Modulation of Metabolome and Overall Perception of Pea Protein-Based Gels Fermented with Various Synthetic Microbial Consortia
Abstract
:1. Introduction
2. Materials and Methods
2.1. Raw Materials
2.2. Products Preparation, Microbial Analyses, and pH Measurements
2.3. Sensory Evaluation
2.3.1. Sensory Evaluation Conditions
2.3.2. Attribute Selection, Panelist Training, and Sensory Profiling Evaluation
2.4. Physicochemical Characterization
2.4.1. Extraction and Identification of Volatile Flavor Components from Fermented Gels
2.4.2. Extraction and Identification of Non-Volatile Components from Gels
2.5. Statistical Analysis
3. Results and Discussion
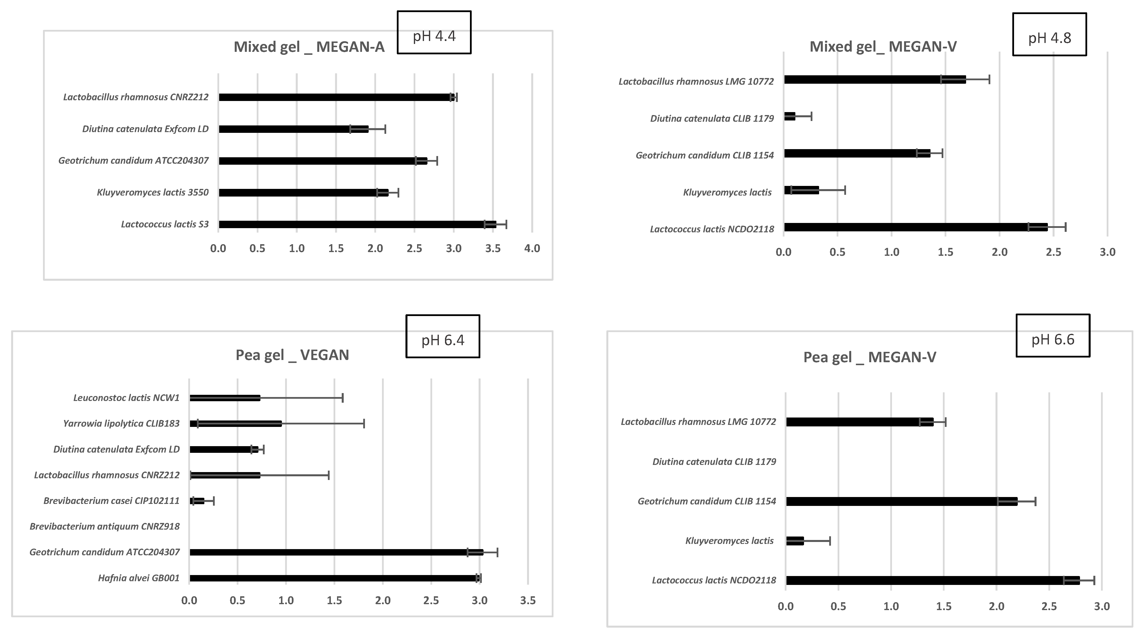
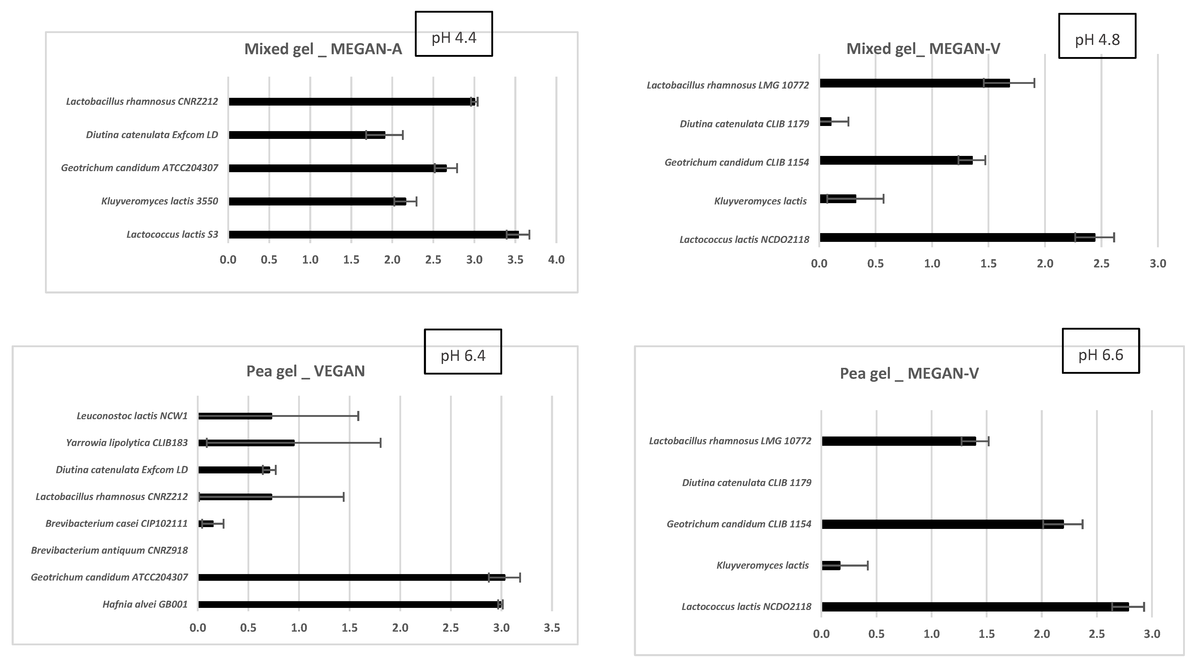
3.1. Microbial Growth after Fermentation
3.1.1. Pea Gel
3.1.2. Mixed Gel
3.2. Flavor Description of Fermented and Non-Fermented Gels
3.3. Description of the Volatile Compounds Identified from GC–O Analyses
3.4. Identification of Non-Volatile Components from Fermented Gels
3.5. Relationships between Sensory Characteristics, Volatile, and Non-Volatile Components in Fermented Gels
4. Conclusions
Supplementary Materials
Author Contributions
Funding
Institutional Review Board Statement
Informed Consent Statement
Data Availability Statement
Acknowledgments
Conflicts of Interest
References
- Boye, J.; Zare, F.; Pletch, A. Pulse Proteins: Processing, Characterization, Functional Properties and Applications in Food and Feed. Food Res. Int. 2010, 43, 414–431. [Google Scholar] [CrossRef]
- Roland, W.S.U.; Pouvreau, L.; Curran, J.; van de Velde, F.; de Kok, P.M.T. Flavor Aspects of Pulse Ingredients. Cereal Chem. 2017, 94, 58–65. [Google Scholar] [CrossRef] [Green Version]
- Murat, C.; Bard, M.-H.; Dhalleine, C.; Cayot, N. Characterisation of Odour Active Compounds along Extraction Process from Pea Flour to Pea Protein Extract. Food Res. Int. 2013, 53, 31–41. [Google Scholar] [CrossRef]
- Murat, C.; Gourrat, K.; Jerosch, H.; Cayot, N. Analytical Comparison and Sensory Representativity of SAFE, SPME, and Purge and Trap Extracts of Volatile Compounds from Pea Flour. Food Chem. 2012, 135, 913–920. [Google Scholar] [CrossRef] [PubMed]
- Azarnia, S.; Boye, J.I.; Warkentin, T.; Malcolmson, L.; Sabik, H.; Bellido, A.S. Volatile Flavour Profile Changes in Selected Field Pea Cultivars as Affected by Crop Year and Processing. Food Chem. 2011, 124, 326–335. [Google Scholar] [CrossRef]
- Schindler, S.; Zelena, K.; Krings, U.; Bez, J.; Eisner, P.; Berger, R.G. Improvement of the Aroma of Pea (Pisum sativum) Protein Extracts by Lactic Acid Fermentation. Food Biotechnol. 2012, 26, 58–74. [Google Scholar] [CrossRef]
- Vara-Ubol, S.; Chambers, E.; Chambers, D.H. Sensory Characteristics of Chemical Compounds Potentially Associated with Beany Aroma in Foods. J. Sens. Stud. 2004, 19, 15–26. [Google Scholar] [CrossRef]
- Cosson, A.; Oliveira Correia, L.; Descamps, N.; Saint-Eve, A.; Souchon, I. Identification and characterization of the main peptides in pea protein isolates using ultra high-performance liquid chromatography coupled with mass spectrometry and bioinformatics tools. Food Chem. 2022, 367, 130747. [Google Scholar] [CrossRef]
- Meinlschmidt, P.; Schweiggert-Weisz, U.; Eisner, P. Soy Protein Hydrolysates Fermentation: Effect of Debittering and Degradation of Major Soy Allergens. LWT-Food Sci. Technol. 2016, 71, 202–212. [Google Scholar] [CrossRef]
- Kim, M.-R.; Yukio, K.; Kim, K.M.; Lee, C.-H. Tastes and Structures of Bitter Peptide, Asparagine-Alanine-Leucine-Proline-Glutamate, and Its Synthetic Analogues. J. Agric. Food Chem. 2008, 56, 5852–5858. [Google Scholar] [CrossRef]
- Heng, L.; Vincken, J.-P.; van Koningsveld, G.; Legger, A.; Gruppen, H.; van Boekel, T.; Roozen, J.; Voragen, F. Bitterness of Saponins and Their Content in Dry Peas. J. Sci. Food Agric. 2006, 86, 1225–1231. [Google Scholar] [CrossRef]
- Heng, L.; van Koningsveld, G.A.; Gruppen, H.; van Boekel, M.A.J.S.; Vincken, J.-P.; Roozen, J.P.; Voragen, A.G.J. Protein–Flavour Interactions in Relation to Development of Novel Protein Foods. Trends Food Sci. Technol. 2004, 15, 217–224. [Google Scholar] [CrossRef]
- Damodaran, S.; Arora, A. Off-Flavor Precursors in Soy Protein Isolate and Novel Strategies for Their Removal. Annu. Rev. Food Sci. Technol. 2013, 4, 327–346. [Google Scholar] [CrossRef] [PubMed]
- Arai, S.; Suzuki, H.; Fujimaki, M.; Sakurai, Y. Studies on Flavor Components in Soybean: Part II. Phenolic Acids in Defatted Soybean Flour. Agric. Biol. Chem. 1966, 30, 364–369. [Google Scholar] [CrossRef]
- Gläser, P.; Dawid, C.; Meister, S.; Bader-Mittermaier, S.; Schott, M.; Eisner, P.; Hofmann, T. Molecularization of Bitter Off-Taste Compounds in Pea-Protein Isolates (Pisum Sativum L.). J. Agric. Food Chem. 2020, 68, 10374–10387. [Google Scholar] [CrossRef]
- Yousseef, M.; Lafarge, C.; Valentin, D.; Lubbers, S.; Husson, F. Fermentation of Cow Milk and/or Pea Milk Mixtures by Different Starter Cultures: Physico-Chemical and Sensorial Properties. LWT-Food Sci. Technol. 2016, 69, 430–437. [Google Scholar] [CrossRef] [Green Version]
- El Youssef, C.; Bonnarme, P.; Fraud, S.; Péron, A.-C.; Helinck, S.; Landaud, S. Sensory Improvement of a Pea Protein-Based Product Using Microbial Co-Cultures of Lactic Acid Bacteria and Yeasts. Foods 2020, 9, 349. [Google Scholar] [CrossRef] [Green Version]
- Ben-Harb, S.; Saint-Eve, A.; Panouillé, M.; Souchon, I.; Bonnarme, P.; Dugat-Bony, E.; Irlinger, F. Design of Microbial Consortia for the Fermentation of Pea-Protein-Enriched Emulsions. Int. J. Food Microbiol. 2019, 293, 124–136. [Google Scholar] [CrossRef]
- Ben-Harb, S.; Irlinger, F.; Saint-Eve, A.; Panouillé, M.; Souchon, I.; Bonnarme, P. Versatility of Microbial Consortia and Sensory Properties Induced by the Composition of Different Milk and Pea Protein-Based Gels. LWT-Food Sci. Technol. 2019, 293, 108720. [Google Scholar] [CrossRef]
- Saha, B.C.; Hayashi, K. Debittering of Protein Hydrolyzates. Biotechnol. Adv. 2001, 19, 355–370. [Google Scholar] [CrossRef]
- Kaleda, A.; Talvistu, K.; Tamm, M.; Viirma, M.; Rosend, J.; Tanilas, K.; Kriisa, M.; Part, N.; Tammik, M.-L. Impact of Fermentation and Phytase Treatment of Pea-Oat Protein Blend on Physicochemical, Sensory, and Nutritional Properties of Extruded Meat Analogs. Foods 2020, 9, 1059. [Google Scholar] [CrossRef] [PubMed]
- Sharan, S.; Zanghelini, G.; Zotzel, J.; Bonerz, D.; Aschoff, J.; Saint-Eve, A.; Maillard, M.N. Fava Bean (Vicia Faba L.) for Food Applications: From Seed to Ingredient Processing and Its Effect on Functional Properties, Antinutritional Factors, Flavor, and Color. Compr. Rev. Food Sci. Food Saf. 2021, 20, 401–428. [Google Scholar] [CrossRef] [PubMed]
- Achouri, A.; Boye, J.; Zamani, Y. Identification of Volatile Compounds in Soymilk Using Solid-Phase Microextraction-Gas Chromatography. Food Chem. 2006, 99, 759–766. [Google Scholar] [CrossRef]
- Blagden, T.D.; Gilliland, S.E. Reduction of Levels of Volatile Components Associated with the “Beany” Flavor in Soymilk by Lactobacilli and Streptococci. J. Food Sci. 2006, 70, M186–M189. [Google Scholar] [CrossRef]
- Schindler, S.; Wittig, M.; Zelena, K.; Krings, U.; Bez, J.; Eisner, P.; Berger, R.G. Lactic Fermentation to Improve the Aroma of Protein Extracts of Sweet Lupin (Lupinus angustifolius). Food Chem. 2011, 128, 330–337. [Google Scholar] [CrossRef]
- Bott, L.; Chambers, E. Sensory Characteristics of Combinations of Chemicals Potentially Associated with Beany Aroma in Foods. J. Sens. Stud. 2006, 21, 308–321. [Google Scholar] [CrossRef]
- Smit, G.; Smit, B.; Engels, W. Flavour Formation by Lactic Acid Bacteria and Biochemical Flavour Profiling of Cheese Products. FEMS Microbiol. Rev. 2005, 29, 591–610. [Google Scholar] [CrossRef]
- Voigt, J.; Biehl, B.; Heinrichs, H.; Kamaruddin, S.; Marsoner, G.G.; Hugi, A. In-Vitro Formation of Cocoa-Specific Aroma Precursors: Aroma-Related Peptides Generated from Cocoa-Seed Protein by Co-Operation of an Aspartic Endoprotease and a Carboxypeptidase. Food Chem. 1994, 49, 173–180. [Google Scholar] [CrossRef]
- Liu, S.-Q.; Holland, R.; Crow, V.L. Esters and Their Biosynthesis in Fermented Dairy Products: A Review. Int. Dairy J. 2004, 14, 923–945. [Google Scholar] [CrossRef]
- Vergnais, L.; Masson, F.; Montel, M.C.; Berdagué, J.L.; Talon, R. Evaluation of Solid-Phase Microextraction for Analysis of Volatile Metabolites Produced by Staphylococci. J. Agric. Food Chem. 1998, 46, 228–234. [Google Scholar] [CrossRef]
- Czerny, M.; Schieberle, P. Important Aroma Compounds in Freshly Ground Wholemeal and White Wheat Flour Identification and Quantitative Changes during Sourdough Fermentation. J. Agric. Food Chem. 2002, 50, 6835–6840. [Google Scholar] [CrossRef] [PubMed]
- Bader, S.; Czerny, M.; Eisner, P.; Buettner, A. Characterisation of Odour-Active Compounds in Lupin Flour. J. Sci. Food Agric. 2009, 89, 2421–2427. [Google Scholar] [CrossRef]
- Suppavorasatit, I.; Lee, S.; Cadwallader, K.R. Effect of enzymatic protein deamidation on protein solubility and flavor binding properties of soymilk. J. Food Sci. 2013, 78, C1–C7. [Google Scholar] [CrossRef] [PubMed]
- Cosson, A.; Blumenthal, D.; Descamps, N.; Souchon, I.; Saint-Eve, A. Using a mixture design and fraction-based formulation to better understand perceptions of plant-protein-based solutions. Food Res. Int. 2021, 141, 110151. [Google Scholar] [CrossRef]
- Rahmawati, D.; Astawan, M.; Putri, S.P.; Fukusaki, E. Gas Chromatography-Mass Spectrometry-Based Metabolite Profiling and Sensory Profile of Indonesian Fermented Food (tempe) from Various Legumes. J. Biosci. Bioeng. 2021, 132, 487–495. [Google Scholar] [CrossRef]
- Kaczmarska, K.T.; Chandra-Hioe, M.V.; Frank, D.; Arcot, J. Aroma Characteristics of Lupin and Soybean after Germination and Effect of Fermentation on Lupin Aroma. LWT-Food Sci. Technol. 2018, 87, 225–233. [Google Scholar] [CrossRef]
- Saint-Eve, A.; Irlinger, F.; Pénicaud, C.; Souchon, I.; Marette, S. Consumer Preferences for New Fermented Food Products That Mix Animal and Plant Protein Sources. Food Qual. Prefer. 2021, 90, 104117. [Google Scholar] [CrossRef]






| RT | Compounds | CAS Number | Experimental Descriptors (Number of Persons Who Detected the Odorant Compound) | % Frequency of Detection |
|---|---|---|---|---|
| Pea control (non-fermented gel) | ||||
| 5.85 | acetaldehyde | 75-07-0 | lactic (9) not identified (4) | 65 |
| 6.52 | propanal | 123-38-6 | vegetal (9) lactic (5) | 70 |
| 6.8 | propan-2-one | 64-64-1 | roasted/grilled (5), vegetal (4) other (4) | 65 |
| 7.63 | butanal | 123-72-8 | vegetal (9) lactic (4) | 65 |
| 8.49 | 3-methyl butanal | 590-86-3 | roasted/grilled (10) vegetal (7) | 85 |
| 10.2 | pentanal | 110-62-3 | roasted/grilled (14) | 70 |
| 16.88 | hexanal | 66-25-1 | vegetal (20) | 100 |
| Pea-VEGAN | ||||
| 5.85 | acetaldehyde | 75-07-0 | lactic (12) not identified (5) other (3), | 100 |
| 6.8 | propan-2-one | 64-64-1 | roasted/grilled (10) fruity (7) | 85 |
| 8.28 | 2-methyl butanal | 96.17.3 | roasted/grilled (11) vegetal (6) | 85 |
| 8.49 | 3-methyl butanal | 590-86-3 | roasted/grilled (17) | 85 |
| Pea-MEGAN-V | ||||
| 8.1 | 2-methylpropanal | 78-84-2 | roasted/grilled (11) vegetal (2) lactic (3) | 100 |
| 11.6 | ethyl-2-methylpropanoate | 97-62-1 | fruity (16) | 100 |
| 12.1 | pentan-2-one | 107-87-9 | lactic(10) fruity (4) roasted/grilled (1) | 94 |
| 16.5 | ethyl 3-methylbutanoate | 108-64-5 | fruity (14) | 88 |
| RT | Compounds | CAS Number | Experimental Descriptors (Number of Persons Who Detected the Odorant Compound) | % Frequency of Detection |
|---|---|---|---|---|
| Mixed control (non-fermented gel) | ||||
| 6.8 | propan-2-one | 64-64-1 | roasted/grilled (11) fruity (2) vegetal (3) | 84 |
| 8.28 | 2-methylbutanal | 96.17.3 | vegetal (7) not identified(6) lactic (4), | 85 |
| 8.49 | 3-methylbutanal | 590-86-3 | vegetal (8) not identified (5) lactic (3), | 85 |
| 16.88 | hexanal | 66-25-1 | vegetal (19) | 95 |
| Mixed-MEGAN-A | ||||
| 5.85 | acetaldehyde | 75-07-0 | lactic (10) other (3) not identified (3), | 80 |
| 8.1 | 2-methylpropanal | 78-84-2 | roasted/grilled (11) lactic (5) | 80 |
| 8.28 | 2-methylbutanal | 96.17.3 | lactic (8) roasted/grilled (5) fruity (3) not identified (4), | 100 |
| 8.49 | 3-methylbutanal | 590-86-3 | lactic (6) roasted/grilled(5) fruity(2) not identified (4) vegetal (2) | 95 |
| 9.96 | butane-2,3-dione (diacetyl) | 431-03-8 | butter (20) | 100 |
| Mixed-MEGAN-V | ||||
| 8.1 | 2-methylpropanal | 78-84-2 | roasted/grilled (12) vegetal (2) lactic(2) | 100 |
| 8.3 | 2-methylbutanal or 3-methylbutanal * | 96-17-3/590-86-3 | roasted/grilled (11) vegetal (1), lactic(1) fruity (1) | 93 |
| 9.96 | butane-2,3-dione | 431-03-8 | lactic (12) fruity (2), | 93 |
| 11.6 | ethyl-2-methylpropanoate | 97-62-1 | fruity (14) | 93 |
| 16.2 | methyldisulfanylmethane | 624-92-0 | fruity (12) | 80 |
Publisher’s Note: MDPI stays neutral with regard to jurisdictional claims in published maps and institutional affiliations. |
© 2022 by the authors. Licensee MDPI, Basel, Switzerland. This article is an open access article distributed under the terms and conditions of the Creative Commons Attribution (CC BY) license (https://creativecommons.org/licenses/by/4.0/).
Share and Cite
Ben-Harb, S.; Saint-Eve, A.; Irlinger, F.; Souchon, I.; Bonnarme, P. Modulation of Metabolome and Overall Perception of Pea Protein-Based Gels Fermented with Various Synthetic Microbial Consortia. Foods 2022, 11, 1146. https://doi.org/10.3390/foods11081146
Ben-Harb S, Saint-Eve A, Irlinger F, Souchon I, Bonnarme P. Modulation of Metabolome and Overall Perception of Pea Protein-Based Gels Fermented with Various Synthetic Microbial Consortia. Foods. 2022; 11(8):1146. https://doi.org/10.3390/foods11081146
Chicago/Turabian StyleBen-Harb, Salma, Anne Saint-Eve, Françoise Irlinger, Isabelle Souchon, and Pascal Bonnarme. 2022. "Modulation of Metabolome and Overall Perception of Pea Protein-Based Gels Fermented with Various Synthetic Microbial Consortia" Foods 11, no. 8: 1146. https://doi.org/10.3390/foods11081146
APA StyleBen-Harb, S., Saint-Eve, A., Irlinger, F., Souchon, I., & Bonnarme, P. (2022). Modulation of Metabolome and Overall Perception of Pea Protein-Based Gels Fermented with Various Synthetic Microbial Consortia. Foods, 11(8), 1146. https://doi.org/10.3390/foods11081146

