Valorization of Common (Fagopyrum esculentum Moench.) and Tartary (Fagopyrum tataricum Gaertn.) Buckwheat in Gluten-Free Polenta Samples: Chemical-Physical and Sensory Characterization
Abstract
1. Introduction
2. Materials and Methods
2.1. Samples
2.2. Instrumental Analyses
2.2.1. Electronic Tongue
2.2.2. Colorimeter
2.2.3. Texture Analyzer
2.3. Sensory Analysis
2.3.1. Participants
2.3.2. Experimental Procedure
2.4. Data Analysis
3. Results and Discussion
3.1. Instrumental Analyses
3.1.1. Electronic Tongue
3.1.2. Color
3.1.3. Texture
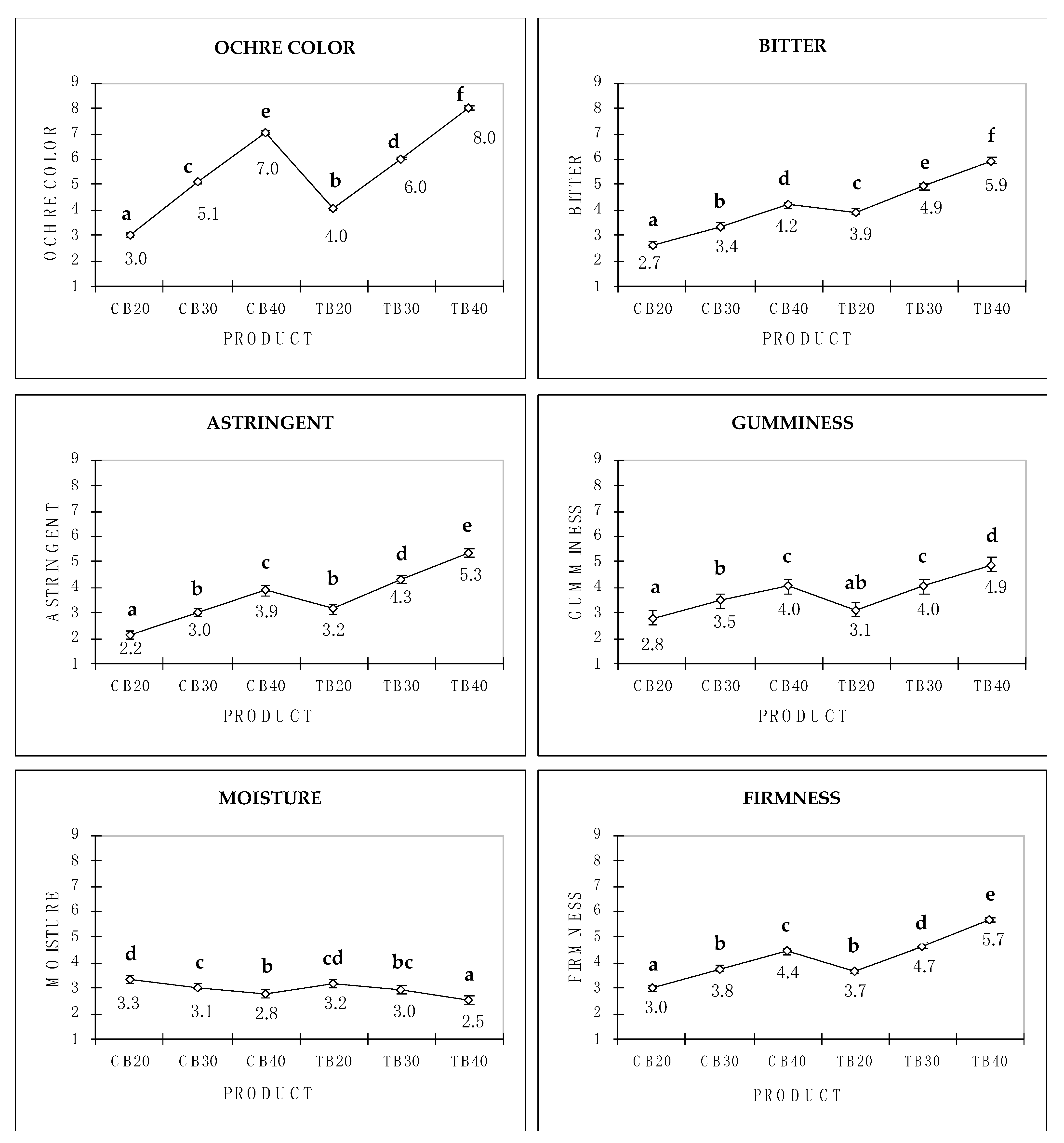
3.2. Sensory Analyses
3.3. Relationship between Instrumental and Sensory Data
4. Conclusions
Supplementary Materials
Author Contributions
Funding
Institutional Review Board Statement
Informed Consent Statement
Data Availability Statement
Acknowledgments
Conflicts of Interest
References
- Laureati, M.; Proserpio, C. Consumer perception and acceptance of healthy and sustainable food: Trends, challenges and mitigatory strategies. In Consumer Acceptance and Sensory Evaluation of New Food Products: Principles and Applications; de Almeida Costa, A.I., Monteiro, M.J.P., Lamy, E., Eds.; Royal Society of Chemistry: Cambridge, UK, 2021. [Google Scholar]
- Food and Agriculture Organization of the United Nations (FAO). Building on Gender, Agrobiodiversity and Local Knowledge; FAO: Rome, Italy, 2004; pp. 1–50. [Google Scholar]
- Tolaini, V.; del Fiore, A.; Nobili, C.; Presenti, O.; de Rossi, P.; Procacci, S.; Vitali, F.; Brunori, A. Exploitation of Tartary buckwheat as sustainable ingredient for healthy foods production. Agric. Agric. Sci. Procedia 2016, 8, 455–460. [Google Scholar] [CrossRef][Green Version]
- Giupponi, L.; Borgonovo, G.; Panseri, S.; Giorgi, A. Multidisciplinary study of a little known landrace of Fagopyrum tataricum Gaertn. of Valtellina (Italian Alps). Genet. Resour. Crop Evol. 2019, 66, 783–796. [Google Scholar] [CrossRef]
- Lin, R.F.; Shan, F.; Bian, J.S.; Li, H.M.; Ren, G.X. The practise of Tartary buckwheat industrialization. In Proceedings of the International Forum on Tartary Buckwheat Industrial Economy, Shanxi, China, 9–11 September 2006; China Agriculture Science and Technology Press: Beijing, China, 2006; pp. 3–4. [Google Scholar]
- Yilmaz, H.Ö.; Ayhan, N.Y.; Meriç, Ç.S. Buckwheat: A useful food and its effects on human health. Curr. Res. Nutr. Food Sci. 2020, 16, 29–34. [Google Scholar] [CrossRef]
- Zhu, F. Chemical composition and health effects of Tartary buckwheat. Food Chem. 2016, 203, 231–245. [Google Scholar] [CrossRef] [PubMed]
- Mota, C.; Santos, M.; Mauro, R.; Samman, N.; Matos, A.S.; Torres, D.; Castanheira, I. Protein content and amino acids profile of pseudocereals. Food Chem. 2016, 193, 55–61. [Google Scholar] [CrossRef]
- Bonafaccia, G.; Fabjan, N. Nutritional comparison of Tartary buckwheat with common buckwheat and minor cereals. Rep. Biotechnol. Fac. Univ. Ljubl. 2003, 81, 349–355. [Google Scholar]
- Lu, L.; Murphy, K.; Baik, B.K. Genotypic variation in nutritional composition of buckwheat groats and husks. Cereal Chem. 2013, 90, 132–137. [Google Scholar] [CrossRef]
- Ahmed, A.; Khalid, N.; Ahmad, A.; Abbasi, N.; Latif, M.; Randhawa, M. Phytochemicals and biofunctional properties of buckwheat: A review. J. Agric. Sci. 2014, 152, 349–369. [Google Scholar] [CrossRef]
- Brites, L.T.; Rebellato, A.P.; Meinhart, A.D.; Godoy, H.T.; Steel, C.J. Antioxidant-enriched gluten-free bread made with buckwheat flour: Evaluation of technological and nutritional quality. Cereal Chem. 2022, 99, 995–1006. [Google Scholar] [CrossRef]
- Sujka, K.; Cacak-Pietrzak, G.; Sułek, A.; Murgrabia, K.; Dziki, D. Buckwheat Hull-Enriched Pasta: Physicochemical and Sensory Properties. Molecules 2022, 27, 4065. [Google Scholar] [CrossRef]
- Watanabe, M. Catechins as antioxidants from buckwheat (Fagopyrum esculentum Moench) groats. J. Agric. Food Chem. 1998, 46, 839–845. [Google Scholar] [CrossRef]
- Brunori, A.; Végvári, G. Rutin content of the grain of buckwheat (Fagopyrum esculentum Moench and Fagopyrum tataricum Gaertn.) varieties grown in southern Italy. Acta Agron. Hung. 2007, 53, 265–272. [Google Scholar] [CrossRef]
- Buratti, S.; Giovanelli, G.; Benedetti, S.; Marti, A. Impact of gelatinization on common (Fagopyrum esculentum) and Tartary (Fagopyrum tataricum) buckwheat: Effect on taste and flavor assessed by e-senses in relation to phenolic compounds. Eur. Food Res. Technol. 2022, 248, 2521–2530. [Google Scholar] [CrossRef]
- Suzuki, T.; Morishita, T.; Noda, T.; Ishiguro, K.; Otsuka, S.; Katsu, K. Breeding of buckwheat to reduce bitterness and rutin hydrolysis. Plants 2021, 10, 791. [Google Scholar] [CrossRef]
- Appiani, M.; Rabitti, N.S.; Proserpio, C.; Pagliarini, E.; Laureati, M. Tartary Buckwheat: A New Plant-Based Ingredient to Enrich Corn-Based Gluten-Free Formulations. Foods 2021, 10, 2613. [Google Scholar] [CrossRef]
- Starowicz, M.; Koutsidis, G.; Zieliński, H. Sensory analysis and aroma compounds of buckwheat containing products—sA review. Crit. Rev. Food Sci. Nutr. 2018, 58, 1767–1779. [Google Scholar] [CrossRef]
- Yao, Y.; He, W.; Cai, X.; Bekhit, A.E.D.A.; Xu, B. Sensory, physicochemical and rheological properties of plant-based milk alternatives made from soybean, peanut, adlay, adzuki bean, oat and buckwheat. Int. J. Food Sci. Technol. 2022, 57, 4868–4878. [Google Scholar] [CrossRef]
- Škrobot, D.; Pezo, L.; Tomić, J.; Pestorić, M.; Sakač, M.; Mandić, A. Insights into sensory and hedonic perception of wholegrain buckwheat enriched pasta. LWT 2022, 153, 112528. [Google Scholar] [CrossRef]
- Martin, A.; Schmidt, V.; Osen, R.; Bez, J.; Ortner, E.; Mittermaier, S. Texture, sensory properties and functionality of extruded snacks from pulses and pseudocereal proteins. J. Sci. Food Agric. 2022, 102, 5011–5021. [Google Scholar] [CrossRef]
- Laureati, M.; Buratti, S.; Bassoli, A.; Borgonovo, G.; Pagliarini, E. Discrimination and characterisation of three cultivars of Perilla frutescens by means of sensory descriptors and electronic nose and tongue analysis. Food Res. Int. 2010, 43, 959–964. [Google Scholar] [CrossRef]
- Kobayashi, Y.; Habara, M.; Ikezazki, H.; Chen, R.; Naito, Y.; Toko, K. Advanced taste sensors based on artificial lipids with global selectivity to basic taste qualities and high correlation to sensory scores. Sensors 2010, 10, 3411–3443. [Google Scholar] [CrossRef] [PubMed]
- ISO 8589; Sensory analysis—General Guidance for the Design of Test Rooms. International Organization for Standardization: Geneva, Switzerland, 2007.
- ISO 13299; Sensory Analysis—Methodology—General Guidance to Establish a Sensory Profile. International Organization for Standardization: Geneva, Switzerland, 2016.
- MacFie, H.J.; Bratchell, N.; Greenhoff, K.; Vallis, L.V. Designs to balance the effect of order of presentation and first-order carry-over effects in hall tests. J. Sens. Stud. 1989, 4, 129–148. [Google Scholar] [CrossRef]
- Wold, S.; Esbensen, K.; Geladi, P. Principal component analysis. Chemometr. Intell. Lab. 1987, 2, 37–52. [Google Scholar] [CrossRef]
- Martens, H.; Martens, M. Modified Jack-knife estimation of parameter uncertainty in bilinear modelling by partial least squares regression. Food Qual. Prefer. 2000, 11, 5–16. [Google Scholar] [CrossRef]
- Wijngaard, H.; Arendt, E. Buckwheat. Cereal Chem. 2006, 83, 391–401. [Google Scholar] [CrossRef]
- Singh, J.P.; Kaur, A.; Singh, B.; Singh, N.; Singh, B. Physicochemical evaluation of corn extrudates containing varying buckwheat flour levels prepared at various extrusion temperatures. J. Food Sci. Technol. 2019, 56, 2205–2212. [Google Scholar] [CrossRef]
- Wronkowska, M.; Haros, M.; Soral-Śmietana, M. Effect of starch substitution by buckwheat flour on gluten-free bread quality. Food Bioprocess Technol. 2013, 6, 1820–1827. [Google Scholar] [CrossRef]
- Alfieri, M.; Bresciani, A.; Zanoletti, M.; Pagani, M.A.; Marti, A.; Redaelli, R. Physical, chemical and pasting features of maize Italian inbred lines. Eur. Food Res. Technol. 2020, 246, 2205–2214. [Google Scholar] [CrossRef]
- Cappa, C.; Lucisano, M.; Mariotti, M. Rheological properties of gels obtained from gluten-free raw materials during a short term aging. LWT-Food Sci. Technol. 2013, 53, 464–472. [Google Scholar] [CrossRef]
- Yilmaz, M.T.; Yildiz, Ö.; Yurt, B.; Toker, O.S.; Karaman, S.; Baştürk, A. A mixture design study to determine interaction effects of wheat, buckwheat, and rice flours in an aqueous model system. LWT-Food Sci. Technol. 2015, 61, 583–589. [Google Scholar] [CrossRef]
- Li, W.; Lin, R.; Corke, H. Physicochemical properties of common and tartary buckwheat starch. Cereal Chem. 1997, 74, 79–82. [Google Scholar] [CrossRef]
- Sakač, M.; Pestorić, M.; Mišan, A.; Nedeljković, N.; Jambrec, D.; Jovanov, P.; Banjac, V.; Torbica, A.; Hadnađev, M.; Mandić, A. Antioxidant capacity, mineral content and sensory properties of gluten-free rice and buckwheat cookies. Food Technol. Biotechnol. 2015, 53, 38. [Google Scholar] [CrossRef] [PubMed]
- Wronkowska, M.; Zielińska, D.; Szawara-Nowak, D.; Troszyńska, A.; Soral-Śmietana, M. Antioxidative and reducing capacity, macroelements content and sensorial properties of buckwheat-enhanced gluten-free bread. J. Food Sci. Technol. 2010, 45, 1993–2000. [Google Scholar] [CrossRef]
- Aleixandre, A.; Benavent-Gil, Y.; Velickova, E.; Rosell, C.M. Mastication of crisp bread: Role of bread texture and structure on texture perception. Food Res. Int. 2021, 147, 110477. [Google Scholar] [CrossRef] [PubMed]
- Cappa, C.; Laureati, M.; Casiraghi, M.C.; Erba, D.; Vezzani, M.; Lucisano, M.; Alamprese, C. Effects of red rice or buckwheat addition on nutritional, technological, and sensory quality of potato-based pasta. Foods 2021, 10, 91. [Google Scholar] [CrossRef] [PubMed]
- Wang, Q.; Li, L.; Zheng, X.; Xiong, X. Effect of extrusion feeding moisture on dough, nutritional, and texture properties of noodles fortified with extruded buckwheat flour. J. Food Process. Preserv. 2020, 44, e14978. [Google Scholar] [CrossRef]




| 100-L* | a*/b* | |
|---|---|---|
| CB20 | 37.85 ± 0.58 a | 0.11 ± 0.01 a |
| TB20 | 41.00 ± 1.15 b | 0.17 ± 0.01 b |
| CB30 | 43.94 ± 1.11 c | 0.16 ± 0.01 b |
| TB30 | 43.98 ± 0.84 c | 0.22 ± 0.01 d |
| CB40 | 45.59 ± 1.12 d | 0.20 ± 0.01 c |
| TB40 | 45.99 ± 0.36 d | 0.31 ± 0.01 e |
| Texture Profile Analysis | Compression Test | |||||||
|---|---|---|---|---|---|---|---|---|
| Hardness (N) | Springiness | Cohesiveness | Gumminess | Chewiness | Resilience | Firmness (N) | Springiness (%) | |
| CB20 | 45.19 ± 2.59 a | 0.91 ± 0.02 ab | 0.77 ± 0.01 ab | 34.56 ± 1.94 a | 31.44 ± 1.83 a | 0.52 ± 0.01 b | 28.45 ± 3.61 a | 62.58 ± 2.39 b |
| TB20 | 66.34 ± 16.48 b | 0.91 ± 0.01 ab | 0.74 ± 0.03 a | 47.70 ± 10.90 b | 42.52 ± 9.93 ab | 0.47 ± 0.04 a | 42.05 ± 10.20 c | 60.44 ± 2.45 a |
| CB30 | 64.80 ± 15.38 b | 0.91 ± 0.01 ab | 0.75 ± 0.04 ab | 48.01 ± 9.32 b | 43.31 ± 8.17 b | 0.48 ± 0.04 a | 39.58 ± 1.73 bc | 63.50 ± 0.89 b |
| TB30 | 55.77 ± 18.77 ab | 0.91 ± 0.01 ab | 0.77 ± 0.03 b | 42.51 ± 13.00 ab | 38.95 ± 12.13 ab | 0.50 ± 0.04 ab | 33.10 ± 8.55 ab | 62.06 ± 1.29 ab |
| CB40 | 60.87 ± 3.28 ab | 0.92 ± 0.01 b | 0.75 ± 0.01 ab | 46.58 ± 0.61 b | 42.70 ± 0.82 ab | 0.48 ± 0.01 a | 30.24 ± 5.23 a | 63.93 ± 0.98 b |
| TB40 | 59.00 ± 8.92 ab | 0.90 ± 0.03 a | 0.75 ± 0.01 ab | 44.52 ± 5.69 ab | 39.92 ± 5.82 ab | 0.47 ± 0.02 a | 32.068 ± 3.54 ab | 60.60 ± 1.13 a |
Publisher’s Note: MDPI stays neutral with regard to jurisdictional claims in published maps and institutional affiliations. |
© 2022 by the authors. Licensee MDPI, Basel, Switzerland. This article is an open access article distributed under the terms and conditions of the Creative Commons Attribution (CC BY) license (https://creativecommons.org/licenses/by/4.0/).
Share and Cite
Rabitti, N.S.; Appiani, M.; Marti, A.; Buratti, S.; Benedetti, S.; Chiodaroli, G.; Proserpio, C.; Laureati, M. Valorization of Common (Fagopyrum esculentum Moench.) and Tartary (Fagopyrum tataricum Gaertn.) Buckwheat in Gluten-Free Polenta Samples: Chemical-Physical and Sensory Characterization. Foods 2022, 11, 3442. https://doi.org/10.3390/foods11213442
Rabitti NS, Appiani M, Marti A, Buratti S, Benedetti S, Chiodaroli G, Proserpio C, Laureati M. Valorization of Common (Fagopyrum esculentum Moench.) and Tartary (Fagopyrum tataricum Gaertn.) Buckwheat in Gluten-Free Polenta Samples: Chemical-Physical and Sensory Characterization. Foods. 2022; 11(21):3442. https://doi.org/10.3390/foods11213442
Chicago/Turabian StyleRabitti, Noemi Sofia, Marta Appiani, Alessandra Marti, Susanna Buratti, Simona Benedetti, Giulia Chiodaroli, Cristina Proserpio, and Monica Laureati. 2022. "Valorization of Common (Fagopyrum esculentum Moench.) and Tartary (Fagopyrum tataricum Gaertn.) Buckwheat in Gluten-Free Polenta Samples: Chemical-Physical and Sensory Characterization" Foods 11, no. 21: 3442. https://doi.org/10.3390/foods11213442
APA StyleRabitti, N. S., Appiani, M., Marti, A., Buratti, S., Benedetti, S., Chiodaroli, G., Proserpio, C., & Laureati, M. (2022). Valorization of Common (Fagopyrum esculentum Moench.) and Tartary (Fagopyrum tataricum Gaertn.) Buckwheat in Gluten-Free Polenta Samples: Chemical-Physical and Sensory Characterization. Foods, 11(21), 3442. https://doi.org/10.3390/foods11213442

