Accurate Detection of Salmonella Based on Microfluidic Chip to Avoid Aerosol Contamination
Abstract
1. Introduction
2. Materials and Methods
2.1. Bacterial Strains and DNA Extraction
2.2. LAMP Primers, crRNA, and Report DNA Design
2.3. LAMP Assay
2.4. LAMP–CRISPR/Cas12a Detection System
2.5. Detection of Salmonella by Microfluidic Chip Integrated with LAMP and CRISPR/Cas12a System
2.6. Evaluation of Detection Limit
2.7. Sensitivity and Specificity
2.8. Detection of Salmonella in Artificially Contaminated Salmon and Chicken
3. Results
3.1. Principle and Operation of the Detection System
3.2. Analysis of LAMP–CRISPR/Cas12a Detection System
3.3. Detection Limit of the Proposed Method
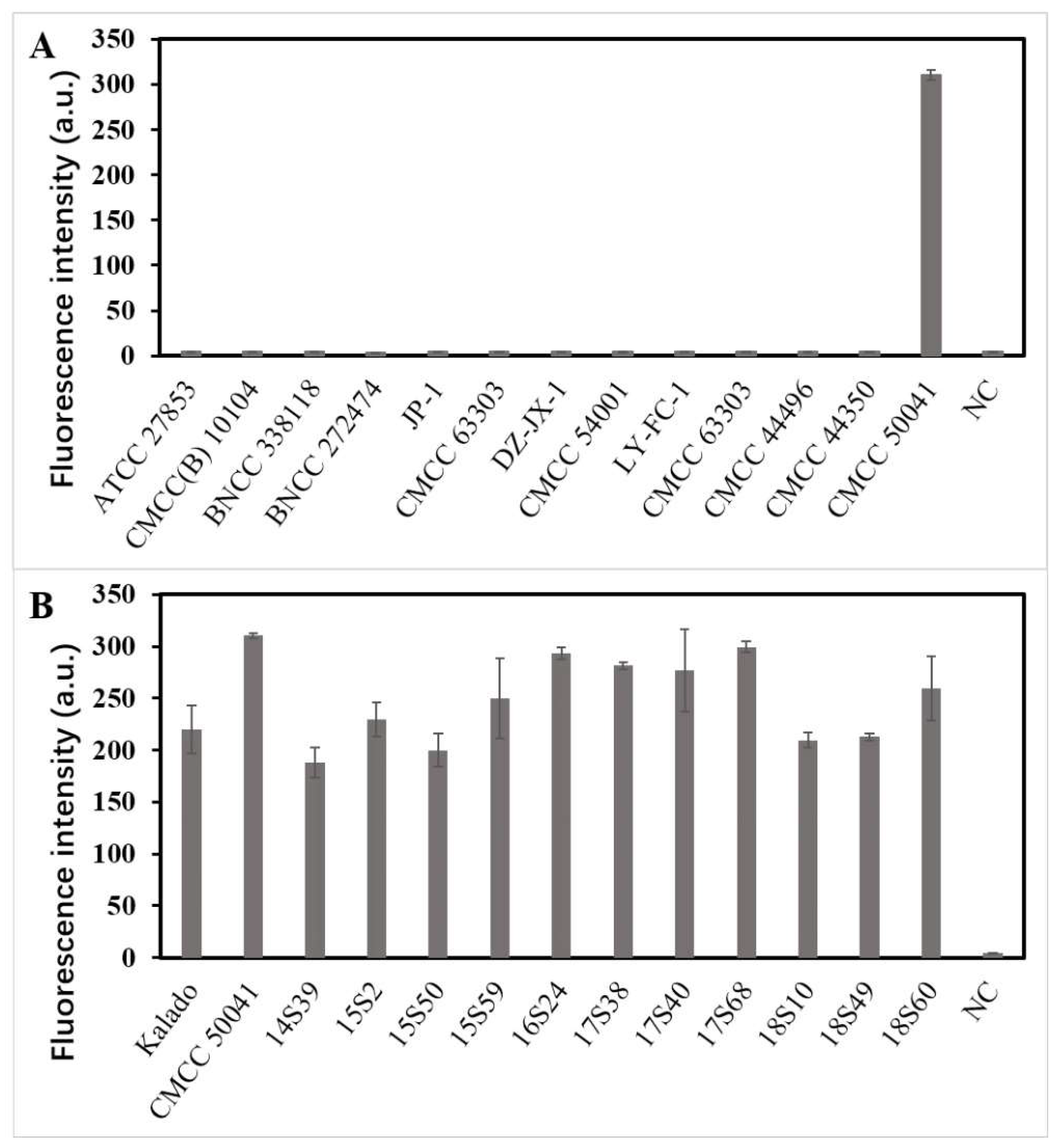
3.4. Sensitivity and Specificity
3.5. Detection of Salmonella in Salmon and Chicken Using the Proposed Method
3.6. Discussion
4. Conclusions
Supplementary Materials
Author Contributions
Funding
Institutional Review Board Statement
Informed Consent Statement
Data Availability Statement
Conflicts of Interest
References
- Majowicz, S.E.; Musto, J.; Scallan, E.; Angulo, F.J.; Kirk, M.; O’Brien, S.J.; Jones, T.F.; Fazil, A.; Hoekstra, R.M. The Global Burden of Nontyphoidal Salmonella Gastroenteritis. Clin. Infect. Dis. 2010, 50, 882–889. [Google Scholar] [CrossRef] [PubMed]
- Friesema, I.; de Jong, A.; Hofhuis, A.; Heck, M.; Kerkhof, H.V.D.; de Jonge, R.; Hameryck, D.; Nagel, K.; van Vilsteren, G.; van Beek, P.; et al. Large outbreak of Salmonella Thompson related to smoked salmon in the Netherlands, August to December 2012. Eurosurveillance 2014, 19, 20918. [Google Scholar] [CrossRef]
- Chiu, C.-H.; Su, L.-H.; Chu, C. Salmonella enterica serotype Choleraesuis: Epidemiology, pathogenesis, clinical disease, and treatment. Clin. Microbiol. Rev. 2004, 17, 311–322. [Google Scholar] [CrossRef] [PubMed]
- Qi, X.; Li, P.; Xu, X.; Yuan, Y.; Bu, S.; Lin, D. Epidemiological and Molecular Investigations on Salmonella Responsible for Gastrointestinal Infections in the Southwest of Shanghai from 1998 to 2017. Front. Microbiol. 2019, 10, 2025. [Google Scholar] [CrossRef] [PubMed]
- Antonia, K.; André, B.; Ulrich, S.; Burkhard, M.; Madeleine, P.; Amir, A. Establishment and validation of a loop-mediated isothermal amplification (LAMP) assay targeting the ttrRSBCA locus for rapid detection of Salmonella spp. in food. Food Control 2021, 126, 107973. [Google Scholar] [CrossRef]
- Shang, Y.; Ye, Q.; Cai, S.; Wu, Q.; Pang, R.; Yang, S.; Xiang, X.; Wang, C.; Zha, F.; Ding, Y.; et al. Loop-mediated isothermal amplification (LAMP) for rapid detection of Salmonella in foods based on new molecular targets. LWT—Food Sci. Technol. 2021, 142, 110999. [Google Scholar] [CrossRef]
- Ye, H.; Nowak, C.; Liu, Y.; Li, Y.; Zhang, T.; Bleris, L.; Qin, Z. Plasmonic LAMP: Improving the Detection Specificity and Sensitivity for SARS-CoV-2 by Plasmonic Sensing of Isothermally Amplified Nucleic Acids. Small 2022, 18, 2107832. [Google Scholar] [CrossRef]
- Notomi, T.; Mori, Y.; Tomita, N.; Kanda, H. Loop-mediated isothermal amplification (LAMP): Principle, features, and future prospects. J. Microbiol. 2015, 53, 1–5. [Google Scholar] [CrossRef]
- Heithoff, D.M.; Barnes, L.; Mahan, S.P.; Fox, G.N.; Arn, K.E.; Ettinger, S.J.; Bishop, A.M.; Fitzgibbons, L.N.; Fried, J.C.; Low, D.A.; et al. Assessment of a Smartphone-Based LAMP Assay for Detection of SARS-CoV-2 and Influenza Viruses. JAMA Netw. Open 2022, 5, e2145669. [Google Scholar] [CrossRef]
- Watanabe, S.; Okubo, A.; Miyajima, Y.; Satoh, K.; Makimura, K. Specific detection of Trichophyton rubrum and Trichophyton interdigitale based on loop-mediated isothermal amplification (LAMP) from onychomycosis specimens. J. Dermatol. 2019, 46, 1179–1183. [Google Scholar] [CrossRef] [PubMed]
- Liao, W.; Long, D.; Huang, Q.; Wei, D.; Liu, X.; Wan, L.; Feng, Y.; Zhang, W.; Liu, Y. Rapid Detection to Differentiate Hypervirulent Klebsiella pneumoniae (hvKp) From Classical K. pneumoniae by Identifying peg-344 With Loop-Mediated Isothermal Amplication (LAMP). Front. Microbiol. 2020, 11, 1189. [Google Scholar] [CrossRef]
- Yang, X.; Sun, L.; Sun, H.; Hong, Y.; Xiao, Z.; Pang, X.; Piao, Z.; Feng, J.; Liang, Y. A loop-mediated isothermal DNA amplification (LAMP) assay for detection of the clubroot pathogen Plasmodiophora brassicae. Plant Dis. 2021, 106, 1730–1735. [Google Scholar] [CrossRef] [PubMed]
- Sivakumar, R.; Dinh, V.P.; Lee, N.Y. Ultraviolet-induced in situ gold nanoparticles for point-of-care testing of infectious diseases in loop-mediated isothermal amplification. Lab Chip 2021, 21, 700–709. [Google Scholar] [CrossRef] [PubMed]
- Swarts, D.C.; Jinek, M. Mechanistic Insights into the cis- and trans-Acting DNase Activities of Cas12a. Mol. Cell 2019, 73, 589–600.e4. [Google Scholar] [CrossRef]
- Zhu, Z.; Li, R.; Zhang, H.; Wang, J.; Lu, Y.; Zhang, D.; Yang, L. PAM-free loop-mediated isothermal amplification coupled with CRISPR/Cas12a cleavage (Cas-PfLAMP) for rapid detection of rice pathogens. Biosens. Bioelectron. 2022, 204, 114076. [Google Scholar] [CrossRef]
- Liu, P.; Wang, X.; Liang, J.; Dong, Q.; Zhang, J.; Liu, D.; Wang, S.; Bi, J.; Liu, W.; Wang, Z.; et al. A Recombinase Polymerase Amplification-Coupled Cas12a Mutant-Based Module for Efficient Detection of Streptomycin-Resistant Mutations in Mycobacterium tuberculosis. Front. Microbiol. 2022, 12, 796916. [Google Scholar] [CrossRef] [PubMed]
- Xu, W.; Jin, T.; Dai, Y.; Liu, C.C. Surpassing the detection limit and accuracy of the electrochemical DNA sensor through the application of CRISPR Cas systems. Biosens. Bioelectron. 2020, 155, 112100. [Google Scholar] [CrossRef] [PubMed]
- Xia, X.; Ma, B.; Zhang, T.; Lu, Y.; Khan, M.R.; Hu, Y.; Lei, C.; Deng, S.; He, Q.; He, G.; et al. G-Quadruplex-Probing CRISPR-Cas12 Assay for Label-Free Analysis of Foodborne Pathogens and Their Colonization In Vivo. ACS Sens. 2021, 6, 3295–3302. [Google Scholar] [CrossRef]
- Zhou, R.; Li, Y.; Dong, T.; Tang, Y.; Li, F. A sequence-specific plasmonic loop-mediated isothermal amplification assay with orthogonal color readouts enabled by CRISPR Cas12a. Chem. Commun. 2020, 56, 3536–3538. [Google Scholar] [CrossRef] [PubMed]
- Mukama, O.; Wu, J.; Li, Z.; Liang, Q.; Yi, Z.; Lu, X.; Liu, Y.; Liu, Y.; Hussain, M.; Makafe, G.G.; et al. An ultrasensitive and specific point-of-care CRISPR/Cas12 based lateral flow biosensor for the rapid detection of nucleic acids. Biosens. Bioelectron. 2020, 159, 112143. [Google Scholar] [CrossRef] [PubMed]
- Mukama, O.; Yuan, T.; He, Z.; Li, Z.; Habimana, J.D.; Hussain, M.; Li, W.; Yi, Z.; Liang, Q.; Zeng, L. A high fidelity CRISPR/Cas12a based Lateral flow biosensor for the detection of HPV16 and HPV18. Sens. Actuators B Chem. 2020, 316, 128119. [Google Scholar] [CrossRef]
- Zhang, T.; Zhao, W.; Zhao, W.; Si, Y.; Chen, N.; Chen, X.; Zhang, X.; Fan, L.; Sui, G. Universally Stable and Precise CRISPR-LAMP Detection Platform for Precise Multiple Respiratory Tract Virus Diagnosis Including Mutant SARS-CoV-2 Spike N501Y. Anal. Chem. 2021, 93, 16184–16193. [Google Scholar] [CrossRef] [PubMed]
- Bai, L.; Wang, L.; Huang, S.; Bai, R.; Lv, X.; Sun, L.; Zhang, F.; Xu, X. Rapid, Visual, and Sequence-Specific Detection of Salmonella in Egg Liquid with vis-NEAA, a CRISPR/Cas12 Empowered New Strategy. J. Agric. Food Chem. 2022, 70, 2401–2409. [Google Scholar] [CrossRef] [PubMed]
- Wong, Y.-P.; Othman, S.; Lau, Y.-L.; Radu, S.; Chee, H.-Y. Loop-mediated isothermal amplification (LAMP): A versatile technique for detection of micro-organisms. J. Appl. Microbiol. 2018, 124, 626–643. [Google Scholar] [CrossRef] [PubMed]
- Ye, Y.; Liu, Y.; He, S.; Xu, X.; Cao, X.; Ye, Y.; Zheng, H. Ultrasensitive electrochemical DNA sensor for virulence invA gene of Salmonella using silver nanoclusters as signal probe. Sens. Actuators B Chem. 2018, 272, 53–59. [Google Scholar] [CrossRef]
- Chaudhary, J.H.; Nayak, J.B.; Brahmbhatt, M.N.; Makwana, P.P. Virulence genes detection of Salmonella serovars isolated from pork and slaughterhouse environment in Ahmedabad, Gujarat. Vet. World 2015, 8, 121–124. [Google Scholar] [CrossRef] [PubMed]
- Chen, J.S.; Ma, E.; Harrington, L.B.; Costa, M.D.; Tian, X.; Palefsky, J.M.; Doudna, J.A. CRISPR-Cas12a target binding unleashes indiscriminate single-stranded DNase activity. Science 2018, 360, 436–439. [Google Scholar] [CrossRef] [PubMed]
- Shan, S.; Liu, D.; Guo, Q.; Wu, S.; Chen, R.; Luo, K.; Hu, L.; Xiong, Y.; Lai, W. Sensitive detection of Escherichia coli O157:H7 based on cascade signal amplification in ELISA. J. Dairy Sci. 2016, 99, 7025–7032. [Google Scholar] [CrossRef] [PubMed]
- Li, C.; Wang, Y.; Wang, J.; Wang, X. Properties of a Novel Salmonella Phage L66 and Its Application Based on Electrochemical Sensor-Combined AuNPs to Detect Salmonella. Foods 2022, 11, 2836. [Google Scholar] [CrossRef] [PubMed]







| Bacteria | Source | Identification Number |
|---|---|---|
| Salmonella Enteritidis | CMCC | CMCC 50041 |
| Salmonella Enteritidis | Jiangxi CDC | Kalado |
| Salmonella Enteritidis | Jiangxi CDC | 14S39 |
| Salmonella Rissen | Jiangxi CDC | 15S2 |
| Salmonella Enteritidis | Jiangxi CDC | 15S50 |
| Salmonella Kottbus | Jiangxi CDC | 15S59 |
| Salmonella Thompson | Jiangxi CDC | 16S24 |
| Salmonella Litchfield | Jiangxi CDC | 17S38 |
| Salmonella Newport | Jiangxi CDC | 17S40 |
| Salmonella London | Jiangxi CDC | 17S68 |
| Salmonella Derby | Jiangxi CDC | 18S10 |
| Salmonella Give | Jiangxi CDC | 18S49 |
| Salmonella Orion | Jiangxi CDC | 18S60 |
| Pseudomonas aeruginosa | ATCC | ATCC 27853 |
| Pseudomonas aeruginosa | CMCC | CMCC(B) 10104 |
| Pseudomonas aeruginosa | BNCC | CGMCC 1.1785 |
| Pseudomonas aeruginosa | BNCC | ATCC 9027 |
| Staphylococcus aureus | CMCC | CMCC 26002 |
| Staphylococcus aureus | Jiangxi CDC | JP-1 |
| Listeria monocytogenes | CMCC | CMCC 54001 |
| Listeria monocytogenes | Jiangxi CDC | DZ-JX-1 |
| Bacillus cereus | CMCC | CMCC 63303 |
| Bacillus cereus | Jiangxi CDC | LY-FC-1 |
| Escherichia coli | CMCC | CMCC 44496 |
| Escherichia coli | CMCC | CMCC 44350 |
| Name | Sequence (5′-3′) |
|---|---|
| F3 | GCGAAGCGTACTGGAAAGG |
| B3 | TCAACAATGCGGGGATCTG |
| FIP | ATGATGCCGGCAATAGCGTCAC-AAAGCCAGCTTTACGGTTCC |
| BIP | GTGGGGATGACTCGCCATGG-ACCATCACCAATGGTCAGC |
| LF | AAACTTCATCGCACCGTCAAA |
| LB | TATGGATTTGTCCTCCGCCCT |
| crRNA | UAAUUUCUACUAAGUGUAGAUAAUACCGCCAAUAAAGUUCA |
| Report DNA | 6-FAM-TTATT-BHQ1 |
Publisher’s Note: MDPI stays neutral with regard to jurisdictional claims in published maps and institutional affiliations. |
© 2022 by the authors. Licensee MDPI, Basel, Switzerland. This article is an open access article distributed under the terms and conditions of the Creative Commons Attribution (CC BY) license (https://creativecommons.org/licenses/by/4.0/).
Share and Cite
Luo, Y.; Shan, S.; Wang, S.; Li, J.; Liu, D.; Lai, W. Accurate Detection of Salmonella Based on Microfluidic Chip to Avoid Aerosol Contamination. Foods 2022, 11, 3887. https://doi.org/10.3390/foods11233887
Luo Y, Shan S, Wang S, Li J, Liu D, Lai W. Accurate Detection of Salmonella Based on Microfluidic Chip to Avoid Aerosol Contamination. Foods. 2022; 11(23):3887. https://doi.org/10.3390/foods11233887
Chicago/Turabian StyleLuo, Yining, Shan Shan, Shuanglong Wang, Jinlin Li, Daofeng Liu, and Weihua Lai. 2022. "Accurate Detection of Salmonella Based on Microfluidic Chip to Avoid Aerosol Contamination" Foods 11, no. 23: 3887. https://doi.org/10.3390/foods11233887
APA StyleLuo, Y., Shan, S., Wang, S., Li, J., Liu, D., & Lai, W. (2022). Accurate Detection of Salmonella Based on Microfluidic Chip to Avoid Aerosol Contamination. Foods, 11(23), 3887. https://doi.org/10.3390/foods11233887

