Effect of White Kidney Bean Flour on the Rheological Properties and Starch Digestion Characteristics of Noodle Dough
Abstract
1. Introduction
2. Materials and Methods
2.1. Materials
2.2. The Preparation of Noodles
2.3. Characterisation
2.3.1. Analysis of the Rheological Properties of the Dough
2.3.2. Colour Difference Analysis of the Dough
2.3.3. Analysis of Steaming Characteristics
2.3.4. Sensory Evaluation
2.3.5. Texture Characterisation of Cooked Pasta (TPA)
2.3.6. Scanning Electron Microscopy
2.3.7. X-ray Diffraction Analysis
2.3.8. Fourier Transform Infrared Spectroscopy
2.3.9. Starch Digestion Properties of Noodles
2.3.10. Statistical Analysis
3. Results
3.1. The Effect of Adding White Kidney Bean Flour on the Rheological Properties of the Dough
3.2. Analysis of Noodle Colour Difference and Cooking Quality
3.3. Sensory Characterisation of Noodles
3.4. Textural Characterisation of Noodles
3.5. Microstructural Analysis of Noodles
3.6. X-ray Diffraction and Fourier Transform Infrared of Noodles
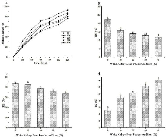
3.7. Analysis of the Digestive Properties of the Noodle Starch
4. Conclusions
Author Contributions
Funding
Institutional Review Board Statement
Informed Consent Statement
Data Availability Statement
Conflicts of Interest
References
- Jia, F.; Ma, Z.; Wang, X.; Li, X.; Liu, L.; Hu, X. Effect of Kansui Addition on Dough Rheology and Quality Characteristics of Chickpea-Wheat Composite Flour-Based Noodles and the Underlying Mechanism. Food Chem. 2019, 298, 125081. [Google Scholar] [CrossRef] [PubMed]
- Sun, J.; Chen, M.; Hou, X.; Li, T.; Qian, H.; Zhang, H.; Li, Y.; Qi, X.; Wang, L. Effect of Phosphate Salts on the Gluten Network Structure and Quality of Wheat Noodles. Food Chem. 2021, 358, 129895. [Google Scholar] [CrossRef] [PubMed]
- Guo, X.-N.; Gao, F.; Zhu, K.-X. Effect of Fresh Egg White Addition on the Quality Characteristics and Protein Aggregation of Oat Noodles. Food Chem. 2020, 330, 127319. [Google Scholar] [CrossRef] [PubMed]
- Qin, G.; Wang, F.; Liang, H.; Tang, S.; Shekh, K.; Wang, Y.; Li, B.; Dong, B.; Wen, P. Subchronic Study of a White Kidney Bean (Phaseolus Vulgaris) Extract with α-Amylase Inhibitory Activity. Biomed. Res. Int. 2019, 2019, 9272345. [Google Scholar] [CrossRef]
- Nolan, R.; Shannon, O.M.; Robinson, N.; Joel, A.; Houghton, D.; Malcomson, F.C. It’s No Has Bean: A Review of the Effects of White Kidney Bean Extract on Body Composition and Metabolic Health. Nutrients 2020, 12, 1398. [Google Scholar] [CrossRef]
- Wang, S.; Guo, C.; Xing, Z.; Li, M.; Yang, H.; Zhang, Y.; Ren, F.; Chen, L.; Mi, S. Dietary Intervention with Alpha-Amylase Inhibitor in White Kidney Beans Added Yogurt Modulated Gut Microbiota to Adjust Blood Glucose in Mice. Front. Nutr. 2021, 8, 664976. [Google Scholar] [CrossRef]
- Ma, Y.; Rang, Y.; Yang, R.; Zhao, W. Effect of White Kidney Bean Extracts on Estimated Glycemic Index of Different Kinds of Porridge. LWT 2018, 96, 576–582. [Google Scholar] [CrossRef]
- Silva, E.; Birkenhake, M.; Scholten, E.; Sagis, L.M.C.; van der Linden, E. Controlling Rheology and Structure of Sweet Potato Starch Noodles with High Broccoli Powder Content by Hydrocolloids. Food Hydrocoll. 2013, 30, 42–52. [Google Scholar] [CrossRef]
- Zhu, S.; He, Z.; Obadi, M.; Qi, Y.; Xu, B. A Study of Vacuum Mixing Parameters for High-Water-Added Dried Noodles Using Color Difference Method and Gluten Network Quantitative Analysis. J. Cereal Sci. 2022, 104, 103427. [Google Scholar] [CrossRef]
- Luo, S.; Chen, J.; Zeng, Y.; Dai, J.; Li, S.; Yan, J.; Liu, Y. Effect of Water-in-Oil-in-Water (W/O/W) Double Emulsions to Encapsulate Nisin on the Quality and Storage Stability of Fresh Noodles. Food Chem. 2022, 15, 100378. [Google Scholar] [CrossRef]
- Kraithong, S.; Rawdkuen, S. Effects of Food Hydrocolloids on Quality Attributes of Extruded Red Jasmine Rice Noodle. PeerJ 2020, 8, e10235. [Google Scholar] [CrossRef]
- Arise, A.K.; Oriade, K.F.; Asogwa, T.N.; Nwachukwu, I. Amino Acid Profile, Physicochemical and Sensory Properties of Noodles Produced from Wheat-Bambara Protein Isolate. Meas. Food 2022, 5, 100020. [Google Scholar] [CrossRef]
- Cao, Z.-B.; Yu, C.; Yang, Z.; Xing, J.-J.; Guo, X.-N.; Zhu, K.-X. Impact of Gluten Quality on Textural Stability of Cooked Noodles and the Underlying Mechanism. Food Hydrocoll. 2021, 119, 106842. [Google Scholar] [CrossRef]
- Zhang, M.; Ma, M.; Yang, T.; Li, M.; Sun, Q. Dynamic Distribution and Transition of Gluten Proteins during Noodle Processing. Food Hydrocoll. 2022, 123, 107114. [Google Scholar] [CrossRef]
- Yang, Y.-L.; Guan, E.-Q.; Li, M.; Li, N.; Bian, K.; Wang, T.; Lu, C.; Chen, M.; Xu, F. Effect of Transglutaminase on the Quality and Protein Characteristics of Aleurone-Riched Fine Dried Noodles. LWT 2022, 154, 112584. [Google Scholar] [CrossRef]
- Geng, D.-H.; Zhang, X.; Gan, J.; Wang, C.; Jia, X.; Tang, N.; Cheng, Y. Understanding the Texture and Digestibility Attributes of Rice Noodles Supplemented with Common Vetch Starch. Int. J. Biol. Macromol. 2022, 222, 772–782. [Google Scholar] [CrossRef]
- Zhang, Y.; Yin, L.; Rasheed, H.A.; Xia, X.; Tekliye, M.; Li, Z.; Li, J.; Dong, M. Effects of Chitosan on the Physicochemical Properties, in vitro Starch Digestibility, Antimicrobial Potentials, and Antioxidant Activities of Purple Highland Barley Noodles. LWT 2020, 132, 109802. [Google Scholar] [CrossRef]
- Wang, L.; Zhao, H.; Brennan, M.; Guan, W.; Liu, J.; Wang, M.; Wen, X.; He, J.; Brennan, C. In vitro Gastric Digestion Antioxidant and Cellular Radical Scavenging Activities of Wheat-Shiitake Noodles. Food Chem. 2020, 330, 127214. [Google Scholar] [CrossRef]
- Guo, L.; Wang, Q.; Chen, H.; Wu, D.; Dai, C.; Chen, Y.; Ma, Y.; Wang, Z.; Li, H.; Cao, X.; et al. Moderate Addition of B-Type Starch Granules Improves the Rheological Properties of Wheat Dough. Food Res. Int. 2022, 160, 111748. [Google Scholar] [CrossRef]
- Kuang, J.; Yang, Q.; Huang, J.; Cao, Y.; Pu, H.; Ma, W.; Min, C.; Xiong, Y.L. Curdlan-Induced Rheological, Thermal and Structural Property Changes of Wheat Dough Components during Heat Treatment. J. Cereal Sci. 2022, 107, 103528. [Google Scholar] [CrossRef]
- Sim, E.; Park, E.; Ma, F.; Baik, B.-K.; Fonseca, J.M.; Delwiche, S.R. Sensory and Physicochemical Properties of Whole Wheat Salted Noodles under Different Preparations of Bran. J. Cereal Sci. 2020, 96, 103112. [Google Scholar] [CrossRef]
- Martin, J.M.; Berg, J.E.; Hofer, P.; Kephart, K.D.; Nash, D.; Bruckner, P.L. Allelic Variation of Polyphenol Oxidase Genes Impacts on Chinese Raw Noodle Color. J. Cereal Sci. 2011, 54, 387–394. [Google Scholar] [CrossRef]
- Liu, S.; Jiang, Y.; Xu, B.; Jiang, S. Analysis of the Effect of Rolling Speed on the Texture Properties of Noodle Dough from Water-Solid Interaction, Development of Gluten Network, and Bubble Distribution. Food Chem. 2022, 404, 134359. [Google Scholar] [CrossRef] [PubMed]
- Gong, Y.; Meng, A.; Zhang, Y.; Zhang, B.; Ying, D.; Guo, B.; Wei, Y. Effect of Water Migration Rate on the Deformation Characteristics of Wheat Starch/Gluten Extruded Noodles. LWT 2022, 163, 113546. [Google Scholar] [CrossRef]
- Jia, Y.; Zhang, Z.; Li, M.; Ji, N.; Qin, Y.; Wang, Y.; Shi, R.; Wang, T.; Xiong, L.; Sun, Q. The Effect of Hydroxypropyl Starch on the Improvement of Mechanical and Cooking Properties of Rice Noodles. Food Res. Int. 2022, 162, 111922. [Google Scholar] [CrossRef]
- Fan, J.-X.; Guo, X.-N.; Zhu, K.-X. Impact of Laccase-Induced Protein Cross-Linking on the in vitro Starch Digestion of Black Highland Barley Noodles. Food Hydrocoll. 2022, 124, 107298. [Google Scholar] [CrossRef]
- Zhang, L.-L.; Guan, E.-Q.; Yang, Y.-L.; Liu, Y.-X.; Zhang, T.-J.; Bian, K. Impact of Wheat Globulin Addition on Dough Rheological Properties and Quality of Cooked Noodles. Food Chem. 2021, 362, 130170. [Google Scholar] [CrossRef]
- Zou, X.; Wang, X.; Zhang, M.; Peng, P.; Ma, Q.; Hu, X. Pre-Baking-Steaming of Oat Induces Stronger Macromolecular Interactions and More Resistant Starch in Oat-Buckwheat Noodle. Food Chem. 2023, 400, 134045. [Google Scholar] [CrossRef]
- Zhang, L.-L.; Guan, E.-Q.; Zhang, K.-G.; Zhang, T.-J.; Bian, K. The Aggregation Characteristics of Wheat Globulin Induced by Heating and Edible Salts and Its Effects on Noodle Processing Quality. LWT 2022, 154, 112803. [Google Scholar] [CrossRef]
- Chen, J.; Cai, H.; Yang, S.; Zhang, M.; Wang, J.; Chen, Z. The Formation of Starch-Lipid Complexes in Instant Rice Noodles Incorporated with Different Fatty Acids: Effect on the Structure, in Vitro Enzymatic Digestibility and Retrogradation Properties during Storage. Food Res. Int. 2022, 162, 111933. [Google Scholar] [CrossRef]
- Dhingra, D.; Michael, M.; Rajput, H.; Patil, R.T. Dietary Fibre in Foods: A Review. J. Food Sci. Technol. 2012, 49, 255–266. [Google Scholar] [CrossRef] [PubMed]





| Sample (%) | l* | a* | b* | ∆E | WI | BI |
|---|---|---|---|---|---|---|
| 0 | 70.92 ± 0.24 a | 3.03 ± 0.04 e | 19.23 ± 0.07 b | - | - | - |
| 10 | 70.80 ± 0.02 ab | 3.42 ± 0.05 d | 19.39 ± 0.32 b | 1.07 ± 0.27 a | 65.01 ± 0.17 a | 55.78 ± 0.01 d |
| 20 | 70.78 ± 0.01 ab | 3.87 ± 0.04 c | 19.81 ± 0.05 a | 1.04 ± 0.21 a | 64.10 ± 0.08 b | 55.92 ± 0.02 c |
| 30 | 70.54 ± 0.46 ab | 4.03 ± 0.06 b | 19.51 ± 0.08 b | 0.80 ± 0.30 a | 64.49 ± 0.03 ab | 56.05 ± 0.01 b |
| 40 | 70.31 ± 0.23 b | 4.25 ± 0.02 a | 20.04 ± 0.09 a | 0.79 ± 0.16 a | 64.16 ± 0.47 b | 56.11 ± 0.03 a |
| Sample (%) | Cooking Loss (%) | Water Absorption (%) | Breakage Rate (%) |
|---|---|---|---|
| 0 | 3.33 ± 0.56 c | 56.46 ± 0.24 c | 6.00 ± 0.02 a |
| 10 | 3.48 ± 0.23 bc | 58.57 ± 1.17 b | 0.00 ± 0.00 b |
| 20 | 3.76 ± 0.52 abc | 58.87 ± 0.30 b | 2.00 ± 0.00 bc |
| 30 | 4.25 ± 0.47 ab | 59.46 ± 0.84 b | 2.67 ± 0.01 b |
| 40 | 4.43 ± 0.37 a | 62.60 ± 0.80 a | 3.33 ± 0.01 b |
| Sample (%) | Hardness (N) | Adhesiveness (J) | Cohesiveness (Ratio) | Gumminess (N) | Chewiness (J) | Springiness (m) |
|---|---|---|---|---|---|---|
| 0 | 9.35 ± 0.04 c | 0.19 ± 0.16 ab | 0.51 ± 0.03 a | 5.22 ± 1.20 a | 4.57 ± 1.33 ab | 0.87 ± 0.15 b |
| 10 | 10.50 ± 0.31 b | 0.17 ± 0.07 b | 0.47 ± 0.04 a | 4.66 ± 0.45 ab | 4.83 ± 0.80 a | 1.03 ± 0.12 a |
| 20 | 10.65 ± 0.18 b | 0.27 ± 0.06 a | 0.40 ± 0.00 b | 4.38 ± 0.42 bc | 4.53 ± 0.84 ab | 1.03 ± 0.14 a |
| 30 | 10.87 ± 0.09 b | 0.19 ± 0.03 ab | 0.38 ± 0.07 b | 3.96 ± 0.23 c | 3.87 ± 0.53 b | 0.97 ± 0.09 ab |
| 40 | 11.77 ± 0.13 a | 0.21 ± 0.09 ab | 0.40 ± 0.05 b | 4.23 ± 0.45 bc | 4.26 ± 0.76 ab | 1.00 ± 0.09 a |
Publisher’s Note: MDPI stays neutral with regard to jurisdictional claims in published maps and institutional affiliations. |
© 2022 by the authors. Licensee MDPI, Basel, Switzerland. This article is an open access article distributed under the terms and conditions of the Creative Commons Attribution (CC BY) license (https://creativecommons.org/licenses/by/4.0/).
Share and Cite
Han, J.; Pang, L.; Bao, L.; Ye, X.; Lu, G. Effect of White Kidney Bean Flour on the Rheological Properties and Starch Digestion Characteristics of Noodle Dough. Foods 2022, 11, 3680. https://doi.org/10.3390/foods11223680
Han J, Pang L, Bao L, Ye X, Lu G. Effect of White Kidney Bean Flour on the Rheological Properties and Starch Digestion Characteristics of Noodle Dough. Foods. 2022; 11(22):3680. https://doi.org/10.3390/foods11223680
Chicago/Turabian StyleHan, Jiahui, Linjiang Pang, Linxin Bao, Xiafang Ye, and Guoquan Lu. 2022. "Effect of White Kidney Bean Flour on the Rheological Properties and Starch Digestion Characteristics of Noodle Dough" Foods 11, no. 22: 3680. https://doi.org/10.3390/foods11223680
APA StyleHan, J., Pang, L., Bao, L., Ye, X., & Lu, G. (2022). Effect of White Kidney Bean Flour on the Rheological Properties and Starch Digestion Characteristics of Noodle Dough. Foods, 11(22), 3680. https://doi.org/10.3390/foods11223680

