Comparative Evaluation of Hydrothermally Produced Rice Starch–Phenolic Complexes: Contributions of Phenolic Type, Plasma-Activated Water, and Ultrasonication
Abstract
1. Introduction
2. Materials and Methods
2.1. Rice Starch Preparation
2.2. Preparation of Plasma-Activated Water (PAW)
2.3. Extraction of Crude Mon-Pu (Glochidion wallichianum) (MP) Leaf Extract
2.4. Production of Rice Starch–Phenolic Complex
2.5. Determination of Complexing Index (CI)
2.6. In Vitro Digestibility
2.7. Fourier Transform Infrared (FTIR) Spectroscopy, Proton Nuclear Magnetic Resonance (1H-NMR) Spectroscopy, and X-ray Diffraction (XRD)
2.8. Scanning Electron Microscopy (SEM)
2.9. Thermal Property Analysis
2.10. Dynamic Rheology
2.11. Water Absorption Capacity (WAC) and Oil Absorption Capacity (OAC)
2.12. Swelling and Solubility Indices
2.13. Free Radical Scavenging Activity
2.14. Statistical Analysis
3. Results and Discussion
3.1. CI and In Vitro Digestibility of Starch–Phenolic Complexes
3.2. FTIR Spectra
3.3. 1H-NMR Spectroscopy
3.4. XRD Pattern
3.5. Morphological Structure
3.6. Thermal Properties
3.7. Dynamic Rheology
3.8. WAC and OAC
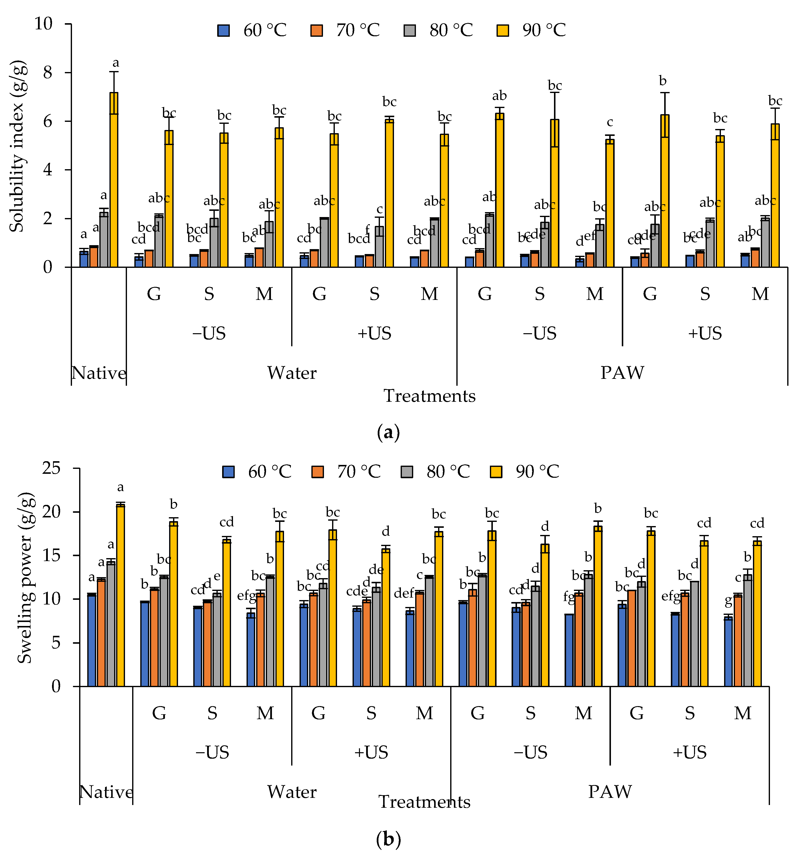
3.9. Water Solubility and Swelling Indices
3.10. Free Radical Scavenging Activity
4. Conclusions
Author Contributions
Funding
Institutional Review Board Statement
Informed Consent Statement
Data Availability Statement
Acknowledgments
Conflicts of Interest
References
- Amoako, D.B.; Awika, J.M. Polymeric tannins significantly alter properties and in vitro digestibility of partially gelatinized intact starch granule. Food Chem. 2016, 208, 10–17. [Google Scholar] [CrossRef] [PubMed]
- Singh, J.; Dartois, A.; Kaur, L. Starch digestibility in food matrix: A review. Trends Food Sci. Technol. 2010, 21, 168–180. [Google Scholar] [CrossRef]
- Kendall, C.W.; Emam, A.; Augustin, L.S.; Jenkins, D.J. Resistant starches and health. J. AOAC Int. 2004, 87, 769–774. [Google Scholar] [CrossRef] [PubMed]
- Cohen, R.; Schwartz, B.; Peri, I.; Shimoni, E. Improving bioavailability and stability of genistein by complexation with high-amylose corn starch. J. Agric. Food Chem. 2011, 59, 7932–7938. [Google Scholar] [CrossRef] [PubMed]
- Chai, Y.; Wang, M.; Zhang, G. Interaction between amylose and tea polyphenols modulates the postprandial glycemic response to high-amylose maize starch. J. Agric. Food Chem. 2013, 61, 8608–8615. [Google Scholar] [CrossRef]
- Putseys, J.A.; Lamberts, L.; Delcour, A.J. Amylose-inclusion complexes: Formation, identity and physico-chemical properties. J. Cereal Sci. 2010, 51, 238–247. [Google Scholar] [CrossRef]
- Cohen, R.; Orlova, Y.; Kovalev, M.; Ungar, Y.; Shimoni, E. Structural and functional properties of amylose complexes with genistein. J. Agric. Food Chem. 2008, 56, 4212–4218. [Google Scholar] [CrossRef]
- Rondeau-Mouro, C.; Le Bail, P.; Buléon, A. Structural investigation of amylose complexes with small ligands: Inter-or intra-helical associations? Int. J. Biol. Macromol. 2004, 34, 251–257. [Google Scholar] [CrossRef]
- Li, M.; Koecher, K.; Hansen, L.; Ferruzzi, M.G. Phenolics from whole grain oat products as modifiers of starch digestion and intestinal glucose transport. J. Agric. Food Chem. 2017, 65, 6831–6839. [Google Scholar] [CrossRef]
- Farrell, T.L.; Ellam, S.L.; Forrelli, T.; Williamson, G. Attenuation of glucose transport across Caco-2 cell monolayers by a polyphenol-rich herbal extract: Interactions with SGLT1 and GLUT2 transporters. Biofactors. 2013, 39, 448–456. [Google Scholar] [CrossRef]
- Gao, S.; Liu, H.; Sun, L.; Cao, J.; Yang, J.; Lu, M.; Wang, M. Rheological, thermal and in vitro digestibility properties on complex of plasma modified Tartary buckwheat starches with quercetin. Food Hydrocoll. 2021, 110, 106209. [Google Scholar] [CrossRef]
- Zhu, F. Interactions between starch and phenolic compound. Trends Food Sci. Technol. 2015, 43, 129–143. [Google Scholar] [CrossRef]
- Gutiérrez, T.J.; Tovar, J. Update of the concept of type 5 resistant starch (RS5): Self-assembled starch V-type complexes. Trends Food Sci. Technol. 2021, 109, 711–724. [Google Scholar] [CrossRef]
- Chi, C.; Li, X.; Zhang, Y.; Chen, L.; Xie, F.; Li, L.; Bai, G. Modulating the in vitro digestibility and predicted glycemic index of rice starch gels by complexation with gallic acid. Food Hydrocoll. 2019, 89, 821–828. [Google Scholar] [CrossRef]
- Li, M.; Ndiaye, C.; Corbin, S.; Foegeding, E.A.; Ferruzzi, M.G. Starch-phenolic complexes are built on physical CH-π interactions and can persist after hydrothermal treatments altering hydrodynamic radius and digestibility of model starch-based foods. Food Chem. 2020, 308, 125577. [Google Scholar] [CrossRef]
- Zhao, B.; Wang, B.; Zheng, B.; Chen, L.; Guo, Z. Effects and mechanism of high-pressure homogenization on the characterization and digestion behavior of lotus seed starch–green tea polyphenol complexes. J. Funct. Foods. 2019, 57, 173–181. [Google Scholar] [CrossRef]
- Karunaratne, R.; Zhu, F. Physicochemical interactions of maize starch with ferulic acid. Food Chem. 2016, 199, 372–379. [Google Scholar] [CrossRef]
- Le Bourvellec, C.; Renard, C.M.G.C. Interactions between polyphenols and macromolecules: Quantification methods and mechanisms. Crit. Rev. Food Sci. Nutr. 2012, 52, 213–248. [Google Scholar] [CrossRef]
- Guo, Z.; Zhao, B.; Chen, J.; Chen, L.; Zheng, B. Insight into the characterization and digestion of lotus seed starch-tea polyphenol complexes prepared under high hydrostatic pressure. Food Chem. 2019, 297, 124992. [Google Scholar] [CrossRef]
- Liu, H.; Wang, L.; Cao, R.; Fan, H.; Wang, M. In vitro digestibility and changes in physicochemical and structural properties of common buckwheat starch affected by high hydrostatic pressure. Carbohydr. Polym. 2016, 144, 1–8. [Google Scholar] [CrossRef]
- Wongsagonsup, R.; Deeyai, P.; Chaiwat, W.; Horrungsiwat, S.; Leejariensuk, K.; Suphantharika, M.; Dangtip, S. Modification of tapioca starch by non-chemical route using jet atmospheric argon plasma. Carbohydr. Polym. 2014, 102, 790–798. [Google Scholar] [CrossRef] [PubMed]
- Thirumdas, R.; Trimukhe, A.; Deshmukh, R.R.; Annapure, U.S. Functional and rheological properties of cold plasma treated rice starch. Carbohydr. Polym. 2017, 157, 1723–1731. [Google Scholar] [CrossRef] [PubMed]
- Chaijan, M.; Chaijan, S.; Panya, A.; Nisoa, M.; Cheong, L.Z.; Panpipat, W. High hydrogen peroxide concentration-low exposure time of plasma-activated water (PAW): A novel approach for shelf-life extension of Asian sea bass (Lates calcarifer) steak. Innov. Food Sci. Emerg. Technol. 2021, 74, 102861. [Google Scholar] [CrossRef]
- Wongnen, C.; Ruzzama, N.; Chaijan, M.; Cheong, L.Z.; Panpipat, W. Glochidion wallichianum leaf extract as a natural antioxidant in sausage model system. Foods. 2022, 11, 1547. [Google Scholar] [CrossRef] [PubMed]
- Chumsri, P.; Panpipat, W.; Cheong, L.Z.; Panya, A.; Phonsatta, N.; Chaijan, M. Biopreservation of refrigerated mackerel (Auxis thazard) slices by rice starch-based coating containing polyphenol extract from Glochidion wallichianum leaf. Foods 2022, 11, 3441. [Google Scholar] [CrossRef] [PubMed]
- Chumsri, P.; Panpipat, W.; Cheong, L.Z.; Chaijan, M. Formation of intermediate amylose rice starch–lipid complex assisted by ultrasonication. Foods 2022, 11, 2430. [Google Scholar] [CrossRef]
- Sungpud, C.; Panpipat, W.; Sae Yoon, A.; Chaijan, M. Polyphenol extraction from mangosteen (Garcinia mangostana Linn) pericarp by bio-based solvents. Int. Food Res. J. 2020, 27, 111–120. [Google Scholar]
- Zhang, B.; Huang, Q.; Luo, F.X.; Fu, X. Structural characterizations and digestibility of debranched high-amylose maize starch complexed with lauric acid. Food Hydrocoll. 2012, 28, 174–181. [Google Scholar] [CrossRef]
- Tang, M.C.; Copeland, L. Analysis of complexes between lipids and wheat starch. Carbohydr. Polym. 2007, 67, 80–85. [Google Scholar] [CrossRef]
- Englyst, K.; Goux, A.; Meynier, A.; Quigley, M.; Englyst, H.; Brack, O.; Vinoy, S. Inter-laboratory validation of the starch digestibility method for determination of rapidly digestible and slowly digestible starch. Food Chem. 2018, 245, 1183–1189. [Google Scholar] [CrossRef]
- Han, M.; Bao, W.; Wu, Y.; Ouyang, J. Insights into the effects of caffeic acid and amylose on in vitro digestibility of maize starch-caffeic acid complex. Int. J. Biol. Macromol. 2020, 162, 922–930. [Google Scholar] [CrossRef] [PubMed]
- Ashwar, B.A.; Gani, A.; Wani, I.A.; Shah, A.; Masoodi, F.A.; Saxena, D.C. Production of resistant starch from rice by dual autoclaving-retrogradation treatment: In vitro digestibility, thermal and structural characterization. Food Hydrocoll. 2016, 56, 108–117. [Google Scholar] [CrossRef]
- Di Matteo, G.; Di Matteo, P.; Sambucci, M.; Tirillò, J.; Giusti, A.M.; Vinci, G.; Gobbi, L.; Prencipe, S.A.; Salvo, A.; Ingallina, C.; et al. Commercial bio-packaging to preserve the quality and extend the shelf-life of vegetables: The case-study of pumpkin samples studied by a multimethodological approach. Foods 2021, 10, 2440. [Google Scholar] [CrossRef] [PubMed]
- Li, M.; Pernell, C.; Ferruzzi, M.G. Complexation with phenolic acids affect rheological properties and digestibility of potato starch and maize amylopectin. Food Hydrocoll. 2018, 77, 843–852. [Google Scholar] [CrossRef]
- Chi, C.; Li, X.; Zhang, Y.; Chen, L.; Li, L.; Wang, Z. Digestibility and supramolecular structural changes of maize starch by non-covalent interactions with gallic acid. Food Func. 2017, 8, 720–730. [Google Scholar] [CrossRef]
- Zhang, L.; Yang, X.; Li, S.; Gao, W. Preparation, physicochemical characterization and in vitro digestibility on solid complex of maize starches with quercetin. LWT 2011, 44, 787–792. [Google Scholar] [CrossRef]
- Liu, Y.; Chen, L.; Xu, H.; Liang, Y.; Zheng, B. Understanding the digestibility of rice starch-gallic acid complexes formed by high pressure homogenization. Int. J. Biol. Macromol. 2019, 134, 856–863. [Google Scholar] [CrossRef]
- Igoumenidis, P.E.; Zoumpoulakis, P.; Karathanos, V.T. Physicochemical interactions between rice starch and caffeic acid during boiling. Food Res. Int. 2018, 109, 589–595. [Google Scholar] [CrossRef]
- Asensio, J.L.; Ardá, A.; Cañada, F.J.; Jimenez-Barbero, J. Carbohydrate–aromatic interactions. Acc. Chem. Res. 2013, 46, 946–954. [Google Scholar] [CrossRef]
- Laughrey, Z.R.; Kiehna, S.E.; Riemen, A.J.; Waters, M.L. Carbohydrate−π interactions: What are they worth? J. Am. Chem. Soc. 2008, 130, 14625–14633. [Google Scholar] [CrossRef]
- Deng, Z.; Tang, C.; Liu, C.; Luo, S.; Chen, T.; Hu, X. Formation, structure and properties of the starch-polyphenol inclusion complex: A review. Trends Food Sci. Technol. 2021, 112, 667–675. [Google Scholar] [CrossRef]
- Lesmes, U.; Cohen, S.H.; Shener, Y.; Shimoni, E. Effects of long chain fatty acid unsaturation on the structure and controlled release properties of amylose complexes. Food Hydrocoll. 2009, 23, 667–675. [Google Scholar] [CrossRef]
- Ryno, L.M.; Levine, Y.; Iovine, P.M. Synthesis, characterization, and comparative analysis of amylose–guest complexes prepared by microwave irradiation. Carbohydr. Res. 2014, 383, 82–88. [Google Scholar] [CrossRef] [PubMed]
- Obiro, W.C.; Sinha Ray, S.; Emmambux, M.N. V-amylose structural characteristics, methods of preparation, significance, and potential applications. Food Rev. Int. 2012, 28, 412–438. [Google Scholar] [CrossRef]
- Xu, T.; Li, X.; Ji, S.; Zhong, Y.; Simal-Gandara, J.; Capanoglu, E.; Lu, B. Starch modification with phenolics: Methods, physicochemical property alteration, and mechanisms of glycaemic control. Trends Food Sci. Technol. 2021, 111, 12–26. [Google Scholar] [CrossRef]
- Zhou, D.; Ma, Z.; Xu, J.; Li, X.; Hu, X. Resistant starch isolated from enzymatic, physical, and acid treated pea starch: Preparation, structural characteristics, and in vitro bile acid capacity. LWT 2019, 116, 108541. [Google Scholar] [CrossRef]
- Zhu, F.; Cai, Y.Z.; Sun, M.; Corke, H. Effect of phytochemical extracts on the pasting, thermal, and gelling properties of wheat starch. Food Chem. 2009, 112, 919–923. [Google Scholar] [CrossRef]
- Wang, M.; Shen, Q.; Hu, L.; Hu, Y.; Ye, X.; Liu, D.; Chen, J. Physicochemical properties, structure and in vitro digestibility on complex of starch with lotus (Nelumbo nucifera Gaertn.) leaf flavonoids. Food Hydrocoll. 2018, 81, 191–199. [Google Scholar] [CrossRef]
- Zhu, F.; Wang, Y.J. Rheological and thermal properties of rice starch and rutin mixtures. Food Res. Int. 2012, 49, 757–762. [Google Scholar] [CrossRef]
- Chen, N.; Gao, H.X.; He, Q.; Yu, Z.L.; Zeng, W.C. Interaction and action mechanism of starch with different phenolic compounds. Int. J. Food Sci. Nutr. 2020, 71, 726–737. [Google Scholar] [CrossRef]
- Wu, Y.; Chen, Z.; Li, X.; Li, M. Effect of tea polyphenols on the retrogradation of rice starch. Food Res. Int. 2009, 42, 221–225. [Google Scholar] [CrossRef]
- Kong, X.; Zhu, P.; Sui, Z.; Bao, J. Physicochemical properties of starches from diverse rice cultivars varying in apparent amylose content and gelatinization temperature combinations. Food Chem. 2015, 172, 433–440. [Google Scholar] [CrossRef] [PubMed]
- Kong, L.; Bhosale, R.; Ziegler, G.R. Encapsulation and stabilization of β-carotene by amylose inclusion complexes. Food Res. Int. 2018, 105, 446–452. [Google Scholar] [CrossRef] [PubMed]
- Wang, L.; Xie, B.; Shi, J.; Xue, S.; Deng, Q.; Wei, Y.; Tian, B. Physicochemical properties and structure of starches from Chinese rice cultivars. Food Hydrocoll. 2010, 24, 208–216. [Google Scholar] [CrossRef]
- Kim, H.S.; BeMiller, J.N. Effects of hydrocolloids on the pasting and paste properties of commercial pea starch. Carbohydr. Polym. 2012, 88, 1164–1171. [Google Scholar] [CrossRef]
- Oladele, A.K.; Duodu, K.G.; Emmambux, N.M. Hydrolysis and antioxidant activity of starch modified with phenolic extracts from grape pomace and sorghum bran under alkaline conditions. Carbohydr. Polym. 2020, 240, 116291. [Google Scholar] [CrossRef]
- Van Hung, P.; Vien, N.L.; Phi, N.T.L. Resistant starch improvement of rice starches under a combination of acid and heat-moisture treatments. Food Chem. 2016, 191, 67–73. [Google Scholar] [CrossRef]
- Chaijan, M.; Panpipat, W. Mechanism of Oxidation in Foods of Animal Origin. In Natural Antioxidants, 1st ed.; Banerjee, R., Verma, A.K., Siddiqui, M.W., Eds.; Apple Academic Press: Palm Bay, FL, USA, 2017; pp. 1–37. [Google Scholar]









| Parameters | Native | Water | PAW | ||||||||||
|---|---|---|---|---|---|---|---|---|---|---|---|---|---|
| −US | +US | −US | +US | ||||||||||
| G | S | M | G | S | M | G | S | M | G | S | M | ||
| To (°C) | 52.4 ± 5.2 g | 114.2 ± 1.6 de | 134.7 ± 2.1 b | 117.3 ± 5.0 ef | 126.5 ± 3.4 b | 111.0 ± 2.1 a | 126.3 ± 1.6 b | 122.8 ± 0.3 bc | 111.6 ± 0.6 f | 133.0 ± 0.4 cd | 107.8 ± 4.8 bc | 118.1 ± 4.6 ef | 133.0 ± 0.5 a |
| Tp (°C) | 87.9 ± 4.2 h | 151.2 ± 1.1 a | 150.2 ± 0.1 b | 127.3 ± 4.5 f | 144.3 ± 0.4 b | 130.6 ± 1.9 ef | 138.5 ± 1.0 bcd | 143.0 ± 5.4 bc | 135.9 ± 0.1 de | 137.8 ± 4.3 cd | 119.4 ± 3.6 g | 116.0 ± 5.2 g | 139.4 ± 4.7 bcd |
| Tend (°C) | 107.9 ± 1.7 f | 171.5 ± 3.5 a | 161.8 ± 0.6 b | 127.8 ± 5.3 d | 156.0 ± 0.1 bc | 151.5 ± 1.4 cd | 150.4 ± 1.6 cd | 156.2 ± 5.5 bc | 155.3 ± 2.4 cd | 148.8 ± 4.9 cd | 150.2 ± 4.9 cd | 150.4 ± 5.3 e | 154.2 ± 2.3 cd |
| ΔH (J/g) | 550.1 ± 8.1 k | 996.2 ± 9.8 b | 948.8 ± 1.2 c | 706.7 ± 4.4 h | 849.5 ± 1.0 d | 663.9 ± 4.4 i | 713.3 ± 2.2 gh | 1025.2 ± 5.2 a | 616.4 ± 5.8 j | 716.0 ± 3.5 g | 748.8 ± 5.9 e | 620.7 ± 1.8 j | 727.7 ± 0.5 f |
Publisher’s Note: MDPI stays neutral with regard to jurisdictional claims in published maps and institutional affiliations. |
© 2022 by the authors. Licensee MDPI, Basel, Switzerland. This article is an open access article distributed under the terms and conditions of the Creative Commons Attribution (CC BY) license (https://creativecommons.org/licenses/by/4.0/).
Share and Cite
Chumsri, P.; Panpipat, W.; Cheong, L.-Z.; Nisoa, M.; Chaijan, M. Comparative Evaluation of Hydrothermally Produced Rice Starch–Phenolic Complexes: Contributions of Phenolic Type, Plasma-Activated Water, and Ultrasonication. Foods 2022, 11, 3826. https://doi.org/10.3390/foods11233826
Chumsri P, Panpipat W, Cheong L-Z, Nisoa M, Chaijan M. Comparative Evaluation of Hydrothermally Produced Rice Starch–Phenolic Complexes: Contributions of Phenolic Type, Plasma-Activated Water, and Ultrasonication. Foods. 2022; 11(23):3826. https://doi.org/10.3390/foods11233826
Chicago/Turabian StyleChumsri, Paramee, Worawan Panpipat, Ling-Zhi Cheong, Mudtorlep Nisoa, and Manat Chaijan. 2022. "Comparative Evaluation of Hydrothermally Produced Rice Starch–Phenolic Complexes: Contributions of Phenolic Type, Plasma-Activated Water, and Ultrasonication" Foods 11, no. 23: 3826. https://doi.org/10.3390/foods11233826
APA StyleChumsri, P., Panpipat, W., Cheong, L.-Z., Nisoa, M., & Chaijan, M. (2022). Comparative Evaluation of Hydrothermally Produced Rice Starch–Phenolic Complexes: Contributions of Phenolic Type, Plasma-Activated Water, and Ultrasonication. Foods, 11(23), 3826. https://doi.org/10.3390/foods11233826

