Prediction of Protein Concentration in Pea (Pisum sativum L.) Using Near-Infrared Spectroscopy (NIRS) Systems
Abstract
1. Introduction
2. Materials and Methods
2.1. Pea Samples and Preparation of Whole Pea Flour
2.2. Reference Measurements
2.3. Scanning in DA7250 and FT9700 Machine for Spectral Data
2.4. Data Analysis
3. Results and Discussion
3.1. Accuracy of the Reference Method
3.2. Variation among Pea Samples for the Reference Data
3.3. Comparing Models Developed Year-Wise and by Kennard-Stone Sampling
3.4. Comparison of Spectral Pre-Treatment with Raw-Spectral Models
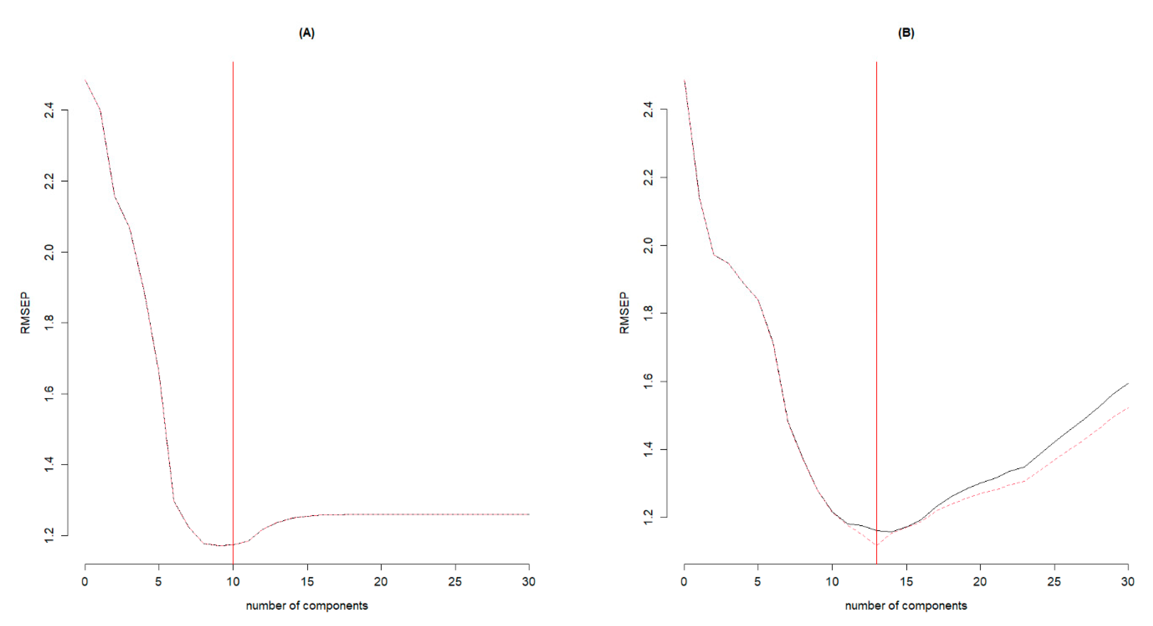
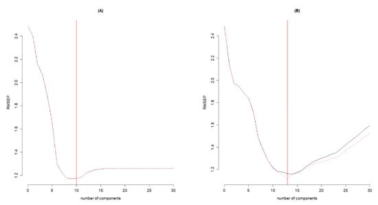
3.5. Final Models and Principal Absorption Wavelengths
4. Conclusions
Supplementary Materials
Author Contributions
Funding
Data Availability Statement
Acknowledgments
Conflicts of Interest
References
- Patterson, C.A.; Maskus, H.; Dupasquier, C. Pulse crops for health. Cereal Foods World 2009, 54, 108. [Google Scholar] [CrossRef]
- Daba, S.D.; Morris, C.F. Pea proteins: Variation, composition, genetics, and functional properties. Cereal Chem. 2021, 99, 8–20. [Google Scholar] [CrossRef]
- Porep, J.U.; Kammerer, D.R.; Carle, R. On-line application of near infrared (NIR) spectroscopy in food production. Trends Food Sci. Technol. 2015, 46, 211–230. [Google Scholar] [CrossRef]
- Larrechi, M.S.; Callao, M.P. Strategy for introducing NIR spectroscopy and multivariate calibration techniques in industry. Trends Anal. Chem. 2003, 22, 634–640. [Google Scholar] [CrossRef]
- Xiaobo, Z.; Jiewen, Z.; Povey, M.J.W.; Holmes, M.; Hanpin, M. Variables selection methods in near-infrared spectroscopy. Anal. Chim. Acta 2010, 667, 17–32. [Google Scholar] [CrossRef]
- Sohn, M.; Himmelsbach, D.S.; Barton, F.E. A comparative study of Fourier Transform Raman and NIR spectroscopic methods for assessment of protein and apparent amylose in rice. Cereal Chem. 2004, 81, 429–433. [Google Scholar] [CrossRef]
- Shi, H.; Yu, P. Comparison of grating-based near-infrared (NIR) and Fourier transform mid-infrared (ATR-FT/MIR) spectroscopy based on spectral preprocessing and wavelength selection for the determination of crude protein and moisture content in wheat. Food Control 2017, 82, 57–65. [Google Scholar] [CrossRef]
- Hacisalihoglu, G.; Freeman, J.; Armstrong, P.R.; Seabourn, B.W.; Porter, L.D.; Settles, A.M.; Gustin, J.L. Protein, weight, and oil prediction by single-seed near infrared spectroscopy for selection of seed quality and yield traits in pea (Pisum sativum). J. Sci. Food Agric. 2020, 100, 3488–3497. [Google Scholar] [CrossRef] [PubMed]
- Masithoh, R.E.; Amanah, H.Z.; Yoon, W.S.; Joshi, R.; Cho, B.K. Determination of protein and glucose of tuber and root flours using NIR and MIR spectroscopy. Infrared Phys. Technol. 2021, 113, 103577. [Google Scholar] [CrossRef]
- Cen, H.; He, Y. Theory and application of near infrared reflectance spectroscopy in determination of food quality. Trends Food Sci. Technol. 2007, 18, 72–83. [Google Scholar] [CrossRef]
- Williams, P.; Antoniszyn, J.; Manley, M. Near Infrared Technology: Getting the Best out of Light; African Sun Media: Stellenbosch, South Africa, 2019. [Google Scholar]
- Sileoni, V.; van den Berg, F.; Marconi, O.; Perretti, G.; Fantozzi, P. Internal and external validation strategies for the evaluation of long-term effects in NIR calibration models. Agric. Food Chem. 2011, 59, 1541–1547. [Google Scholar] [CrossRef] [PubMed]
- Sileoni, V.; Marconi, O.; Perretti, G.; Fantozzi, P. Evaluation of different validation strategies and long-term effects in NIR calibration models. Food Chem. 2013, 141, 2639–2648. [Google Scholar] [CrossRef]
- Manley, M. Near-infrared spectroscopy and hyperspectral imaging: Non-destructive analysis of biological materials. Chem. Soc. Rev. 2014, 14, 8200–8214. [Google Scholar] [CrossRef] [PubMed]
- Rinnan, A.; van den Berg, F.; Engelsen, S.B. Review of the most common pre processing techniques for near-infrared spectra. Trends Anal. Chem. 2009, 28, 1201–1222. [Google Scholar] [CrossRef]
- An, C.; Yan, X.; Lu, C.; Zhu, X. Effect of spectral pretreatment on qualitative identification of adulterated bovine colostrum by near-infrared spectroscopy. Infrared Phys. Technol. 2021, 118, 103869. [Google Scholar] [CrossRef]
- Batten, G.D. Plant analysis using near infrared reflectance spectroscopy: The potential and the limitations. Aust. J. Exp. Agric. 1998, 38, 697–706. [Google Scholar] [CrossRef]
- Heil, K.; Schmidhalter, U. An evaluation of different NIR-spectral pre-treatments to derive the soil parameters C and N of a humus-clay-rich soil. Sensors 2021, 21, 1423. [Google Scholar] [CrossRef]
- Chiozza, M.V.; Parmley, K.A.; Higgins, R.H.; Singh, A.K.; Miguez, F.E. Comparative prediction accuracy of hyperspectral bands for different soybean crop variables: From leaf area to seed composition. Field Crops Res. 2021, 271, 108260. [Google Scholar] [CrossRef]
- Muranaka, S.; Shono, M.; Manjula, K.; Takagi, H.; Ashikawa, H. Application of near to mid-infrared spectroscopy to estimation of grain nitrogen content in cowpea (Vigna unguiculata) grown under multiple environmental conditions. J. Biol. Food Sci. Res. 2015, 4, 16–24. [Google Scholar]
- Mevik, B.H.; Ron, W. The pls Package: Principal component and partial least squares regression in R. J. Stat. Softw. 2007, 18, 1–24. [Google Scholar] [CrossRef]
- Kennard, R.W.; Stone, L.A. Computer aided design of experiments. Technometrics 1969, 11, 137–148. [Google Scholar] [CrossRef]
- Stevens, A.; Ramirez-Lopez, L.; Hans, G. Package ‘Prospectr’. 2022. Available online: https://cloud.r-project.rog/ (accessed on 17 October 2022).
- Williams, P.C.; Stevenson, S.G.; Starkey, P.M.; Hawtin, G.C. The application of near infrared reflectance spectroscopy to protein-testing in pulse breeding programmes. J. Sci. Food Agric. 1978, 19, 285–292. [Google Scholar] [CrossRef]
- Davies, A.M.C.; Wright, D.J. Determination of protein in pea flour by near infrared analysis. J. Sci. Food Agric. 1984, 35, 1034–1039. [Google Scholar] [CrossRef]
- Arganosa, G.C.; Warkentin, T.D.; Racz, V.J.; Blade, S.; Phillips, C.; Hsu, H. Prediction of crude protein content in field peas using near infrared reflectance spectroscopy. Can. J. Plant Sci. 2006, 86, 157–159. [Google Scholar] [CrossRef]
- Lee, J.H.; Choung, M.G. Determination of protein content in pea by near infrared spectroscopy. Food Sci. Biotech. 2009, 18, 60–65. [Google Scholar]
- Wang, L.; Wang, Q.; Liu, H.; Liu, L.; Du, Y. Determining the contents of protein and amino acids in peanuts using near-infrared reflectance spectroscopy. J. Sci. Food Agric. 2013, 93, 118–124. [Google Scholar] [CrossRef]
- Wang, J.; Liu, H.; Ren, G. Near-infrared spectroscopy (NIRS) evaluation and regional analysis of Chinese faba bean (Vicia faba L.). Crop J. 2014, 2, 28–37. [Google Scholar] [CrossRef]
- Hang, J.; Shi, D.; Neufeld, J.; Bett, K.E.; House, J.D. Prediction of protein and amino acid contents in whole and ground lentils using near-infrared reflectance spectroscopy. LWT Food Sci. Technol. 2022, 165, 113669. [Google Scholar] [CrossRef]






| Type | n | Growing States | Growth Habits | Year |
|---|---|---|---|---|
| GR pea samples | 334 | Washington | Spring | 2020 & 2021 |
| ID pea samples | 42 | Idaho | Winter | 2020 |
| ND pea samples | 15 | North Dakota | Spring | 2020 |
| Winter pea samples | 231 | Washington | Winter | 2020 & 2021 |
| YL samples peas | 218 | Washington | Spring | 2020 & 2021 |
| Parameters | n | Minimum | Mean ± SD | Maximum |
|---|---|---|---|---|
| Flour protein (%) | 840 | 15.3 | 22.3 ± 2.5 | 29.8 |
| Flour ash (%) | 840 | 1.8 | 2.5 ± 0.19 | 3.0 |
| Flour moisture (%) | 840 | 7.4 | 8.1 ± 0.32 | 9.4 |
| EDTA protein (%) | 36 | 54.2 | 54.6 ± 0.09 | 54.8 |
| Locations | 2020 | 2021 | ||||||
|---|---|---|---|---|---|---|---|---|
| Mean | Minimum | Maximum | CV (%) | Mean | Minimum | Maximum | CV (%) | |
| Colton | 21.5 | 18.5 | 23.2 | 6.0 | 25.7 | 19.0 | 29.8 | 7.4 |
| Fairfield | 23.3 | 20.1 | 27.2 | 6.1 | 23.3 | 19.7 | 29.7 | 6.7 |
| Garfield | 18.6 | 16.0 | 22.5 | 9.9 | 19.6 | 15.3 | 24.8 | 10.7 |
| Pullman | 20.9 | 16.5 | 24.5 | 7.5 | 22.7 | 16.2 | 29.0 | 10.4 |
| St. John | 20.3 | 18.3 | 23.6 | 5.9 | 21.6 | 18.6 | 25.5 | 7.1 |
| Williston | 20.7 | 19.5 | 21.7 | 3.9 | ||||
| Carrington | 22.0 | 20.3 | 24.2 | 6.5 | ||||
| Minot | 20.4 | 18.3 | 22.1 | 6.6 | ||||
| Moscow | 20.3 | 16.0 | 23.3 | 8.3 | ||||
| Craigmond | 20.4 | 18.3 | 22.4 | 5.9 | ||||
| Dayton | 20.2 | 18.0 | 22.3 | 5.5 | ||||
| Overall | 21.0 | 16.0 | 27.2 | 9.3 | 22.9 | 15.3 | 29.8 | 10.8 |
| Pre-Treatment/Spectral Selection | Size of Calibration/Validation Sets | LVs | Calibration Set | Validation Set | |||||
|---|---|---|---|---|---|---|---|---|---|
| R2 | RMSE | Bias | R2 | RMSE | Bias | ||||
| Calibration/Validation set size | |||||||||
| DA7250 | none | CAL50 (n = 420)–VAL50 (n = 420) | 10 | 0.85 | 0.97 | −1.80 × 10−14 | 0.74 | 1.25 | 0.080 |
| none | CAL60 (n = 504)–VAL40 (n = 336) | 10 | 0.85 | 0.99 | −1.20 × 10−13 | 0.71 | 1.30 | −0.030 | |
| none * | CAL70 (n = 588)–VAL30 (n = 252) | 10 | 0.83 | 1.05 | −1.30 × 10−13 | 0.73 | 1.22 | 0.003 | |
| none | CAL80 (n = 672)–VAL20 (n = 168) | 10 | 0.82 | 1.07 | −1.60 × 10−13 | 0.74 | 1.18 | −0.074 | |
| none | CAL90 (n = 756)–VAL10 (n = 84) | 10 | 0.81 | 1.09 | −3.60 × 10−14 | 0.76 | 1.15 | 0.093 | |
| FT9700 | none | CAL50 (n = 420)–VAL50 (n = 420) | 13 | 0.86 | 0.95 | −1.20 × 10−13 | 0.71 | 1.31 | −0.050 |
| none | CAL60 (n = 504)–VAL40 (n = 336) | 13 | 0.86 | 0.97 | −1.10 × 10−14 | 0.69 | 1.33 | −0.007 | |
| none | CAL70 (n = 588)–VAL30 (n = 252) | 13 | 0.84 | 1.05 | −4.30 × 10−13 | 0.69 | 1.28 | 0.005 | |
| none (Entry P21_02_0254 removed) * | CAL70 (n = 588)–VAL30 (n = 251) | 13 | 0.81 | 1.04 | −6.80 × 10−14 | 0.79 | 1.23 | −0.055 | |
| none | CAL80 (n = 672)–VAL20 (n = 168) | 13 | 0.82 | 1.08 | −3.50 × 10−13 | 0.72 | 1.21 | −0.071 | |
| none | CAL90 (n = 756)–VAL10 (n = 84) | 13 | 0.81 | 1.08 | −1.80 × 10−14 | 0.70 | 1.28 | 0.130 | |
| Spectral pre-treatment | |||||||||
| DA7250 | SG | CAL70 (n = 588)–VAL30 (n = 252) | 10 | 0.79 | 1.15 | −1.40 × 10−13 | 0.77 | 1.16 | −0.188 |
| SNV | CAL70 (n = 588)–VAL30 (n = 252) | 7 | 0.80 | 1.13 | −1.60 × 10−13 | 0.77 | 1.16 | −0.176 | |
| SNV-D | CAL70 (n = 588)–VAL30 (n = 252) | 6 | 0.80 | 1.14 | −3.20 × 10−14 | 0.76 | 1.17 | −0.166 | |
| MSC | CAL70 (n = 588)–VAL30 (n = 252) | 7 | 0.79 | 1.12 | −1.40 × 10−13 | 0.77 | 1.16 | −0.188 | |
| SNV + SG | CAL70 (n = 588)–VAL30 (n = 252) | 9 | 0.80 | 1.11 | −1.20 × 10−13 | 0.76 | 1.21 | −0.080 | |
| SNV-D + SG | CAL70 (n = 588)–VAL30 (n = 252) | 8 | 0.78 | 1.17 | −5.00 × 10−14 | 0.80 | 1.10 | −0.011 | |
| MSC + SG | CAL70 (n = 588)–VAL30 (n = 252) | 9 | 0.80 | 1.11 | −1.10 × 10−13 | 0.76 | 1.21 | −0.095 | |
| FT9700 | SG | CAL70 (n = 588)–VAL30 (n = 252) | 13 | 0.82 | 1.08 | −6.80 × 10−13 | 0.78 | 1.14 | −0.204 |
| SNV | CAL70 (n = 588)–VAL30 (n = 252) | 14 | 0.85 | 0.97 | 3.20 × 10−14 | 0.74 | 1.23 | −0.193 | |
| SNV-D | CAL70 (n = 588)–VAL30 (n = 252) | 12 | 0.84 | 1.02 | −1.10 × 10−14 | 0.76 | 1.18 | −0.243 | |
| MSC | CAL70 (n = 588)–VAL30 (n = 252) | 13 | 0.86 | 0.95 | −1.40 × 10−14 | 0.76 | 1.18 | −0.217 | |
| SNV + SG | CAL70 (n = 588)–VAL30 (n = 252) | 15 | 0.83 | 1.04 | −2.10 × 10−14 | 0.75 | 1.23 | 0.087 | |
| SNV-D + SG | CAL70 (n = 588)–VAL30 (n = 252) | 12 | 0.82 | 1.05 | −2.50 × 10−14 | 0.81 | 1.06 | 0.022 | |
| MSC + SG | CAL70 (n = 588)–VAL30 (n = 252) | 14 | 0.83 | 1.11 | −1.10 × 10−13 | 0.76 | 1.21 | −0.095 | |
| Calibration/Validation sets year-wise | |||||||||
| DA7250 | none | CAL2020 (n = 299)–VAL2021 (n = 541) | 10 | 0.86 | 0.73 | −1.30 × 10−13 | 0.71 | 1.80 | −1.13 |
| none | CAL2021 (n = 541)–VAL2020 (n = 299) | 10 | 0.78 | 1.17 | −1.10 × 10−13 | 0.75 | 1.11 | −0.54 | |
| FT9700 | none | CAL2020 (n = 299)–VAL2021 (n = 541) | 13 | 0.89 | 0.64 | −2.80 × 10−14 | 0.65 | 6.00 | 5.90 |
| none | CAL2021 (n = 541)–VAL2020 (n = 299) | 13 | 0.78 | 1.16 | −1.80 × 10−14 | 0.78 | 2.43 | −2.25 | |
| Spectral wavelength selection | |||||||||
| FT9700 | 950 nm to 1650 nm | CAL70 (n = 588)–VAL30 (n = 252) | 9 | 0.80 | 1.1 | 7.10 × 10−14 | 0.80 | 1.11 | −0.122 |
| 950 nm to 1650 nm | CAL2020 (n = 299)–VAL2021 (n = 541) | 9 | 0.86 | 0.73 | −1.80 × 10−14 | 0.68 | 2.60 | 2.14 | |
| 950 nm to 1650 nm | CAL2021 (n = 541)–VAL2020 (n = 299) | 10 | 0.80 | 1.12 | −4.30 × 10−13 | 0.77 | 0.96 | 0.026 | |
| Datasets | Observed | Predicted | ||
|---|---|---|---|---|
| HIGH | MEDIUM | LOW | ||
| Calibration DA7250_CAL70_VAL30 | HIGH | 48 | 30 | 0 |
| LOW | 0 | 19 | 87 | |
| Validation DA7250_CAL70_VAL30 | HIGH | 21 | 20 | 0 |
| LOW | 0 | 12 | 24 | |
| Calibration FT9700_CAL70_VAL30 | HIGH | 50 | 34 | 0 |
| LOW | 1 | 21 | 69 | |
| Validation FT9700_CAL70_VAL30 | HIGH | 18 | 17 | 0 |
| LOW | 0 | 12 | 39 | |
Publisher’s Note: MDPI stays neutral with regard to jurisdictional claims in published maps and institutional affiliations. |
© 2022 by the authors. Licensee MDPI, Basel, Switzerland. This article is an open access article distributed under the terms and conditions of the Creative Commons Attribution (CC BY) license (https://creativecommons.org/licenses/by/4.0/).
Share and Cite
Daba, S.D.; Honigs, D.; McGee, R.J.; Kiszonas, A.M. Prediction of Protein Concentration in Pea (Pisum sativum L.) Using Near-Infrared Spectroscopy (NIRS) Systems. Foods 2022, 11, 3701. https://doi.org/10.3390/foods11223701
Daba SD, Honigs D, McGee RJ, Kiszonas AM. Prediction of Protein Concentration in Pea (Pisum sativum L.) Using Near-Infrared Spectroscopy (NIRS) Systems. Foods. 2022; 11(22):3701. https://doi.org/10.3390/foods11223701
Chicago/Turabian StyleDaba, Sintayehu D., David Honigs, Rebecca J. McGee, and Alecia M. Kiszonas. 2022. "Prediction of Protein Concentration in Pea (Pisum sativum L.) Using Near-Infrared Spectroscopy (NIRS) Systems" Foods 11, no. 22: 3701. https://doi.org/10.3390/foods11223701
APA StyleDaba, S. D., Honigs, D., McGee, R. J., & Kiszonas, A. M. (2022). Prediction of Protein Concentration in Pea (Pisum sativum L.) Using Near-Infrared Spectroscopy (NIRS) Systems. Foods, 11(22), 3701. https://doi.org/10.3390/foods11223701

