A Vital Role of High-Pressure Processing in the Gel Forming on New Healthy Egg Pudding through Texture, Microstructure, and Molecular Impacts
Abstract
1. Introduction
2. Materials and Methods
2.1. Materials
2.2. Sample Preparation
2.3. Texture Analyses
2.4. Colour Measurement
2.5. Syneresis Measurements
2.6. Surface Hydrophobicity
2.7. Free Sulfhydryl Group Determination
2.8. Fourier Transform Infrared Spectroscopic (FT-IR) Measurements
2.9. Microstructure
2.10. Microbiological Analysis
2.11. Statistical Analysis
3. Results and Discussion
3.1. Texture and Colour Analysis
3.2. Syneresis
3.3. Determining Surface Hydrophobicity
3.4. Free Sulfhydryl Group
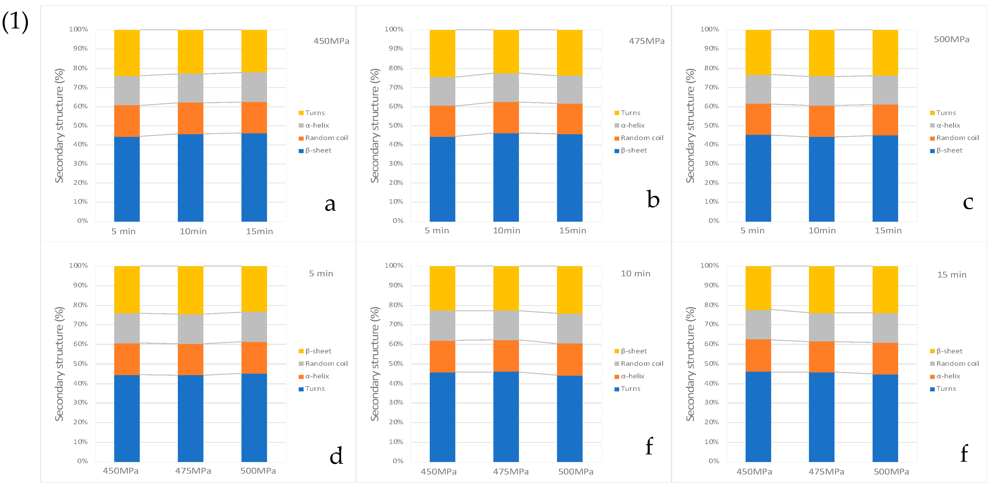
3.5. FT-IR Measurements and Secondary-Structure Analysis
3.6. Microstructure Observation
3.7. Microbiological Analysis
4. Conclusions
Author Contributions
Funding
Institutional Review Board Statement
Informed Consent Statement
Data Availability Statement
Acknowledgments
Conflicts of Interest
References
- World Health Organization. Noncommunicable Diseases. 2022. Available online: https://www.who.int/news-room/fact-sheets/detail/noncommunicable-diseases (accessed on 10 February 2022).
- Mahan, L.K.; Raymond, J. (Eds.) Krause’s Food & the Nutrition Care Process: Medical Nutrition Therapy for Renal Disorders; Elsevier: St. Louis, MO, USA, 2017; pp. 700–727. [Google Scholar]
- Health System, University of Michigan. Potassium Content of Foods; University of Michigan: Ann Arbor, MI, USA, 2016; pp. 1–4. Available online: https://www.med.umich.edu/1libr/Nutrition/PotassiumHandout.pdf (accessed on 12 February 2022).
- Shoaib, M.; Shehzad, A.; Omar, M.; Rakha, A.; Raza, H.; Sharif, H.R.; Shakeel, A.; Ansari, A.; Niazi, S. Inulin: Properties, health benefits and food applications. Carbohydr. Polym. 2016, 147, 444–454. [Google Scholar] [CrossRef] [PubMed]
- Meyer, D.; Bayarri, S.; Tárrega, A.; Costell, E. Inulin as texture modifier in dairy products. Food Hydrocoll. 2011, 25, 1881–1890. [Google Scholar] [CrossRef]
- Riquelme, N.; Robert, P.; Arancibia, C. Understanding older people perceptions about desserts using word association and sorting task methodologies. Food Qual. Prefer. 2021, 96, 104423. [Google Scholar] [CrossRef]
- Levy, R.; Okun, Z.; Shpigelman, A. High-pressure homogenization: Principles and applications beyond microbial inactivation. Food Eng. Rev. 2021, 13, 490–508. [Google Scholar] [CrossRef]
- Acero-Lopez, A.; Ullah, A.; Offengenden, M.; Jung, S.; Wu, J. Effect of high pressure treatment on ovotransferrin. Food Chem. 2012, 135, 2245–2252. [Google Scholar] [CrossRef]
- Huang, H.-W.; Wu, S.-J.; Lu, J.-K.; Shyu, Y.-T.; Wang, C.-Y. Current status and future trends of high-pressure processing in food industry. Food Control 2017, 72, 1–8. [Google Scholar] [CrossRef]
- Razi, S.M.; Motamedzadegan, A.; Matia-Merino, L.; Shahidi, S.-A.; Rashidinejad, A. The effect of pH and high-pressure processing (HPP) on the rheological properties of egg white albumin and basil seed gum mixtures. Food Hydrocoll. 2019, 94, 399–410. [Google Scholar] [CrossRef]
- Li, Y.-P.; Kang, Z.-L.; Sukmanov, V.; Ma, H.-J. Effects of soy protein isolate on gel properties and water holding capacity of low-salt pork myofibrillar protein under high pressure processing. Meat Sci. 2021, 176, 108471. [Google Scholar] [CrossRef]
- Wang, L.; Kong, X.; Jiang, Y. Recovery of high pressure processing (HPP) induced injured Escherichia coli O157:H7 inhibited by Lactobacillus sakei on vacuum-packed ground beef. Food Biosci. 2021, 41, 100928. [Google Scholar] [CrossRef]
- Govaris, A.; Pexara, A. Inactivation of Foodborne Viruses by High-Pressure Processing (HPP). Foods 2021, 10, 215. [Google Scholar] [CrossRef]
- Muntean, M.-V.; Marian, O.; Barbieru, V.; Cătunescu, G.M.; Ranta, O.; Drocas, I.; Terhes, S. High Pressure Processing in Food Industry—Characteristics and Applications. Agric. Agric. Sci. Procedia 2016, 10, 377–383. [Google Scholar] [CrossRef]
- Kapoor, S.; Singh, M.P.; Vatankhah, H.; Deshwal, G.K.; Ramaswamy, H.S. Production and quality improvement of Indian cottage cheese (Paneer) using high pressure processing. Innov. Food Sci. Emerg. Technol. 2021, 72, 102746. [Google Scholar] [CrossRef]
- Wu, S.; Tong, Y.; Zhang, C.; Zhao, W.; Lyu, X.; Shao, Y.; Yang, R. High pressure processing pretreatment of Chinese mitten crab (Eriocheir sinensis) for quality attributes assessment. Innov. Food Sci. Emerg. Technol. 2021, 73, 102793. [Google Scholar] [CrossRef]
- Van der Plancken, I.; Van Loey, A.; Hendrickx, M.E. Kinetic study on the combined effect of high pressure and temperature on the physico-chemical properties of egg white proteins. J. Food Eng. 2007, 78, 206–216. [Google Scholar] [CrossRef]
- Singh, A.; Ramaswamy, H. Effect of High Pressure Processing on Color and Textural Properties of Eggs. J. Food Res. 2013, 2, 11. [Google Scholar] [CrossRef][Green Version]
- Leemud, P.; Karrila, S.; Kaewmanee, T.; Karrila, T. Functional and physicochemical properties of Durian seed flour blended with cassava starch. J. Food Meas. Charact. 2019, 14, 388–400. [Google Scholar] [CrossRef]
- Eadmusik, S.; Chaiya, D.; Soichuen, S. Utilization of Egg Albumen: Application and Optimization of Gelatin and Carrageenan for Pudding Production via Response Surface Methodology (RSM). E3S Web Conf. 2020, 141, 02005. [Google Scholar] [CrossRef]
- Gao, X.; Yao, Y.; Wu, N.; Xu, M.; Zhao, Y.; Tu, Y. The sol-gel-sol transformation behavior of egg white proteins in-duced by alkali. Int. J. Biol. Macromol. 2020, 155, 588–597. [Google Scholar] [CrossRef]
- Luo, Y.; Li, M.; Zhu, K.-X.; Guo, X.-N.; Peng, W.; Zhou, H.-M. Heat-induced interaction between egg white protein and wheat gluten. Food Chem. 2016, 197, 699–708. [Google Scholar] [CrossRef]
- Sadat, A.; Joye, I.J. Peak Fitting Applied to Fourier Transform Infrared and Raman Spectroscopic Analysis of Proteins. Appl. Sci. 2020, 10, 5918. [Google Scholar] [CrossRef]
- McGuire, R.G. Reporting of Objective Color Measurements. HortScience 1992, 27, 1254–1255. [Google Scholar] [CrossRef]
- Mizrahi, S. Syneresis in food gels and its implications for food quality. In Chemical Deterioration and Physical Instability of Food and Beverages; Woodhead Publishing: Sawston, UK, 2010; pp. 324–348. [Google Scholar]
- He, W.; Xiao, N.; Zhao, Y.; Yao, Y.; Xu, M.; Du, H.; Wu, N.; Tu, Y. Effect of polysaccharides on the functional properties of egg white protein: A review. J. Food Sci. 2021, 86, 656–666. [Google Scholar] [CrossRef] [PubMed]
- Zhu, S.M.; Lin, S.L.; Ramaswamy, H.S.; Yu, Y.; Zhang, Q.T. Enhancement of Functional Properties of Rice Bran Proteins by High Pressure Treatment and Their Correlation with Surface Hydrophobicity. Food Bioprocess Technol. 2016, 10, 317–327. [Google Scholar] [CrossRef]
- Yan, W.; Qiao, L.; Gu, X.; Li, J.; Xu, R.; Wang, M.; Reuhs, B.; Yang, Y. Effect of high pressure treatment on the physicochemical and functional properties of egg yolk. Eur. Food Res. Technol. 2010, 231, 371–377. [Google Scholar] [CrossRef]
- Ding, L.; Zhao, Q.; Zhou, X.; Tang, C.; Chen, Y.; Cai, Z. Changes in protein structure and physicochemical properties of egg white by super critical carbon dioxide treatment. J. Food Eng. 2020, 284, 110076. [Google Scholar] [CrossRef]
- Ji, L.; Liu, H.; Cao, C.; Liu, P.; Wang, H.; Wang, H. Chemical and structural changes in preserved white egg during pickled by vacuum technology. Food Sci. Technol. Int. 2013, 19, 123–131. [Google Scholar] [CrossRef]
- Xue, H.; Tu, Y.; Xu, M.; Liao, M.; Luo, W.; Guo, W.; Zhang, G.; Zhao, Y. Changes in physicochemical properties, gel structure and in vitro digestion of marinated egg white gel during braising. Food Chem. 2020, 330, 127321. [Google Scholar] [CrossRef] [PubMed]
- Milošević, J.; Prodanović, R.; Polović, N. On the Protein Fibrillation Pathway: Oligomer Intermediates Detection Using ATR-FTIR Spectroscopy. Molecules 2021, 26, 970. [Google Scholar] [CrossRef] [PubMed]
- Abrosimova, K.V.; Shulenina, O.V.; Paston, S.V. FTIR study of secondary structure of bovine serum albumin and ovalbumin. J. Phys. Conf. Ser. 2016, 769, 012016. [Google Scholar] [CrossRef]
- Uygun-Sarıbay, M.; Ergun, E.; Kalaycı, Y.; Köseoğlu, T. The secondary structure of proteins in liquid, frozen, and dried egg-white samples: Effect of gamma irradiation treatment. Int. J. Food Prop. 2017, 20, 1195–1203. [Google Scholar] [CrossRef]
- Gudbjornsdottir, B.; Jonsson, A.; Hafsteinsson, H.; Heinz, V. Effect of high-pressure processing on Listeria spp. and on the textural and microstructural properties of cold smoked salmon. LWT 2010, 43, 366–374. [Google Scholar] [CrossRef]
- Xue, S.; Wang, H.; Yang, H.; Yu, X.; Bai, Y.; Tendu, A.A.; Xu, X.; Ma, H.; Zhou, G. Effects of high-pressure treatments on water characteristics and juiciness of rabbit meat sausages: Role of microstructure and chemical interactions. Innov. Food Sci. Emerg. Technol. 2017, 41, 150–159. [Google Scholar] [CrossRef]







| Samples | Hardness (gf) | Springiness (-) | Hue Angle (H°) | Total Syneresis (%) |
|---|---|---|---|---|
| A: Pressure level | ||||
| 450 MPa | 43.68 c | 0.561 a | 63.50 c | 38.46 a |
| 475 MPa | 128.22 b | 0.470 b | 65.00 b | 34.85 b |
| 500 MPa | 205.24 a | 0.431 c | 66.54 a | 30.67 c |
| SL | 0.00 | 0.00 | 0.00 | 0.00 |
| B: Time | ||||
| 5 min | 78.31 c | 0.538 a | 64.73 | 36.79 a |
| 10 min | 142.73 b | 0.469 b | 64.88 | 34.92 b |
| 15 min | 156.12 a | 0.455 c | 65.43 | 32.26 c |
| SL | 0.00 | 0.00 | 0.126 | 0.00 |
| Interaction A × B | ||||
| SL | 0.00 | 0.00 | 0.002 | 0.00 |
| Samples (pressure (MPa) /time (min.)) | ||||
| 450/5 | 10.04 h | 0.686 a | 63.25 ef | 40.08 a |
| 450/10 | 63.23 g | 0.514 b | 62.79 f | 39.78 a |
| 450/15 | 57.78 g | 0.482 c | 64.45 cde | 35.52 b |
| 475/5 | 90.99 f | 0.483 c | 65.67 d | 38.47 a |
| 475/10 | 142.63 d | 0.477 c | 64.28 de | 34.41 b |
| 475/15 | 151.05 c | 0.451 d | 65.07 cd | 31.66 c |
| 500/5 | 133.89 e | 0.446 d | 65.28 cd | 31.83 c |
| 500/10 | 222.31 b | 0.416 f | 67.58 a | 30.57 cd |
| 500/15 | 259.52 a | 0.431 e | 66.77 ab | 29.61 d |
| Duncan | 0.00 | 0.00 | 0.00 | 0.00 |
Publisher’s Note: MDPI stays neutral with regard to jurisdictional claims in published maps and institutional affiliations. |
© 2022 by the authors. Licensee MDPI, Basel, Switzerland. This article is an open access article distributed under the terms and conditions of the Creative Commons Attribution (CC BY) license (https://creativecommons.org/licenses/by/4.0/).
Share and Cite
Ngamlerst, C.; Prangthip, P.; Leelawat, B.; Supawong, S.; Vatthanakul, S. A Vital Role of High-Pressure Processing in the Gel Forming on New Healthy Egg Pudding through Texture, Microstructure, and Molecular Impacts. Foods 2022, 11, 2555. https://doi.org/10.3390/foods11172555
Ngamlerst C, Prangthip P, Leelawat B, Supawong S, Vatthanakul S. A Vital Role of High-Pressure Processing in the Gel Forming on New Healthy Egg Pudding through Texture, Microstructure, and Molecular Impacts. Foods. 2022; 11(17):2555. https://doi.org/10.3390/foods11172555
Chicago/Turabian StyleNgamlerst, Chattraya, Pattaneeya Prangthip, Bootsrapa Leelawat, Supattra Supawong, and Suteera Vatthanakul. 2022. "A Vital Role of High-Pressure Processing in the Gel Forming on New Healthy Egg Pudding through Texture, Microstructure, and Molecular Impacts" Foods 11, no. 17: 2555. https://doi.org/10.3390/foods11172555
APA StyleNgamlerst, C., Prangthip, P., Leelawat, B., Supawong, S., & Vatthanakul, S. (2022). A Vital Role of High-Pressure Processing in the Gel Forming on New Healthy Egg Pudding through Texture, Microstructure, and Molecular Impacts. Foods, 11(17), 2555. https://doi.org/10.3390/foods11172555

