–g |
Disclaimer/Publisher’s Note: The statements, opinions and data contained in all publications are solely those of the individual author(s) and contributor(s) and not of MDPI and/or the editor(s). MDPI and/or the editor(s) disclaim responsibility for any injury to people or property resulting from any ideas, methods, instructions or products referred to in the content. |
© 2022 by the authors. Licensee MDPI, Basel, Switzerland. This article is an open access article distributed under the terms and conditions of the Creative Commons Attribution (CC BY) license (https://creativecommons.org/licenses/by/4.0/).
Share and Cite
Cebulak, T.; Krochmal-Marczak, B.; Stryjecka, M.; Krzysztofik, B.; Sawicka, B.; Danilčenko, H.; Jarienè, E. Phenolic Acid Content and Antioxidant Properties of Edible Potato (Solanum tuberosum L.) with Various Tuber Flesh Colours. Foods 2023, 12, 100. https://doi.org/10.3390/foods12010100
Cebulak T, Krochmal-Marczak B, Stryjecka M, Krzysztofik B, Sawicka B, Danilčenko H, Jarienè E. Phenolic Acid Content and Antioxidant Properties of Edible Potato (Solanum tuberosum L.) with Various Tuber Flesh Colours. Foods. 2023; 12(1):100. https://doi.org/10.3390/foods12010100
Chicago/Turabian StyleCebulak, Tomasz, Barbara Krochmal-Marczak, Małgorzata Stryjecka, Barbara Krzysztofik, Barbara Sawicka, Honorata Danilčenko, and Elvyra Jarienè. 2023. "Phenolic Acid Content and Antioxidant Properties of Edible Potato (Solanum tuberosum L.) with Various Tuber Flesh Colours" Foods 12, no. 1: 100. https://doi.org/10.3390/foods12010100
APA StyleCebulak, T., Krochmal-Marczak, B., Stryjecka, M., Krzysztofik, B., Sawicka, B., Danilčenko, H., & Jarienè, E. (2023). Phenolic Acid Content and Antioxidant Properties of Edible Potato (Solanum tuberosum L.) with Various Tuber Flesh Colours. Foods, 12(1), 100. https://doi.org/10.3390/foods12010100









