Bacterial Cellulose/Tomato Puree Edible Films as Moisture Barrier Structures in Multicomponent Foods
Abstract
:1. Introduction
2. Materials and Methods
2.1. Film Preparation (by Bench Casting)
2.2. Film Characterization
2.2.1. Fourier-Transform Infrared (FTIR) Spectroscopy
2.2.2. Scanning Electron Microscopy (SEM)
2.2.3. Water Vapor Permeability (WVP)
2.2.4. Water Solubility
2.2.5. Shear Force
2.2.6. Water Contact Angles
2.3. Statistical Analyses
2.4. Continuous Casting
2.5. Sensory Analysis
3. Results and Discussion
3.1. FTIR
3.2. SEM
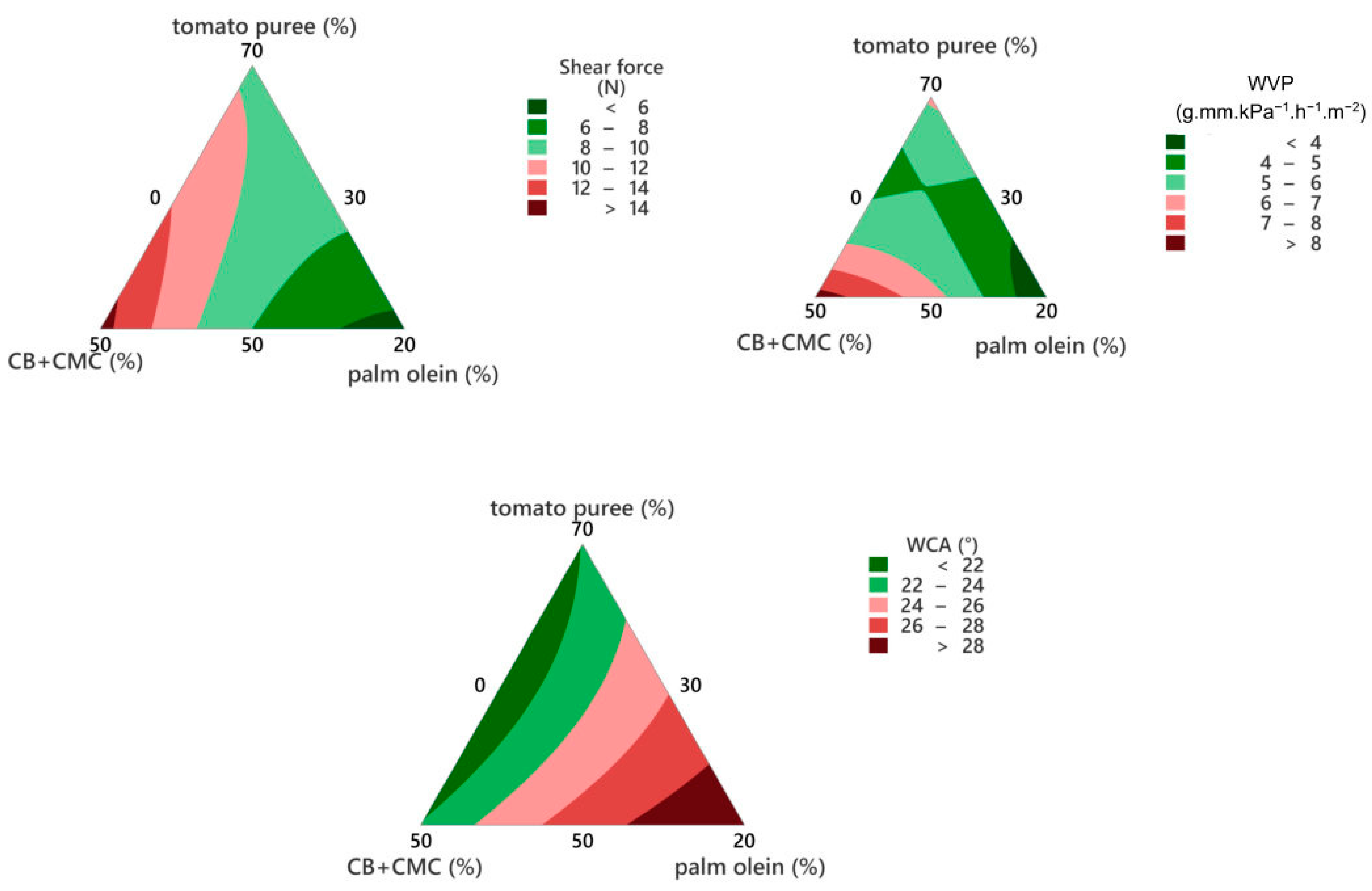
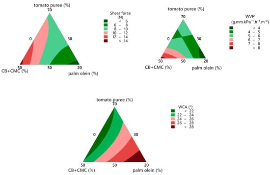
3.3. Water Vapor Permeability (WVP), Water Contact Angle (WCA), and Shear Force
3.4. Film Appeareance and Sensory Analysis
4. Conclusions
Author Contributions
Funding
Institutional Review Board Statement
Informed Consent Statement
Data Availability Statement
Acknowledgments
Conflicts of Interest
References
- Otoni, C.G.; Avena-Bustillos, R.J.; Azeredo, H.M.C.; Lorevice, M.V.; Moura, M.R.; Mattoso, L.H.C.; McHugh, T.H. Recent Advances on Edible Films Based on Fruits and Vegetables—A Review. Compr. Rev. Food Sci. Food Saf. 2017, 16, 1151–1169. [Google Scholar] [CrossRef] [PubMed]
- Rodríguez, G.M.; Sibaja, J.C.; Espitia, P.J.P.; Otoni, C.G. Antioxidant Active Packaging Based on Papaya Edible Films Incorporated with Moringa oleifera and Ascorbic Acid for Food Preservation. Food Hydrocoll. 2020, 103, 105630. [Google Scholar] [CrossRef]
- Rangel-Marrón, M.; Mani-López, E.; Palou, E.; López-Malo, A. Effects of Alginate-Glycerol-Citric Acid Concentrations on Selected Physical, Mechanical, and Barrier Properties of Papaya Puree-Based Edible Films and Coatings, as Evaluated by Response Surface Methodology. LWT 2019, 101, 83–91. [Google Scholar] [CrossRef]
- Melo, P.T.S.; Nunes, J.C.; Otoni, C.G.; Aouada, F.A.; de Moura, M.R. Combining Cupuassu (Theobroma grandiflorum) Puree, Pectin, and Chitosan Nanoparticles into Novel Edible Films for Food Packaging Applications. J. Food Sci. 2019, 84, 2228–2233. [Google Scholar] [CrossRef] [PubMed]
- Neog, B.; Das, J.K.; Vijayakumar, A.; Badwaik, L.S. Development and Characterization of Edible Films Made with Indian Jujube Fruit Puree and Pectin. J. Food Process Eng. 2022, 45, e13977. [Google Scholar] [CrossRef]
- Viana, R.M.; Sá, N.M.S.M.; Barros, M.O.; Borges, M.D.F.; Azeredo, H.M.C. Nanofibrillated Bacterial Cellulose and Pectin Edible Films Added with Fruit Purees. Carbohydr. Polym. 2018, 196, 27–32. [Google Scholar] [CrossRef]
- O’Connor, L.J.; Favreau-Farhadi, N.; Barrett, A.H. Use of Edible Barriers in Intermediate Moisture Food Systems to Inhibit Moisture Migration. J. Food Process. Preserv. 2018, 42, e13512. [Google Scholar] [CrossRef]
- Matta, E.; Tavera-Quiroz, M.J.; Bertola, N. Active Edible Films of Methylcellulose with Extracts of Green Apple (Granny Smith) Skin. Int. J. Biol. Macromol. 2019, 124, 1292–1298. [Google Scholar] [CrossRef] [PubMed]
- Joseph, B.; Sagarika, V.K.; Sabu, C.; Kalarikkal, N.; Thomas, S. Cellulose Nanocomposites: Fabrication and Biomedical Applications. J. Bioresour. Bioprod. 2020, 5, 223–237. [Google Scholar] [CrossRef]
- Fatima, A.; Yasir, S.; Khan, M.S.; Manan, S.; Ullah, M.W.; Ul-Islam, M. Plant Extract-Loaded Bacterial Cellulose Composite Membrane for Potential Biomedical Applications. J. Bioresour. Bioprod. 2021, 6, 26–32. [Google Scholar] [CrossRef]
- Atta, O.M.; Manan, S.; Ul-Islam, M.; Ahmed, A.A.Q.; Ullah, M.W.; Yang, G. Development and Characterization of Plant Oil-Incorporated Carboxymethyl Cellulose/Bacterial Cellulose/Glycerol-Based Antimicrobial Edible Films for Food Packaging Applications. Adv. Compos. Hybrid Mater. 2022, 5, 973–990. [Google Scholar] [CrossRef]
- Indriyati; Dara, F.; Primadona, I.; Srikandace, Y.; Karina, M. Development of Bacterial Cellulose/Chitosan Films: Structural, Physicochemical and Antimicrobial Properties. J. Polym. Res. 2021, 28, 70. [Google Scholar] [CrossRef]
- Cazón, P.; Vázquez, M. Bacterial Cellulose as a Biodegradable Food Packaging Material: A Review. Food Hydrocoll. 2021, 113, 106530. [Google Scholar] [CrossRef]
- Nascimento, E.S.; Pereira, A.L.S.; Barros, M.O.; Barroso, M.K.A.; Lima, H.L.S.; Borges, M.F.; Feitosa, J.P.A.; de Azeredo, H.M.C.; Rosa, M.F. TEMPO Oxidation and High-Speed Blending as a Combined Approach to Disassemble Bacterial Cellulose. Cellulose 2019, 26, 2291–2302. [Google Scholar] [CrossRef]
- Martins, D.; Estevinho, B.; Rocha, F.; Dourado, F.; Gama, M. A Dry and Fully Dispersible Bacterial Cellulose Formulation as a Stabilizer for Oil-in-Water Emulsions. Carbohydr. Polym. 2020, 230, 115657. [Google Scholar] [CrossRef] [PubMed]
- Martins, D.; de Carvalho Ferreira, D.; Gama, M.; Dourado, F. Dry Bacterial Cellulose and Carboxymethyl Cellulose Formulations with Interfacial-Active Performance: Processing Conditions and Redispersion. Cellulose 2020, 27, 6505–6520. [Google Scholar] [CrossRef]
- Spotti, M.L.; Cecchini, J.P.; Spotti, M.J.; Carrara, C.R. Brea Gum (from Cercidium praecox) as a Structural Support for Emulsion-Based Edible Films. LWT-Food Sci. Technol. 2016, 68, 127–134. [Google Scholar] [CrossRef]
- Rodrigues, D.C.; Cunha, A.P.; Silva, L.M.A.; Rodrigues, T.H.S.; Gallão, M.I.; Azeredo, H.M.C. Emulsion Films from Tamarind Kernel Xyloglucan and Sesame Seed Oil by Different Emulsification Techniques. Food Hydrocoll. 2018, 77, 270–276. [Google Scholar] [CrossRef]
- Xie, B.; Zhang, X.; Luo, X.; Wang, Y.; Li, Y.; Li, B.; Liu, S. Edible Coating Based on Beeswax-in-Water Pickering Emulsion Stabilized by Cellulose Nanofibrils and Carboxymethyl Chitosan. Food Chem. 2020, 331, 127108. [Google Scholar] [CrossRef]
- Niro, C.M.; Medeiros, J.A.; Freitas, J.A.M.; Azeredo, H.M.C. Advantages and Challenges of Pickering Emulsions Applied to Bio-Based Films: A Mini-Review. J. Sci. Food Agric. 2021, 101, 3535–3540. [Google Scholar] [CrossRef]
- Pena-Serna, C.; Lopes-Filho, J.F. Influence of Ethanol and Glycerol Concentration over Functional and Structural Properties of Zein-Oleic Acid Films. Mater. Chem. Phys. 2013, 142, 580–585. [Google Scholar] [CrossRef]
- Paula, A.M.; Conti-Silva, A.C. Texture Profile and Correlation between Sensory and Instrumental Analyses on Extruded Snacks. J. Food Eng. 2014, 121, 9–14. [Google Scholar] [CrossRef]
- Lawless, H.T.; Heymann, H. Sensory Evaluation of Food—Principles and Practice, 2nd ed.; Springer: New York, NY, USA, 2010. [Google Scholar]
- Lozano-Vazquez, G.; Alvarez-Ramirez, J.; Lobato-Calleros, C.; Vernon-Carter, E.J.; Hernández-Marín, N.Y. Characterization of Corn Starch-Calcium Alginate Xerogels by Microscopy, Thermal, XRD, and FTIR Analyses. Starch 2021, 73, 2000282. [Google Scholar] [CrossRef]
- Singh, A.; Ranawat, B.; Meena, R. Extraction and Characterization of Cellulose from Halophytes: Next Generation Source of Cellulose Fibre. SN Appl. Sci. 2019, 1, 1311. [Google Scholar] [CrossRef]
- Munusamy, T.D.; Sarmin, S.; Ong, H.R.; Gan, W.T.; Hong, C.S.; Khan, M.M.R. Catalytic Performance and Antimicrobial Activity of Mg(OH)2/MgO Colloidal Nanoparticles in Alkyd Resin Nanocomposite Derived from Palm Oil. Polym. Bull. 2020, 77, 4571–4586. [Google Scholar] [CrossRef]
- Paladini, G.; Venuti, V.; Crupi, V.; Majolino, D.; Fiorati, A.; Punta, C. 2D Correlation Spectroscopy (2DCoS) Analysis of Temperature-Dependent FTIR-ATR Spectra in Branched Polyethyleneimine/TEMPO-Oxidized Cellulose Nano-Fiber Xerogels. Polymers 2021, 13, 528. [Google Scholar] [CrossRef] [PubMed]
- Fahma, F.; Iwamoto, S.; Hori, N.; Iwata, T.; Takemura, A. Isolation, Preparation, and Characterization of Nanofibers from Oil Palm Empty-Fruit-Bunch (OPEFB). Cellulose 2010, 17, 977–985. [Google Scholar] [CrossRef]
- Srikandace, Y.; Apriyana, A.Y.; Zahrad, S.A.; Ramdhani, W.; Asri, P.P.P.; Andriani, D.; Abdullah, A.H.D.; Syampurwadi, A.; Satoto, R.; Karina, M. Bacterial Cellulose Production by Komagataeibacter Xylinus Using Rice-Washed Water and Tofu Processing Wastewater with the Addition of Sodium Glutamate. Fibers Polym. 2022, 23, 1190–1196. [Google Scholar] [CrossRef]
- Vlachos, N.; Skopelitis, Y.; Psaroudaki, M.; Konstantinidou, V.; Chatzilazarou, A.; Tegou, E. Applications of Fourier Transform-Infrared Spectroscopy to Edible Oils. Anal. Chim. Acta 2006, 573–574, 459–465. [Google Scholar] [CrossRef] [PubMed]
- Agrebi, F.; Ghorbel, N.; Bresson, S.; Abbas, O.; Kallel, A. Study of Nanocomposites Based on Cellulose Nanoparticles and Natural Rubber Latex by ATR/FTIR Spectroscopy: The Impact of Reinforcement. Polym. Compos. 2019, 40, 2076–2087. [Google Scholar] [CrossRef]
- Galus, S.; Kadzińska, J. Gas Barrier and Wetting Properties of Whey Protein Isolate-Based Emulsion Films. Polym. Eng. Sci. 2019, 59, E375–E383. [Google Scholar] [CrossRef]
- Kang, X.; Liu, P.; Gao, W.; Wu, Z.; Yu, B.; Wang, R.; Cui, B.; Qiu, L.; Sun, C. Preparation of Starch-Lipid Complex by Ultrasonication and Its Film Forming Capacity. Food Hydrocoll. 2020, 99, 105340. [Google Scholar] [CrossRef]
- Farajpour, R.; Emam Djomeh, Z.; Moeini, S.; Tavakolipour, H.; Safayan, S. Structural and Physico-Mechanical Properties of Potato Starch-Olive Oil Edible Films Reinforced with Zein Nanoparticles. Int. J. Biol. Macromol. 2020, 149, 941–950. [Google Scholar] [CrossRef] [PubMed]





| Formulation | WVP (g.mm.kPa−1 h−1 m−2) | WCA (°) | Shear force (N) |
|---|---|---|---|
| 1 | 5.97 c | 22.7 b | 10.3 b,c |
| 2 | 8.28 a | 22.0 b | 14.7 a |
| 3 | 3.24 e | 29.9 a | 5.04 e |
| 4 | 4.55 d | 20.9 b | 12.2 a,b |
| 5 | 4.67 d | 26.4 a,b | 8.65 c,d |
| 6 | 6.44 b,c | 26.9 a,b | 7.43 d,e |
| 7 | 4.74 d | 25.7 a,b | 10.1 b,c |
| 8 | 5.98 b,c | 20.5 b | 7.96 d |
| 9 | 7.08 b | 23.2 a,b | 11.4 b |
| 10 | 3.92 d,e | 26.8 a,b | 8.31 c,d |
| Terms | Coefficients | ||
| WVP | WCA | Shear force | |
| β1 | 6.21 | 22.08 | 9.67 |
| β2 | 8.44 | 22.13 | 14.7 |
| β3 | 2.99 | 29.83 | 5.41 |
| β12 | −9.39 | −6.30 | −1.47 |
| β13 | 0.32 | −0.85 | 4.36 |
| β23 | 2.66 | 4.20 | −8.33 |
| R2 (%) | 90.38 | 90.39 | 90.24 |
| F | 7.52 | 7.53 | 7.40 |
| P | 0.04 | 0.04 | 0.04 |
| Samples | Acceptance * | Number of Favorable Responses on Paired Preference Test | Number of Responses as “Crispier” ‡ |
|---|---|---|---|
| NG | 7.70 ± 1.36 | 23 | 26 |
| NFG | 8.03 ± 1.27 | 57 | 52 |
Publisher’s Note: MDPI stays neutral with regard to jurisdictional claims in published maps and institutional affiliations. |
© 2022 by the authors. Licensee MDPI, Basel, Switzerland. This article is an open access article distributed under the terms and conditions of the Creative Commons Attribution (CC BY) license (https://creativecommons.org/licenses/by/4.0/).
Share and Cite
Freitas, J.A.M.; Mendonça, G.M.N.; Santos, L.B.; Alonso, J.D.; Mendes, J.F.; Barud, H.S.; Azeredo, H.M.C. Bacterial Cellulose/Tomato Puree Edible Films as Moisture Barrier Structures in Multicomponent Foods. Foods 2022, 11, 2336. https://doi.org/10.3390/foods11152336
Freitas JAM, Mendonça GMN, Santos LB, Alonso JD, Mendes JF, Barud HS, Azeredo HMC. Bacterial Cellulose/Tomato Puree Edible Films as Moisture Barrier Structures in Multicomponent Foods. Foods. 2022; 11(15):2336. https://doi.org/10.3390/foods11152336
Chicago/Turabian StyleFreitas, John A. M., Giovana M. N. Mendonça, Leticia B. Santos, Jovan D. Alonso, Juliana F. Mendes, Hernane S. Barud, and Henriette M. C. Azeredo. 2022. "Bacterial Cellulose/Tomato Puree Edible Films as Moisture Barrier Structures in Multicomponent Foods" Foods 11, no. 15: 2336. https://doi.org/10.3390/foods11152336
APA StyleFreitas, J. A. M., Mendonça, G. M. N., Santos, L. B., Alonso, J. D., Mendes, J. F., Barud, H. S., & Azeredo, H. M. C. (2022). Bacterial Cellulose/Tomato Puree Edible Films as Moisture Barrier Structures in Multicomponent Foods. Foods, 11(15), 2336. https://doi.org/10.3390/foods11152336

