Transcriptome-Guided Identification of Pectin Methyl-Esterase-Related Enzymes and Novel Molecular Processes Effectuating the Hard-to-Cook Defect in Common Bean (Phaseolus vulgaris L.)
Abstract
:1. Introduction
2. Materials and Methods
2.1. Plant Material
2.2. Pectin Methyl-Esterase-Coupled Enzymatic Assay
2.3. Identification of PME-Related Genes in P. vulgaris
2.4. RNA Isolation, Library Preparation, and Sequencing
2.5. RNA Sequencing Pipeline
2.6. Identification of Differentially Expressed Genes
2.7. Functional Annotation of Differentially Expressed Genes
2.8. Enrichment Analysis of Differentially Expressed Genes
2.9. Validation of RNA Sequencing Data by qRT-PCR
2.10. Statistical Analysis
3. Results
3.1. Characterization of PME Activity in Fast- and Slow-Cooking Bean Varieties Using a Coupled Enzymatic Assay
3.2. Characterization of PME-Related Genes in P. vulgaris Using Bioinformatic Tools
3.3. Comparison of Gene Expression of PME and PMEIs in Fast- and Slow-Cooking Bean Varieties
3.4. Exon–Intron Structure of Highly Expressed PME and PMEI Genes from P. vulgaris in Comparison to Other Plant Species
3.5. Gene-Expression Analysis of PME and PMEI Using Quantitative RT-PCR
3.6. Differential Expression Analysis of Genes Expressed in Fast- and Slow-Cooking Bean Varieties
3.7. Functional Classification of Differentially Expressed Genes Identified between Fast- and Slow-Cooking Bean Varieties
3.8. Functional Enrichment Analysis of Differentially Expressed Genes Identified between Fast- and Slow-Cooking Bean Varieties
3.9. Gene-Expression Patterns of Individual DEGs of the Fast- and Slow-Cooking Bean Varieties
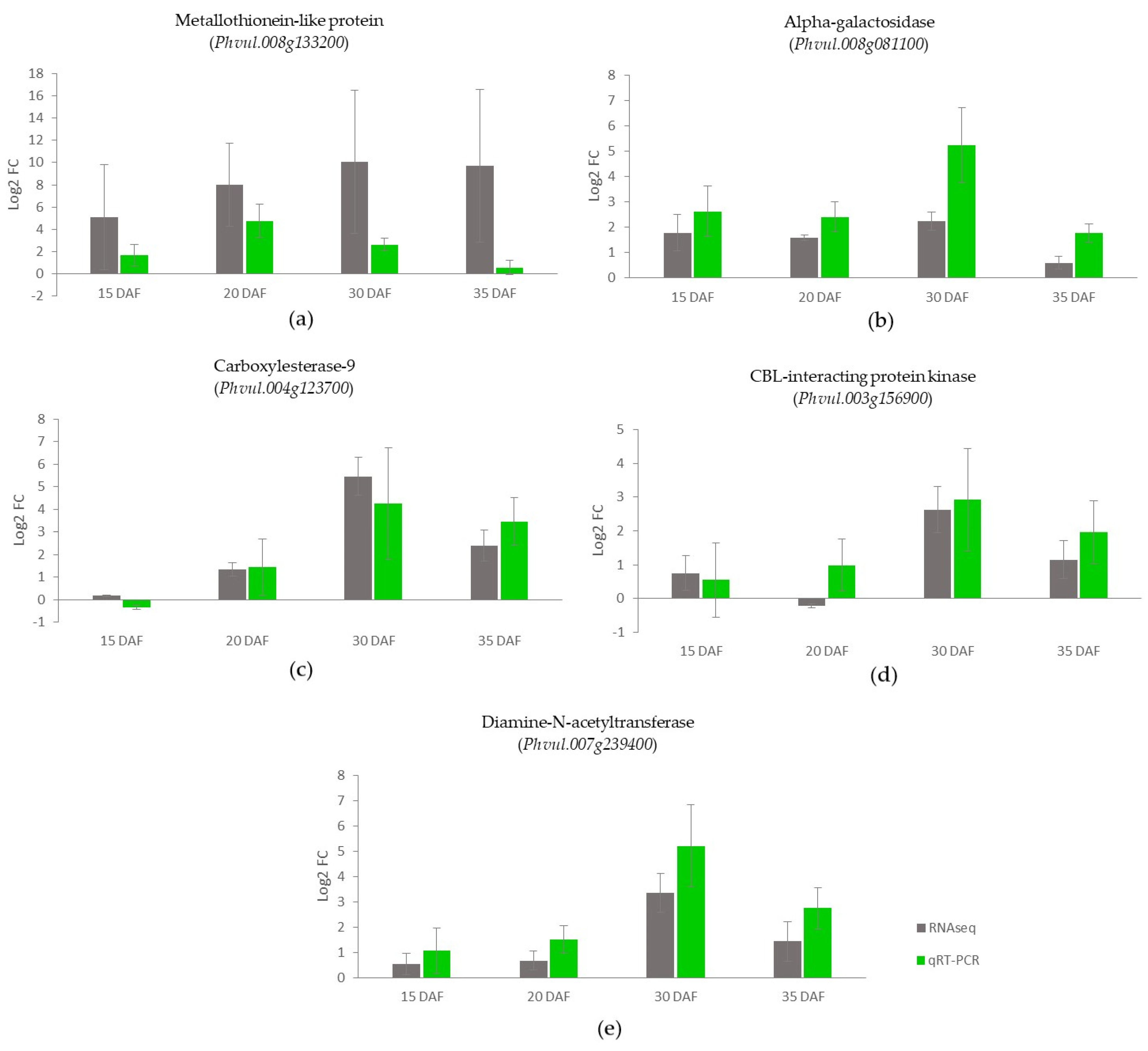
3.10. Validation of the RNA Sequencing Data Using qRT-PCR of Potentially Significant Genes
4. Discussion
5. Conclusions
Supplementary Materials
Author Contributions
Funding
Institutional Review Board Statement
Informed Consent Statement
Data Availability Statement
Acknowledgments
Conflicts of Interest
References
- Willett, W.; Rockström, J.; Loken, B.; Springmann, M.; Lang, T.; Vermeulen, S.; Garnett, T.; Tilman, D.; DeClerck, F.; Wood, A.; et al. Food in the Anthropocene: The EAT–Lancet Commission on Healthy Diets from Sustainable Food Systems. Lancet 2019, 393, 447–492. [Google Scholar] [CrossRef]
- Broughton, W.J.; Hernández, G.; Blair, M.; Beebe, S.; Gepts, P.; Vanderleyden, J. Beans (Phaseolus Spp.)-Model Food Legumes. Plant Soil 2003, 252, 55–128. [Google Scholar] [CrossRef] [Green Version]
- Rebello, C.J.; Greenway, F.L.; Finley, J.W. Whole Grains and Pulses: A Comparison of the Nutritional and Health Benefits. J. Agric. Food Chem. 2014, 62, 7029–7049. [Google Scholar] [CrossRef] [PubMed]
- Global Trade Global Dry Bean Market 2020—Key Insights—Global Trade Magazine. Available online: https://www.globaltrademag.com/global-dry-bean-market-2020-key-insights/ (accessed on 9 September 2021).
- Myers, J.R.; Kmiecik, K. Common Bean: Economic Importance and Relevance to Biological Science Research. In The Common Bean Genome; Springer: Cham, Switzerland, 2017; pp. 1–20. [Google Scholar]
- Helgi Analytics Which Country Eats the Most Beans?|Helgi Library. Available online: https://www.helgilibrary.com/charts/which-country-eats-the-most-beans/ (accessed on 23 May 2022).
- Duku, C.; Groot, A.; Demissie, T.; Muhwanga, J.; Nzoka, O.; Recha, J. Common Beans Kenya: Climate Risk Assessment. Available online: https://ccafs.cgiar.org/resources/publications/common-beans-kenya-climate-risk-assessment (accessed on 9 September 2021).
- Katungi, E.; Farrow, A.; Chianu, J.; Sperling, L.; Beebe, S. Common Bean in Eastern and Southern Africa: A Situation and Outlook Analysis; International Centre for Tropical Agriculture: Nairobi, Kenya, 2009; pp. 1–56. [Google Scholar]
- State Department for Development of Arid and Semi-Arid Lands ASALS—ASALS. Available online: https://www.asals.go.ke/ (accessed on 23 May 2022).
- Infonet Biovision Beans|Infonet Biovision Home. Available online: https://infonet-biovision.org/PlantHealth/Crops/Beans (accessed on 9 September 2021).
- Stanley, D.W. Hard Beans—A Problem for Growers, Processors, and Consumers. Horttechnology 2018, 2, 370–378. [Google Scholar] [CrossRef] [Green Version]
- Jones, P.M.B.; Boulter, D. The Analysis of Development of Hardbean during Storage of Black Beans (Phaseolus vulgaris L). Qual. Plant. Plant Foods Hum. Nutr. 1983, 33, 77–85. [Google Scholar] [CrossRef]
- Bradford, K.J.; Dahal, P.; Van Asbrouck, J.; Kunusoth, K.; Bello, P.; Thompson, J.; Wu, F. The Dry Chain: Reducing Postharvest Losses and Improving Food Safety in Humid Climates. Trends Food Sci. Technol. 2018, 71, 84–93. [Google Scholar] [CrossRef]
- Wainaina, I.; Wafula, E.; Sila, D.; Kyomugasho, C.; Grauwet, T.; Van Loey, A.; Hendrickx, M. Thermal Treatment of Common Beans (Phaseolus vulgaris L.): Factors Determining Cooking Time and Its Consequences for Sensory and Nutritional Quality. Compr. Rev. Food Sci. Food Saf. 2021, 20, 3690–3718. [Google Scholar] [CrossRef]
- Chigwedere, C.M.; Nkonkola, C.M.; Rai, S.; Kyomugasho, C.; Kermani, Z.J.; Pallares Pallares, A.; Van Loey, A.M.; Grauwet, T.; Hendrickx, M.E. Cotyledon Pectin Molecular Interconversions Explain Pectin Solubilization during Cooking of Common Beans (Phaseolus vulgaris). Food Res. Int. 2019, 116, 462–470. [Google Scholar] [CrossRef]
- Shiga, T.M.; Lajolo, F.M.; Filisetti, T.M.C.C. Changes in the Cell Wall Polysaccharides during Storage and Hardening of Beans. Food Chem. 2004, 84, 53–64. [Google Scholar] [CrossRef]
- Hincks, M.J.; Stanley, D.W. Multiple Mechanisms of Bean Hardening. Int. J. Food Sci. Technol. 1986, 21, 731–750. [Google Scholar] [CrossRef]
- Food and Agriculture Organization of the United Nations About|2016 International Year of Pulses. Available online: http://www.fao.org/pulses-2016/about/en/ (accessed on 9 September 2021).
- Chu, J.; Ho, P.; Orfila, C. Growth Region Impacts Cell Wall Properties and Hard-to-Cook Phenotype of Canned Navy Beans (Phaseolus vulgaris). Food Bioprocess Technol. 2020, 13, 818–826. [Google Scholar] [CrossRef]
- Cichy, K.A.; Wiesinger, J.A.; Mendoza, F.A. Genetic Diversity and Genome-Wide Association Analysis of Cooking Time in Dry Bean (Phaseolus vulgaris L.). Theor. Appl. Genet. 2015, 128, 1555–1567. [Google Scholar] [CrossRef] [PubMed]
- Berry, M.; Izquierdo, P.; Jeffery, H.; Shaw, S.; Nchimbi-Msolla, S.; Cichy, K. QTL Analysis of Cooking Time and Quality Traits in Dry Bean (Phaseolus vulgaris L.). Theor. Appl. Genet. 2020, 133, 2291–2305. [Google Scholar] [CrossRef] [PubMed]
- Mattson, S. The Cookability of Yellow Peas. A Colloid-Chemical and Biochemical Study. Acta Agric. Suec. 1946, 2, 185–231. [Google Scholar]
- Pirhayati, M.; Soltanizadeh, N.; Kadivar, M. Chemical and Microstructural Evaluation of “hard-to-Cook” Phenomenon in Legumes (Pinto Bean and Small-Type Lentil). Int. J. Food Sci. Technol. 2011, 46, 1884–1890. [Google Scholar] [CrossRef]
- Kinyanjui, P.K.; Njoroge, D.M.; Makokha, A.O.; Christiaens, S.; Ndaka, D.S.; Hendrickx, M. Hydration Properties and Texture Fingerprints of Easy-and Hard-to-Cook Bean Varieties. Food Sci. Nutr. 2015, 3, 39–47. [Google Scholar] [CrossRef]
- Njoroge, D.M.; Kinyanjui, P.K.; Chigwedere, C.M.; Christiaens, S.; Makokha, A.O.; Sila, D.N.; Hendrickx, M.E. Mechanistic Insight into Common Bean Pectic Polysaccharide Changes during Storage, Soaking and Thermal Treatment in Relation to the Hard-to-Cook Defect. Food Res. Int. 2016, 81, 39–49. [Google Scholar] [CrossRef]
- Chen, D.; Pham, U.T.T.; Van Loey, A.; Grauwet, T.; Hendrickx, M.; Kyomugasho, C. Microscopic Evidence for Pectin Changes in Hard-to-Cook Development of Common Beans during Storage. Food Res. Int. 2021, 141, 110115. [Google Scholar] [CrossRef]
- Garcia, R.A.V.; Rangel, P.N.; Bassinello, P.Z.; Brondani, C.; Melo, L.C.; Sibov, S.T.; Vianello-Brondani, R.P. QTL Mapping for the Cooking Time of Common Beans. Euphytica 2011, 186, 779–792. [Google Scholar] [CrossRef]
- van Rheenen, H.A. Diversity of Food Beans in Kenya. Econ. Bot. 1979, 33, 448–454. [Google Scholar] [CrossRef]
- Müller, K.; Bartels, S.; Kermode, A. Pectin Methylesterase Activity Assay for Plant Material. Bio-Protocol 2013, 3, e894. [Google Scholar] [CrossRef]
- Müller, K.; Levesque-Tremblay, G.; Bartels, S.; Weitbrecht, K.; Wormit, A.; Usadel, B.; Haughn, G.; Kermode, A.R. Demethylesterification of Cell Wall Pectins in Arabidopsis Plays a Role in Seed Germination. Plant Physiol. 2013, 161, 305–316. [Google Scholar] [CrossRef] [PubMed] [Green Version]
- Grsic-Rausch, S.; Rausch, T. A Coupled Spectrophotometric Enzyme Assay for the Determination of Pectin Methylesterase Activity and Its Inhibition by Proteinaceous Inhibitors. Anal. Biochem. 2004, 333, 14–18. [Google Scholar] [CrossRef] [PubMed]
- Di Matteo, A.; Giovane, A.; Raiola, A.; Camardella, L.; Bonivento, D.; De Lorenzo, G.; Cervone, F.; Bellincampi, D.; Tsemoglou, D. Structural Basis for the Interaction between Pectin Methylesterase and a Specific Inhibitor Protein. Plant Cell 2005, 17, 849–858. [Google Scholar] [CrossRef] [PubMed] [Green Version]
- Edgar, R.C. MUSCLE: Multiple Sequence Alignment with High Accuracy and High Throughput. Nucleic Acids Res. 2004, 32, 1792–1797. [Google Scholar] [CrossRef] [Green Version]
- Kumar, S.; Stecher, G.; Li, M.; Knyaz, C.; Tamura, K. MEGA X: Molecular Evolutionary Genetics Analysis across Computing Platforms. Mol. Biol. Evol. 2018, 35, 1547–1549. [Google Scholar] [CrossRef]
- Phytozome PhytoMine: Home. Available online: https://phytozome-next.jgi.doe.gov/phytomine/begin.do (accessed on 10 September 2021).
- Chen, C.; Chen, H.; Zhang, Y.; Thomas, H.R.; Frank, M.H.; He, Y.; Xia, R. TBtools: An Integrative Toolkit Developed for Interactive Analyses of Big Biological Data. Mol. Plant 2020, 13, 1194–1202. [Google Scholar] [CrossRef] [PubMed]
- ExPASy—Compute PI/Mw Tool. Available online: https://web.expasy.org/compute_pi/ (accessed on 30 March 2022).
- Lu, S.; Wang, J.; Chitsaz, F.; Derbyshire, M.K.; Geer, R.C.; Gonzales, N.R.; Gwadz, M.; Hurwitz, D.I.; Marchler, G.H.; Song, J.S.; et al. CDD/SPARCLE: The Conserved Domain Database in 2020. Nucleic Acids Res. 2020, 48, D265–D268. [Google Scholar] [CrossRef] [Green Version]
- Aranda, P.S.; LaJoie, D.M.; Jorcyk, C.L. Bleach Gel: A Simple Agarose Gel for Analyzing RNA Quality. Electrophoresis 2012, 33, 366–369. [Google Scholar] [CrossRef] [Green Version]
- Lexogen QuantSeq 3’ MRNA-Seq with Integrated Automatic Data Analysis—A Complete Workflow for User-Friendly and Cost-Efficient Gene Expression Profiling. Available online: https://d-markbio.com/image/catalog/Lexogen/QuantseqREVillumina/012AN045V0310-QuantSeq-Application-Note.pdf (accessed on 9 September 2021).
- Andrews, S. FastQC—A Quality Control Tool for High Throughput Sequence Data. Available online: http://www.bioinformatics.babraham.ac.uk/projects/fastqc/ (accessed on 23 May 2022).
- Goodstein, D.M.; Shu, S.; Howson, R.; Neupane, R.; Hayes, R.D.; Fazo, J.; Mitros, T.; Dirks, W.; Hellsten, U.; Putnam, N.; et al. Phytozome: A Comparative Platform for Green Plant Genomics. Nucleic Acids Res. 2012, 40, D1178–D1186. [Google Scholar] [CrossRef]
- Dobin, A.; Davis, C.A.; Schlesinger, F.; Drenkow, J.; Zaleski, C.; Jha, S.; Batut, P.; Chaisson, M.; Gingeras, T.R. STAR: Ultrafast Universal RNA-Seq Aligner. Bioinformatics 2013, 29, 15–21. [Google Scholar] [CrossRef] [PubMed]
- Okonechnikov, K.; Conesa, A.; García-Alcalde, F. Qualimap 2: Advanced Multi-Sample Quality Control for High-Throughput Sequencing Data. Bioinformatics 2016, 32, 292–294. [Google Scholar] [CrossRef] [PubMed]
- Anders, S.; Pyl, P.T.; Huber, W. HTSeq—A Python Framework to Work with High-Throughput Sequencing Data. Bioinformatics 2015, 31, 166–169. [Google Scholar] [CrossRef] [PubMed]
- BioBam Bioinformatics. OmicsBox—Bioinformatics made easy. Available online: https://www.biobam.com/omicsbox/ (accessed on 23 May 2022).
- Robinson, M.D.; McCarthy, D.J.; Smyth, G.K. EdgeR: A Bioconductor Package for Differential Expression Analysis of Digital Gene Expression Data. Bioinformatics 2009, 26, 139–140. [Google Scholar] [CrossRef] [Green Version]
- Robinson, M.D.; Oshlack, A. A Scaling Normalization Method for Differential Expression Analysis of RNA-Seq Data. Genome Biol. 2010, 11, R25. [Google Scholar] [CrossRef] [Green Version]
- Jones, P.; Binns, D.; Chang, H.-Y.; Fraser, M.; Li, W.; McAnulla, C.; McWilliam, H.; Maslen, J.; Mitchell, A.; Nuka, G.; et al. InterProScan 5: Genome-Scale Protein Function Classification. Bioinformatics 2014, 30, 1236–1240. [Google Scholar] [CrossRef] [Green Version]
- Götz, S.; García-Gómez, J.M.; Terol, J.; Williams, T.D.; Nagaraj, S.H.; Nueda, M.J.; Robles, M.; Talón, M.; Dopazo, J.; Conesa, A. High-Throughput Functional Annotation and Data Mining with the Blast2GO Suite. Nucleic Acids Res. 2008, 36, 3420–3435. [Google Scholar] [CrossRef]
- Al-Shahrour, F.; Díaz-Uriarte, R.; Dopazo, J. FatiGO: A Web Tool for Finding Significant Associations of Gene Ontology Terms with Groups of Genes. Bioinformatics 2004, 20, 578–580. [Google Scholar] [CrossRef] [Green Version]
- Benjamini, Y.; Hochberg, Y. Controlling the False Discovery Rate: A Practical and Powerful Approach to Multiple Testing. J. R. Stat. Soc. Ser. B 1995, 57, 289–300. [Google Scholar] [CrossRef]
- Pereira, W.J.; Bassinello, P.Z.; Brondani, C.; Vianello, R.P. An Improved Method for RNA Extraction from Common Bean Seeds and Validation of Reference Genes for QPCR. Crop Breed. Appl. Biotechnol. 2017, 17, 150–158. [Google Scholar] [CrossRef]
- Livak, K.J.; Schmittgen, T.D. Analysis of Relative Gene Expression Data Using Real-Time Quantitative PCR and the 2-ΔΔCT Method. Methods 2001, 25, 402–408. [Google Scholar] [CrossRef] [PubMed]
- Love, M.I.; Huber, W.; Anders, S. Moderated Estimation of Fold Change and Dispersion for RNA-Seq Data with DESeq2. Genome Biol. 2014, 15, 550. [Google Scholar] [CrossRef] [PubMed] [Green Version]
- R Studio Team RStudio: Integrated Development for R; RStudio Inc.: Boston, MA, USA, 2018.
- R Core Team R: A Language and Environment for Statistical Computing; R Foundation for Statistical Computing: Vienna, Austria, 2019.
- Marchler-Bauer, A.; Bryant, S.H. CD-Search: Protein Domain Annotations on the Fly. Nucleic Acids Res. 2004, 32, W327–W331. [Google Scholar] [CrossRef] [PubMed]
- Lombard, V.; Golaconda Ramulu, H.; Drula, E.; Coutinho, P.M.; Henrissat, B. The Carbohydrate-Active Enzymes Database (CAZy) in 2013. Nucleic Acids Res. 2014, 42, D490–D495. [Google Scholar] [CrossRef] [PubMed] [Green Version]
- Sprent, P. Fisher Exact Test. In International Encyclopedia of Statistical Science; Springer: Berlin/Heidelberg, Germany, 2011; pp. 524–525. [Google Scholar]
- Hagel, J.M.; Facchini, P.J. Expanding the Roles for 2-Oxoglutarate-Dependent Oxygenases in Plant Metabolism. Nat. Prod. Rep. 2018, 35, 721–734. [Google Scholar] [CrossRef] [PubMed]
- European Molecular Biology Laboratory—European Bioinformatics Institute (EMBL-EBI) QuickGO: Gene Ontology and GO Annotations. Available online: https://www.ebi.ac.uk/QuickGO/ (accessed on 10 September 2021).
- Stanley, D.; Farnden, K.J.F.; MacRae, E.A. Plant α-Amylases: Functions and Roles in Carbohydrate Metabolism. Biol. Bratisl. 2005, 60, 65–71. [Google Scholar]
- European Molecular Biology Laboratory—European Bioinformatics Institute (EMBL-EBI) InterPro: Classification of Protein Families. Available online: https://www.ebi.ac.uk/interpro/ (accessed on 9 September 2021).
- Mistry, J.; Chuguransky, S.; Williams, L.; Qureshi, M.; Salazar, G.A.; Sonnhammer, E.L.L.; Tosatto, S.C.E.; Paladin, L.; Raj, S.; Richardson, L.J.; et al. Pfam: The Protein Families Database in 2021. Nucleic Acids Res. 2021, 49, D412–D419. [Google Scholar] [CrossRef]
- Daher, F.B.; Braybrook, S.A. How to Let Go: Pectin and Plant Cell Adhesion. Front. Plant Sci. 2015, 6, 523. [Google Scholar] [CrossRef] [Green Version]
- Micheli, F. Pectin Methylesterases: Cell Wall Enzymes with Important Roles in Plant Physiology. Trends Plant Sci. 2001, 6, 414–419. [Google Scholar] [CrossRef]
- Willats, W.G.T.; Orfila, C.; Limberg, G.; Buchholt, H.C.; Van Alebeek, G.J.W.M.; Voragen, A.G.J.; Marcus, S.E.; Christensen, T.M.I.E.; Mikkelsen, J.D.; Murray, B.S.; et al. Modulation of the Degree and Pattern of Methyl-Esterification of Pectic Homogalacturonan in Plant Cell Walls: Implications for Pectin Methyl Esterase Action, Matrix Properties, and Cell Adhesion. J. Biol. Chem. 2001, 276, 19404–19413. [Google Scholar] [CrossRef] [Green Version]
- Tang, C.; Zhu, X.; Qiao, X.; Gao, H.; Li, Q.; Wang, P.; Wu, J.; Zhang, S. Characterization of the Pectin Methyl-Esterase Gene Family and Its Function in Controlling Pollen Tube Growth in Pear (Pyrus bretschneideri). Genomics 2020, 112, 2467–2477. [Google Scholar] [CrossRef] [PubMed]
- Pinzón-Latorre, D.; Deyholos, M.K. Characterization and Transcript Profiling of the Pectin Methylesterase (PME) and Pectin Methylesterase Inhibitor (PMEI) Gene Families in Flax (Linum usitatissimum). BMC Genom. 2013, 14, 742. [Google Scholar] [CrossRef] [PubMed] [Green Version]
- Mattick, J.S.; Gagen, M.J. The Evolution of Controlled Multitasked Gene Networks: The Role of Introns and Other Noncoding RNAs in the Development of Complex Organisms. Mol. Biol. Evol 2001, 18, 1611–1630. [Google Scholar] [CrossRef] [PubMed] [Green Version]
- Majewski, J.; Ott, J. Distribution and Characterization of Regulatory Elements in the Human Genome. Genome Res. 2002, 12, 1827–1836. [Google Scholar] [CrossRef] [PubMed] [Green Version]
- Zhu, L.; Zhang, Y.; Zhang, W.; Yang, S.; Chen, J.-Q.; Tian, D. Patterns of Exon-Intron Architecture Variation of Genes in Eukaryotic Genomes. BMC Genom. 2009, 10, 47. [Google Scholar] [CrossRef] [Green Version]
- Gazave, E.; Marqués-Bonet, T.; Fernando, O.; Charlesworth, B.; Navarro, A. Open Access Patterns and Rates of Intron Divergence between Humans and Chimpanzees. Genome Biol. 2007, 8, R21. [Google Scholar] [CrossRef] [Green Version]
- Koch, J.L.; Nevins, D.J. Tomato Fruit Cell Wall. Plant Physiol. 1989, 91, 816–822. [Google Scholar] [CrossRef] [Green Version]
- Bosch, M.; Hepler, P.K. Pectin Methylesterases and Pectin Dynamics in Pollen Tubes. Plant Cell 2005, 17, 3219–3226. [Google Scholar] [CrossRef] [Green Version]
- Moustacas, A.; Nari, J.; Borel, M.; Noat, G.; Ricard, J. Pectin Methylesterase, Metal Ions and Plant Cell-Wall Extension. The Role of Metal Ions in Plant Cell-Wall Extension. Biochem. J. 1991, 279, 351–354. [Google Scholar] [CrossRef] [Green Version]
- Nari, J.; Noat, G.; Diamantidis, G.; Woudstra, M.; Ricard, J. Electrostatic Effects and the Dynamics of Enzyme Reactions at the Surface of Plant Cells: 3. Interplay between Limited Cell-wall Autolysis, Pectin Methyl Esterase Activity and Electrostatic Effects in Soybean Cell Walls. Eur. J. Biochem. 1986, 155, 199–202. [Google Scholar] [CrossRef]
- Wen, F.; Zhu, Y.; Hawes, M.C. Effect of Pectin Methylesterase Gene Expression on Pea Root Development. Plant Cell 1999, 11, 1129–1140. [Google Scholar] [CrossRef] [PubMed] [Green Version]
- Beihammer, G.; Maresch, D.; Altmann, F.; Strasser, R. Glycosylphosphatidylinositol-Anchor Synthesis in Plants: A Glycobiology Perspective. Front. Plant Sci. 2020, 11, 611188. [Google Scholar] [CrossRef] [PubMed]
- Gille, S.; Pauly, M. O-Acetylation of Plant Cell Wall Polysaccharides. Front. Plant Sci. 2012, 3, 12. [Google Scholar] [CrossRef] [PubMed] [Green Version]
- Gille, S.; de Souza, A.; Xiong, G.; Benz, M.; Cheng, K.; Schultink, A.; Reca, I.B.; Pauly, M. O-Acetylation of Arabidopsis Hemicellulose Xyloglucan Requires AXY4 or AXY4L, Proteins with a TBL and DUF231 Domain. Plant Cell 2011, 23, 4041–4053. [Google Scholar] [CrossRef] [PubMed] [Green Version]
- Bischoff, V.; Nita, S.; Neumetzler, L.; Schindelasch, D.; Urbain, A.; Eshed, R.; Persson, S.; Delmer, D.; Scheible, W.R. TRICHOME BIREFRINGENCE and Its Homolog AT5G01360 Encode Plant-Specific DUF231 Proteins Required for Cellulose Biosynthesis in Arabidopsis. Plant Physiol. 2010, 153, 590–602. [Google Scholar] [CrossRef] [PubMed] [Green Version]
- Nishimura, M.T.; Stein, M.; Hou, B.H.; Vogel, J.P.; Edwards, H.; Somerville, S.C. Loss of a Callose Synthase Results in Salicylic Acid-Dependent Disease Resistance. Science 2003, 301, 969–972. [Google Scholar] [CrossRef]
- Ellinger, D.; Voigt, C.A. Callose Biosynthesis in Arabidopsis with a Focus on Pathogen Response: What We Have Learned within the Last Decade. Ann. Bot. 2014, 114, 1349–1358. [Google Scholar] [CrossRef] [PubMed] [Green Version]
- Chigwedere, C.M.; Njoroge, D.M.; Van Loey, A.M.; Hendrickx, M.E. Understanding the Relations among the Storage, Soaking, and Cooking Behavior of Pulses: A Scientific Basis for Innovations in Sustainable Foods for the Future. Compr. Rev. Food Sci. Food Saf. 2019, 18, 1135–1165. [Google Scholar] [CrossRef] [Green Version]
- Siddique, S.; Endres, S.; Sobczak, M.; Radakovic, Z.S.; Fragner, L.; Grundler, F.M.W.; Weckwerth, W.; Tenhaken, R.; Bohlmann, H. Myo-Inositol Oxygenase Is Important for the Removal of Excess Myo-Inositol from Syncytia Induced by Heterodera Schachtii in Arabidopsis Roots. New Phytol. 2014, 201, 476–485. [Google Scholar] [CrossRef] [Green Version]
- Chigwedere, C.M.; Olaoye, T.F.; Kyomugasho, C.; Jamsazzadeh Kermani, Z.; Pallares Pallares, A.; Van Loey, A.M.; Grauwet, T.; Hendrickx, M.E. Mechanistic Insight into Softening of Canadian Wonder Common Beans (Phaseolus vulgaris) during Cooking. Food Res. Int. 2018, 106, 522–531. [Google Scholar] [CrossRef]
- Galiotou-Panayotou, M.; Kyriakidis, N.B.; Margaris, I. Phytase-Phytate-Pectin Hypothesis and Quality of Legumes Cooked in Calcium Solutions. J. Sci. Food Agric. 2008, 88, 355–361. [Google Scholar] [CrossRef]
- Cavill, R.; Jennen, D.; Kleinjans, J.; Briedé, J.J. Transcriptomic and Metabolomic Data Integration. Brief. Bioinform. 2016, 17, 891–901. [Google Scholar] [CrossRef] [PubMed] [Green Version]
- Gygi, S.P.; Rochon, Y.; Franza, B.R.; Aebersold, R. Correlation between Protein and MRNA Abundance in Yeast. Mol. Cell. Biol. 1999, 19, 1720–1730. [Google Scholar] [CrossRef] [PubMed] [Green Version]
- Hu, B.; Jin, J.; Guo, A.Y.; Zhang, H.; Luo, J.; Gao, G. GSDS 2.0: An upgraded gene feature visualization server. Bioinformatics. 2015, 8, 1296–1297. [Google Scholar] [CrossRef] [PubMed] [Green Version]










| Description | Minimum | Maximum | Mean | Total |
|---|---|---|---|---|
| Number of libraries | - | - | - | 24 |
| Number of mapped reads | 3,735,119 | 10,139,058 | 5,890,219 | 141,365,247 |
| Number of alignments | 5,359,638 | 29,044,091 | 10,469,383 | 251,265,193 |
| Number of input reads (per library) | 3,922,953 | 11,186,658 | 6,209,020 | 149,016,471 |
| Average input read length | 43 | 49 | 47.71 | - |
| Uniquely mapped reads | 3,288,861 | 8,020,182 | 4,972,255 | 119,334,111 |
| Uniquely mapped reads (%) | 61.16 | 90.58 | 80.82 | - |
| Average mapped length | 41.45 | 48.85 | 47.44 | - |
| Total number of counts | 2,878,112 | 7,374,463 | 4,431,196 | 106,348,694 |
| Gene Identifier | Log2 Fold Change | Gene Description |
|---|---|---|
| Phvul.006g133200 | 3.712249 | Leucine-rich repeat protein kinase-like protein |
| Phvul.003g047300 | 6.649919 | Cadmium/zinc-transporting ATPase HMA1, chloroplastic-related |
| Phvul.003g213500 | 2.991666 | Homeobox protein knotted-1-like 7 |
| Phvul.008g027600 | 3.377875 | Glutathione s-transferase kappa |
| Phvul.009g191800 | 3.820829 | GPI mannosyltransferase; Phosphatidylinositol glycan, class V |
| Phvul.008g133200 | 9.62583 | Plant PEC family metallothionein (Metallothio_PEC) |
| Phvul.010g019350 | 7.117989 | Small EDRK-rich factor 1 |
| Phvul.007g278000 | 4.789283 | Expressed protein-related |
| Phvul.003g054300 | 4.895153 | Xyloglucan O-acetyltransferase; protein altered xyloglucan 4 |
| Phvul.002g273200 | 3.185114 | Histone deacetylase 6 |
| Phvul.005g086200 | 4.975348 | Pre-mRNA-processing factor 8 (PRPF8, PRP8) |
| Phvul.008g141500 | 3.561553 | Chromatin remodelling complex WSTF-ISWI, small subunit |
| Phvul.004g085694 | 4.860125 | Androgen induced inhibitor of proliferation AS3/PDS5-related |
| Phvul.008g268500 | 4.704867 | Lob domain-containing protein 23-related |
| Phvul.005g063900 | 8.368925 | 11-oxo-beta-amyrin 30-oxidase/CYP72A154 |
| Phvul.007g070200 | −7.59207 | Copper transport protein atox1-related |
| Phvul.007g170900 | −6.47656 | Aspartyl protease-like protein |
| Phvul.008g265300 | −5.53117 | Genomic DNA, chromosome 3, p1 clone: MSD21 |
| Phvul.006g029700 | −4.7696 | Protein RCC2 |
| Phvul.008g244800 | −5.32578 | Leucine-rich repeat protein kinase-like protein |
| Phvul.007g040700 | −4.07947 | S-methyl-5-thioribose kinase/MTR kinase |
| Phvul.006g088600 | −3.57527 | Alpha/beta-hydrolases superfamily protein |
| Phvul.009g260300 | −3.06147 | Phosphatase DCR2-related |
| Phvul.009g158600 | −5.9323 | SAUR family protein (SAUR) |
| Phvul.001g068400 | −4.71518 | PPR repeat (PPR)/(PPR_1)/PPR repeat family (PPR_2) |
| Phvul.003g257900 | −2.5961 | Alpha/beta hydrolase fold-containing protein |
| Phvul.010g121301 | −4.62911 | Ribosome production factor 1 |
| Phvul.007g033301 | −5.91743 | H/ACA ribonucleoprotein complex subunit 3 (NOP10, NOLA3) |
| Phvul.003g053900 | −2.58937 | Gluconokinase (E2.7.1.12, gntk, idnk) |
| Phvul.009g134300 | −3.70006 | Bidirectional sugar transporter sweet1 |
| Phvul.008g127537 | −5.3512 | Lysosomal acid lipase-related |
| Phvul.009g049100 | −4.32872 | 6-phosphogluconolactonase |
| Phvul.007g218500 | −4.36224 | Pectinesterase/pectinesterase inhibitor 39-related |
| Phvul.003g091800 | −3.99388 | Aluminum induced protein with YGL and LRDR motifs |
| Phvul.004g158200 | −7.748 | Legume lectin domain (Lectin_legb) |
| Phvul.004g012900 | −3.83536 | Leucine-rich repeat-containing protein |
| Phvul.008g121300 | −4.59491 | Callose synthase 3 |
Publisher’s Note: MDPI stays neutral with regard to jurisdictional claims in published maps and institutional affiliations. |
© 2022 by the authors. Licensee MDPI, Basel, Switzerland. This article is an open access article distributed under the terms and conditions of the Creative Commons Attribution (CC BY) license (https://creativecommons.org/licenses/by/4.0/).
Share and Cite
Toili, M.E.M.; de Koning, R.; Kiekens, R.; Ndumba, N.; Wahome, S.; Anami, S.; Githiri, S.M.; Angenon, G. Transcriptome-Guided Identification of Pectin Methyl-Esterase-Related Enzymes and Novel Molecular Processes Effectuating the Hard-to-Cook Defect in Common Bean (Phaseolus vulgaris L.). Foods 2022, 11, 1692. https://doi.org/10.3390/foods11121692
Toili MEM, de Koning R, Kiekens R, Ndumba N, Wahome S, Anami S, Githiri SM, Angenon G. Transcriptome-Guided Identification of Pectin Methyl-Esterase-Related Enzymes and Novel Molecular Processes Effectuating the Hard-to-Cook Defect in Common Bean (Phaseolus vulgaris L.). Foods. 2022; 11(12):1692. https://doi.org/10.3390/foods11121692
Chicago/Turabian StyleToili, Mary Esther Muyoka, Ramon de Koning, Raphaël Kiekens, Nelson Ndumba, Samuel Wahome, Sylvester Anami, Stephen Mwangi Githiri, and Geert Angenon. 2022. "Transcriptome-Guided Identification of Pectin Methyl-Esterase-Related Enzymes and Novel Molecular Processes Effectuating the Hard-to-Cook Defect in Common Bean (Phaseolus vulgaris L.)" Foods 11, no. 12: 1692. https://doi.org/10.3390/foods11121692
APA StyleToili, M. E. M., de Koning, R., Kiekens, R., Ndumba, N., Wahome, S., Anami, S., Githiri, S. M., & Angenon, G. (2022). Transcriptome-Guided Identification of Pectin Methyl-Esterase-Related Enzymes and Novel Molecular Processes Effectuating the Hard-to-Cook Defect in Common Bean (Phaseolus vulgaris L.). Foods, 11(12), 1692. https://doi.org/10.3390/foods11121692

