Nuts as a Dietary Enrichment with Selected Minerals—Content Assessment Supported by Chemometric Analysis
Abstract
1. Introduction
2. Materials and Methods
2.1. Materials—Collection and Preparation
2.2. Ca, K, Mg, Se, and Zn Determination
2.3. Verifying the Accuracy of the Method
2.4. Assessment of Nuts as a Source of Minerals in the Diet
2.5. Statistical Analysis
3. Results
3.1. Ca, K, Mg, Se, and Zn Contents
3.2. Nuts as a Source of Minerals in the Diet
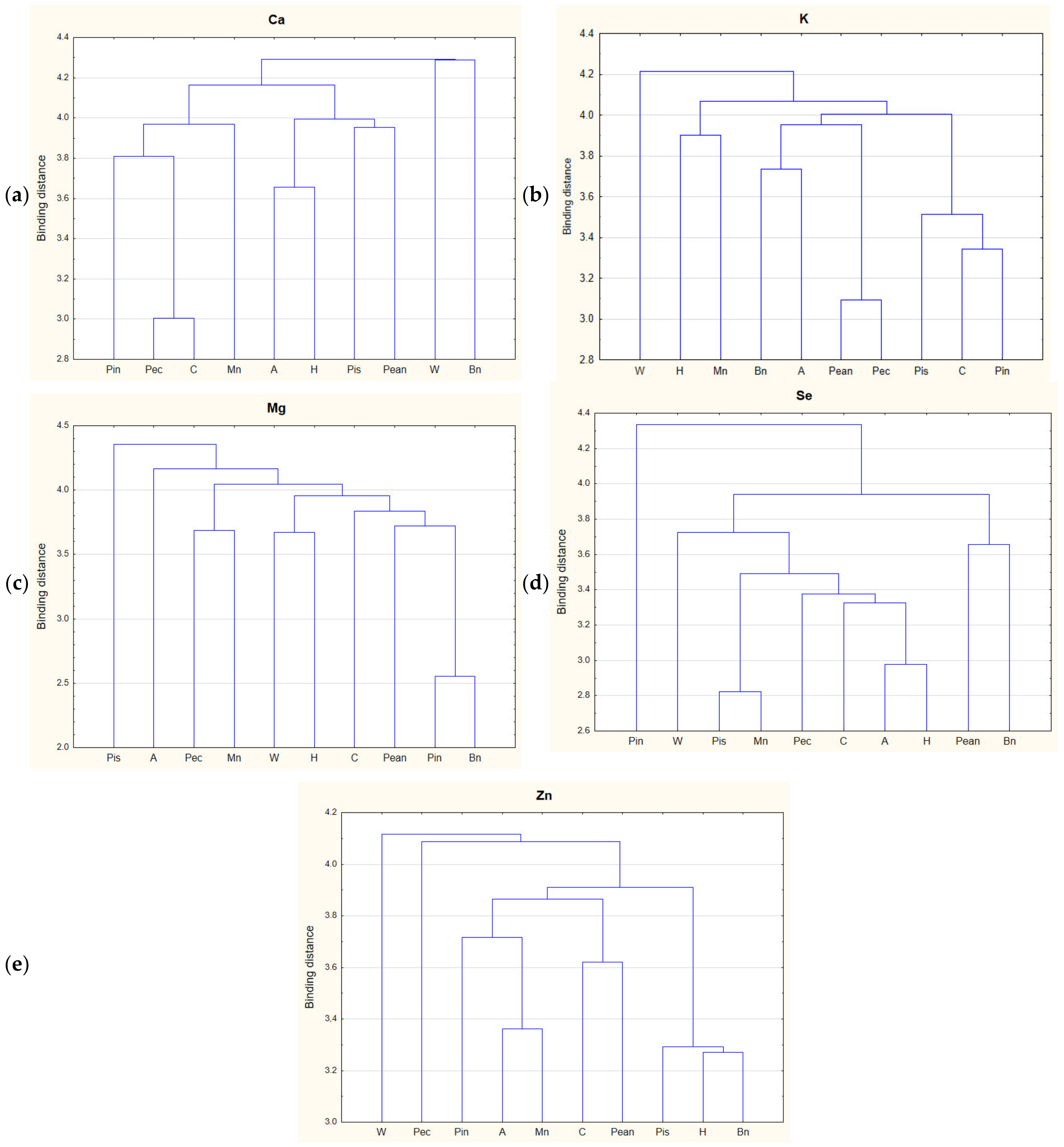
3.3. Chemometric Analysis
4. Discussion
5. Conclusions
Author Contributions
Funding
Data Availability Statement
Conflicts of Interest
References
- Mohammed, S.G.; Qoronfleh, M.W. Nuts. Adv. Neurobiol. 2020, 24, 395–419. [Google Scholar] [CrossRef]
- Ros, E.; Martínez-González, M.A.; Estruch, R.; Salas-Salvadó, J.; Fitó, M.; Martínez, J.A.; Corella, D. Mediterranean diet and cardiovascular health: Teachings of the PREDIMED study. Adv. Nutr. 2014, 5, 330s–336s. [Google Scholar] [CrossRef]
- Ros, E. Health Benefits of Nut Consumption. Nutrients 2010, 2, 652–682. [Google Scholar] [CrossRef]
- Maestri, E.; Imperiale, D.; Marmiroli, N. Nuts, nut products and other seeds. In Food Integrity Handbook a Guide to Food Authenticity Issues and Analytical Solutions; Lees, J.-F.M.M., Ed.; Eurofins Analytics France: Nantes, France, 2018; pp. 127–136. [Google Scholar]
- Dreher, M.L.; Maher, C.V.; Kearney, P. The traditional and emerging role of nuts in healthful diets. Nutr. Rev. 1996, 54, 241–245. [Google Scholar] [CrossRef] [PubMed]
- Fraser, G.E.; Sabaté, J.; Beeson, W.L.; Strahan, T.M. A possible protective effect of nut consumption on risk of coronary heart disease. The Adventist Health Study. Arch. Intern. Med. 1992, 152, 1416–1424. [Google Scholar] [CrossRef] [PubMed]
- Griel, A.E.; Kris-Etherton, P.M. Tree nuts and the lipid profile: A review of clinical studies. Br. J. Nutr. 2006, 96 (Suppl. 2), S68–S78. [Google Scholar] [CrossRef]
- Pickova, D.; Ostry, V.; Malir, F. A Recent Overview of Producers and Important Dietary Sources of Aflatoxins. Toxins 2021, 13, 186. [Google Scholar] [CrossRef] [PubMed]
- Rapid Alert System for Food and Feed Portal Database. Available online: https://webgate.ec.europa.eu/rasff-window/portal/ (accessed on 9 February 2020).
- Bielecka, J.; Puścion-Jakubik, A.; Markiewicz-Żukowska, R.; Soroczyńska, J.; Nowakowski, P.; Grabia, M.; Mielcarek, K.; Przebierowska, K.; Kotowska, K.; Socha, K. Assessment of the Safe Consumption of Nuts in Terms of the Content of Toxic Elements with Chemometric Analysis. Nutrients 2021, 13, 3606. [Google Scholar] [CrossRef]
- De Souza, R.G.M.; Schincaglia, R.M.; Pimentel, G.D.; Mota, J.F. Nuts and Human Health Outcomes: A Systematic Review. Nutrients 2017, 9, 1311. [Google Scholar] [CrossRef]
- U.S. Department of Agriculture, Agricultural Research Service. USDA National Nutrient Database for Standard Reference, Release 28. Available online: http://www.ars.usda.gov/ba/bhnrc/ndl (accessed on 20 March 2021).
- Jarosz, M.; Rychlik, E.; Stoś, K.; Charzewska, J. Nutrition Standards for the Population of Poland and Their Application. Available online: https://www.pzh.gov.pl/normy-zywienia-2020/ (accessed on 20 March 2021).
- European Commission (EC) Regulation (Ec) No 1924/2006 of The European Parliament and of the Council on Nutrition and Health Claims Made on Foods. Available online: https://eur-lex.europa.eu/legal-content/PL/TXT/?uri=CELEX%3A32006R1924 (accessed on 9 January 2021).
- European Commission (EC) on the Provision of Food Information to Consumers, Amending Regulations (EC) No 1924/2006 and (EC) No 1925/2006 of the European Parliament and of the Council, and Repealing Commission Directive 87/250/EEC, Council Directive 90/496/EEC, Commission Directive 1999/10/EC, Directive 2000/13/EC of the European Parliament and of the Council, Commission Directives 2002/67/EC and 2008/5/EC and Com-Mission Regulation (EC) No 608/2004. Available online: https://eur-lex.europa.eu/legal-content/EN/TXT/?uri=CELEX%3A32011R1169&qid=1614259348662 (accessed on 11 January 2021).
- Sorenson, A.W.; Hansen, R.G. Index of food quality. J. Nutr. Educ. 1975, 7, 53–57. [Google Scholar] [CrossRef]
- Janowska-Miasik, E.; Waśkiewicz, A.; Witkowska, A.M.; Drygas, W.; Markhus, M.W.; Zujko, M.E.; Kjellevold, M. Diet quality in the population of Norway and Poland: Differences in the availability and consumption of food considering national nutrition guidelines and food market. BMC Public Health 2021, 21, 319. [Google Scholar] [CrossRef]
- Markiewicz-Żukowska, R.; Gutowska, A.; Borawska, M.H. Serum Zinc Concentrations Correlate with Mental and Physical Status of Nursing Home Residents. PLoS ONE 2015, 10, e0117257. [Google Scholar] [CrossRef]
- Bailey, R.L.; West, K.P., Jr.; Black, R.E. The epidemiology of global micronutrient deficiencies. Ann. Nutr. Metab. 2015, 66 (Suppl. 2), 22–33. [Google Scholar] [CrossRef]
- Mistry, H.D.; Broughton Pipkin, F.; Redman, C.W.; Poston, L. Selenium in reproductive health. Am. J. Obstet. Gynecol. 2012, 206, 21–30. [Google Scholar] [CrossRef]
- Prabhu, K.S.; Lei, X.G. Selenium. Adv. Nutr. 2016, 7, 415–417. [Google Scholar] [CrossRef]
- Moodley, R.; Kindness, A.; Jonnalagadda, S.B. Elemental composition and chemical characteristics of five edible nuts (almond, Brazil, pecan, macadamia and walnut) consumed in Southern Africa. J. Environ. Sci. Health. B 2007, 42, 585–591. [Google Scholar] [CrossRef]
- Worldwide trends in body-mass index, underweight, overweight, and obesity from 1975 to 2016: A pooled analysis of 2416 population-based measurement studies in 128·9 million children, adolescents, and adults. Lancet 2017, 390, 2627–2642. [CrossRef]
- Berryman, C.E.; West, S.G.; Fleming, J.A.; Bordi, P.L.; Kris-Etherton, P.M. Effects of daily almond consumption on cardiometabolic risk and abdominal adiposity in healthy adults with elevated LDL-cholesterol: A randomized controlled trial. J. Am. Heart Assoc. 2015, 4, e000993. [Google Scholar] [CrossRef]
- Jenkins, D.J.; Kendall, C.W.; Marchie, A.; Josse, A.R.; Nguyen, T.H.; Faulkner, D.A.; Lapsley, K.G.; Blumberg, J. Almonds reduce biomarkers of lipid peroxidation in older hyperlipidemic subjects. J. Nutr. 2008, 138, 908–913. [Google Scholar] [CrossRef]
- Li, S.C.; Liu, Y.H.; Liu, J.F.; Chang, W.H.; Chen, C.M.; Chen, C.Y. Almond consumption improved glycemic control and lipid profiles in patients with type 2 diabetes mellitus. Metabolism 2011, 60, 474–479. [Google Scholar] [CrossRef]
- Tan, S.Y.; Mattes, R.D. Appetitive, dietary and health effects of almonds consumed with meals or as snacks: A randomized, controlled trial. Eur. J. Clin. Nutr. 2013, 67, 1205–1214. [Google Scholar] [CrossRef] [PubMed]
- Tinkov, A.A.; Bogdański, P.; Skrypnik, D.; Skrypnik, K.; Skalny, A.V.; Aaseth, J.; Skalnaya, M.G.; Suliburska, J. Trace Element and Mineral Levels in Serum, Hair, and Urine of Obese Women in Relation to Body Composition, Blood Pressure, Lipid Profile, and Insulin Resistance. Biomolecules 2021, 11, 689. [Google Scholar] [CrossRef] [PubMed]
- Barreca, D.; Nabavi, S.M.; Sureda, A.; Rasekhian, M.; Raciti, R.; Silva, A.S.; Annunziata, G.; Arnone, A.; Tenore, G.C.; Süntar, İ.; et al. Almonds (Prunus dulcis Mill. D. A. Webb): A Source of Nutrients and Health-Promoting Compounds. Nutrients 2020, 12, 672. [Google Scholar] [CrossRef] [PubMed]
- Ruisinger, J.F.; Gibson, C.A.; Backes, J.M.; Smith, B.K.; Sullivan, D.K.; Moriarty, P.M.; Kris-Etherton, P. Statins and almonds to lower lipoproteins (the STALL Study). J. Clin. Lipidol. 2015, 9, 58–64. [Google Scholar] [CrossRef] [PubMed]
- Jamshed, H.; Sultan, F.A.; Iqbal, R.; Gilani, A.H. Dietary Almonds Increase Serum HDL Cholesterol in Coronary Artery Disease Patients in a Randomized Controlled Trial. J. Nutr. 2015, 145, 2287–2292. [Google Scholar] [CrossRef]
- Cominetti, C.; de Bortoli, M.C.; Purgatto, E.; Ong, T.P.; Moreno, F.S.; Garrido, A.B., Jr.; Cozzolino, S.M. Associations between glutathione peroxidase-1 Pro198Leu polymorphism, selenium status, and DNA damage levels in obese women after consumption of Brazil nuts. Nutrition 2011, 27, 891–896. [Google Scholar] [CrossRef]
- Huguenin, G.V.; Oliveira, G.M.; Moreira, A.S.; Saint’Pierre, T.D.; Gonçalves, R.A.; Pinheiro-Mulder, A.R.; Teodoro, A.J.; Luiz, R.R.; Rosa, G. Improvement of antioxidant status after Brazil nut intake in hypertensive and dyslipidemic subjects. Nutr. J. 2015, 14, 54. [Google Scholar] [CrossRef]
- Rayman, M.P. Selenium and human health. Lancet 2012, 379, 1256–1268. [Google Scholar] [CrossRef]
- Mah, E.; Schulz, J.A.; Kaden, V.N.; Lawless, A.L.; Rotor, J.; Mantilla, L.B.; Liska, D.J. Cashew consumption reduces total and LDL cholesterol: A randomized, crossover, controlled-feeding trial. Am. J. Clin. Nutr. 2017, 105, 1070–1078. [Google Scholar] [CrossRef]
- Jalali, M.; Karamizadeh, M.; Ferns, G.A.; Zare, M.; Moosavian, S.P.; Akbarzadeh, M. The effects of cashew nut intake on lipid profile and blood pressure: A systematic review and meta-analysis of randomized controlled trials. Complement. Ther. Med. 2020, 50, 102387. [Google Scholar] [CrossRef]
- Tey, S.L.; Gray, A.R.; Chisholm, A.W.; Delahunty, C.M.; Brown, R.C. The dose of hazelnuts influences acceptance and diet quality but not inflammatory markers and body composition in overweight and obese individuals. J. Nutr. 2013, 143, 1254–1262. [Google Scholar] [CrossRef]
- Garg, M.L.; Blake, R.J.; Wills, R.B. Macadamia nut consumption lowers plasma total and LDL cholesterol levels in hypercholesterolemic men. J. Nutr. 2003, 133, 1060–1063. [Google Scholar] [CrossRef]
- Garg, M.L.; Blake, R.J.; Wills, R.B.; Clayton, E.H. Macadamia nut consumption modulates favourably risk factors for coronary artery disease in hypercholesterolemic subjects. Lipids 2007, 42, 583–587. [Google Scholar] [CrossRef] [PubMed]
- Alves, R.D.; Moreira, A.P.; Macedo, V.S.; de Cássia Gonçalves Alfenas, R.; Bressan, J.; Mattes, R.; Costa, N.M. Regular intake of high-oleic peanuts improves fat oxidation and body composition in overweight/obese men pursuing a energy-restricted diet. Obesity 2014, 22, 1422–1429. [Google Scholar] [CrossRef] [PubMed]
- Duarte Moreira Alves, R.; Boroni Moreira, A.P.; Silva Macedo, V.; Brunoro Costa, N.M.; Gonçalves Alfenas Rde, C.; Bressan, J. High-oleic peanuts increase diet-induced thermogenesis in overweight and obese men. Nutr. Hosp. 2014, 29, 1024–1032. [Google Scholar] [CrossRef] [PubMed]
- Reis, C.E.; Bordalo, L.A.; Rocha, A.L.; Freitas, D.M.; da Silva, M.V.; de Faria, V.C.; Martino, H.S.; Costa, N.M.; Alfenas, R.C. Ground roasted peanuts leads to a lower post-prandial glycemic response than raw peanuts. Nutr. Hosp. 2011, 26, 745–751. [Google Scholar] [CrossRef] [PubMed]
- Wien, M.; Oda, K.; Sabaté, J. A randomized controlled trial to evaluate the effect of incorporating peanuts into an American Diabetes Association meal plan on the nutrient profile of the total diet and cardiometabolic parameters of adults with type 2 diabetes. Nutr. J. 2014, 13, 10. [Google Scholar] [CrossRef]
- Reis, C.E.; Ribeiro, D.N.; Costa, N.M.; Bressan, J.; Alfenas, R.C.; Mattes, R.D. Acute and second-meal effects of peanuts on glycaemic response and appetite in obese women with high type 2 diabetes risk: A randomised cross-over clinical trial. Br. J. Nutr. 2013, 109, 2015–2023. [Google Scholar] [CrossRef] [PubMed]
- Morgan, W.A.; Clayshulte, B.J. Pecans Lower Low Density Lipoprotein Cholesterol in People with Normal Lipid Levels. J. Am. Diet. Assoc. 2000, 100, 312–318. [Google Scholar] [CrossRef]
- Rajaram, S.; Burke, K.; Connell, B.; Myint, T.; Sabaté, J. A monounsaturated fatty acid-rich pecan-enriched diet favorably alters the serum lipid profile of healthy men and women. J. Nutr. 2001, 131, 2275–2279. [Google Scholar] [CrossRef]
- Lee, Y.J.; Nam, G.E.; Seo, J.A.; Yoon, T.; Seo, I.; Lee, J.H.; Im, D.; Bahn, K.-N.; Jeong, S.A.; Kang, T.S.; et al. Nut consumption has favorable effects on lipid profiles of Korean women with metabolic syndrome. Nutr. Res. 2014, 34, 814–820. [Google Scholar] [CrossRef]
- Jung, J.Y.; Park, S.K.; Oh, C.M.; Choi, J.M.; Ryoo, J.H.; Kim, J.; Kim, M.K. The association between metabolic syndrome and peanuts, pine nuts, almonds consumption: The Ansan and Ansung Study. Endocrine 2019, 65, 270–277. [Google Scholar] [CrossRef]
- Kasliwal, R.R.; Bansal, M.; Mehrotra, R.; Yeptho, K.P.; Trehan, N. Effect of pistachio nut consumption on endothelial function and arterial stiffness. Nutrition 2015, 31, 678–685. [Google Scholar] [CrossRef] [PubMed]
- Baer, D.J.; Gebauer, S.K.; Novotny, J.A. Measured energy value of pistachios in the human diet. Br. J. Nutr. 2012, 107, 120–125. [Google Scholar] [CrossRef] [PubMed]
- Hernández-Alonso, P.; Salas-Salvadó, J.; Baldrich-Mora, M.; Juanola-Falgarona, M.; Bulló, M. Beneficial effect of pistachio consumption on glucose metabolism, insulin resistance, inflammation, and related metabolic risk markers: A randomized clinical trial. Diabetes Care 2014, 37, 3098–3105. [Google Scholar] [CrossRef] [PubMed]
- Parham, M.; Heidari, S.; Khorramirad, A.; Hozoori, M.; Hosseinzadeh, F.; Bakhtyari, L.; Vafaeimanesh, J. Effects of pistachio nut supplementation on blood glucose in patients with type 2 diabetes: A randomized crossover trial. Rev. Diabet. Stud. 2014, 11, 190–196. [Google Scholar] [CrossRef] [PubMed]
- Sauder, K.A.; McCrea, C.E.; Ulbrecht, J.S.; Kris-Etherton, P.M.; West, S.G. Pistachio nut consumption modifies systemic hemodynamics, increases heart rate variability, and reduces ambulatory blood pressure in well-controlled type 2 diabetes: A randomized trial. J. Am. Heart Assoc. 2014, 3, e000873. [Google Scholar] [CrossRef]
- Gulati, S.; Misra, A.; Pandey, R.M.; Bhatt, S.P.; Saluja, S. Effects of pistachio nuts on body composition, metabolic, inflammatory and oxidative stress parameters in Asian Indians with metabolic syndrome: A 24-wk, randomized control trial. Nutrition 2014, 30, 192–197. [Google Scholar] [CrossRef]
- Katz, D.L.; Davidhi, A.; Ma, Y.; Kavak, Y.; Bifulco, L.; Njike, V.Y. Effects of walnuts on endothelial function in overweight adults with visceral obesity: A randomized, controlled, crossover trial. J. Am. Coll. Nutr. 2012, 31, 415–423. [Google Scholar] [CrossRef] [PubMed]
- Ma, Y.; Njike, V.Y.; Millet, J.; Dutta, S.; Doughty, K.; Treu, J.A.; Katz, D.L. Effects of walnut consumption on endothelial function in type 2 diabetic subjects: A randomized controlled crossover trial. Diabetes Care 2010, 33, 227–232. [Google Scholar] [CrossRef]
- Spaccarotella, K.J.; Kris-Etherton, P.M.; Stone, W.L.; Bagshaw, D.M.; Fishell, V.K.; West, S.G.; Lawrence, F.R.; Hartman, T.J. The effect of walnut intake on factors related to prostate and vascular health in older men. Nutr. J. 2008, 7, 13. [Google Scholar] [CrossRef]
- Souza, R.G.; Gomes, A.C.; Naves, M.M.; Mota, J.F. Nuts and legume seeds for cardiovascular risk reduction: Scientific evidence and mechanisms of action. Nutr. Rev. 2015, 73, 335–347. [Google Scholar] [CrossRef]
- Kranz, S.; Hill, A.M.; Fleming, J.A.; Hartman, T.J.; West, S.G.; Kris-Etherton, P.M. Nutrient displacement associated with walnut supplementation in men. J. Hum. Nutr. Diet. 2014, 27 (Suppl. 2), 247–254. [Google Scholar] [CrossRef] [PubMed]
- Torabian, S.; Haddad, E.; Rajaram, S.; Banta, J.; Sabaté, J. Acute effect of nut consumption on plasma total polyphenols, antioxidant capacity and lipid peroxidation. J. Hum. Nutr. Diet. 2009, 22, 64–71. [Google Scholar] [CrossRef]
- Campmajó, G.; Navarro, G.J.; Núñez, N.; Puignou, L.; Saurina, J.; Núñez, O. Non-Targeted HPLC-UV Fingerprinting as Chemical Descriptors for the Classification and Authentication of Nuts by Multivariate Chemometric Methods. Sensors 2019, 19, 1388. [Google Scholar] [CrossRef] [PubMed]
- Taylan, O.; Cebi, N.; Yilmaz, M.T.; Sagdic, O.; Ozdemir, D.; Balubaid, M. Rapid detection of green-pea adulteration in pistachio nuts using Raman spectroscopy and chemometrics. J. Sci. Food Agric. 2021, 101, 1699–1708. [Google Scholar] [CrossRef]
- Valasi, L.; Georgiadou, M.; Tarantilis, P.A.; Yanniotis, S.; Pappas, C.S. Rapid screening on aflatoxins’ presence in Pistachia vera nuts using diffuse reflectance infrared Fourier transform spectroscopy and chemometrics. J. Food Sci. Technol. 2021, 58, 356–365. [Google Scholar] [CrossRef] [PubMed]
- Kalogiouri, N.P.; Manousi, N.; Klaoudatos, D.; Spanos, T.; Topi, V.; Zachariadis, G.A. Rare Earths as Authenticity Markers for the Discrimination of Greek and Turkish Pistachios Using Elemental Metabolomics and Chemometrics. Foods 2021, 10, 349. [Google Scholar] [CrossRef] [PubMed]
- Kafaoğlu, B.; Fisher, A.; Hill, S.; Kara, D. Chemometric evaluation of trace metal concentrations in some nuts and seeds. Food Addit. Contam. Part A Chem. Anal. Control. Expo. Risk Assess. 2014, 31, 1529–1538. [Google Scholar] [CrossRef]
- Witkowska, A.M.; Waśkiewicz, A.; Zujko, M.E.; Szcześniewska, D.; Śmigielski, W.; Stepaniak, U.; Pająk, A.; Drygas, W. The Consumption of Nuts is Associated with Better Dietary and Lifestyle Patterns in Polish Adults: Results of WOBASZ and WOBASZ II Surveys. Nutrients 2019, 11, 1410. [Google Scholar] [CrossRef]
- Tošić, S.B.; Mitić, S.S.; Velimirović, D.S.; Stojanović, G.S.; Pavlović, A.N.; Pecev-Marinković, E.T. Elemental composition of edible nuts: Fast optimization and validation procedure of an ICP-OES method. J. Sci. Food Agric. 2015, 95, 2271–2278. [Google Scholar] [CrossRef] [PubMed]
- Amorello, D.; Orecchio, S.; Pace, A.; Barreca, S. Discrimination of almonds (Prunus dulcis) geographical origin by minerals and fatty acids profiling. Nat. Prod. Res. 2016, 30, 2107–2110. [Google Scholar] [CrossRef]
- Bai, S.H.; Brooks, P.; Gama, R.; Nevenimo, T.; Hannet, G.; Hannet, D.; Randall, B.; Walton, D.; Grant, E.; Wallace, H.M. Nutritional quality of almond, canarium, cashew and pistachio and their oil photooxidative stability. J. Food Sci. Technol. 2019, 56, 792–798. [Google Scholar] [CrossRef] [PubMed]
- Ros, E.; Singh, A.; O’Keefe, J.H. Nuts: Natural Pleiotropic Nutraceuticals. Nutrients 2021, 13, 3269. [Google Scholar] [CrossRef] [PubMed]
- Drogoudi, P.D.; Pantelidis, G.; Bacchetta, L.; De Giorgio, D.; Duval, H.; Metzidakis, I.; Spera, D. Protein and mineral nutrient contents in kernels from 72 sweet almond cultivars and accessions grown in France, Greece and Italy. Int. J. Food Sci. Nutr. 2013, 64, 202–209. [Google Scholar] [CrossRef]
- Łoźna, K.; Styczyńska, M.; Hyla, J.; Bienkiewicz, M.; Figurska-Ciura, D.; Biernat, J.; Bronkowska, M. Mineral composition of tree nuts and seeds. J. Elem. 2020, 25, 745–756. [Google Scholar] [CrossRef]
- Suliburska, J.; Krejpcio, Z. Evaluation of the content and bioaccessibility of iron, zinc, calcium and magnesium from groats, rice, leguminous grains and nuts. J. Food Sci. Technol. 2014, 51, 589–594. [Google Scholar] [CrossRef]
- Cardoso, B.R.; Duarte, G.B.S.; Reis, B.Z.; Cozzolino, S.M.F. Brazil nuts: Nutritional composition, health benefits and safety aspects. Food Res. Int. 2017, 100, 9–18. [Google Scholar] [CrossRef]
- U.S. Department of Agriculture. USDA National Nutrient Database for Standard Reference; US Department of Agriculture: Washington, DC, USA, 2016. [Google Scholar]
- Liu, B.; Liang, J.; Zhao, D.; Wang, K.; Jia, M.; Wang, J. Morphological and Compositional Analysis of Two Walnut (Juglans regia L.) Cultivars Growing in China. Plant Foods Hum. Nutr. 2020, 75, 116–123. [Google Scholar] [CrossRef]
- Juranović Cindrić, I.; Zeiner, M.; Hlebec, D. Mineral Composition of Elements in Walnuts and Walnut Oils. Int. J. Environ. Res. Public Health 2018, 15, 2674. [Google Scholar] [CrossRef]
- Lima, L.W.; Stonehouse, G.C.; Walters, C.; Mehdawi, A.F.E.; Fakra, S.C.; Pilon-Smits, E.A.H. Selenium Accumulation, Speciation and Localization in Brazil Nuts (Bertholletia excelsa H.B.K.). Plants 2019, 8, 289. [Google Scholar] [CrossRef] [PubMed]
- Yin, L.L.; Tian, Q.; Shao, X.Z.; Kong, X.Y.; Ji, Y.Q. Determination of Trace Elements in Edible Nuts in the Beijing Market by ICP-M. Biomed. Environ. Sci. 2015, 28, 449–454. [Google Scholar] [CrossRef] [PubMed]
- Silva Junior, E.C.; Wadt, L.H.O.; Silva, K.E.; Lima, R.M.B.; Batista, K.D.; Guedes, M.C.; Carvalho, G.S.; Carvalho, T.S.; Reis, A.R.; Lopes, G.; et al. Natural variation of selenium in Brazil nuts and soils from the Amazon region. Chemosphere 2017, 188, 650–658. [Google Scholar] [CrossRef] [PubMed]
- Harangozo, Ľ.; Šnirc, M.; Árvay, J.; Jakabová, S.; Čéryová, S. Biogenic and Risk Elements in Walnuts (Juglans regia L.) from Chosen Localities of Slovakia. Biol. Trace. Elem. Res. 2021, 199, 2047–2056. [Google Scholar] [CrossRef] [PubMed]



| Type (Sign) | n | A.V. ± SD | Med. significance relative to signed types in the first column | Min.–Max. | Q1–Q3 |
|---|---|---|---|---|---|
| Ca (mg/kg) | |||||
| Almonds (1) | 12 | 3099 ± 1210 | 2826 *7,#3,5,6,8 | 948–5407 | 2428–3836 |
| Brazil nuts (2) | 12 | 2108 ± 670 | 2166 #3,5,6,8 | 953–3087 | 1642–2590 |
| Cashews (3) | 12 | 511 ± 192 | 501 *9,‡4,#1,2 | 225–851 | 369–625 |
| Hazelnuts (4) | 12 | 1749 ± 756 | 1536 ‡3,6,#5,8 | 1163–3923 | 1323–1828 |
| Macadamia nuts (5) | 12 | 462 ± 185 | 460 #1,2,4,9 | 229–853 | 333–520 |
| Peanuts (6) | 12 | 509 ± 192 | 582 ‡4,#1,2,*9 | 195–775 | 293–618 |
| Pecans (7) | 12 | 873 ± 240 | 842 *1,8 | 449–1319 | 720–1051 |
| Pine nuts (8) | 12 | 144 ± 44 | 145 *7,#1,2,4,9,10 | 76–202 | 110–185 |
| Pistachio nuts (9) | 12 | 1413 ± 450 | 1393 *3,5,6,#8 | 862–2374 | 1045–1622 |
| Walnuts (10) | 12 | 1121 ± 229 | 1076 #8 | 751–1447 | 969–1348 |
| K (mg/kg) | |||||
| Almonds (1) | 12 | 10,205 ± 954 | 10,163 #5,‡7 | 9170–12,805 | 9607–10,398 |
| Brazil nuts (2) | 12 | 8124 ± 1951 | 7990 #9 | 5509–12,107 | 6841–8919 |
| Cashews (3) | 12 | 8838 ± 1478 | 8838 ‡5,*9 | 5894–10,837 | 8298–10,078 |
| Hazelnuts (4) | 12 | 10,545 ± 2438 | 10,276 #5,‡7 | 8021–17,506 | 9393–10,558 |
| Macadamia nuts (5) | 12 | 4630 ± 527 | 4592 *6,‡3,#1,4,8,9 | 3900–5789 | 4264–4805 |
| Peanuts (6) | 12 | 8582 ± 601 | 8584 *5,‡9 | 7024–9483 | 8459–8931 |
| Pecans (7) | 12 | 6219 ± 2364 | 5691 ‡1,4,#8,9 | 4445–13,455 | 5227–6219 |
| Pine nuts (8) | 12 | 10,607 ± 1137 | 10,607 #5,7,*10 | 8766–12,067 | 9753–11,830 |
| Pistachio nuts (9) | 12 | 15,627 ± 1806 | 15,731 *3,‡6,#2,5,7,10 | 10,512–17,968 | 15,627–16,379 |
| Walnuts (10) | 12 | 7364 ± 756 | 7364 *8,#9 | 5814–9065 | 7257–7614 |
| Mg (mg/kg) | |||||
| Almonds (1) | 12 | 5424 ± 831 | 5359 *5,7,#9 | 4196–7647 | 5005–5608 |
| Brazil nuts (2) | 12 | 11,802 ± 3731 | 10,509 #4,5,6,7,9,10 | 8221–20,474 | 9124–13,449 |
| Cashews (3) | 12 | 7086 ± 1891 | 7281 *10,#5,7,9 | 3699–9394 | 6037–8847 |
| Hazelnuts (4) | 12 | 3349 ± 1427 | 2571 #2 | 2106–6358 | 2409–4186 |
| Macadamia nuts (5) | 12 | 2092 ± 849 | 2044 *1,8,#2,3 | 660–3882 | 1728–2345 |
| Peanuts (6) | 12 | 4324 ± 1274 | 4049 *2,9 | 2612–6282 | 3295–5488 |
| Pecans (7) | 12 | 2427 ± 1519 | 1993 *1,#2,3 | 77–5973 | 1691–3170 |
| Pine nuts (8) | 12 | 5515 ± 1872 | 5346 *5,#9 | 2448–8050 | 3967–7327 |
| Pistachio nuts (9) | 12 | 1514 ± 687 | 1463 *6,#1,2,3,8 | 214–2884 | 1088–1908 |
| Walnuts (10) | 12 | 2954 ± 1376 | 2772 *3,‡2 | 1115–5375 | 1819–3763 |
| Se (μg/kg) | |||||
| Almonds (1) | 12 | 36 ± 19 | 37 *10,‡5,9,#2,3 | 8–63 | 21–51 |
| Brazil nuts (2) | 12 | 4566 ± 3394 | 4349 *6,#1,4,7,8 | 126–9390 | 1666–7290 |
| Cashews (3) | 12 | 669 ± 716 | 354 #1,4 | 85–2174 | 124–875 |
| Hazelnuts (4) | 12 | 50 ± 31 | 46 *5,9,#2,3 | 14–120 | 26–69 |
| Macadamia nuts (5) | 12 | 372 ± 314 | 350 *4,‡1 | 17–1069 | 96–572 |
| Peanuts (6) | 12 | 161 ± 109 | 164 *2 | 17–416 | 80–203 |
| Pecans (7) | 12 | 101 ± 86 | 80 #2 | 21–336 | 44–129 |
| Pine nuts (8) | 12 | 82 ± 43 | 77 #2 | 39–205 | 56–84 |
| Pistachio nuts (9) | 12 | 294 ± 328 | 165 *4,‡1 | 111–1284 | 126–282 |
| Walnuts (10) | 12 | 145 ± 36 | 151 *1 | 88–186 | 120–178 |
| Zn (mg/kg) | |||||
| Almonds (1) | 12 | 42 ± 8 | 42 ‡5 | 32–63 | 36–45 |
| Brazil nuts (2) | 12 | 61 ± 9 | 62 ‡4,10,#5,9 | 48–74 | 54–69 |
| Cashews (3) | 12 | 70 ± 10 | 67 #4,5,9,10 | 56–91 | 64–74 |
| Hazelnuts (4) | 12 | 27 ± 6 | 27 *7,‡2,#3,8 | 18–34 | 22–32 |
| Macadamia nuts (5) | 12 | 16 ± 4 | 16 *6,‡1,#2,3,7,8 | 10–24 | 14–19 |
| Peanuts (6) | 12 | 39 ± 5 | 39 *5 | 30–46 | 35–43 |
| Pecans (7) | 12 | 53 ± 18 | 50 *4,#5,9 | 31–82 | 38–71 |
| Pine nuts (8) | 12 | 79 ± 22 | 72 #4,5,9,10 | 44–112 | 70–98 |
| Pistachio nuts (9) | 12 | 22 ± 6 | 22 ‡7,#2,3,8 | 13–31 | 19–26 |
| Walnuts (10) | 12 | 28 ± 6 | 28 ‡2,#3,8 | 20–40 | 24–31 |
| Type | A.V. ± SD | Med. | Min.–Max. | Q1–Q3 | %RDA F | %RDA M | %RVI | INQ F | INQ M |
|---|---|---|---|---|---|---|---|---|---|
| Ca (mg/kg) | |||||||||
| Almonds | 130.2 ± 50.8 | 118.7 | 39.8–227.1 | 102.0–161.1 | 13.0 | 16 | 1.1 | 1.3 | |
| Brazil nuts | 88.5 ± 28.1 | 91.0 | 40.0–129.7 | 69.0–108.8 | 8.9 | 11 | 0.7 | 0.8 | |
| Cashews | 21.5 ± 8.1 | 21.0 | 9.4–35.7 | 15.5–26.3 | 2.1 | 3 | 0.2 | 0.2 | |
| Hazelnuts | 73.5 ± 31.8 | 64.5 | 48.9–164.8 | 55.6–76.8 | 7.3 | 9 | 0.6 | 0.7 | |
| Macadamia nuts | 19.4 ± 7.8 | 19.3 | 9.6–35.8 | 14.0–21.8 | 1.9 | 2 | 0.1 | 0.2 | |
| Peanuts | 21.4 ± 8.1 | 24.5 | 8.2–32.6 | 12.3–25.9 | 2.1 | 3 | 0.2 | 0.2 | |
| Pecans | 36.7 ± 10.1 | 35.4 | 18.9–55.4 | 30.2–44.1 | 3.7 | 5 | 0.3 | 0.3 | |
| Pine nuts | 6.1 ± 1.8 | 6.1 | 3.2–8.5 | 4.6–7.8 | 0.6 | 1 | 0.0 | 0.1 | |
| Pistachio nuts | 59.4 ± 18.9 | 58.5 | 36.2–99.7 | 43.9–68.1 | 5.9 | 7 | 0.5 | 0.6 | |
| Walnuts | 47.1 ± 9.6 | 45.2 | 31.5–60.8 | 40.7–56.6 | 4.7 | 6 | 0.4 | 0.4 | |
| K (mg/kg) | |||||||||
| Almonds | 428.6 ± 40.1 | 426.9 | 385.1–537.8 | 403.5–436.7 | 12.2 | 21 | 1.0 | 1.3 | |
| Brazil nuts | 341.2 ± 82.0 | 335.6 | 231.4–508.5 | 287.3–374.6 | 9.7 | 17 | 0.7 | 0.9 | |
| Cashews | 371.2 ± 62.1 | 371.2 | 247.5–455.2 | 348.5–423.3 | 10.6 | 19 | 1.0 | 1.2 | |
| Hazelnuts | 442.9 ± 102.4 | 431.6 | 336.9–735.3 | 394.5–443.4 | 12.7 | 22 | 1.0 | 1.2 | |
| Macadamia nuts | 194.5 ± 22.2 | 192.8 | 163.8–243.1 | 179.1–201.8 | 5.6 | 10 | 0.4 | 0.5 | |
| Peanuts | 360.4 ± 25.3 | 360.5 | 295.0–398.3 | 355.3–375.1 | 10.3 | 18 | 0.8 | 1.0 | |
| Pecans | 261.2 ± 99.3 | 239.0 | 186.7–565.1 | 219.5–261.2 | 7.5 | 13 | 0.7 | 0.8 | |
| Pine nuts | 445.5 ± 47.8 | 445.5 | 368.2–506.8 | 409.6–496.9 | 12.7 | 22 | 0.9 | 1.1 | |
| Pistachio nuts | 656.3 ± 75.9 | 660.7 | 441.5–754.7 | 656.3–687.9 | 18.8 | 33 | 1.5 | 1.9 | |
| Walnuts | 309.3 ± 30.4 | 309.3 | 244.2–380.7 | 305.4–318.0 | 8.8 | 15 | 0.7 | 0.8 | |
| Mg (mg/kg) | |||||||||
| Almonds | 227.8 ± 34.9 | 225.1 | 176.2–321.2 | 210.2–235.5 | 73.5 | 57.0 | 61 | 6.1 | 5.8 |
| Brazil nuts | 495.7 ± 156.7 | 441.4 | 345.3–859.9 | 383.2–564.8 | 159.9 | 123.9 | 132 | 12.2 | 11.7 |
| Cashews | 297.6 ± 79.4 | 305.8 | 155.3–394.5 | 253.5–371.6 | 96.0 | 74.4 | 79 | 8.7 | 8.3 |
| Hazelnuts | 140.7 ± 59.9 | 108.0 | 88.4–267.1 | 101.2–175.8 | 45.4 | 35.2 | 38 | 3.4 | 3.3 |
| Macadamia nuts | 87.9 ± 35.7 | 85.8 | 27.7–163.0 | 72.6–98.5 | 28.3 | 22.0 | 23 | 2.0 | 1.9 |
| Peanuts | 181.6 ± 53.5 | 170.1 | 109.7–263.8 | 138.4–230.5 | 58.6 | 45.4 | 48 | 4.8 | 4.6 |
| Pecans | 101.9 ± 63.8 | 83.7 | 3.2–250.8 | 71.0–133.1 | 32.9 | 25.5 | 27 | 2.4 | 2.3 |
| Pine nuts | 231.6 ± 78.6 | 224.5 | 102.8–338.1 | 166.6–307.7 | 74.7 | 57.9 | 62 | 5.4 | 5.2 |
| Pistachio nuts | 63.6 ± 28.8 | 61.5 | 9.0–121.1 | 45.7–80.1 | 20.5 | 15.9 | 17 | 1.7 | 1.6 |
| Walnuts | 124.1 ± 57.8 | 116.4 | 46.8–225.8 | 76.4–158.0 | 40.0 | 31.0 | 33 | 3.0 | 2.9 |
| Se (µg/kg) | |||||||||
| Almonds | 1.5 ± 0.8 | 1.5 | 0.3–2.7 | 0.9–2.2 | 2.8 | 3 | 0.3 | 2.2 | |
| Brazil nuts | 191.8 ± 142.6 | 182.6 | 5.3–394.4 | 70.0–306.2 | 348.7 | 349 | 26.6 | 32.9 | |
| Cashews | 28.1 ± 30.1 | 14.9 | 3.6–91.3 | 5.2–36.7 | 51.1 | 51 | 4.6 | 5.7 | |
| Hazelnuts | 2.1 ± 1.3 | 1.9 | 0.6–5.0 | 1.1–2.9 | 3.8 | 4 | 0.3 | 0.4 | |
| Macadamia nuts | 15.6 ± 13.2 | 14.7 | 0.7–44.9 | 4.0–24.0 | 28.4 | 28 | 2.0 | 2.4 | |
| Peanuts | 6.8 ± 4.6 | 6.9 | 0.7–17.4 | 3.4–8.5 | 12.3 | 12 | 1.0 | 1.3 | |
| Pecans | 4.2 ± 3.6 | 3.4 | 0.9–14.1 | 1.8–5.4 | 7.7 | 8 | 0.6 | 0.7 | |
| Pine nuts | 3.4 ± 1.8 | 3.2 | 1.6–8.6 | 2.4–3.5 | 6.2 | 6 | 0.5 | 0.6 | |
| Pistachio nuts | 12.3 ± 13.8 | 6.9 | 4.6–53.9 | 5.3–11.9 | 22.4 | 22 | 1.8 | 2.2 | |
| Walnuts | 6.1 ± 1.5 | 6.3 | 3.7–7.8 | 5.0–7.5 | 11.0 | 11 | 0.8 | 1.0 | |
| Zn (mg/kg) | |||||||||
| Almonds | 1.8 ± 0.4 | 1.7 | 1.3–2.6 | 1.5–1.9 | 22.2 | 16.1 | 18 | 1.8 | 1.7 |
| Brazil nuts | 2.6 ± 0.4 | 2.6 | 2.0–3.1 | 2.3–2.9 | 32.2 | 23.4 | 26 | 2.5 | 2.2 |
| Cashews | 2.9 ± 0.4 | 2.8 | 2.3–3.8 | 2.7–3.1 | 36.8 | 26.7 | 29 | 3.3 | 3.0 |
| Hazelnuts | 1.1 ± 0.2 | 1.1 | 0.8–1.4 | 0.9–1.3 | 14.1 | 10.2 | 11 | 1.1 | 1.0 |
| Macadamia nuts | 0.7 ± 0.2 | 0.7 | 0.4–1.0 | 0.6–0.8 | 8.5 | 6.2 | 7 | 0.6 | 0.5 |
| Peanuts | 1.6 ± 0.2 | 1.6 | 1.3–1.9 | 1.5–1.8 | 20.2 | 14.7 | 16 | 1.7 | 1.5 |
| Pecans | 2.2 ± 0.8 | 2.0 | 1.3–3.5 | 1.6–3.0 | 28.0 | 20.4 | 22 | 2.0 | 1.8 |
| Pine nuts | 3.3 ± 0.9 | 3.0 | 1.9–4.7 | 2.9–4.1 | 41.3 | 30.0 | 33 | 3.0 | 2.7 |
| Pistachio nuts | 0.9 ± 0.2 | 0.9 | 0.5–1.3 | 0.8–1.1 | 11.5 | 8.3 | 9 | 0.9 | 0.8 |
| Walnuts | 1.2 ± 0.3 | 1.2 | 0.8–1.7 | 1.0–1.3 | 14.8 | 10.8 | 12 | 1.1 | 1.0 |
| Type | Ca | Mg | Se | Zn | ||
|---|---|---|---|---|---|---|
| F | M | F | M | |||
| Almonds | 322.7 | 57.2 | 73.7 | 1524.8 | 189.4 | 260.4 |
| Brazil nuts | 474.4 | 26.3 | 33.9 | 12.0 | 130.4 | 179.3 |
| Cashews | 1956.7 | 43.7 | 56.4 | 82.2 | 114.2 | 157.1 |
| Hazelnuts | 571.6 | 92.6 | 119.4 | 1103.0 | 298.1 | 409.9 |
| Macadamia nuts | 2162.9 | 148.2 | 191.2 | 147.9 | 492.3 | 677.0 |
| Peanuts | 1966.3 | 71.7 | 92.5 | 341.0 | 207.7 | 285.6 |
| Pecans | 1145.2 | 127.7 | 164.8 | 546.2 | 149.9 | 206.1 |
| Pine nuts | 6940.6 | 56.2 | 72.5 | 673.2 | 101.8 | 140.0 |
| Pistachio nuts | 707.6 | 204.8 | 264.2 | 187.3 | 365.8 | 503.0 |
| Walnuts | 891.9 | 104.9 | 135.4 | 380.2 | 283.2 | 389.4 |
| Nuts | Variables | r | p-Value |
|---|---|---|---|
| Almonds (n = 12) | Mg & K | 0.61 | <0.05 |
| Brazil nuts (n = 12) | Ca & Zn | 0.61 | <0.05 |
| Cashews (n = 12) | Mg & K | 0.64 | <0.05 |
| Pecans (n = 12) | Ca & Zn | 0.62 | <0.05 |
| Pecans (n = 12) | Zn & K | 0.62 | <0.05 |
| Pine nuts (n = 12) | Mg & Zn | 0.68 | <0.05 |
| Pistachio nuts (n = 12) | Mg & Zn | 0.59 | <0.05 |
| Total (n = 120) | Ca & K | 0.20 | <0.05 |
| Total (n = 120) | Mg & Zn | 0.64 | <0.001 |
| Type | Med. | L.V.: Med. | A.V. ± SD | L.V.: A.V. ± SD (Min.–Max.) |
|---|---|---|---|---|
| Ca (mg/kg) | ||||
| Almonds | 2825.8 | nd | 3099.1 ± 1210.4 | 1491 ± 41 [67]; 1506 ± 23 [67]; 2096 (154–5686) [68]; 2200 ± 100 [69]; 2690 [70]; 3450 (160–6630) [71] |
| Brazil nuts | 2166.3 | 1887 [72] | 2107.8 ± 670.0 | 1338 ± 51 [67]; 1461 ± 43 [67]; 1600 [70]; 1703 ± 46.1 [73], 2568 (4–7433) [74] |
| Cashews | 500.7 | 516 [72] | 511.1 ± 192.1 | 250 ± 30 [69]; 251 ± 18.5 [73]; 450 [70]; 700.2 ± 14.5 [67]; 706.4 ± 24.6 [67] |
| Hazelnuts | 1535.6 | 1327 [72] | 1749.4 ± 756.3 | 1140 [70]; 1324 ± 43.2 [73]; 1483 ± 6 [67]; 1466 ± 19 [3] |
| Macadamia nuts | 459.8 | 614 [72] | 462.4 ± 185.2 | 700 [70]; 850 [75] |
| Peanuts | 582.4 | 726 [72] | 508.6 ± 192.0 | 632.5 ± 7.8 [67]; 639.8 ± 9.3 [67]; 920 [70] |
| Pecans | 841.8 | nd | 873.3 ± 240.1 | 700 [70]; 2088 ± 33 [22] |
| Pine nuts | 145.3 | 286 [72] | 144.1 ± 43.9 | 160 [70] |
| Pistachio nuts | 1392.6 | 1140 [72] | 1413.2 ± 450.4 | 1000 ± 40 [69]; 1040 [70]; 1279 ± 12 [67]; 1301 ± 29 [67] |
| Walnuts | 1075.9 | 927 [72] | 1121.2 ± 228.6 | 640 ± 140 [76]; 731 ± 32.2 [73]; 810 ± 80 [76]; 980 [75]; 1062 (866–1435) [77]; 1121 ± 12 [67]; 1146 ± 23 [67] |
| K (mg/kg) | ||||
| Almonds | 10,163.3 | nd | 10,204.5 ± 953.6 | 6500 ± 200 [69]; 6910 (4650–12,350) [71]; 7330 [70] |
| Brazil nuts | 7990.3 | nd | 8123.6 ± 1951.1 | 6066 ± 252 [72]; 6590 [70]; 6900 ± 1600 [78]; |
| Cashews | 8838.3 | nd | 8838.3 ± 1477.9 | 5700 ± 200 [69]; 5650 [70]; 6473 ± 664 [72]; |
| Hazelnuts | 10,276.0 | nd | 10,545.1 ± 2437.7 | 6800 [70]; 7060 ± 313 [72]; |
| Macadamia nuts | 4591.7 | nd | 4630.3 ± 527.4 | 3545 ± 188 [72]; 3630 [70] |
| Peanuts | 8583.8 | nd | 8581.5 ± 601.2 | 7050 [70]; 7406 ± 241 [72]; |
| Pecans | 5690.5 | nd | 6218.7 ± 2364.3 | 4100 [70] |
| Pine nuts | 10,606.5 | nd | 10,607.0 ± 1137.0 | 5970 [70]; 7684 ± 1601 [72]; |
| Pistachio nuts | 15,730.5 | nd | 15,626.5 ± 1805.9 | 9770 [70]; 10,100 ± 200 [69] |
| Walnuts | 7363.6 | nd | 7364.1 ± 756.4 | 2771 (2006–3221) [77]; 3750 ± 220 [76]; 4410 [70]; 6139 ± 838 [72] |
| Mg (mg/kg) | ||||
| Almonds | 5358.8 | nd | 5424.3 ± 831.2 | 2360 (1590–3340) [71]; 2477 ± 41 [67]; 2500 ± 40 [69]; 2554 ± 27 [67]; 2650 (197–5286) [68]; 5424 ± 52 [22] |
| Brazil nuts | 10,509.2 | 5307 [72] | 11,801.8 ± 3731.3 | 2212 ± 64 [73]; 2869 ± 19 [67]; 2957 ± 23 [67]; 3935 (4–9679) [74]; 9679 ± 69 [22] |
| Cashews | 7281.0 | 1755 [72] | 7086.3 ± 1890.5 | 1957 ± 37.4 [73]; 2000 ± 50 [69]; 2297 ± 26 [67]; 2444 ± 33 [67] |
| Hazelnuts | 2571.1 | 807 [72] | 3349.4 ± 1426.5 | 1400 ± 53.3 [73]; 1497 ± 23 [67]; 1524 ± 12 [67]; 1630 |
| Macadamia nuts | 2043.6 | 532 [72] | 2092.4 ± 849.1 | 1180; 1300 [75]; 4887 ± 24 [22] |
| Peanuts | 4049.2 | 1284 [72] | 4323.8 ± 1273.8 | 1680; 2036 ± 23 [67]; 2079 ± 37 [67] |
| Pecans | 1993.1 | nd | 2427.1 ± 1519.3 | 1210; 4197 ± 61 [22] |
| Pine nuts | 5345.8 | 1659 [72] | 5514.6 ± 1871.5 | 2510 |
| Pistachio nuts | 1463.3 | 631 [72] | 1513.9 ± 686.8 | 1000 ± 30 [69]; 1757 ± 29 [67]; 1893 ± 19 [67] |
| Walnuts | 2772.0 | 874 [72] | 2954.0 ± 1375.8 | 570 ± 120 [76]; 720 ± 150 [76]; 1401 ± 41.7 [73]; 1426 (875–1824) [77]; 1557 ± 31 [3]; 1580 [75]; 1592 ± 7 [67] |
| Se (µg/kg) | ||||
| Almonds | 36.8 | nd | 36.1 ± 18.8 | 570 ± 180 [79]; 765.1 ± 86.3 [67]; 796.7 ± 91.3 [67] |
| Brazil nuts | 4348.7 | nd | 4566.2 ± 3394.0 | 763.5 ± 66.8 [67]; 806.1 ± 53.7 [67]; (2070–68,150) [80] |
| Cashews | 353.9 | nd | 668.9 ± 716.1 | 922.0 ± 88.6 [67]; 937.2 ± 62.1 [67] |
| Hazelnuts | 45.8 | nd | 49.9 ± 31.0 | 723.3 ± 52.1 [67]; 742.6 ± 90.1 [67] |
| Macadamia nuts | 349.9 | nd | 371.9 ± 313.9 | nd |
| Peanuts | 163.9 | nd | 161.3 ± 109.1 | 712.2 ± 73.2 [67]; 738.7 ± 89.2 [67] |
| Pecans | 80.3 | nd | 100.7 ± 85.6 | nd |
| Pine nuts | 76.5 | nd | 81.7 ± 42.7 | nd |
| Pistachio nuts | 164.9 | nd | 293.7 ± 328.4 | 160 ± 160 [79]; 658.3 ± 85.2 [67]; 752.4 ± 73.1 [67] |
| Walnuts | 150.5 | nd | 144.7 ± 35.7 | 194 (77–301) [77]; 892.3 ± 73.1 [67]; 979.1 ± 92.2 [67] |
| Zn (mg/kg) | ||||
| Almonds | 42.0 | nd | 42.2 ± 8.3 | 24 ± 4.0 [79]; 34.1 ± 1.0 [69]; 45.38 ± 0.08 [67]; 46.71 ± 0.12 [67]; 50 ± 0.09 [22] |
| Brazil nuts | 61.6 | 61.6 [72] | 61.3 ± 8.6 | 24 ± 1.1 [73]; 35.22 ± 0.35 [67]; 36.71 ± 0.16 [67]; 47 (6–110) [74] |
| Cashews | 67.2 | 76.2 [72] | 70.0 ± 10.2 | 30 ± 2.4 [73]; 41 ± 12 [79]; 42.1 ± 0.4 [69]; 58.29 ± 0.44 [67]; 59.33 ± 0.72 [67] |
| Hazelnuts | 27.1 | 49.0 [72] | 26.8 ± 5.5 | 15 ± 0.2 [73]; 15 ± 0.82 [79]; 34.43 ± 0.10 [67]; 36.01 ± 0.61 [67] |
| Macadamia nuts | 15.7 | 37.4 [72] | 16.2 ± 4.1 | 8.6 ± 1.5 [79]; 13 [75]; 39 ± 0.7 [22] |
| Peanuts | 38.9 | 65.2 [72] | 38.5 ± 4.9 | 41.02 ± 0.67 [67]; 43.63 ± 0.22 [67] |
| Pecans | 49.6 | nd | 53.4 ± 18.1 | 138 ± 0.40 [22] |
| Pine nuts | 72.4 | 79.7 [72] | 78.6 ± 22.0 | 38 ± 8.6 [79] |
| Pistachio nuts | 21.5 | 46.2 [72] | 21.9 ± 5.5 | 15 ± 3.3 [79]; 23.8 ± 0.9 [69]; 33.99 ± 0.67 [67]; 34.61 ± 0.12 [67] |
| Walnuts | 28.4 | 51.0 [72] | 28.3 ± 6.0 | 18 ± 0.3 [73]; 20 ± 1.1 [79]; 24.0 (20.3–32.8) [77]; 24.90 ± 3.34 [76]; 26.70 ± 3.89 [81]; 30.9 [75]; 31.46 ± 3.44 [76]; 34.91 ± 0.11 [67]; 36.27 ± 0.76 [67] |
Publisher’s Note: MDPI stays neutral with regard to jurisdictional claims in published maps and institutional affiliations. |
© 2022 by the authors. Licensee MDPI, Basel, Switzerland. This article is an open access article distributed under the terms and conditions of the Creative Commons Attribution (CC BY) license (https://creativecommons.org/licenses/by/4.0/).
Share and Cite
Markiewicz-Żukowska, R.; Puścion-Jakubik, A.; Grabia, M.; Perkowski, J.; Nowakowski, P.; Bielecka, J.; Soroczyńska, J.; Kańgowski, G.; Bołtryk, J.M.; Socha, K. Nuts as a Dietary Enrichment with Selected Minerals—Content Assessment Supported by Chemometric Analysis. Foods 2022, 11, 3152. https://doi.org/10.3390/foods11203152
Markiewicz-Żukowska R, Puścion-Jakubik A, Grabia M, Perkowski J, Nowakowski P, Bielecka J, Soroczyńska J, Kańgowski G, Bołtryk JM, Socha K. Nuts as a Dietary Enrichment with Selected Minerals—Content Assessment Supported by Chemometric Analysis. Foods. 2022; 11(20):3152. https://doi.org/10.3390/foods11203152
Chicago/Turabian StyleMarkiewicz-Żukowska, Renata, Anna Puścion-Jakubik, Monika Grabia, Jakub Perkowski, Patryk Nowakowski, Joanna Bielecka, Jolanta Soroczyńska, Grzegorz Kańgowski, Jakub M. Bołtryk, and Katarzyna Socha. 2022. "Nuts as a Dietary Enrichment with Selected Minerals—Content Assessment Supported by Chemometric Analysis" Foods 11, no. 20: 3152. https://doi.org/10.3390/foods11203152
APA StyleMarkiewicz-Żukowska, R., Puścion-Jakubik, A., Grabia, M., Perkowski, J., Nowakowski, P., Bielecka, J., Soroczyńska, J., Kańgowski, G., Bołtryk, J. M., & Socha, K. (2022). Nuts as a Dietary Enrichment with Selected Minerals—Content Assessment Supported by Chemometric Analysis. Foods, 11(20), 3152. https://doi.org/10.3390/foods11203152

