Outstanding Approach to Enhance the Safety of Ready-to-Eat Rice and Extend the Refrigerated Preservation
Abstract
:1. Introduction
2. Materials and Methods
2.1. Sample Collection
2.2. Microorganisms and Chemicals
2.3. Selection of Spices for Rice Preservation
2.4. Extraction of Aromatic Compounds
2.5. Preparation of Water Extract (W.A.)
2.6. Determination of Bacterial and Fungal Count
2.7. Determination of Aromatic Compounds by GC-MS
2.8. Encapsulation of Aromatic Extract
2.9. Characterization of Encapsulated Aromatic Extract
2.10. Determination of the WA-Bioactive Molecules
2.11. Determination of Antibacterial and Antifungal Properties
2.12. Antiaflatoxigenic Properties in Simulated Media
2.13. Mycotoxin Determination in Simulated Media
2.14. Simulated Experiment for Bacterial Contamination in Ready-to-Eat Rice
2.15. Statistical Analysis
3. Results
3.1. Normal Contamination of Rice Samples
3.2. Determination of Aromatic Molecules
3.3. Characterization of Encapsulated Aromatic Extract
3.4. Determination of the WA-Bioactive Molecules
3.5. Determination of Antibacterial and Antifungal Activity
3.6. Antiaflatoxigenic Properties in Simulated Media
3.7. Anti-Penicillium Properties and Toxin Reduction
3.8. Sensory Evaluation of Ready-to-Eat Rice Samples
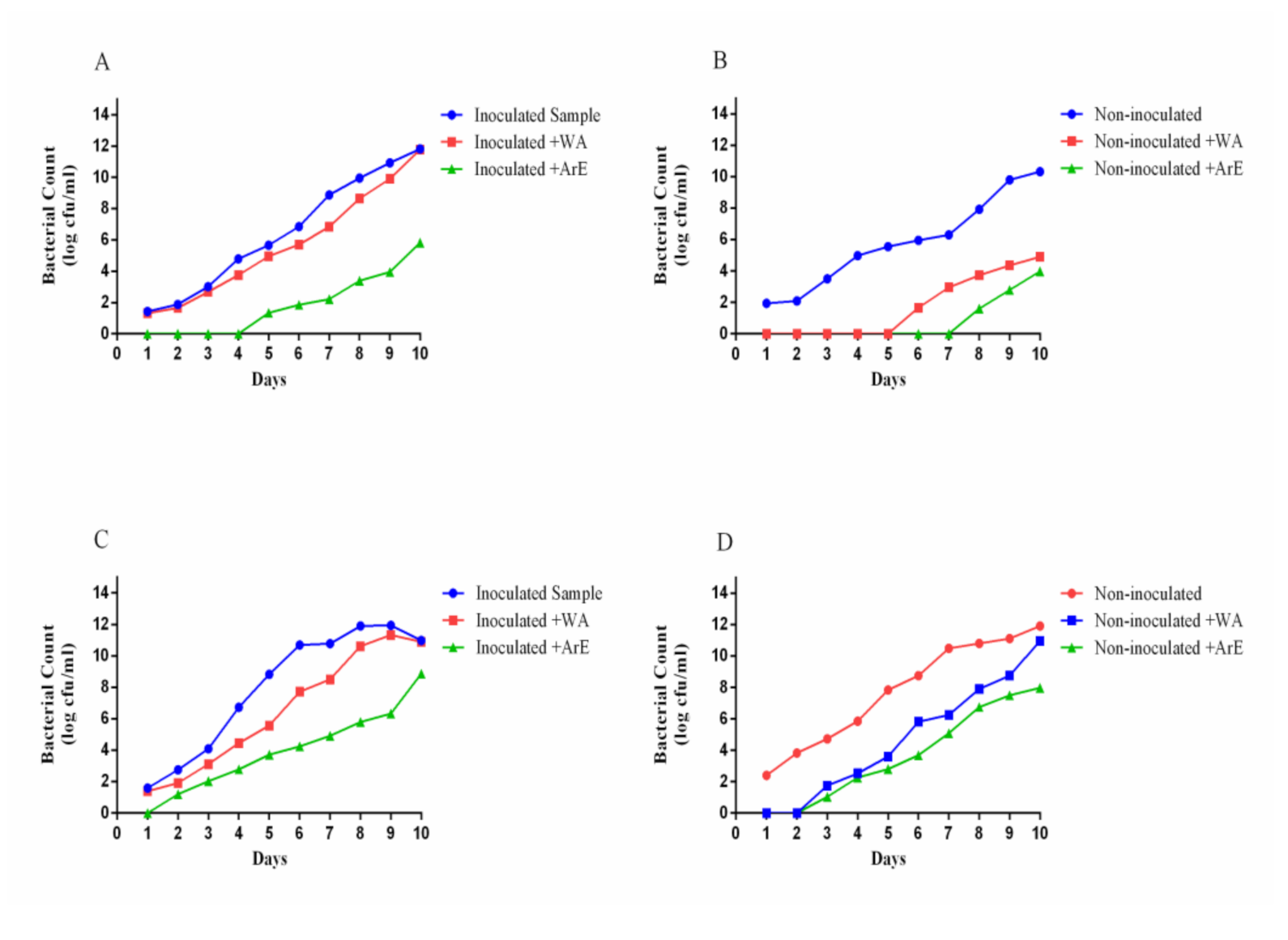
3.9. Simulated Experiment for Bacterial Contamination in Ready-to-Eat Rice
4. Discussion
5. Conclusions
Author Contributions
Funding
Institutional Review Board Statement
Informed Consent Statement
Data Availability Statement
Acknowledgments
Conflicts of Interest
References
- Adiama, Y.B.; Sawyerr, O.H.; Olaniyi, O.A.; Fregene, A.F.; Alabede, M.; Olalekan, R.M. Assessment of Microbiological Quality of Ready to Eat Food Served in Ships Along Warri, Koko and Port Harcourt Water Ways, Nigeria. Online J. Microbiol. Res. 2022, 1, 1–7. [Google Scholar] [CrossRef]
- Kingwell-Banham, E.; Bohingamuwa, W.; Perera, N.; Adikari, G.; Crowther, A.; Fuller, D.Q.; Boivin, N. Spice and rice: Pepper, cloves, and everyday cereal foods at the ancient port of Mantai, Sri Lanka. Antiquity 2018, 92, 1552–1570. [Google Scholar] [CrossRef]
- Hariram, U.; Labbé, R.G. Growth and inhibition by spices of growth from spores of enterotoxigenic Bacillus cereus in cooked rice. Food Control 2016, 64, 60–64. [Google Scholar] [CrossRef] [Green Version]
- Badr, A.N.; El-Said, M.; Elmessery, T.; Abdel-Razek, A.G. Non-traditional oils encapsulation as novel food additive-enhanced yogurt safety against aflatoxins. Pak. J. Biol. Sci. 2019, 22, 51–58. [Google Scholar] [CrossRef] [Green Version]
- Ozogul, Y.; Yuvka, I.; Ucar, Y.; Durmus, M.; Kösker, A.R.; Öz, M.; Ozogul, F. Evaluation of effects of nanoemulsion based on essential herb oils (rosemary, laurel, thyme, and sage) on the sensory, chemical and microbiological quality of rainbow trout (Oncorhynchus mykiss) fillets during ice storage. LWT 2017, 75, 677–684. [Google Scholar] [CrossRef]
- El-Nawawy, M.A.; Al-Jassir, M.S. Studies on some spices used in Saudi Arabian foods. 2.-incidence of aerobic spore formers and the behavior of bacteriological flora of spices in Kabsa [a dish made of rice and meat]. Ann. Agric. Sci. Moshtohor 1991, 29, 292–939. [Google Scholar]
- Blikra, M.J.; Løvdal, T.; Vaka, M.R.; Roiha, I.S.; Lunestad, B.T.; Lindseth, C.; Skipnes, D. Assessment of food quality and microbial safety of brown macroalgae (Alaria esculenta and Saccharina latissima). J. Sci. Food Agric. 2019, 99, 1198–1206. [Google Scholar] [CrossRef]
- Girma, G.; Ketema, T.; Bacha, K. Microbial load and safety of paper currencies from some food vendors in Jimma Town, Southwest Ethiopia. BMC Res. Notes 2014, 7, 843. [Google Scholar] [CrossRef] [Green Version]
- Gram, L.; Ravn, L.; Rasch, M.; Bruhn, J.B.; Christensen, A.B.; Givskov, M. Food spoilage—Interactions between food spoilage bacteria. Int. J. Food Microbiol. 2002, 78, 79–97. [Google Scholar] [CrossRef]
- Navaneethan, Y.; Effarizah, M.E. Prevalence, toxigenic profiles, multidrug resistance, and biofilm formation of Bacillus cereus isolated from ready-to-eat cooked rice in Penang, Malaysia. Food Control 2021, 121, 107553. [Google Scholar] [CrossRef]
- Albaridi, N.A.; Yehia, H.M. The real role of select herb and spice extracts against Bacillus cereus ATCC 14579 growth in cooked rice. Food Sci. Technol. 2021, 42, e8521. [Google Scholar] [CrossRef]
- Ayanbimpe, G.M.; Ogbonna, C.; Abiamugwhe, E. Fungal Contamination of Ready-to-Eat Cooked Foods in Catering Establishments in the University of Jos Community. J. Med. Trop. 2007, 9, 29–36. [Google Scholar] [CrossRef]
- Ezekiel, C.N.; Oyedele, O.A.; Kraak, B.; Ayeni, K.I.; Sulyok, M.; Houbraken, J.; Krska, R. Fungal Diversity and Mycotoxins in Low Moisture Content Ready-To-Eat Foods in Nigeria. Front. Microbiol. 2020, 11, 615. [Google Scholar] [CrossRef] [Green Version]
- Abdel-Nasser, A.; Fathy, H.M.; Badr, A.; Hathout, A.; Barakat, O.S. Prevalence of Aflatoxigenic Fungi in Cereal Grains And Their Related Chemical Metabolites. Egypt. J. Chem. 2022, 65. [Google Scholar] [CrossRef]
- Badr, A.N.; Naeem, M.A. Protective efficacy using Cape- golden berry against pre-carcinogenic aflatoxins induced in rats. Toxicol. Rep. 2019, 6, 607–615. [Google Scholar] [CrossRef]
- Shahat, M.S.; Badr, A.N.; Hegaziy, A.I.; Ramzy, S.; Samie, M.A. Reducing the histopathological and biochemical toxicity of aflatoxins contaminated soybean using ozone treatment. Annu. Res. Rev. Biol. 2017, 15, 1–10. [Google Scholar] [CrossRef]
- Badr, A.N.; Logrieco, A.F.; Amra, H.A.; Hussein, T. Ochratoxin A occurrence on Egyptian wheat during seasons (2009–2014). Asian J. Sci. Res. 2017, 10, 178–185. [Google Scholar] [CrossRef] [Green Version]
- Jalali Heravi, M.; Sereshti, H. Determination of essential oil components of Artemisia haussknechtii Boiss. Using simultaneous hydrodistillation-static headspace liquid phase microextraction-gas chromatography-mass spectrometry. J. Chromatogr. A 2007, 1160, 81–89. [Google Scholar] [CrossRef]
- Abdel-Salam, A.M.; Badr, A.N.; Zaghloul, A.H.; Farrag, A.R.H. Functional yogurt aims to protect against the aflatoxin B1 toxicity in rats. Toxicol. Rep. 2020, 7, 1412–1420. [Google Scholar] [CrossRef]
- Tahir, A.; Hameed, I.; Aftab, M.; Mateen, B. Microbial assessment of uncooked and cooked rice samples available in local markets of Lahore. Pak. J. Bot. 2012, 44, 67–270. [Google Scholar]
- Alsohaili, S.A.; Bani-Hasan, B.M. Morphological and molecular identification of fungi isolated from different environmental sources in the Northern Eastern desert of Jordan. Jordan J. Biol. Sci. 2018, 11, 329–337. [Google Scholar]
- Jarudilokkul, S.; Tongthammachat, A.; Boonamnuayvittaya, V. Preparation of chitosan nanoparticles for encapsulation and release of protein. Korean J. Chem. Eng. 2011, 28, 1247. [Google Scholar] [CrossRef]
- Del Pozo-Insfran, D.; Brenes, C.H.; Talcott, S.T. Phytochemical Composition and Pigment Stability of Açai (Euterpe oleracea Mart.). J. Agric. Food Chem. 2004, 52, 1539–1545. [Google Scholar] [CrossRef]
- Aguilar, O.; Hernández-Brenes, C. Use of Modified Phenolic Thyme Extracts (Thymus vulgaris) with Reduced Polyphenol Oxidase Substrates as Anthocyanin Color and Stability Enhancing Agents. Molecules 2015, 20, 22422–22434. [Google Scholar] [CrossRef] [Green Version]
- Abdel-Razek, A.G.; Shehata, M.G.; Badr, A.N.; Gromadzka, K.; Stępień, L. The effect of the chemical composition of wild Opuntia ficus indica byproducts on its nutritional quality, antioxidant and antifungal efficacy. Egypt. J. Chem. 2019, 62, 47–61. [Google Scholar] [CrossRef]
- Badr, A.N.; Gromadzka, K.; Shehata, M.G.; Stuper-Szablewska, K.; Drzewiecka, K.; Abdel-Razek, A.G. Prospective antimycotoxigenic action of wild Opuntia ficus-indica by-products. Czech J. Food Sci. 2020, 38, 308–314. [Google Scholar] [CrossRef]
- Shehata, M.G.; Badr, A.N.; El Sohaimy, S.A.; Asker, D.; Awad, T.S. Characterization of antifungal metabolites produced by novel lactic acid bacterium and their potential application as food biopreservatives. Ann. Agric. Sci. 2019, 64, 71–78. [Google Scholar] [CrossRef]
- Ahmed, E.; Elkhateeb, W.; Taleb, M.A.; Mowafi, S.; Abdelsalam, I. Wool and Silk Fabrics Dyeing by Mannitol-assisted Pigment Produced from Penicillium purpurogenum. Pharma Chem. 2018, 10, 165–176. [Google Scholar]
- Salama, H.A.; Badr, A.N.; Elkhadragy, M.F.; Hussein, A.M.S.; Shaban, I.A.-S.; Yehia, H.M. New Antifungal Microbial Pigment Applied to Improve Safety and Quality of Processed Meat-Products. Microorganisms 2021, 9, 989. [Google Scholar] [CrossRef]
- Badr, A.N.; Ali, H.S.; Abd-Elsalam, I.S.; Hussein, A.M.S.; Al-Khalifa, A.S. Anti-mycotoxigenic properties of “Fino” using the modified zinc-yeast. CyTA-J. Food 2019, 17, 163–171. [Google Scholar] [CrossRef] [Green Version]
- Jesudoss, V.A.S.; Santiago, S.V.A.; Venkatachalam, K.; Subramanian, P. Chapter 21—Zingerone (Ginger Extract): Antioxidant Potential for Efficacy in Gastrointestinal and Liver Disease. In Gastrointestinal Tissue; Gracia-Sancho, J., Salvadó, J., Eds.; Academic Press: Cambridge, MA, USA, 2017; pp. 289–297. [Google Scholar] [CrossRef]
- Beristain-Bauza, S.D.C.; Hernández-Carranza, P.; Cid-Pérez, T.S.; Ávila-Sosa, R.; Ruiz-López, I.I.; Ochoa-Velasco, C.E. Antimicrobial Activity of Ginger (Zingiber Officinale) and Its Application in Food Products. Food Rev. Int. 2019, 35, 407–426. [Google Scholar] [CrossRef]
- Yakout, S.M.; SAbd-Alrahman, H.; Mostafa, A.; Salem-Bekhit, M.M. Antimicrobial effect of seed ethanolic extract of coriander. J. Pure Appl. Microbiol. 2013, 7, 459–463. [Google Scholar]
- Mesomo, M.C.; MCorazza, L.; Ndiaye, P.M.; Santa, O.R.D.; Cardozo, L.; Scheer, A.D.P. Supercritical CO2 extracts and essential oil of ginger (Zingiber officinale R.): Chemical composition and antibacterial activity. J. Supercrit. Fluids 2013, 80, 44–49. [Google Scholar] [CrossRef]
- Mahboubi, M. Zingiber officinale Rosc. essential oil, a review on its composition and bioactivity. Clin. Phytoscience 2019, 5, 6. [Google Scholar] [CrossRef] [Green Version]
- Stahl-Biskup, E.; Holthuijzen, J. Essential oil and glycosidically bound volatiles of lemon-scented thyme, Thymus × citriodorus (Pers.) Schreb. Flavour Fragr. J. 1995, 10, 225–229. [Google Scholar] [CrossRef]
- Paolini, J.; Bouyanzer, A.; Tomi, P.; Hammouti, B.; Salghi, R.; Majidi, L.; Costa, J. Chemical composition and antioxidant activity of essential oils and solvent extracts of Thymus capitatus (L.) Hoffmanns and link from Morocco. J. Med. Plants Res. 2011, 5, 5773–5778. [Google Scholar] [CrossRef]
- Inouye, S.; Takizawa, T.; Yamaguchi, H. Antibacterial activity of essential oils and their major constituents against respiratory tract pathogens by gaseous contact. J. Antimicrob. Chemother. 2001, 47, 565–573. [Google Scholar] [CrossRef] [Green Version]
- Omidbeygi, M.; Barzegar, M.; Hamidi, Z.; Naghdibadi, H. Antifungal activity of thyme, summer savory and clove essential oils against Aspergillus flavus in liquid medium and tomato paste. Food Control 2007, 18, 1518–1523. [Google Scholar] [CrossRef]
- Cox-Georgian, D.; Ramadoss, N.; Dona, C.; Basu, C. Therapeutic and Medicinal Uses of Terpenes. In Medicinal Plants: From Farm to Pharmacy; Joshee, N., Dhekney, S.A., Parajuli, P., Eds.; Springer International Publishing: Cham, Switzerland, 2019; pp. 333–359. [Google Scholar] [CrossRef]
- Costa, M.F.; Durço, A.O.; Rabelo, T.K.; Barreto, R.D.S.S.; Guimarães, A.G. Effects of Carvacrol, Thymol and essential oils containing such monoterpenes on wound healing: A systematic review. J. Pharm. Pharmacol. 2019, 71, 141–155. [Google Scholar] [CrossRef] [Green Version]
- Shojaei, S.; Kiumarsi, A.; Moghadam, A.R.; Alizadeh, J.; Marzban, H.; Ghavami, S. Chapter Two—Perillyl Alcohol (Monoterpene Alcohol), Limonene. In The Enzymes; Bathaie, S.Z., Tamanoi, F., Eds.; Academic Press: Cambridge, MA, USA, 2014; pp. 7–32. [Google Scholar] [CrossRef]
- Loi, M.; Paciolla, C.; Logrieco, A.F.; Mulè, G. Plant Bioactive Compounds in Pre- and Postharvest Management for Aflatoxins Reduction. Front. Microbiol. 2020, 11, 243. [Google Scholar] [CrossRef]
- Abdel-Razek, A.G.; Badr, A.N.; Alharthi, S.S.; Selim, K.A. Efficacy of Bottle Gourd Seeds’ Extracts in Chemical Hazard Reduction Secreted as Toxigenic Fungi Metabolites. Toxins 2021, 13, 789. [Google Scholar] [CrossRef]
- Badr, A.N.; Stepien, L.; Drzewiecka, K.; Alharthi, S.S.; Selim, K.; Abdel-Razek, A.G. Synergistic Impact of Bioactive Byproduct Extract Leads to Anti-Fusarium and Anti-Mycotoxin Secretion. J. Fungi 2022, 8, 30. [Google Scholar] [CrossRef]
- Balasundram, N.; Sundram, K.; Samman, S. Phenolic compounds in plants and agri-industrial by-products: Antioxidant activity, occurrence, and potential uses. Food Chem. 2006, 99, 191–203. [Google Scholar] [CrossRef]
- Badr, A.N.; El-Attar, M.M.; Ali, H.S.; Elkhadragy, M.F.; Yehia, H.M.; Farouk, A. Spent Coffee Grounds Valorization as Bioactive Phenolic Source Acquired Antifungal, Anti-Mycotoxigenic, and Anti-Cytotoxic Activities. Toxins 2022, 14, 109. [Google Scholar] [CrossRef]
- Turek, C.; Stintzing, F.C. Stability of Essential Oils: A Review. Compr. Rev. Food Sci. Food Saf. 2013, 12, 40–53. [Google Scholar] [CrossRef]
- Khojah, E.Y.; Badr, A.N.; Mohamed, D.A.; Abdel-Razek, A.G. Bioactives of Pomegranate By-Products and Barley Malt Grass Engage in Cereal Composite Bar to Achieve Antimycotic and Anti-Aflatoxigenic Attributes. Foods 2022, 11, 119. [Google Scholar] [CrossRef]
- Alharthi, S.S.; Badr, A.N.; Gromadzka, K.; Stuper-Szablewska, K.; Abdel-Razek, A.G.; Selim, K. Bioactive Molecules of Mandarin Seed Oils Diminish Mycotoxin and the Existence of Fungi. Molecules 2021, 26, 7130. [Google Scholar] [CrossRef]
- Liu, J.; Du, C.; Beaman, H.T.; Monroe, M.B.B. Characterization of Phenolic Acid Antimicrobial and Antioxidant Structure-Property Relationships. Pharmaceutics 2020, 12, 419. [Google Scholar] [CrossRef]
- Abdel-Razek, A.G.; Badr, A.N.; El-Messery, T.M.; El-Said, M.M.; Hussein, A.M.S. Micro-nano encapsulation of black seed oil ameliorate its characteristics and its mycotoxin inhibition. Biosci. Res. 2018, 15, 2591–2601. [Google Scholar]
- Badr, A.N.; Youssef, M.; Abdel-Razek, A.G.; Shehata, M.G.; Hassanien, M.M.; Amra, H. Natural antioxidants: Preservation roles and mycotoxicological safety of food. Egypt. J. Chem. 2021, 64, 285–298. [Google Scholar] [CrossRef]
- Khaleel, C.; Tabanca, N.; Buchbauer, G. α-Terpineol, a natural monoterpene: A review of its biological properties. Open Chem. 2018, 16, 349–361. [Google Scholar] [CrossRef]
- Valdez, M.I.; Garcia, J.; Ubeda-Manzanaro, M.; Rodrigo, D.; Martinez, A. Insect chitosan as a natural antimicrobial against vegetative cells of Bacillus cereus in a cooked rice matrix. Food Microbiol. 2022, 107, 104077. [Google Scholar] [CrossRef]





| Compound | Rt | % | K.I. | Identification |
|---|---|---|---|---|
| α-thujene | 7.78 | 1.256 ± 0.002 | 823 | MS & KI |
| α-pinene | 10.6 | 5.389 ± 0.217 | 933 | MS & KI |
| Camphene | 8.4 | 2.561 ± 0.184 | 947 | MS, KI &ST |
| Sabinene | 9.2 | 2.877 ± 0.097 | 966 | MS & KI |
| β-pinene | 9.3 | 1.059 ± 0.055 | 975 | MS, K.I. &ST |
| β-myrcene | 9.8 | 1.390 ± 0.086 | 983 | MS & KI |
| m-cymene | 13.3 | 4.175 ± 0.211 | 991 | MS & KI |
| Citral | 16.9 | 2.608 ± 0.413 | 992 | MS & KI |
| Decanal | 6.4 | 2.644 ± 0.034 | 999 | MS & KI |
| D-limonene | 11.2 | 1.366 ± 0.171 | 1018 | MS, KI &ST |
| 1,8 Cineol | 10.2 | 3.242 ± 0.056 | 1024 | MS & KI |
| P-cymene | 11.1 | 0.825 ± 0.067 | 1028 | MS &KI |
| Limonene | 8.8 | 2.441 ± 0.039 | 1031 | MS, K.I. &ST |
| γ-terpinene | 11.8 | 1.058 ± 0.064 | 1048 | MS, KI &ST |
| 2-Decenal | 18.2 | 0.441 ± 0.041 | 1066 | MS & KI |
| Decanol | 21.1 | 0.582 ± 0.009 | 1071 | MS & KI |
| Linalool | 13.8 | 9.576 ± 0.422 | 1083 | MS & KI |
| Camphor | 17.6 | 4.646 ± 0.069 | 1118 | MS, KI &ST |
| Borneol | 16.2 | 1.069 ± 0.008 | 1165 | MS & KI |
| α-terpinol | 17.1 | 1.495 ± 0.105 | 1170 | MS & KI |
| Thymyl acetate | 18.5 | 9.088 ± 0.344 | 1234 | MS & KI |
| Geraniol | 19.6 | 6.218 ± 0.288 | 1240 | MS, K.I. &ST |
| carvacrol | 18.7 | 1.442 ± 0.061 | 1245 | MS & KI |
| Neral | 30.1 | 1.254 ± 0.073 | 1251 | MS & KI |
| Dodecenal | 23.4 | 0.642 ± 0.008 | 1257 | MS & KI |
| Thymol | 20.8 | 13.722 ± 0.674 | 1290 | MS, K.I. &ST |
| Geranyl acetate | 20.6 | 3.184 ± 0.056 | 1360 | MS, K.I. &ST |
| α-curcumene | 23.6 | 2.066 ± 0.043 | 1485 | MS & KI |
| α-zingiberene | 24.1 | 6.445 ± 0.088 | 1496 | MS, KI &ST |
| Elemol | 25.6 | 1.803 ± 0.067 | 1540 | MS & KI |
| Caryophyllene | 24.6 | 1.784 ± 0.009 | 1573 | MS & KI |
| t-Farnesol | 22.7 | 1.071 ± 0.005 | 1725 | MS & K.I. |
| A. flavus Media | ||||
|---|---|---|---|---|
| G1 | G2 | G3 | ||
| Mycelia weight (g) | 5.417 ± 0.372 | 2.058 ± 0.614 | 2.622 ± 0.218 | |
| Reduction ratio (%) | - | 62.01% | 51.59% | |
| Secreted aflatoxin (ng/mL media) | AFB1 | 219.33 ± 4.31 | 67.41 ± 5.19 | 125.23 ± 5.71 |
| AFB2 | 121.73 ± 3.64 | 38.16 ± 3.12 | 71.82 ± 3.14 | |
| AFG1 | 165.21 ± 5.66 | 58.44 ± 3.54 | 92.51 ± 2.91 | |
| AFG2 | 81.66 ± 3.17 | 29.31 ± 2.11 | 46.56 ± 2.05 | |
| Total AFs | 587.86 ± 16.78 | 193.32 ± 13.96 | 336.12 ± 13.81 | |
| Reduction (%) | - | 67.11% | 42.82% | |
| Phenolic Acids | Concentrations (mg/100 g) | Flavonoids Compounds | Concentrations (mg/100 g) |
|---|---|---|---|
| Gallic acid | 18.41± 3.26 | Catechin | 13.21 ± 1.21 |
| Pyrogallol | 188.8 ± 3.54 | Apigenin 7 glucoside | 88.3 ± 3.55 |
| Chlorogenic acid | 48.63 ± 4.79 | Catechol | 51.14± 2.81 |
| Protocatechuic acid | 15.17 ± 2.37 | Epicatechin | 29.11 ± 2.54 |
| Trans-ferulic acid | 79.84 ± 3.19 | Rutin trihydrate | 45.73± 1.55 |
| Caffeine | 218.4 ± 3.51 | Naringenin | 645.3 ± 9.41 |
| Vanillic acid | 84.22 ± 2.99 | Quercetin | 202.6± 4.88 |
| Caffeic acid | 137.58 ± 4.18 | Luteolin 7 glucoside | 1448.9 ± 21.7 |
| Ferulic acid | 225.71 ± 3.79 | Hesperidin | 8599.6 ± 28.4 |
| p-hydroxybenzoic acid | 242.8 ± 6.25 | Naringenin-7-o-glucoside | 97.36 ± 2.31 |
| Ellagic | 456.74 ± 8.64 | Rosmarinic | 29.7 ± 3.41 |
| Benzoic acid | 131.4 ± 3.54 | Quercitrin | 24.73 ± 4.18 |
| p-Coumaric acid | 87.9 ± 3.75 | Kaempferol 3.7 dirhamoside | 228.16 ± 3.79 |
| Salicylic acid | 907.16 ± 8.21 | Acacetin | 69.41 ± 3.16 |
| Coumarin | 31.5 ± 3.05 | Hispertin | 109.3 ± 4.22 |
| Syringic acid | 7.87± 2.19 | Isorhamnetin-3-o-rutinoside | ND |
| Cinnamic acid | 63.1 ± 2.31 | Apigenin | 29.9 ± 2.14 |
| Sinapic acid | ND | Chrysin | ND |
Publisher’s Note: MDPI stays neutral with regard to jurisdictional claims in published maps and institutional affiliations. |
© 2022 by the authors. Licensee MDPI, Basel, Switzerland. This article is an open access article distributed under the terms and conditions of the Creative Commons Attribution (CC BY) license (https://creativecommons.org/licenses/by/4.0/).
Share and Cite
Albaridi, N.A.; Badr, A.N.; Ali, H.S.; Shehata, M.G. Outstanding Approach to Enhance the Safety of Ready-to-Eat Rice and Extend the Refrigerated Preservation. Foods 2022, 11, 1928. https://doi.org/10.3390/foods11131928
Albaridi NA, Badr AN, Ali HS, Shehata MG. Outstanding Approach to Enhance the Safety of Ready-to-Eat Rice and Extend the Refrigerated Preservation. Foods. 2022; 11(13):1928. https://doi.org/10.3390/foods11131928
Chicago/Turabian StyleAlbaridi, Najla A., Ahmed Noah Badr, Hatem Salama Ali, and Mohamed Gamal Shehata. 2022. "Outstanding Approach to Enhance the Safety of Ready-to-Eat Rice and Extend the Refrigerated Preservation" Foods 11, no. 13: 1928. https://doi.org/10.3390/foods11131928
APA StyleAlbaridi, N. A., Badr, A. N., Ali, H. S., & Shehata, M. G. (2022). Outstanding Approach to Enhance the Safety of Ready-to-Eat Rice and Extend the Refrigerated Preservation. Foods, 11(13), 1928. https://doi.org/10.3390/foods11131928

