Abstract
Momordica charantia L. (Cucurbitaceae) is rich in saponins, which have multiple biological effects. In this study, the total saponins of M. charantia were extracted by high hydrostatic pressure (HHP) technology. The optimal extraction process was determined (ethanol concentration 68%, pressure-holding time 8 min, ratio of material to solvent 1:35 and pressure 510 MPa), and the extraction amount of saponins reached 127.890 mg/g. On this basis, an ionic liquid-based aqueous biphasic system was constructed to purify the total saponins. Under the optimized conditions, the purity of M. charantia saponins was 76.06%. Liquid chromatography–mass spectrometry (LC/MS) was used to characterize the saponins in the purified extract of M. charantia. It was found that there were four kinds of saponins in the extract of M. charantia: kuguaglycoside A, momordicoside L, kuguacin B and kuguacin J, providing a basis for the study of the biological activity of saponins.
1. Introduction
Momordica charantia L. (Cucurbitaceae), commonly known as bitter gourd or bitter melon [1], is commonly cultivated in India, China, and Central and South American countries [2]. M. charantia contains saponins, proteins, polysaccharides, polyphenols, steroids, and other bioactive components [3]. Among them, saponins have antiinflammatory, antidiabetic, immune enhancement, anticancer and other biological activities [4,5]. It has been proposed that these therapeutic effects are associated with extracts prepared from M. charantia [6]. Extracts of M. charantia have been reported to depress the level of plasma glucose [7].
At present, the extraction of total saponins mainly adopts solvent extraction [8], ultrasonic [9], microwave-assisted extraction [10], reflux extraction [11] and other techniques [12]. Traditional extraction methods such as heat reflux extraction and maceration extraction may be time-consuming and require relatively large quantities of solvent [11]. The high hydrostatic pressure (HHP) technique uses a controllable temperature in the process of extraction, which is beneficial to the study of biological activity and reduces the loss of volatile components [13] and the effect of temperature on biological activity. Recent applications of HHP technology have been broadly used in the extraction of saponins [14], flavonoids and polysaccharides [15], and polyphenols [16]. It has been suggested that high pressure can cause cell deformation, cell membrane damage and even cell rupture, thereby allowing the contents to ooze out [17]. Therefore, the optimal process conditions for the extraction of saponins were investigated, which could provide the basis for the study of the biological activity of saponins in M. charantia.
The extracted solutions generally contain many other chemical constituents as well as saponins; in order to ensure the pharmacological activities of the extracted solutions, a feasible method to prepare high-purity total saponins is needed [18]. At present, the most commonly used methods for the purification of saponins include macroporous resin adsorption, aqueous biphasic systems, liquid–liquid extraction and membrane separation. Ionic liquid (IL) is a liquid salt with low volatility and high stability [19]. What is more, IL can be designed by combining multiple cations and anions to allow for the efficient extraction of different target compounds. Compared to traditional purification methods, IL technology is simple to operate, and is fast and efficient. Ionic liquids have been used to extract aromatics from aliphatics [20] and rare-earth elements [21]. The structure of IL is closely related to its physical and chemical properties, which determine its performance in purification. Due to its strong ability to destroy cell walls and dissolve compounds of imidazole-type IL, it is often used to extract small molecule natural products from herbal medicines [22]. In addition, imidazole-type IL usually has a high phase separation capacity owing to its low density charge. Aqueous biphasic systems (ABS) have been used in previous studies to concentrate or purify extracts [12]. Huang et al. [23] used alcohol/K2HPO4 ABS to concentrate glycyrrhizin from licorice extract. Nevertheless, the purity of the resulting triterpenoid saponins was low due to the interference of phenolic compounds. Ionic liquid-based aqueous biphasic systems (IL-based ABS) were first developed by Gutowski, Broker and Willauer [24], and have been applied as an effective method for the preconcentration or purification of a wide range of compounds [25]. Ji et al. [12] replaced the inorganic salt fraction in IL-based ABS with sodium hydroxide to produce deprotonated (ionized) forms in an acid-base neutralization reaction, which can purify triterpenoid saponins. IL-based ABS has received more attention than conventional polymer ABS due to its adjustable extraction capability, easily achievable phase separation and mild operating conditions. Nevertheless, no purification of M. charantia saponins by using IL-based ABS has been reported.
The technology for preparing M. charantia powder is relatively simple and well established. Popovich et al. [26] removed the seeds and cut M. charantia into small pieces, then lyophilized these to prepare M. charantia powder. Tan et al. [10] used a similar method to prepare M. charantia whole fruit powder. Thus, we utilized purchased M. charantia powder to investigate the effect of the HHP auxiliary extraction treatment on the production of total saponins from M. charantia. In addition, we report here the procedure of IL-based ABS, which was used for the purification of the extracted M. charantia and to optimize the purification conditions. Finally, liquid chromatograph–mass spectrometry (LC/MS) was performed to identify the composition of the extracted solutions after being purified.
2. Materials and Methods
2.1. Chemicals
The standard of dioscin and 1-butly-3-methylimidazolium tetrafluoroborate ([C4MIM]BF4, ≥97.0%, CAS: 174501-65-6) were purchased from Solarbio (Beijing, China). Vanillin (≥99.0%, CAS: 121-33-5) was obtained from Tianjin Kemiou Chemical Reagent Co., Ltd. (Tianjin, China). Chromatographic grade methanoic acid (≥98.0%, CAS: 64-18-6) and acetonitrile (≥99.9%, CAS: 75-05-8) were obtained from Sigma-Aldrich-Fluka (Shanghai, China) and used for high performance liquid chromatography (HPLC) analysis. Other kinds of solvent used in the experiment, such as ethanol, were analytical grade and purchased from Sichuan Xilong Chemical Works (Chengdu, China). M. charantia powder (M. charantia pericarp and inner tissue were dehydrated, then vacuum dried) was purchased from Hunan Changsha Bojian Biological Technology Co., Ltd. (Changsha, China).
2.2. Extraction of Total Saponins
2.2.1. Single Factor Experiments for Extraction
The M. charantia power was passed by 60 mesh sieve used for analysis. High hydrostatic pressure equipment (HHP 600 MPa/10 L, Baotou Kefa High Pressure Technology Co., Ltd., Baotou, China) with a pressure vessel volume of 10 L was used for high pressure treatment. The unit has an output pressure range of 0 to 600 MPa. The pressure come-up time using this system was approximately 90 s and the pressure release was an average of 20 s. Processed samples were transferred into a sterile polyethylene bag and heat-sealed under a vacuum. The bags were placed into the pressure vessel and treated in different conditions. In this experiment, the output of total saponins from M. charantia was used as an evaluation index, and a 4-factor, 7-level scheme was used to screen the appropriate range. The four factors with seven levels were as follows [13,15], ethanol concentration (55%, 60%, 65%, 70%, 75%, 80%, 85%), pressure-holding time (2, 4, 6, 8, 10, 12, 14 min), material to solvent ratio (1:15, 1:20, 1:25, 1:30, 1:35, 1:40, 1:45 g/mL) and pressure (300, 350, 400, 450, 500, 550, 600 MPa).
2.2.2. Box–Behnken Design for Extraction Process
According to the results Table S1, three levels for pressure, pressure-holding time, ethanol concentration and material to solvent ratio were selected for Box–Behnken design (BBD), and the experimental schemes of BBD were described with twenty-four factorial points and five replicates of central points.
2.3. Purification of Total Saponins
2.3.1. Single Factor Experiments for Purification
The total saponins from M. charantia were purified using methods adapted from the literature with minor modifications [12]. M. charantia powder (0.5 g) was added into the IL aqueous solutions ([C4MIM]BF4), sodium hydroxide was added and the mixture was vortexed until the two phases were separated, and then, centrifuged for 5 min at 1800× g. In order to obtain the optimal [C4MIM]BF4 concentration, the concentration of sodium hydroxide and the material to solvent ratio for purification of total saponins by IL-based ABS, a series of single factor experiments were conducted. The [C4MIM]BF4 concentration range from 0.5 to 2.5 M was performed to investigate the influence of [C4MIM]BF4 concentration on the extraction efficiency of total saponins, with the same sodium hydroxide concentration and material to solvent ratio. Likewise, the sodium hydroxide concentration (6–14%) and material to solvent ratio (1:6–1:14 g/mL) were also explored, respectively.
2.3.2. Box–Behnken Design Optimization for Purification Process
A response surface methodology with the Box–Behnken system was employed to design an experiment consisting of 17 runs with 12 factorial points and 5 central points. The independent parameters were [C4MIM]BF4 concentration (A), material to solvent ratio (B) and sodium hydroxide concentration (C), and the chosen code variable levels for each were based on the preliminary experiments (Table S2). To express the purity as a function of the independent variables, a 2nd-order polynomial equation was generated as follows
where Y is the dependent response (purity); A, B and C are the levels of the independent variables [C4MIM]BF4 concentration, material to solvent ratio, and sodium hydroxide concentration, respectively, and a0, ai, aii and aij are the regression coefficients of the variables for the offset, linear, quadratic and interaction terms, respectively.
Yi = a0 + a1A + a2B + a3C + a11A2 + a22B2 + a33C2 + a12AB + a13AC + a23BC
2.4. Determination of the Total Saponins Content
Total saponin content from M. charantia extracts was carried out by enzyme-labeled instrument (PerkinElmer, Waltham, MA, USA) according to the method described by Perez et al. [8]. Ethanol was used as solvent to prepare different concentrations of standard dioscin (from 0 to 300 μg/mL), then a standard curve was drawn. The reaction consisted of the addition of 250 µL of standard dilution to 8% vanillin–acetic acid solution (250 µL). After vortexing, 72% sulfuric acid aqueous solution (2.5 mL) was added to the reaction mixture followed by incubation at 60 °C in a water bath for 10 min. The sample was cooled to room temperature and absorbance values were recorded at 544 nm. The total saponins’ content of extracts was expressed as diosgenin equivalent (DE) mg/g of freeze-dried extracts.
The total saponins’ extract of 1.0 g M. charantia power was concentrated at 40 °C (90 r/min) until there was no visible smell of ethanol and no bubbles. Concentrated extract was subsequently lyophilized prior to analysis, then redissolved with ethanol to 10 mL. Ethanol was used to replace the sample as control, and the content of total saponins was determined according to the above method. The estimation of total saponin content was calculated according to the standard graph. All the colorimetric experiments were performed in triplicate.
2.5. Purification of Total Saponins from M. charantia
The purification of extracted solution from M. charantia was determined using method with minor modifications [12]. Figure 1 illustrates the process flow combining extraction and purification of total saponins from M. charantia by IL-based ABS-based high hydrostatic pressure extraction. A total of 0.5 g M. charantia powder was added to the aqueous solution of IL ([C4MIM]BF4) according to a certain ratio of material to solvent. After vortexing at room temperature, a certain concentration of sodium hydroxide was added, and continued to vortex until the two phases were separated. Subsequently, centrifuging for 5 min at 1800× g, the sodium hydroxide-rich lower phase was completely isolated from the IL-rich upper phase.
Figure 1.
Flow chart for extraction and purification of total saponins from Momordica charantia L. by ionic liquid-based aqueous biphasic systems (IL-based ABS) based high hydrostatic pressure (HHP) extraction.
2.6. Calculation of Extraction Efficiency and Purity of Total Saponins
The lower phase was lyophilized, then redissolved with ethanol. The content of total saponins from M. charantia was determined by the same method as Section 2.4, and the extraction efficiency (E, mg/g) and purity of saponins (P, %) were calculated as follows:
where m (g) is the weight of powder of M. charantia. X (mg) and M (mg) are the content of total saponins in sodium hydroxide-rich lower phase and weight of freeze-dried total saponins powder, respectively.
2.7. LC/MS Conditions and Parameters
Under optimal extraction and purification conditions, sample solutions were prepared with 10.0 mg of total saponins, and diluted to 10 mL with chromatographic methanol, then filtered through 0.22 μm membrane for further experiments.
LC/MS analysis was performed on Triple quadrupole Tandem Mass Spectrometer (Qtrap 5500, SCIEX, Framingham, MA, USA). The chromatographic and MS conditions were determined by method described by Perez et al. [8] with some modification. The main chemical components of saponins were separated on a C18 chromatographic column (ZORBAX SB-C18, 250 mm × 4.6 mm, 5 μm, Agilent Technologies Inc., Santa Clara County, CA, USA) at flow rate 1.0 mL/min and detection with the wavelength 208 nm. The mobile phase consisted of 0.1% formic acid in water (solvent A) and 0.1% acetonitrile solution of formic acid (solvent B). The gradient elution was as follows: 10–70% B from 0 to 15 min, 70–100% B from 15 to 20 min, 100% B from 20 to 42 min. The LC/MS operating conditions were as follows: positive ion modes, scan with a scanning range of 400–850 m/z, drying gas with 600 L/h and 400 °C, and a capillary voltage of 3000 V. Comparing the accurate masses obtained from mass spectrometry data with theoretical values obtained from the literature, the accuracy between measured and theory data was reported as Δppm. The Δppm is calculated as follows:
where massexp- is the experimental mass and the masscalc- is the mass calculated from molecular formulas obtained from the literature. If Δppm values are within ±50 ppm, the compound is considered a positive match.
2.8. Statistical Analysis
Statistical analysis was performed using SPSS 20.0, p-value < 0.05 was considered statistically significant and p-value < 0.01 was considered highly significant.
3. Results and Discussion
3.1. Single Factor Experiments of Extraction Conditions
3.1.1. Pressure
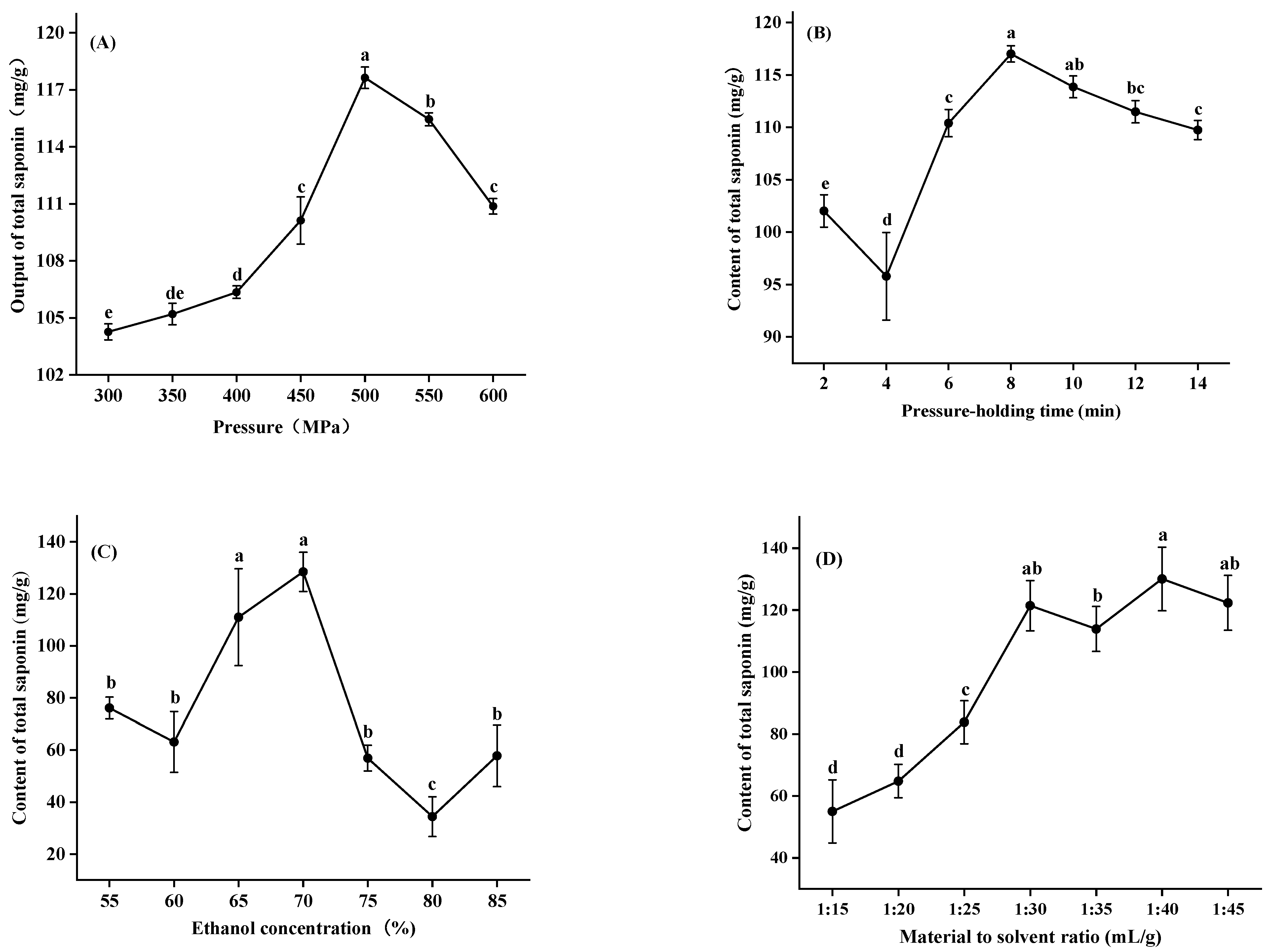
As can be seen from Figure 2A, the output of total saponins obtained by the HHP method shows a similar trend with the pressure when the extraction conditions are fixed to a holding time of 8 min, the solvent is 70% ethanol and the ratio of material to solvent is 1:30. Under constant conditions, a higher pressure helps to increase the extraction output. For instance, when the extract pressure increased from 300 MPa to 500 MPa, the output of total saponins distinctly increased and the maximum extraction output was achieved (117.629 mg/g). It is worth noting that the output of total saponin decreased rapidly when the extraction pressure was higher than 500 MPa (p < 0.5). This is because higher pressure treatment not only affects the structure of cells, but also affects the speed of the solvent entry to cells and the intracellular substance release [13]. The decrease in total saponin content may be due to the excessive pressure; the cell structure tends to be close, which prevents the saponins’ dissolution.
Figure 2.
Effect of pressure (A), pressure-holding time (B), ethanol concentration (C) and material to solvent ratio (D) on the output of total saponins for HHP extraction. Values are means of triplicate ± standard deviation. Different letters represent significant differences (p < 0.05).
3.1.2. Pressure-Holding Time
The influence of different pressure-holding times on the output of total saponins is presented in Figure 2B. Increasing the pressure-holding time from 2 to 8 min gradually, the output of total saponins increased significantly, and the maximum was achieved at 117.006 mg/g. When the extraction time was longer than 8 min, the output decreased gradually. The results showed that 8 min was enough to extract total saponins by the HHP method. Compared with enzymatic and ultrasonic extraction techniques, HHP extraction technology has a superior extraction time and extraction efficiency [27].
3.1.3. Ethanol Concentration
Adding water into ethanol could improve the extraction efficiency of ginsenosides [13]. The effects of ethanol concentration in the extracted solvent on the output of total saponins from M. charantia are given in Figure 2C. When ethanol concentration increased from 55% to 70%, the content of total saponins gradually increased and achieved its maximum (128.502 mg/g). When the ethanol concentration was greater than 70%, the output of total saponins decreased quickly. This may be due to the fact that the protein coagulates in a high concentration of ethanol, and large diffusion resistance may limit the extraction of total saponins from M. charantia [8]. The optimal ethanol concentration for the total saponins’ extraction was 70%, which is in agreement with the results of Chen et al. [13].
3.1.4. Material to Solvent Ratio
In general, for a fixed amount of raw material, the extraction output is promoted when the solvent volume is increased. The influence of the solvent to raw material ratio on the output of total saponins was evaluated (Figure 2D). With the increase in the ratio of material to solvent from 1:15 to 1:30 in the extraction system, the output significantly increased. This is because the increasing ratio of material to solvent could decrease the solution’s concentration difference inside and outside of plant cells, which could, consequently, prompt the diffusion rate of solute particles and make more saponin molecules enter the solution [13]. Statistical analysis showed that there was no significant effect of the material to solvent ratio (1:30 to 1:40 g/mL) on the total saponin content of the extracts, and more solvent used would cause a higher cost [10]. Based on the above factors, the optimized material to solvent ratio was 1:30.
3.1.5. Optimization of Extraction Conditions by Box–Behnken Design
According to the optimal BBD design, the calculation equation of total saponins was as follows
Y = 124.59 + 1.56A + 0.77B − 8.51C − 2.46D − 5.55AB − 5.22AC − 0.42AD − 6.18BC + 0.62BD + 0.75CD − 7.33A2 − 6.98B2 − 14.33C2 − 4.80D2
Statistical analysis showed that the second-order polynomial model can be used to predict experimental data. From the BBD, the experimental data had an excellent correlation with the predicted data (Table 1); based on the coefficient of determination (R2 = 0.9209), a total of 92.09% of the variation in the total saponin content could be explained, while only 7.91% of the variation could not be explained by the model (Table S3). In addition, the lack of fit for the total saponin content was nonsignificant (p = 0.1969), indicating that the second-order polynomial model was adequate to describe the effects of the variables in the model. Table S3 shows that the pressure (A), pressure-holding time (B) and ethanol concentration (C) were very significant (p < 0.01) for the extraction of total saponins. However, there was no significant difference (p > 0.05) for the ratio of material to solvent (D). There were no significant interactions for A and D (p = 0.8460), B and D (p = 0.7756) or C and D (p = 0.7297).
Table 1.
Box–Behnken experimental design and the extraction output of total saponins from M. charantia (n = 3). Each determination was made in triplicate.
Figure S1a–c exhibits the interaction effects of other factors on the output of total saponins. The optimal extractive conditions for total saponins were as follows: a pressure-holding time of 8 min, an ethanol concentration of 68%, a ratio of material to solvent of 1:35, and a pressure of 510 MPa, and the output of total saponins was 127.890 mg/g under these extractive conditions, which was almost identical to the predicted results 126.712 mg/g for total saponins. The results indicate that the model can be used to optimize the extraction process of total saponins.
3.2. Purification of Total Saponins under the Optimized Extraction Conditions
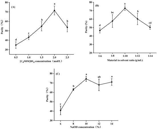
3.2.1. Effect of [C4MIM]BF4 Concentration, Sodium Hydroxide Concentration and Material to Solvent Ratio on Purification Efficiency of Saponins by IL-Based ABS
Through single factor experiments, the purification conditions of IL-based ABS were optimized to obtain as many total saponins as possible. The effects of [C4MIM]BF4 concentration, sodium hydroxide concentration and the material to solvent ratio on the purification efficiency of saponins were investigated.
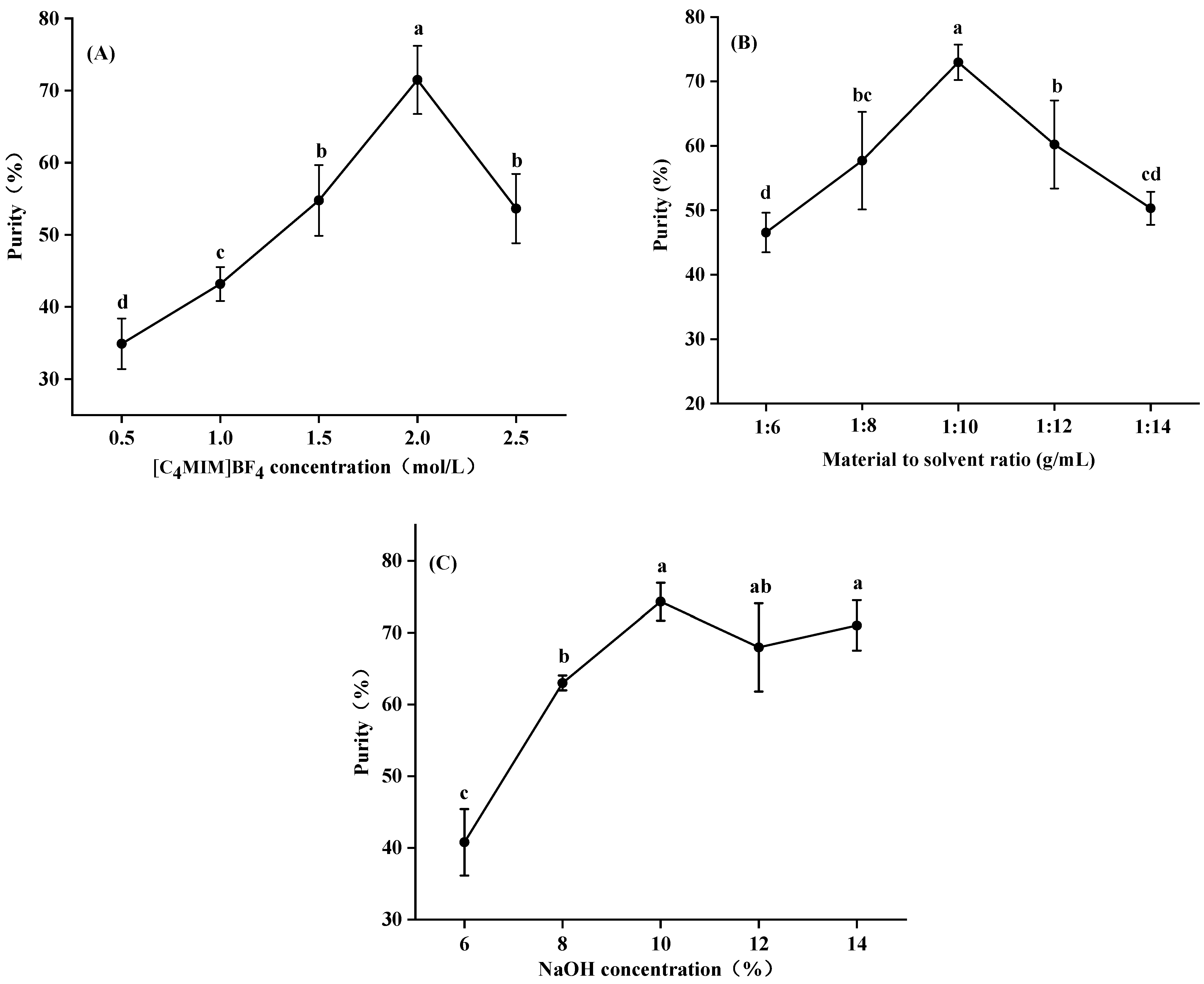
The effects of different [C4MIM]BF4 concentrations (0.5–2.5 M) in the aqueous solution on the purification efficiency of saponins were investigated. As shown in Figure 3A, with the increase in [C4MIM]BF4 concentration from 0.5 M to 2.0 M in the purification system, the purity significantly increased. This may be due to the strong ability of [C4MIM]BF4 to destroy the cell wall and solubilize the target compounds. With the increase in concentration, the cell wall of the tissue ruptured and a large amount of saponin leached [28]. Nevertheless, when the [C4MIM]BF4 concentration was higher than 2.0 M, some of the saponins were dissolved in the upper phase of the ionic liquid, leading to a decrease in the purity of M. charantia saponins in the lower phase [29], which was consistent with our results.
Figure 3.
Effect of [C4MIM]BF4 concentration (A), material to solvent ratio (B) and sodium hydroxide concentration (C) on the purity of saponins by ionic liquid purification. Values are means of triplicate ± standard deviation. Different lowercase letters represent significant differences (p < 0.05).
As we know, the ratio of the material to solvent can observably influence the purification efficiency of saponins. Generally, a large volume of the [C4MIM]BF4 solution has a higher purification efficiency, and excessive solvent will cause a waste of resources. Conversely, insufficient [C4MIM]BF4 solution may lead to an incomplete extraction [12]. We can draw a conclusion from Figure 3B that with the increase in the material to solvent ratio from 1:6 to 1:14, the purity increases first and then decreases, which is consistent with the results of Tan et al. [30]. The optimal solvent to solid ratio was 1:10, which was finally adopted.
The concentration of sodium hydroxide had an important effect on the dissolution of saponins in the sodium hydroxide-rich lower phase, which may affect the purification ability. As shown in Figure 3C, the highest value (74.30%) could be achieved at 10.0% sodium hydroxide concentration. On the other side of the coin, the purity of saponins was raised markedly with the increase in the sodium hydroxide concentration from 6.0% to 10.0%. The purity had no evident variation with further increased sodium hydroxide concentration from 10.0% to 14.0%, which is in agreement with the study of Ji et al. [12], who worked out that the purity saponins could reach 81.5%. Based on the above, we determined that 10.0% sodium hydroxide was the optimal concentration.
3.2.2. Optimization of Purification Conditions by BBD
Experiments on the saponins’ purity are shown in Table 2, and the calculation formula for saponin purity is as follows
Y = 74.94 + 6.41A + 4.72B − 0.51C + 0.50AB + 0.57AC − 1.32BC − 10.69A2 − 10.00B2 − 6.67C2
Table 2.
Box–Behnken experimental design and the purification of saponins (n = 3).
As listed in Table S4, the determined coefficient, R2 at 0.9819, indicates that only 1.81% of total variance was not explained by this model. The adjusted R2 was 0.9586, and there was a better correlation between the experimental value and the predicted value, which implies that this model was accurate and reliable for screening the purification process of saponins.
Additionally, the linear coefficients of [C4MIM]BF4 concentration (A) and the material to solvent ratio (B) were very significant (p < 0.01) for the purification procedure of saponins. However, there was no significant difference (p > 0.05) for sodium hydroxide concentration (C). The order of influence of these three factors on the purity of saponins was A (p < 0.0001) > B (p = 0.0004) > C (p = 0.5206). Furthermore, the interactions of [C4MIM]BF4 concentration (A), the material to solvent ratio (B) and sodium hydroxide concentration (C) with the purity of saponins are listed in Table S4 and Figure 4; there were no significant interactions for A and B (p = 0.6553), A and C (p = 0.6099) or B and C (p = 0.2566).
Figure 4.
(a): Response surface plot of effect of [C4MIM]BF4 concentration (A, mol/L) and material to solvent ratio (B, g/mL) on the purity of saponins by ionic liquid purification; (b): response surface plot of effect of [C4MIM]BF4 concentration (A, mol/L) and NaOH concentration (C, %) on the purity of saponins by ionic liquid purification; (c): response surface plot of effect of material to solvent ratio (B, g/mL) and NaOH concentration (C, %) on the purity of saponins by ionic liquid purification.
The optimal purification conditions of saponins were as follows: a [C4MIM]BF4 concentration of 2.15 mol/L, a sodium hydroxide concentration of 9.90% and a material to solvent ratio of 1:10.5, and the purity of saponins was 76.06% under these purification conditions; the relative error with the theoretical predicted value was 0.60%. These results suggest that the model can be used for the optimization of the saponin purification processes.
3.3. Mass Spectral Identification of Saponins
LC/MS was utilized to detect and characterize saponins after purifying. In this study, the mass spectrometry data were analyzed based on the experimental results of LC/MS, and the Δppm value was calculated by comparing the theoretical mass charge number of the compound detected in the M. charantia extract with its experimental mass charge number. If the Δppm value error was between ±50 ppm, the compound was considered to be a positive match. The saponins from M. charantia are mainly composed of cucurbitane-type triterpenoids [31]. Due to the low UV absorption properties of cucurbitane triterpenoids, there are few commercially available standard compounds. Therefore, LC/MS is commonly used to identify the saponins from M. charantia [8].
More than 240 cucurbitane-type triterpenes and their glycosides have been isolated and purified from M. charantia in existing studies [32]. The results of mass spectrometry in this study showed that kuguaglycoside A (m/z 657.41), momordicoside L (m/z 658.45), kuguacin B (m/z 457.36) and kuguacin J (m/z 455.34) were present in the M. charantia extracts (Table 3). Keller et al. [6] detected five saponins from M. charantia extracts, including momordicine I, momordicine II and momordicoside G. The peak times of the five substances were concentrated in the range of 16.53–28.60 min, which was basically similar to the results of the present study.
Table 3.
Cucurbitane-type triterpenoids identified in M. charantia extracts by LC/MS.
4. Conclusions
This study investigated the extraction process, purification process and chemical compositions of saponins from M. charantia. The optimal extraction and purification parameters were determined by a single factor experiment and response surface methodology. IL-ABS was applied to the purification of M. charantia saponins, which provided new insights into their purification, and the results indicated that HHP extraction coupled with ionic liquid purification treatment is a convenient method to obtain high-purity saponins from M. charantia. The purification optimal experimental conditions were a [C4MIM]BF4 concentration of 2.15 M, a material to solvent ratio of 1:10.5 g/mL and a sodium hydroxide concentration of 9.90%. Moreover, the composition of saponins was preliminarily characterized by LC/MS, which indicated that kuguaglycoside A, momordicoside L, kuguacin B and kuguacin J were the main substances present in saponins. The research can help to establish a foundation for developing a simple and novel method for efficiently obtaining saponins. It can also be meaningful for bioactivity studies of saponins.
Supplementary Materials
The following supporting information can be downloaded at: https://www.mdpi.com/article/10.3390/foods11131930/s1, Figure S1: (a): Response surface plot of pressure (A, MPa) and pressure-holding time (B, min) on the extraction output of total saponin of momordica charantia; (b): Response surface plot of pressure (A, MPa) and ethanol concentration (C, g/mL) on the extraction out-put of total saponin of momordica charantia; (c): Response surface plot of pressure-holding time (B, min) and ethanol concentration (C, g/mL) on the extraction output of total saponin of momordica charantia; Table S1: Independent variables and their levels in Box-Behnken design for total saponins of momordica charantia; Table S2: Independent variables and their code variable levels used for the Box–Behnken design; Table S3: Analysis of variance for the experimental results of the Box-Behnken design for total saponins from momordica charantia; Table S4: Analysis of variance for the experimental results of the Box-Behnken design for purification of saponins.
Author Contributions
Conceptualization, J.M. and H.Y.; methodology, H.Y. and J.M.; software, Y.C.; validation, Y.C., C.W. and X.F.; formal analysis, X.F.; investigation, C.W.; resources, H.Y.; data curation, H.Y.; writing—original draft preparation, J.M.; writing—review and editing, J.M. and F.L.; visualization, J.M.; supervision, F.L.; project administration, F.L.; funding acquisition, F.L. All authors have read and agreed to the published version of the manuscript.
Funding
This work was funded by the National Key R&D Program of China grant number 2018YFC1602201, the Key Program for Shaanxi Science and Technology grant number 2020NY-146, Lueyang Black-Bone Chicken Industry Development Research Institute grant number WJYJY-2021-9.
Data Availability Statement
Data is contained within the article or Supplementary Material.
Conflicts of Interest
The authors declare no conflict of interest.
References
- Grover, J.K.; Yadav, S.P. Pharmacological actions and potential uses of Momordica charantia: A review. J. Ethnopharmacol. 2004, 93, 123–132. [Google Scholar] [CrossRef] [PubMed]
- Shan, B.; Xie, J.H.; Zhu, J.H.; Peng, Y. Ethanol modified supercritical carbon dioxide extraction of flavonoids from Momordica charantia L. and its antioxidant activity. Food Bioprod. Process. 2012, 90, 579–587. [Google Scholar] [CrossRef]
- Jia, S.; Shen, M.; Zhang, F.; Xie, J. Recent Advances in Momordica charantia: Functional Components and Biological Activities. Int. J. Mol. Sci. 2017, 18, 2555. [Google Scholar] [CrossRef] [PubMed] [Green Version]
- Hsu, C.; Tsai, T.H.; Li, Y.Y.; Wu, W.H.; Huang, C.J.; Tsai, P.J. Wild bitter melon (Momordica charantia Linn. var. abbreviata Ser.) extract and its bioactive components suppress Propionibacterium acnes -induced inflammation. Food Chem. 2012, 135, 976–984. [Google Scholar] [CrossRef] [PubMed]
- Dong, M.X.; Meng, Z.F.; Kuerban, K.; Qi, F.L.; Liu, J.Y.; Wei, Y.X.; Wang, Q.; Jiang, S.S.L.; Feng, M.Q.; Ye, L. Diosgenin promotes antitumor immunity and PD-1 antibody efficacy against melanoma by regulating intestinal microbiota. Cell Death Dis. 2018, 9, 1039. [Google Scholar] [CrossRef] [PubMed] [Green Version]
- Keller, A.C.; Ma, J.; Kavalier, A.; He, K.; Brillantes, A.B.; Kennelly, E.J. Saponins from the traditional medicinal plant Momordica charantia stimulate insulin secretion in vitro. Phytomedicine 2011, 19, 32–37. [Google Scholar] [CrossRef] [Green Version]
- Clouatre, D.L.; Rao, S.N.; Preuss, H.G. Bitter Melon Extracts in Diabetic and Normal Rats Favorably Influence Blood Glucose and Blood Pressure Regulation. J. Med. Food 2011, 14, 1496–1504. [Google Scholar] [CrossRef]
- Perez, J.L.; Jayaprakasha, G.K.; Patil, B.S. Metabolite profiling and in vitro biological activities of two commercial Momordica charantia (M. charantia Linn.) cultivars. Food Chem. 2019, 288, 178–186. [Google Scholar] [CrossRef]
- Carrera, C.; Ruiz-Rodríguez, A.; Palma, M. Ultrasound assisted extraction of phenolic compounds from grapes. Anal. Chim. Acta 2012, 732, 100–104. [Google Scholar] [CrossRef]
- Tan, S.P.; Vuong, Q.V.; Stathopoulos, C.E.; Parks, S.E.; Roach, P.D. Optimized aqueous extraction of saponins from bitter melon for production of a saponin-enriched bitter melon powder. J. Food Sci. 2014, 79, 1372–1381. [Google Scholar] [CrossRef]
- Lin, H.M.; Zhang, Y.G.; Han, M.; Yang, L.M. Aqueous ionic liquid based ultrasonic assisted extraction of eight ginsenosides from ginseng root. Ultrason. Sonochem. 2013, 20, 680–684. [Google Scholar] [CrossRef] [PubMed]
- Ji, S.; Wang, Y.; Shao, X.; Zhu, C.; Lin, Y.; Gao, S.; Tang, D. Extraction and purification of triterpenoid saponins from licorice by ionic liquid based extraction combined with in situ alkaline aqueous biphasic systems. Sep. Purif. Technol. 2020, 247, 116953. [Google Scholar] [CrossRef]
- Chen, R.Z.; Meng, F.L.; Zhang, S.Q.; Liu, Z.Q. Effects of ultrahigh pressure extraction conditions on yields and antioxidant activity of ginsenoside from ginseng. Sep. Purif. Technol. 2018, 66, 340–346. [Google Scholar] [CrossRef]
- Zhang, S.Q.; Chen, R.Z.; Wang, C.Z. Experiment study on ultrahigh pressure extraction of ginsenosides. J. Food Eng. 2017, 79, 1–5. [Google Scholar] [CrossRef]
- Ma, J.; Tong, P.Y.; Chen, Y.J.; Wang, Y.; Ren, H.; Gao, Z.P.; Yue, T.L.; Long, F.Y. The inhibition of pectin oligosaccharides on degranulation of RBL-2H3 cells from apple pectin with high hydrostatic pressure assisted enzyme treatment. Food Chem. 2022, 371, 131097. [Google Scholar] [CrossRef]
- Wu, W.; Xiang, F.; He, F. Polyphenols from Artemisia argyi leaves: Environmentally friendly extraction under high hydrostatic pressure and biological activities. Ind. Crops Prod. 2021, 171, 113951. [Google Scholar] [CrossRef]
- Li, W.H.; Zhang, F.S.; Liu, P.L.; Bai, Y.F.; Gao, L.; Shen, Q. Effect of high hydrostatic pressure on physicochemical, thermal and morphological properties of mung bean (Vigna radiata L.) starch. J. Food Eng. 2011, 103, 388–393. [Google Scholar] [CrossRef]
- Zhao, Y.N.; Wang, Z.L.; Dai, J.G.; Chen, L.; Huang, Y.F. Preparation and quality assessment of high-purity ginseng total saponins by ion exchange resin combined with macroporous adsorption resin separation. Chin. J. Nat. Med. 2014, 12, 382. [Google Scholar] [CrossRef]
- Cláudio, A.F.M.; Cognigni, A.; de Faria, E.L.P.; Silvestre, A.J.D.; Zirbs, R.; Freire, M.G.; Bica, K. Valorization of olive tree leaves: Extraction of oleanolic acid using aqueous solutions of surface-active ionic liquids. Sep. Purif. Technol. 2018, 204, 30–37. [Google Scholar] [CrossRef]
- Yu, T.H.; Olsson, E.; Lian, G.P.; Liu, L.; Huo, F.; Zhang, X.P.; Cai, Q. Prediction of the Liquid–Liquid Extraction Properties of Imidazolium-Based Ionic Liquids for the Extraction of Aromatics from Aliphatics. J. Chem. Inf. Modeling 2021, 61, 3376–3385. [Google Scholar] [CrossRef]
- Quijada-Maldonado, E.; Romero, J. Solvent extraction of rare-earth elements with ionic liquids: Toward a selective and sustainable extraction of these valuable elements. Curr. Opin. Green Sustain. Chem. 2021, 27, 100428. [Google Scholar] [CrossRef]
- Zhang, Y.J.; Xu, A.R.; Lu, B.L.; Li, Z.Y.; Wang, J.J. Dissolution of cellulose in 1-allyl-3-methylimizodalium carboxylates at room temperature: A structure–property relationship study. Carbohydr. Polym. 2015, 117, 666–672. [Google Scholar] [CrossRef] [PubMed]
- Huang, L.; Li, W.L.; Feng, Y.C.; Fang, X.; Li, J.Y.; Gao, X.H.; Li, H.L. Simultaneous recovery of glycyrrhizic acid and liquiritin from Chinese licorice root (Glycyrrhiza uralensis Fisch) by aqueous two-phase system and evaluation biological activities of extracts. Sep. Sci. Technol. 2018, 53, 1342–1350. [Google Scholar] [CrossRef]
- Gutowski, K.E.; Broker, G.A.; Willauer, H.D.; Huddleston, J.G.; Swatloski, R.P.; Holbrey, J.D.; Rogers, R.D. Controlling the aqueous miscibility of ionic liquids: Aqueous biphasic systems of water-miscible ionic liquids and water-structuring salts for recycle, metathesis, and separations. J. Am. Chem. Soc. 2003, 125, 6632–6633. [Google Scholar] [CrossRef]
- Santos, J.H.P.M.; Trigo, J.P.; Maricato, É.; Nunes, C.; Coimbra, M.A.; Ventura, S.P.M. Fractionation of Isochrysis galbana proteins, arabinans, and glucans using ionic-liquid-based aqueous biphasic systems. ACS Sustain. Chem. Eng. 2018, 6, 14042–14053. [Google Scholar] [CrossRef]
- Popovich, D.; Li, L.; Zhang, W. Bitter melon (Momordica charantia) triterpenoid extract reduces preadipocyte viability, lipid accumulation and adiponectin expression in 3T3-L1 cells. Food Chem. Toxicol. 2010, 48, 1619–1626. [Google Scholar] [CrossRef] [PubMed]
- Yao, H.; Li, X.; Liu, Y.; Wu, Q.; Jin, Y. An optimized microwave-assisted extraction method for increasing yields of rare ginsenosides from Panax quinquefolius L. J. Ginseng. Res. 2016, 40, 415–422. [Google Scholar] [CrossRef] [Green Version]
- Zhang, B.; Xie, C.; Wei, Y.; Li, J.; Yang, X. Purification and characterisation of an antifungal protein, MCha-Pr, from the intercellular fluid of bitter gourd (Momordica charantia) leaves. Protein Expr. Purif. 2015, 107, 43–49. [Google Scholar] [CrossRef]
- Quental, M.V.; Pereira, M.M.; Ferreira, A.M.; Pedro, S.N.; Shahriari, S.; Mohamadou, A.; Coutinho, J.A.P.; Freire, M.G. Enhanced separation performance of aqueous biphasic systems formed by carbohydrates and tetralkylphosphonium- or tetra-lkylammonium-based ionic liquids. Green Chem. 2018, 20, 2978–2983. [Google Scholar] [CrossRef]
- Tan, Z.; Yi, Y.; Wang, H.; Zhou, W.; Wang, C. Extraction, Preconcentration and Isolation of Flavonoids from Apocynum venetum L. Leaves Using Ionic Liquid-Based Ultrasonic-Assisted Extraction Coupled with an Aqueous Biphasic System. Molecules 2016, 21, 262. [Google Scholar] [CrossRef] [Green Version]
- Tuan, P.A.; Kim, J.K.; Park, N.I.; Lee, S.Y.; Park, S.U. Carotenoid content and expression of phytoene synthase and phytoene desaturase genes in bitter melon (Momordica charantia). Food Chem. 2011, 126, 1686–1692. [Google Scholar] [CrossRef] [PubMed]
- Singh, J.; Cumming, E.; Manoharan, G.; Kalasz, H.; Adeghate, E. Medicinal chemistry of the anti-diabetic effects of Momordica charantia: Active constituents and modes of actions. Open Med. Chem. J. 2011, 5, 70. [Google Scholar] [CrossRef] [PubMed] [Green Version]
Publisher’s Note: MDPI stays neutral with regard to jurisdictional claims in published maps and institutional affiliations. |
© 2022 by the authors. Licensee MDPI, Basel, Switzerland. This article is an open access article distributed under the terms and conditions of the Creative Commons Attribution (CC BY) license (https://creativecommons.org/licenses/by/4.0/).



