Nutrition, Healthcare Benefits and Phytochemical Properties of Cassava (Manihot esculenta) Leaves Sourced from Three Countries (Reunion, Guinea, and Costa Rica)
Abstract
:1. Introduction
2. Materials and Methods
2.1. Plant Material
2.2. Extraction Procedure
2.3. Identification and Quantification of Phytochemicals
2.3.1. Identification and Quantification of Carotenoids
2.3.2. Determination of Fibers and Ash
2.4. Evaluation of the Bioactive Potential
2.4.1. Antioxidant Activity
TPC (Total Phenolic Content) Test
DPPH (2,2-Diphenyl-1-picrylhydrazyl) Test
ORAC (Oxygen Radical Absorbance Capacity) Assay
Determination of NO (Nitric Oxide) Scavenging
Superoxide Anion Immunostaining Assay
2.4.2. Immunomodulatory Anti-Inflammatory Activity
Cell Viability by MTS/PMS Assay
Productions of NO, PGE-2, IL-6, TNF-α and MCP-1
Determination of Nitrites (NO)
IL-6 (Interleukin 6) Assay
TNF-α (Tumor Necrosis Factor Alpha) Assay
MCP-1 (Monocyte Chemoattractant Protein-1) Assay
Prostaglandin Assay
2.5. Statistical Analysis
3. Results
3.1. Phytochemicals Analysis
3.2. Antioxidant Bioactivity
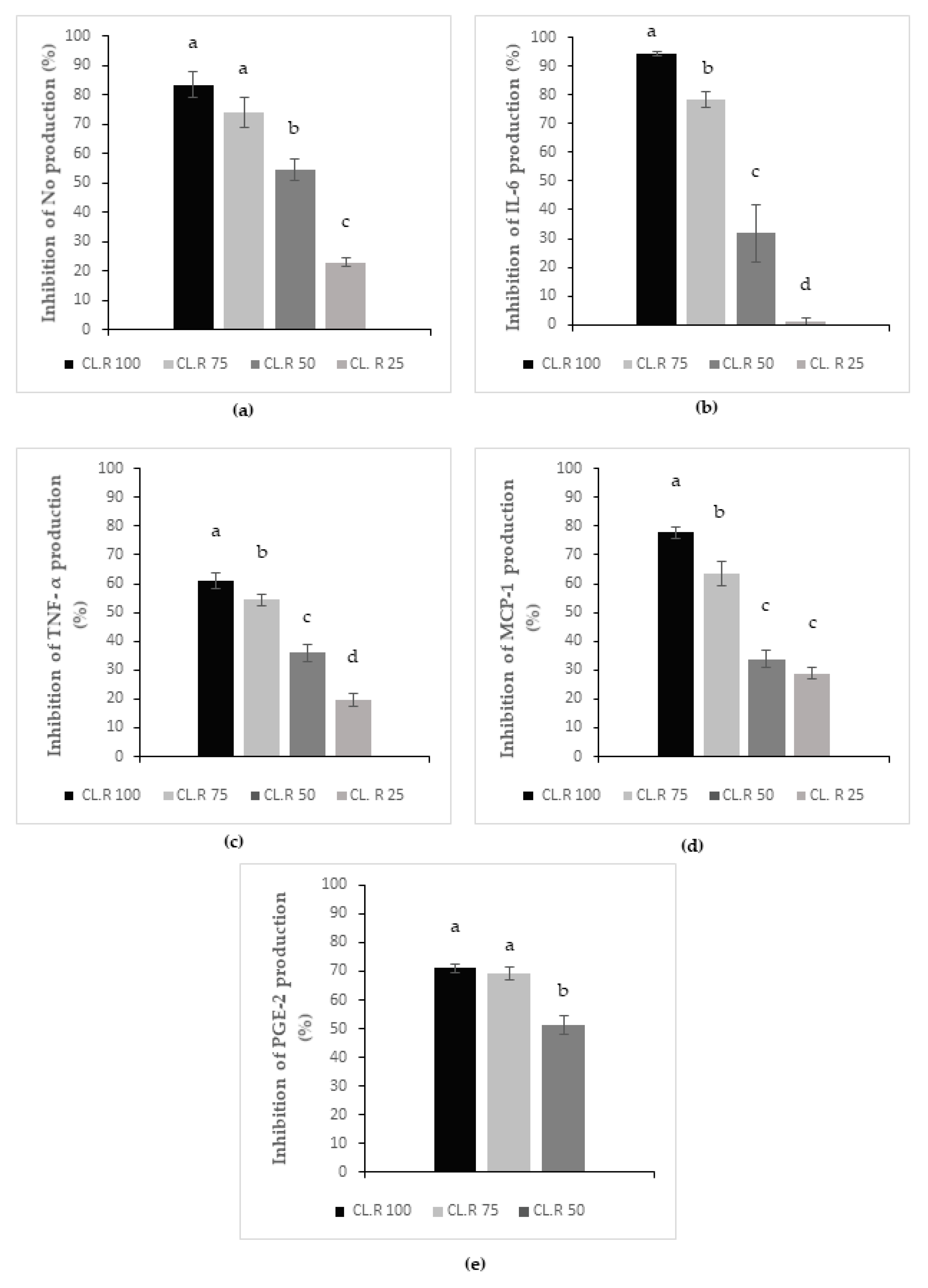
3.3. Immunomodulatory Anti-Inflammatory Bioactivity
4. Discussion
5. Conclusions
Author Contributions
Funding
Data Availability Statement
Acknowledgments
Conflicts of Interest
References
- Atanasov, A.G.; Zotchev, S.B.; Dirsch, V.M.; Supuran, C.T. Natural products in drug discovery: Advances and opportunities. Nat. Rev. Drug Discov. 2021, 20, 200–216. [Google Scholar] [CrossRef] [PubMed]
- FAO. The Global Cassava Development Strategy and Implementation. Report FAO/WHO Expert Consultation 2003, Rome. Available online: https://www.fao.org/3/y0169e/y0169e00.htm (accessed on 3 April 2022).
- Saragih, B.; Kristina, F.; Pradita, F.; Candra, K.P.; Emmawati, A. Nutritional Value, Antioxidant Activity, Sensory Properties, and Glycemic Index of Cookies with the Addition of Cassava (Manihot utilissima) Leaf Flour. J. Nutr. Sci. Vitaminol. 2020, 66, S162–S166. [Google Scholar] [CrossRef] [PubMed]
- Lancaster, P.A.; Brooks, J.E. Cassava Leaves as Human Food. Econ. Bot. 1983, 37, 331–348. [Google Scholar] [CrossRef]
- Ramalho, S.D.; Pinto, M.E.F.; Ferreira, D.; Bolzani, V.S. Biologically Active Orbitides from the Euphorbiaceae Family. Planta Med. 2018, 84, 558–567. [Google Scholar] [CrossRef] [Green Version]
- Salehi, B.; Iriti, M.; Vitalini, S.; Antolak, H.; Pawlikowska, E.; Kręgiel, D.; Sharifi-Rad, J.; Oyeleye, S.I.; Ademiluyi, A.O.; Czopek, K.; et al. Euphorbia-Derived Natural Products with Potential for Use in Health Maintenance. Biomolecules 2019, 9, 337. [Google Scholar] [CrossRef] [Green Version]
- Afoakwa, P.D.E.O. Chemical composition and cyanogenic potential of traditional and high yielding CMD resistant cassava (Manihot esculenta Crantz) varieties. Int. Food Res. J. 2021, 19, 175–181. [Google Scholar]
- Bani, S.; Kaul, A.; Jaggi, B.S.; Suri, K.A.; Suri, O.P.; Sharma, O.P. Anti-inflammatory activity of the hydrosoluble fraction of Euphorbia royleana latex. Fitoterapia 2000, 71, 655–662. [Google Scholar] [CrossRef]
- Alonazi, M.; Horchani, H.; Alwhibi, M.; Ben Bacha, A. Cytotoxic, Antioxidant, and Metabolic Enzyme Inhibitory Activities of Euphorbia cyparissias Extracts. Oxidative Med. Cell. Longev. 2020, 2020, 9835167. [Google Scholar] [CrossRef]
- WHO. Cardiovascular Diseases (CVDs). 2021. Available online: https://www.who.int/fr/news-room/fact-sheets/detail/cardiovascular-diseases-(cvds) (accessed on 3 April 2022).
- Hill, J.A.; Olson, E.N. Cardiac Plasticity. N. Engl. J. Med. 2008, 358, 1370–1380. [Google Scholar] [CrossRef]
- Cory, H.; Passarelli, S.; Szeto, J.; Tamez, M.; Mattei, J. The Role of Polyphenols in Human Health and Food Systems: A Mini-Review. Front. Nutr. 2018, 5, 87. [Google Scholar] [CrossRef] [Green Version]
- Otręba, M.; Kośmider, L.; Stojko, J.; Rzepecka-Stojko, A. Cardioprotective Activity of Selected Polyphenols Based on Epithelial and Aortic Cell Lines. A Review. Molecules 2020, 25, 5343. [Google Scholar] [CrossRef]
- Singh, B.N.; Shankar, S.; Srivastava, R.K. Green tea catechin, epigallocatechin-3-gallate (EGCG): Mechanisms, perspectives and clinical applications. Biochem. Pharmacol. 2011, 82, 1807–1821. [Google Scholar] [CrossRef] [Green Version]
- Bae, J.S. Role of high mobility group box 1 in inflammatory disease: Focus on sepsis. Arch. Pharm. Res. 2012, 35, 1511–1523. [Google Scholar] [CrossRef]
- Yahfoufi, N.; Alsadi, N.; Jambi, M.; Matar, C. The Immunomodulatory and Anti-Inflammatory Role of Polyphenols. Nutrients 2018, 10, 1618. [Google Scholar] [CrossRef] [Green Version]
- Biasutto, L.; Mattarei, A.; Zoratti, M. Resveratrol and Health: The Starting Point. Chembiochem 2021, 13, 1256–1259. [Google Scholar] [CrossRef]
- Xu, Q.; Si, L.Y. Resveratrol role in cardiovascular and metabolic health and potential mechanisms of action. Nutr. Res. 2012, 32, 648–658. [Google Scholar] [CrossRef]
- Rivera, L.; Morón, R.; Sánchez, M.; Zarzuelo, A.; Galisteo, M. Quercetin ameliorates metabolic syndrome and improves the inflammatory status in obese Zucker rats. Obesity 2000, 16, 2081–2087. [Google Scholar] [CrossRef]
- Leiherer, A.; Mündlein, A.; Drexel, H. Phytochemicals and their impact on adipose tissue inflammation and diabetes. Vasc. Pharmacol. 2013, 58, 3–20. [Google Scholar] [CrossRef]
- Eggersdorfer, M.; Wyss, A. Carotenoids in human nutrition and health. Arch. Biochem. Biophys. 2018, 652, 18–26. [Google Scholar] [CrossRef]
- Ahn, Y.J.; Kim, H. Lutein as a Modulator of Oxidative Stress-Mediated Inflammatory Diseases. Antioxidants 2021, 10, 1448. [Google Scholar] [CrossRef]
- Van Soest, P.J.; Robertson, J.B.; Lewis, B.A. Methods for Dietary Fiber, Neutral Detergent Fiber, and Nonstarch Polysaccharides in Relation to Animal Nutrition. J. Dairy Sci. 1991, 74, 3583–3597. [Google Scholar] [CrossRef]
- Morel, S.; Arnould, S.; Vitou, M.; Boudard, F.; Guzman, C.; Poucheret, P.; Fons, F.; Rapior, S. Antiproliferative and Antioxidant Activities of Wild Boletales Mushrooms from France. Int. J. Med. Mushrooms 2018, 20, 13–29. [Google Scholar] [CrossRef]
- Chaiareekitwat, S.; Latif, S.; Mahayothee, B.; Khuwijitjaru, P.; Nagle, M.; Amawan, S.; Müller, J. Protein composition, chlorophyll, carotenoids, and cyanide content of cassava leaves (Manihot esculenta Crantz) as influenced by cultivar, plant age, and leaf position. Food Chem. 2022, 372, 131173. [Google Scholar] [CrossRef] [PubMed]
- Almazan, A.M.; Theberge, R.L. Influence of cassava mosaic virus on cassava leaf-vegetable quality. Trop. Agric. 1989, 66, 305–308. [Google Scholar]
- Kubo, I.; Masuoka, N.; Nihei, K.; Burgheim, B. Maniçoba, a quercetin-rich Amazonian dish. J. Food Comp. Anal. 2006, 19, 579–588. [Google Scholar] [CrossRef]
- FAOSTAT. Food and Agricultural Organization of the United Nations. 2018. Available online: http://www.fao.org/faostat/en/#data/QC (accessed on 3 April 2022).
- Jampa, M.; Sutthanut, K.; Weerapreeyakul, N.; Tukummee, W.; Wattanathorn, J.; Muchimapura, S. Multiple Bioactivities of Manihot esculenta leaves: UV Filter, Anti-Oxidation, Anti-Melanogenesis, Collagen Synthesis Enhancement, and Anti-Adipogenesis. Molecules 2022, 27, 1556. [Google Scholar] [CrossRef] [PubMed]
- Linn, K.Z.; Myint, P.P. Estimation of nutritive value, total phenolic content and in vitro antioxidant activity of Manihot esculenta Crantz. (Cassava) leaf. J. Med. Plants 2018, 6, 73–78. [Google Scholar]
- Tao, H.; Cui, B.; Zhang, H.; Bekhit, A.E.-D.; Lu, F. Identification and characterization of flavonoids compounds in cassava leaves (Manihot esculenta Crantz) by HPLC/FTICR-MS. Int. J. Food Prop. 2019, 22, 1134–1145. [Google Scholar] [CrossRef] [Green Version]
- Umuhozariho, M.G.; Shayo, N.B.; Msuya, J.M.; Sallah, P.Y.K. Cyanide and selected nutrients content of different preparations of leaves from three cassava species. Afr. J. Food Sci. 2014, 8, 122–129. [Google Scholar]
- Tsumbu, C.N.; Deby-Dupont, G.; Tits, M.; Angenot, L.; Franck, T.; Serteyn, D.; Mouithys-Mickalad, A. Antioxidant and antiradical activities of Manihot esculenta Crantz (Euphorbiaceae) leaves and other selected tropical green vegetables investigated on lipoperoxidation and phorbol-12-myristate-13-acetate (PMA) activated monocytes. Nutrients 2011, 3, 818–838. [Google Scholar] [CrossRef] [Green Version]
- Laya, A.; Koubala, B.B. Polyphenols in cassava leaves (Manihot esculenta Crantz) and their stability in antioxidant potential after in vitro gastrointestinal digestion. Heliyon 2020, 6, e03567. [Google Scholar] [CrossRef]
- Chandrika, U.G.; Basnayake, B.M.; Athukorala, I.; Colombagama, P.W.; Goonetilleke, A. Carotenoid content and in vitro bioaccessibility of lutein in some leafy vegetables popular in Sri Lanka. J. Nutr. Sci. Vitaminol. 2010, 56, 203–207. [Google Scholar] [CrossRef] [Green Version]
- Li, N.; Wu, X.; Zhuang, W.; Xia, L.; Chen, Y.; Wang, Y.; Wu, C.; Rao, Z.; Du, L.; Zhao, R.; et al. Green leafy vegetable and lutein intake and multiple health outcomes. Food Chem. 2021, 360, 130145. [Google Scholar] [CrossRef]
- Valko, M.; Leibfritz, D.; Moncol, J.; Cronin, M.T.D.; Mazur, M.; Telser, J. Free radicals and antioxidants in normal physiological functions and human disease. Int. J. Biochem. Cell Biol. 2007, 39, 44–84. [Google Scholar] [CrossRef]
- Ayele, H.H.; Latif, S.; Bruins, M.E.; Müller, J. Partitioning of Proteins and Anti-Nutrients in Cassava (Manihot esculenta Crantz) Leaf Processing Fractions after Mechanical Extraction and Ultrafiltration. Foods 2021, 10, 1714. [Google Scholar] [CrossRef]
- Bendary, E.; Francis, R.R.; Ali, H.M.G.; Sarwat, M.I.; El Hady, S. Antioxidant and structure–activity relationships (SARs) of some phenolic and anilines compounds. Ann. Agric. Sci. 2013, 58, 173–181. [Google Scholar] [CrossRef] [Green Version]
- Côté, J.; Caillet, S.; Doyon, G.; Sylvain, J.F.; Lacroix, M. Bioactive compounds in cranberries and their biological properties. Crit. Rev. Food Sci. Nutr. 2010, 50, 666–679. [Google Scholar] [CrossRef]
- Ninfali, P.; Bacchiocca, M. Polyphenols and antioxidant capacity of vegetables under fresh and frozen conditions. J. Agric. Food Chem. 2003, 51, 2222–2226. [Google Scholar] [CrossRef]
- Rubin, L.P.; Ross, A.C.; Stephensen, C.B.; Bohn, T.; Tanumihardjo, S.A. Metabolic Effects of Inflammation on Vitamin A and Carotenoids in Humans and Animal Models. Adv. Nutr. 2017, 8, 197–212. [Google Scholar] [CrossRef] [Green Version]
- Adeyemi, O.O.; Yemitan, O.K.; Afolabi, L. Inhibition of chemically induced inflammation and pain by orally and topically administered leaf extract of Manihot esculenta Crantz in rodents. J. Ethnopharmacol. 2008, 119, 6–11. [Google Scholar] [CrossRef]
- Chen, L.; Yang, G.; Grosser, T. Prostanoids and inflammatory pain. Prostaglandins Other Lipid Mediat. 2013, 104–105, 58–66. [Google Scholar] [CrossRef]
- Miladiyah, I.; Dayi, F.; Desrini, S. Analgesic activity of ethanolic extract of Manihot esculenta Crantz leaves in mice. Univ. Med. 2011, 30, 3–10. [Google Scholar]
- Latif, S.; Müller, J. Potential of cassava leaves in human nutrition: A review. Trends Food Sci. Technol. 2015, 44, 147–158. [Google Scholar] [CrossRef]


| Phytochemical Composition of Cassava Leaves (% DM/mg·100 g−1) | ||||||
|---|---|---|---|---|---|---|
| Sample | Fibers | Ash | Carotenoids | |||
| Hemicellulose | Cellulose | Lignin | Lutein | β-Carotene | ||
| CL.R | 12.32 ± 0.65 b | 7.59 ± 0.38 a | 22.34 ± 0.35 c | 7.62 ± 0.28 a | 26.1 ± 2.6 a | 35.1 ± 5.35 a |
| CL.G | 13.97 ± 0.22 a | 7.43 ± 0.36 a | 26.69 ± 0.40 a | 6.51 ± 0.49 b | 5.0 ± 0.3 b | 9.0 ± 0.47 c |
| CL.Cr | 12.46 ± 0.50 b | 8.33 ± 0.34 a | 20.61 ± 0.55 b | 7.55 ± 0.35 a | 23.7 ± 2.1 a | 25.6 ± 1.94 b |
| Antioxydant Activity | ||||
|---|---|---|---|---|
| Samples | TPC in mg GAE/g EDW | DPPH | ORAC µmol TE/g EDW | |
| µmol TE/g EDW | Inhibition (%) at 1 mg/mL | |||
| CL.R | 109.71 ± 5.48 b | 112.43 ± 8.61 b | 78.81 ± 5.37 a | 3233.82 ± 443.63 a |
| CL.G | 100.65 ± 11.30 b | 93.00 ± 13.41 b | 64.33 ± 3.47 b | 3083.16 ± 295.10 a |
| CL.Cr | 133.75 ± 4.21 a | 95.05 ± 1.49 b | 73.79 ± 4.88 ab | 2904.56 ± 180.26 a |
| R | 47.82 ± 2.44 c | 269.67 ± 14.55 a | N. D | 2624 ± 45.08 a |
Publisher’s Note: MDPI stays neutral with regard to jurisdictional claims in published maps and institutional affiliations. |
© 2022 by the authors. Licensee MDPI, Basel, Switzerland. This article is an open access article distributed under the terms and conditions of the Creative Commons Attribution (CC BY) license (https://creativecommons.org/licenses/by/4.0/).
Share and Cite
Boukhers, I.; Boudard, F.; Morel, S.; Servent, A.; Portet, K.; Guzman, C.; Vitou, M.; Kongolo, J.; Michel, A.; Poucheret, P. Nutrition, Healthcare Benefits and Phytochemical Properties of Cassava (Manihot esculenta) Leaves Sourced from Three Countries (Reunion, Guinea, and Costa Rica). Foods 2022, 11, 2027. https://doi.org/10.3390/foods11142027
Boukhers I, Boudard F, Morel S, Servent A, Portet K, Guzman C, Vitou M, Kongolo J, Michel A, Poucheret P. Nutrition, Healthcare Benefits and Phytochemical Properties of Cassava (Manihot esculenta) Leaves Sourced from Three Countries (Reunion, Guinea, and Costa Rica). Foods. 2022; 11(14):2027. https://doi.org/10.3390/foods11142027
Chicago/Turabian StyleBoukhers, Imane, Frederic Boudard, Sylvie Morel, Adrien Servent, Karine Portet, Caroline Guzman, Manon Vitou, Joelle Kongolo, Alain Michel, and Patrick Poucheret. 2022. "Nutrition, Healthcare Benefits and Phytochemical Properties of Cassava (Manihot esculenta) Leaves Sourced from Three Countries (Reunion, Guinea, and Costa Rica)" Foods 11, no. 14: 2027. https://doi.org/10.3390/foods11142027
APA StyleBoukhers, I., Boudard, F., Morel, S., Servent, A., Portet, K., Guzman, C., Vitou, M., Kongolo, J., Michel, A., & Poucheret, P. (2022). Nutrition, Healthcare Benefits and Phytochemical Properties of Cassava (Manihot esculenta) Leaves Sourced from Three Countries (Reunion, Guinea, and Costa Rica). Foods, 11(14), 2027. https://doi.org/10.3390/foods11142027

