The Sensory-Directed Elucidation of the Key Tastants and Odorants in Sourdough Bread Crumb
Abstract
:1. Introduction
2. Materials and Methods
2.1. Chemicals
2.2. Bread Samples
2.3. Preparation of the Bread Crumb Extract (BCE)
2.4. Sample Preparation
2.5. The Quantitation of Basic Taste Compounds Using HPIC
2.5.1. Cations
2.5.2. Anions
2.5.3. Mono- and Disaccharides
2.5.4. Oligosaccharides
2.6. Quantification of Glycerol Using an Enzymatic Assay
2.6.1. Sample Preparation for UV-Vis Measurements
2.6.2. UV-Vis Spectrophotometry
2.7. Quantitation of Basic Taste Compounds Using LC-MS/MS
2.8. Quantitation of Bread Crumb Key Taste and Aroma Compounds after Derivatization
2.8.1. Internal Standard/Analyte Stock Solutions and Calibration
2.8.2. Sample Preparation
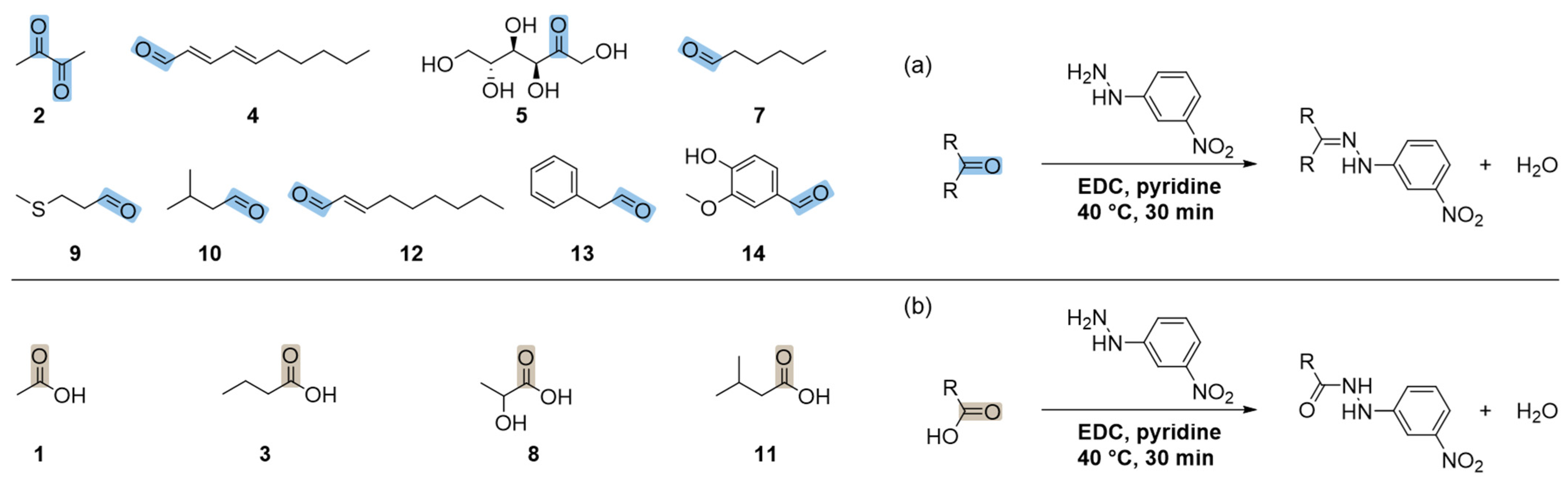
2.8.3. Derivatization Using 3-Nitrophenylhydrazine
2.8.4. Validation Experiments
2.8.5. UHPLC-MS/MS Analysis of 3-NPH Derivatives
2.9. Nuclear Magnetic Resonance (NMR) Spectroscopy
2.10. Dose-over-Threshold Factors
2.11. Sensory Analysis
2.11.1. General Conditions and Panel Training
2.11.2. Preparation of Taste Recombination Models
2.11.3. Preparation of Aroma Recombination Models
2.11.4. Taste Profile Analysis (TPA)
2.11.5. Triangle Tests
2.12. Statistical Analysis
3. Results and Discussion
3.1. Sensory-Directed Decoding and Reconstitution of Bread Crumb Taste
3.2. Sensory-Directed Decoding of Key Odorants in Bread Crumb
3.3. Method Development and Validation
4. Conclusions
Supplementary Materials
Author Contributions
Funding
Institutional Review Board Statement
Informed Consent Statement
Data Availability Statement
Acknowledgments
Conflicts of Interest
References
- Katina, K.; Heiniö, R.-L.; Autio, K.; Poutanen, K. Optimization of sourdough process for improved sensory profile and texture of wheat bread. LWT-Food Sci. Technol. 2006, 39, 1189–1202. [Google Scholar] [CrossRef]
- Kirchhoff, E.; Schieberle, P. Determination of key aroma compounds in the crumb of a three-stage sourdough rye bread by stable isotope dilution assays and sensory studies. J. Agric. Food Chem. 2001, 49, 4304–4311. [Google Scholar] [CrossRef] [PubMed]
- Hansen, Å.; Schieberle, P. Generation of aroma compounds during sourdough fermentation: Applied and fundamental aspects. Trends Food Sci. Technol. 2005, 16, 85–94. [Google Scholar] [CrossRef]
- Czerny, M.; Schieberle, P. Important aroma compounds in freshly ground wholemeal and white wheat flour identification and quantitative changes during sourdough fermentation. J. Agric. Food Chem. 2002, 50, 6835–6840. [Google Scholar] [CrossRef]
- Kirchhoff, E.; Schieberle, P. Quantitation of odor-active compounds in rye flour and rye sourdough using stable isotope dilution assays. J. Agric. Food Chem. 2002, 50, 5378–5385. [Google Scholar] [CrossRef]
- Hansen, A.; Lund, B.; Lewis, M. Flavour of sourdough rye bread crumb. LWT-Food Sci. Technol. 1989, 22, 141–144. [Google Scholar]
- Hu, Y.; Zhang, J.; Wang, S.; Liu, Y.; Li, L.; Gao, M. Lactic acid bacteria synergistic fermentation affects the flavor and texture of bread. J. Food Sci. 2022, 87, 1823–1836. [Google Scholar] [CrossRef]
- Meignen, B.; Onno, B.; Gélinas, P.; Infantes, M.; Guilois, S.; Cahagnier, B. Optimization of sourdough fermentation with Lactobacillus brevis and baker’s yeast. Food Microbiol. 2001, 18, 239–245. [Google Scholar] [CrossRef]
- Plessas, S.; Fisher, A.; Koureta, K.; Psarianos, C.; Nigam, P.; Koutinas, A.A. Application of Kluyveromyces marxianus, Lactobacillus delbrueckii ssp. bulgaricus and L. helveticus for sourdough bread making. Food Chem. 2008, 106, 985–990. [Google Scholar] [CrossRef]
- Thiele, C.; Gänzle, M.; Vogel, R. Contribution of sourdough lactobacilli, yeast, and cereal enzymes to the generation of amino acids in dough relevant for bread flavor. Cereal Chem. 2002, 79, 45–51. [Google Scholar] [CrossRef]
- Birch, A.N.; Petersen, M.A.; Hansen, Å.S. The aroma profile of wheat bread crumb influenced by yeast concentration and fermentation temperature. LWT-Food Sci. Technol. 2013, 50, 480–488. [Google Scholar] [CrossRef]
- Gassenmeier, K.; Schieberle, P. Potent aromatic compounds in the crumb of wheat bread (French-type)—influence of pre-ferments and studies on the formation of key odorants during dough processing. Z. Lebensm. Unters. Forsch. 1995, 201, 241–248. [Google Scholar] [CrossRef]
- Xu, D.; Zhang, H.; Xi, J.; Jin, Y.; Chen, Y.; Guo, L.; Jin, Z.; Xu, X. Improving bread aroma using low-temperature sourdough fermentation. Food Biosci. 2020, 37, 100704. [Google Scholar] [CrossRef]
- De Luca, L.; Aiello, A.; Pizzolongo, F.; Blaiotta, G.; Aponte, M.; Romano, R. Volatile organic compounds in breads prepared with different sourdoughs. Applied Sci. 2021, 11, 1330. [Google Scholar] [CrossRef]
- Hansen, Å.; Hansen, B. Flavour of sourdough wheat bread crumb. Z. Lebensm. Unters. Forsch. 1996, 202, 244–249. [Google Scholar] [CrossRef]
- Quílez, J.; Ruiz, J.; Romero, M. Relationships between sensory flavor evaluation and volatile and nonvolatile compounds in commercial wheat bread type baguette. J. Food Sci. 2006, 71, S423–S427. [Google Scholar] [CrossRef]
- Ruiz, J.; Quilez, J.; Mestres, M.; Guasch, J. Solid-phase microextraction method for headspace analysis of volatile compounds in bread crumb. Cereal Chem. 2003, 80, 255–259. [Google Scholar] [CrossRef]
- Warburton, A.E. Influence of sourdough Fermentation on Flavour Formation and Perception in Sourdough Bread. Ph.D. Thesis, University of Otago, Dunedin, New Zealand, 2021. [Google Scholar]
- Hufnagel, J.C.; Hofmann, T. Quantitative reconstruction of the nonvolatile sensometabolome of a red wine. J. Agric. Food Chem. 2008, 56, 9190–9199. [Google Scholar] [CrossRef] [PubMed]
- Toelstede, S.; Hofmann, T. Quantitative studies and taste re-engineering experiments toward the decoding of the nonvolatile sensometabolome of Gouda cheese. J. Agric. Food Chem. 2008, 56, 5299–5307. [Google Scholar] [CrossRef]
- Rotzoll, N.; Dunkel, A.; Hofmann, T. Quantitative studies, taste reconstitution, and omission experiments on the key taste compounds in morel mushrooms (Morchella deliciosa Fr.). J. Agric. Food Chem. 2006, 54, 2705–2711. [Google Scholar] [CrossRef]
- Mittermeier, V.K.; Dunkel, A.; Hofmann, T. Discovery of taste modulating octadecadien-12-ynoic acids in golden chanterelles (Cantharellus cibarius). Food Chem. 2018, 269, 53–62. [Google Scholar] [CrossRef] [PubMed]
- Meyer, S.; Dunkel, A.; Hofmann, T. Sensomics-assisted elucidation of the tastant code of cooked crustaceans and taste reconstruction experiments. J. Agric. Food Chem. 2016, 64, 1164–1175. [Google Scholar] [CrossRef] [PubMed]
- Dirndorfer, S.; Hammerl, R.; Kitajima, S.; Kitada, R.; Frank, O.; Dunkel, A.; Hofmann, T. Identification and quantitation of taste-active compounds in dried scallops by combined application of the sensomics and a quantitative NMR approach. J. Agric. Food Chem. 2021, 70, 247–259. [Google Scholar] [CrossRef]
- Hofstetter, C.K.; Dunkel, A.; Hofmann, T. Unified flavor quantitation: Toward high-throughput analysis of key food odorants and tastants by means of ultra-high-performance liquid chromatography tandem mass spectrometry. J. Agric. Food Chem. 2019, 67, 8599–8608. [Google Scholar] [CrossRef] [PubMed]
- Engel, W.; Bahr, W.; Schieberle, P. Solvent assisted flavour evaporation–a new and versatile technique for the careful and direct isolation of aroma compounds from complex food matrices. Eur. Food Res. Technol. 1999, 209, 237–241. [Google Scholar] [CrossRef]
- Fahmy, A.R.; Amann, L.S.; Dunkel, A.; Frank, O.; Dawid, C.; Hofmann, T.; Becker, T.; Jekle, M. Sensory design in food 3D printing–Structuring, texture modulation, taste localization, and thermal stabilization. Innov. Food Sci. Emerg. Technol. 2021, 72, 102743. [Google Scholar] [CrossRef]
- Rebholz, G.F.; Sebald, K.; Dirndorfer, S.; Dawid, C.; Hofmann, T.; Scherf, K.A. Impact of exogenous α-amylases on sugar formation in straight dough wheat bread. Eur. Food Res. Technol. 2021, 247, 695–706. [Google Scholar] [CrossRef]
- Baumann, T.; Dunkel, A.; Schmid, C.; Schmitt, S.; Hiltensperger, M.; Lohr, K.; Laketa, V.; Donakonda, S.; Ahting, U.; Lorenz-Depiereux, B. Regulatory myeloid cells paralyze T cells through cell–cell transfer of the metabolite methylglyoxal. Nat. Immunol. 2020, 21, 555–566. [Google Scholar] [CrossRef] [PubMed]
- Schulz, A.; Lang, R.; Behr, J.; Hertel, S.; Reich, M.; Kümmerer, K.; Hannig, M.; Hannig, C.; Hofmann, T. Targeted metabolomics of pellicle and saliva in children with different caries activity. Sci. Rep. 2020, 10, 1–11. [Google Scholar] [CrossRef] [Green Version]
- Toelstede, S.; Dunkel, A.; Hofmann, T. A series of kokumi peptides impart the long-lasting mouthfulness of matured Gouda cheese. J. Agric. Food Chem. 2009, 57, 1440–1448. [Google Scholar] [CrossRef]
- Frank, O.; Kreissl, J.K.; Daschner, A.; Hofmann, T. Accurate determination of reference materials and natural isolates by means of quantitative 1H NMR spectroscopy. J. Agric. Food Chem. 2014, 62, 2506–2515. [Google Scholar] [CrossRef]
- Han, J.; Gagnon, S.; Eckle, T.; Borchers, C.H. Metabolomic analysis of key central carbon metabolism carboxylic acids as their 3-nitrophenylhydrazones by UPLC/ESI-MS. Electrophoresis 2013, 34, 2891–2900. [Google Scholar] [CrossRef] [PubMed] [Green Version]
- Han, J.; Lin, K.; Sequeira, C.; Borchers, C.H. An isotope-labeled chemical derivatization method for the quantitation of short-chain fatty acids in human feces by liquid chromatography–tandem mass spectrometry. Anal. Chim. Acta 2015, 854, 86–94. [Google Scholar] [CrossRef] [PubMed]
- Han, J.; Lin, K.; Sequria, C.; Yang, J.; Borchers, C.H. Quantitation of low molecular weight sugars by chemical derivatization-liquid chromatography/multiple reaction monitoring/mass spectrometry. Electrophoresis 2016, 37, 1851–1860. [Google Scholar] [CrossRef]
- Hammerl, R.; Frank, O.; Hofmann, T. Quantitative proton NMR spectroscopy for basic taste recombinant reconstitution using the taste recombinant database. J. Agric. Food Chem. 2021, 69, 14713–14721. [Google Scholar] [CrossRef] [PubMed]
- Monakhova, Y.B.; Ruge, W.; Kuballa, T.; Ilse, M.; Winkelmann, O.; Diehl, B.; Thomas, F.; Lachenmeier, D.W. Rapid approach to identify the presence of Arabica and Robusta species in coffee using 1H NMR spectroscopy. Food Chem. 2015, 182, 178–184. [Google Scholar] [CrossRef] [PubMed]
- Brehm, L.; Jünger, M.; Frank, O.; Hofmann, T. Discovery of a thiamine-derived taste enhancer in process flavors. J. Agric. Food Chem. 2019, 67, 5857–5865. [Google Scholar] [CrossRef] [PubMed]
- Ueda, Y.; Yonemitsu, M.; Tsubuku, T.; Sakaguchi, M.; Miyajima, R. Flavor characteristics of glutathione in raw and cooked foodstuffs. Biosci. Biotechnol. Biochem. 1997, 61, 1977–1980. [Google Scholar] [CrossRef] [PubMed] [Green Version]
- ISO. Sensory Analysis—Methodology—Triangle Test; ISO 4120: Geneva, Switzerland, 2004. [Google Scholar]
- Konitzer, K.; Pflaum, T.; Oliveira, P.; Arendt, E.; Koehler, P.; Hofmann, T. Kinetics of sodium release from wheat bread crumb as affected by sodium distribution. J. Agric. Food Chem. 2013, 61, 10659–10669. [Google Scholar] [CrossRef] [PubMed]
- Dunkel, A.; Hofmann, T. Sensory-directed identification of β-alanyl dipeptides as contributors to the thick-sour and white-meaty orosensation induced by chicken broth. J. Agric. Food Chem. 2009, 57, 9867–9877. [Google Scholar] [CrossRef]
- Castanheira, I.; Figueiredo, C.; André, C.; Coelho, I.; Silva, A.T.; Santiago, S.; Fontes, T.; Mota, C.; Calhau, M.A. Sampling of bread for added sodium as determined by flame photometry. Food Chem. 2009, 113, 621–628. [Google Scholar] [CrossRef]
- Braschi, A.; Gill, L.; Naismith, D.J. Partial substitution of sodium with potassium in white bread: Feasibility and bioavailability. Int. J. Food Sci. Nutr. 2009, 60, 507–521. [Google Scholar] [CrossRef]
- Peñas, E.; Diana, M.; Frías, J.; Quílez, J.; Martínez-Villaluenga, C. A multistrategic approach in the development of sourdough bread targeted towards blood pressure reduction. Plant Foods Hum. Nutr. 2015, 70, 97–103. [Google Scholar] [CrossRef] [PubMed] [Green Version]
- Konopka, I.; Tańska, M.; Faron, A.; Czaplicki, S. Release of free ferulic acid and changes in antioxidant properties during the wheat and rye bread making process. Food Sci. Biotechnol. 2014, 23, 831–840. [Google Scholar] [CrossRef]
- Jayaram, V.B.; Cuyvers, S.; Lagrain, B.; Verstrepen, K.J.; Delcour, J.A.; Courtin, C.M. Mapping of Saccharomyces cerevisiae metabolites in fermenting wheat straight-dough reveals succinic acid as pH-determining factor. Food Chem. 2013, 136, 301–308. [Google Scholar] [CrossRef] [PubMed]
- Loponen, J.; Gänzle, M.G. Use of sourdough in low FODMAP baking. Foods 2018, 7, 96. [Google Scholar] [CrossRef] [PubMed] [Green Version]
- Paramithiotis, S.; Chouliaras, Y.; Tsakalidou, E.; Kalantzopoulos, G. Application of selected starter cultures for the production of wheat sourdough bread using a traditional three-stage procedure. Process Biochem. 2005, 40, 2813–2819. [Google Scholar] [CrossRef]
- Rychlik, M.; Schieberle, P.; Grosch, W. Compilation of Odor Thresholds, Odor Qualities and Retention Indices of Key Food Odorants; Deutsche Forschungsanstalt für Lebensmittelchemie und Institut der Lebensmittelchemie der Technischen Universität München: Garching, Germany, 1998; pp. 6–51. [Google Scholar]
- Rychlik, M.; Grosch, W. Identification and quantification of potent odorants formed by toasting of wheat bread. LWT-Food Sci. Technol. 1996, 29, 515–525. [Google Scholar] [CrossRef]




| Short Name | Trade Name | Ingredients | Cereal Ratio in % | |
|---|---|---|---|---|
| Rye | Wheat | |||
| Rye bread | Pfister Öko-Wilde Kruste | Flour, water, NaCl | 100 | 0 |
| Mixed-type bread | Pfister Öko-1331 | Flour, water, NaCl | 60 | 40 |
| Wheat bread | Pfister Öko-Weizenlaib | Flour, water, NaCl | 4 | 96 |
| Taste Compound | TC a [mmol/kg] | Concentration (±SD) [mmol/kg] in Bread Crumb | DoT Factor in Bread Crumb | ||||
|---|---|---|---|---|---|---|---|
| Rye | Mixed-Type | Wheat | Rye | Mixed-Type | Wheat | ||
| Group I: Salty-tasting compounds | |||||||
| Sodium | 7.5 b | 188.7 (±2.5) | 210.1 (±23.3) | 228.5 (±14.3) | 25.2 | 28.0 | 30.5 |
| Potassium | 13.0 c | 41.3 (±7.3) | 32.4 (±2.4) | 26.4 (±1.3) | 3.2 | 2.5 | 2.0 |
| Ammonium | 5.0 d | 6.36 (±0.59) | 4.58 (±0.36) | 4.73 (±0.37) | 1.3 | 0.9 | 0.9 |
| Chloride | 7.5 b | 193.3 (±10.7) | 252.4 (±15.8) | 240.2 (±4.6) | 25.8 | 33.7 | 32.0 |
| Phosphate | 7.5 d | 16.9 (±0.6) | 17.0 (±0.4) | 11.9 (±0.3) | 2.3 | 2.3 | 1.6 |
| Group II: Bitter-tasting compounds | |||||||
| Magnesium | 4.0 d | 17.0 (±1.4) | 11.5 (±0.9) | 10.3 (±0.7) | 4.3 | 2.9 | 2.6 |
| Calcium | 6.2 c | 6.60 (±1.18) | 4.07 (±0.13) | 4.26 (±0.31) | 1.1 | 0.7 | 0.7 |
| Group III: Sweet-tasting compounds | |||||||
| d-Fructose | 5.0 b | 21.4 (±0.4) | 14.2 (±0.5) | 9.69 (±0.20) | 4.3 | 2.8 | 1.9 |
| Group IV: Umami-tasting compounds | |||||||
| Succinic acid | 0.7 b | 1.39 (±0.18) | 1.11 (±0.24) | 1.08 (±0.24) | 2.0 | 1.6 | 1.5 |
| l-Glutamic acid | 1.1 c | 1.28 (±0.05) | 0.77 (±0.05) | 0.28 (±0.02) | 1.2 | 0.7 | 0.3 |
| l-Aspartic acid | 4.0 b | 2.44 (±0.27) | 1.72 (±0.08) | 0.69 (±0.05) | 0.6 | 0.4 | 0.2 |
| Group V: Sour-tasting compounds | |||||||
| Acetic acid | 1.99 e | 41.5 f (±2.0) | 20.7 f (±0.6) | 12.1 f (±1.1) | 20.8 | 10.4 | 6.1 |
| Lactic acid | 14.0 b | 78.5 f (±1.6) | 52.2 f (±2.7) | 42.2 f (±3.6) | 5.6 | 3.7 | 3.0 |
| Group VI: Astringent-tasting compounds | |||||||
| Ferulic acid | 0.067 e | 0.069 (±0.005) | 0.045 (±0.001) | 0.016 (±0.001) | 1.0 | 0.7 | 0.2 |
| Omitted Tastants | DoT Factor in Rye Bread Crumb Extract | Taste Quality | p Value | Significance a |
|---|---|---|---|---|
| Potassium b | 3.2 | Salty | 0.004 | ** |
| Ammonium b | 1.3 | Salty | 0.019 | * |
| Phosphate b | 2.3 | Salty | 0.382 | NS |
| Magnesium b | 4.3 | Bitter | 0.035 | * |
| Calcium b | 1.1 | Bitter | 0.035 | * |
| d-Fructose b | 4.3 | Sweet | 0.017 | * |
| Succinic acid b | 2.0 | Umami | 0.382 | NS |
| l-Glutamic acid b | 1.2 | Umami | 0.035 | * |
| l-Aspartic acid b | 0.6 | Umami | 0.104 | NS |
| Succinic acid and l-aspartic acid b | 2.0, 0.6 | Umami | 0.310 | NS |
| Lactic acid b | 4.7 | Sour | 0.009 | ** |
| Acetic acid b | 3.7 | Sour | 0.004 | ** |
| Ferulic acid b | 1.0 | Astringent | 0.448 | NS |
| Phosphate, succinic acid, l-aspartic acid, and ferulic acid b–d | 0.596 b; 0.596 c; 0.661 d | NS b–d |
| Odorant | Odor Quality | Concentration [µg/kg] | TC a in Water [µg/kg] | OAVwater | TC a in Starch [µg/kg] | OAVstarch |
|---|---|---|---|---|---|---|
| Acetic acid | Pungent, sour | 1,700,000 | 22,000 b | 77.3 | 31,140 b | 54.6 |
| Butyric acid | Sweaty | 2200 | 1000 b | 2.2 | 100 c | 22.0 |
| Vanillin | Vanilla-like | 1200 | 25 b | 48.0 | 4.6 c | 261 |
| 3-Methylbutyric acid | Sweaty | 1100 | 740 c | 1.5 | 5.5 c | 200 |
| Hexanal | Green, grassy | 380 | 10.5 b | 36.2 | 30 b | 12.7 |
| 2,3-Butanedione | Buttery | 356 | 15 b | 23.7 | 6.5 c | 54.7 |
| Phenylacetaldehyde | Honey-like | 244 | 4.0 b | 61.1 | 28 d | 8.7 |
| 3-Methylbutanal | Malty | 151 | 0.4 b | 378 | 32 c | 4.7 |
| Methional | Cooked potato-like | 75 | 1.8 b | 41.7 | 0.27 c | 278 |
| (E,E)-2,4-Decadienal | Fatty, waxy | 62 | 0.2 b | 310 | 2.7 c | 23.0 |
| (E)-2-Nonenal | Green, fatty | 49 | 0.8 b | 61.3 | 0.53 c | 92.5 |
| No. a | Low-Spiking Experiment | High-Spiking Experiment | LOD e [µmol/kg] | LOQ f [µmol/kg] | TC g (Taste) [µmol/kg] | TC g (Odor) [µmol/kg] | ||||||
|---|---|---|---|---|---|---|---|---|---|---|---|---|
| Bread Crumb Matrix | Starch-Egg White-Matrix | Bread Crumb Matrix | Starch-Egg White-matrix | |||||||||
| RSD b,d in % | Recov. c,d in % | RSD b,d in % | Recov. c,d in % | RSD b,d in % | Recov. c,d in % | RSD b,d in % | Recov. c,d in % | |||||
| 1 | 1.9 | 104.0 | 1.9 | 107.4 | 4.1 | 101.5 | 1.6 | 106.2 | 0.174 | 0.696 | 1990 h | 366 i |
| 2 | 5.2 | 108.2 | 1.4 | 117.8 | 8.1 | 114.7 | 2.5 | 111.6 | 0.011 | 0.032 | - | 0.174 i |
| 3 | 2.8 | 117.2 | 1.7 | 98.9 | 3.6 | 118.8 | 2.1 | 114.4 | 0.008 | 0.031 | 4000 j | 11.3 i |
| 4 | 3.5 | 107.3 | 4.3 | 97.6 | 1.9 | 114.6 | 5.4 | 110.9 | 0.0005 | 0.002 | - | 0.001 i |
| 5 | 1.8 | 102.2 | 2.2 | 102.4 | 4.7 | 99.5 | 3.6 | 105.0 | 0.023 | 0.093 | 5000 k | - |
| 6 | 1.4 | 106.1 | 2.7 | 106.9 | 4.9 | 103.2 | 2.1 | 108.0 | 0.001 | 0.003 | 1100 j | - |
| 7 | 4.0 | 99.2 | 5.0 | 107.7 | 4.0 | 98.9 | 1.7 | 113.1 | 0.0006 | 0.002 | - | 0.105 i |
| 8 | 6.7 | 112.6 | 3.8 | 113.3 | 6.5 | 103.7 | 5.6 | 112.2 | 0.052 | 0.189 | 14,000 k | - |
| 9 | 1.6 | 118.5 | 2.0 | 114.1 | 3.2 | 117.6 | 1.4 | 117.4 | 0.002 | 0.007 | - | 0.017 i |
| 10 | 3.3 | 107.9 | 2.3 | 85.3 | 6.7 | 105.9 | 5.3 | 109.2 | 0.002 | 0.009 | - | 0.005 i |
| 11 | 2.8 | 108.0 | 2.2 | 87.1 | 3.8 | 116.5 | 2.4 | 99.7 | 0.001 | 0.003 | - | 7.25 l |
| 12 | 2.9 | 103.4 | 3.1 | 88.0 | 3.2 | 116.4 | 4.0 | 84.5 | 0.001 | 0.004 | - | 0.006 i |
| 13 | 4.2 | 116.8 | 1.9 | 118.2 | 4.1 | 119.8 | 1.2 | 117.0 | 0.0002 | 0.0007 | - | 0.033 i |
| 14 | 1.4 | 114.7 | 2.6 | 111.5 | 2.9 | 116.5 | 1.2 | 111.5 | 0.0003 | 0.001 | - | 0.164 i |
Publisher’s Note: MDPI stays neutral with regard to jurisdictional claims in published maps and institutional affiliations. |
© 2022 by the authors. Licensee MDPI, Basel, Switzerland. This article is an open access article distributed under the terms and conditions of the Creative Commons Attribution (CC BY) license (https://creativecommons.org/licenses/by/4.0/).
Share and Cite
Amann, L.S.; Frank, O.; Dawid, C.; Hofmann, T.F. The Sensory-Directed Elucidation of the Key Tastants and Odorants in Sourdough Bread Crumb. Foods 2022, 11, 2325. https://doi.org/10.3390/foods11152325
Amann LS, Frank O, Dawid C, Hofmann TF. The Sensory-Directed Elucidation of the Key Tastants and Odorants in Sourdough Bread Crumb. Foods. 2022; 11(15):2325. https://doi.org/10.3390/foods11152325
Chicago/Turabian StyleAmann, Laura Sophie, Oliver Frank, Corinna Dawid, and Thomas Frank Hofmann. 2022. "The Sensory-Directed Elucidation of the Key Tastants and Odorants in Sourdough Bread Crumb" Foods 11, no. 15: 2325. https://doi.org/10.3390/foods11152325
APA StyleAmann, L. S., Frank, O., Dawid, C., & Hofmann, T. F. (2022). The Sensory-Directed Elucidation of the Key Tastants and Odorants in Sourdough Bread Crumb. Foods, 11(15), 2325. https://doi.org/10.3390/foods11152325

