Insight on a Competitive Nucleophilic Addition Reaction of Nε-(Carboxymethyl) Lysine or Different Amino Acids with 4-Methylbenzoquinone
Abstract
:1. Introduction
2. Materials and Methods
2.1. Materials
2.2. Cyclic Voltammetry
2.3. Quantitative Analysis of the Reactivity of 4-MBQ with Nucleophiles by UPLC-MS/MS
2.4. Identification of the 4-MBQ-Nucleophile Reaction Products by UPLC-QTOF-MS/MS
2.5. Quantum Chemistry Calculations of the Nucleophilic and Electrophilic Indexes of Reagents
2.6. Statistical Analysis
3. Results
3.1. Effects of Nucleophile Concentration on the Reaction of Nucleophiles with ο-Benzoquinone
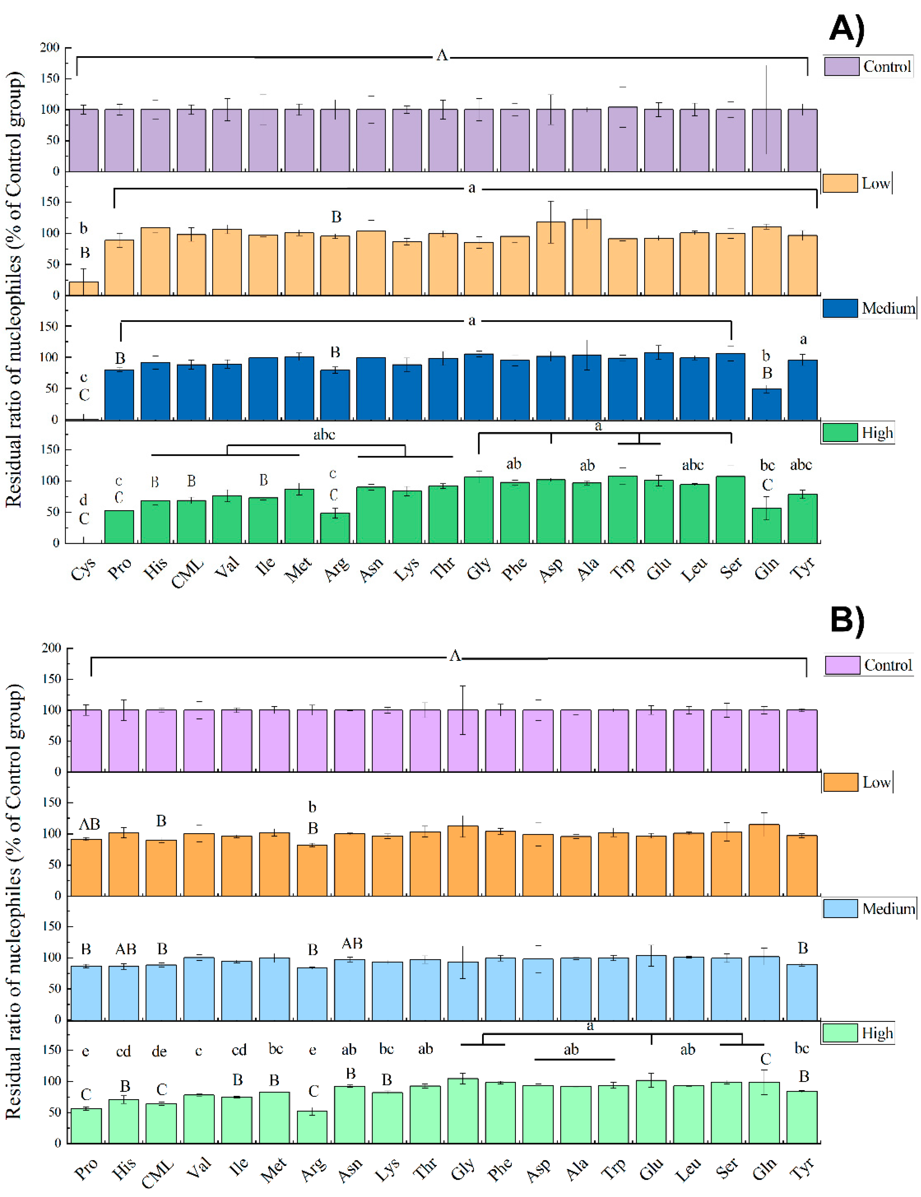
3.2. The Reactivity of Coexisting Nucleophiles with 4-MBQ
3.3. Identification of 4-MBQ-Nucleophile Reaction Products by UPLC-QTOF-MS/MS
3.4. Quantum Chemical Prediction of the Reactivity of 4-MBQ with Nucleophiles
4. Conclusions
Supplementary Materials
Author Contributions
Funding
Institutional Review Board Statement
Informed Consent Statement
Data Availability Statement
Conflicts of Interest
References
- Coelho, O.G.L.; Ribeiro, P.V.M.; Alfenas, R.C.G. Can grape polyphenols affect glycation markers? A systematic review. Crit. Rev. Food Sci. Nutr. 2021, 1–11. [Google Scholar] [CrossRef] [PubMed]
- Lavilla, C.J.; Billacura, M.P.; Hanna, K.; Boocock, D.J.; Coveney, C.; Miles, A.K.; Foulds, G.A.; Murphy, A.; Tan, A.; Jackisch, L.; et al. Carnosine protects stimulus-secretion coupling through prevention of protein carbonyl adduction events in cells under metabolic stress. Free Radic. Biol. Med. 2021, 175, 65–79. [Google Scholar] [CrossRef] [PubMed]
- Sun, H.; Chen, J.; Sun, L.; Shi, B.; Li, J. Role of thioredoxin-interacting protein in diabetic fatty kidney induced by advanced glycation end-products. J. Agric. Food Chem. 2021, 69, 11982–11991. [Google Scholar] [CrossRef] [PubMed]
- Omofuma, O.O.; Peterson, L.L.; Turner, D.P.; Merchant, A.T.; Zhang, J.; Thomson, C.A.; Neuhouser, M.L.; Snetselaar, L.G.; Caan, B.J.; Shadyab, A.H.; et al. Dietary advanced glycation end-products and mortality after breast cancer in the women’s health initiative. Cancer Epidemiol. Biomark. Prev. 2021, 30, 2217–2226. [Google Scholar] [CrossRef]
- Qin, C.; Li, Y.; Zhang, Y.; Liu, L.; Wu, Z.; Weng, P. Insights into oat polyphenols constituent against advanced glycation end products mechanism by spectroscopy and molecular interaction. Food Biosci. 2021, 43, 101313. [Google Scholar] [CrossRef]
- Lund, M.N.; Ray, C.A. Control of maillard reactions in foods: Strategies and chemical mechanisms. J. Agric. Food Chem. 2017, 65, 4537–4552. [Google Scholar] [CrossRef] [Green Version]
- Rowan, S.; Bejarano, E.; Taylor, A. Mechanistic targeting of advanced glycation end-products in age-related diseases. Biochim. Biophys. Acta Mol. Basis Dis. 2018, 1864, 3631–3643. [Google Scholar] [CrossRef]
- Ito, S.; Sugumaran, M.; Wakamatsu, K. Chemical reactivities of ortho-quinones produced in living organisms: Fate of quinonoid products formed by tyrosinase and phenoloxidase action on phenols and catechols. Int. J. Mol. Sci. 2020, 21, 6080. [Google Scholar] [CrossRef]
- Bittner, S. When quinones meet amino acids: Chemical, physical and biological consequences. Amino Acids 2006, 30, 205–224. [Google Scholar] [CrossRef]
- Yin, J.; Hedegaard, R.V.; Skibsted, L.H.; Andersen, M.L. Epicatechin and epigallocatechin gallate inhibit formation of intermediary radicals during heating of lysine and glucose. Food Chem. 2014, 146, 48–55. [Google Scholar] [CrossRef]
- Li, Y.; Li, L.; Lund, M.N.; Li, B.; Hu, Y.; Zhang, X. Kinetic investigation of the trapping of nε-(carboxymethyl)lysine by 4-methylbenzoquinone: A new mechanism to control nε-(carboxymethyl)lysine levels in foods. Food Chem. 2017, 244, 25–28. [Google Scholar] [CrossRef] [PubMed]
- Land, E.J.; Ramsden, C.A.; Riley, P.A. Tyrosinase autoactivation and the chemistry of ortho-quinone amines. Acc. Chem. Res. 2003, 36, 300–308. [Google Scholar] [CrossRef] [PubMed]
- Li, Y.; Jongberg, S.; Andersen, M.L.; Davies, M.J.; Lund, M.N. Quinone-induced protein modifications: Kinetic preference for reaction of 1,2-benzoquinones with thiol groups in proteins. Free. Radic. Biol. Med. 2016, 97, 148–157. [Google Scholar] [CrossRef] [PubMed]
- Krayz, G.T.; Bittner, S.; Dhiman, A.; Becker, J.Y. Electrochemistry of quinones with respect to their role in biomedical chemistry. Chem. Rec. 2021, 21, 2332–2343. [Google Scholar] [CrossRef]
- Oliveira, C.M.; Barros, A.S.; Ferreira, A.C.; Silva, A.M. Study of quinones reactions with wine nucleophiles by cyclic voltammetry. Food Chem. 2016, 211, 1–7. [Google Scholar] [CrossRef]
- Li, Y.; Qi, H.; Fan, M.; Zhu, Z.; Zhan, S.; Li, L.; Li, B.; Zhang, X.; Zhao, X.; Ma, J.; et al. Quantifying the efficiency of o-benzoquinones reaction with amino acids and related nucleophiles by cyclic voltammetry. Food Chem. 2020, 317, 126454. [Google Scholar] [CrossRef]
- Li, Y.; Huang, Q.; Yu, X.; Liu, Y.; Ma, J. Study of reactions of nε-(carboxymethyl) lysine with o-benzoquinones by cyclic voltammetry. Food Chem. 2019, 307, 125554. [Google Scholar] [CrossRef]
- Parr, R.G.; Szentpály, L.v.; Liu, S. Electrophilicity index. J. Am. Chem. Soc. 1999, 121, 1922–1924. [Google Scholar] [CrossRef]
- Domingo, L.R.; Chamorro, E.; Pérez, P. Understanding the reactivity of captodative ethylenes in polar cycloaddition reactions. A theoretical study. J. Org. Chem. 2008, 73, 4615–4624. [Google Scholar] [CrossRef]
- Parr, R.G.; Yang, W. Density functional approach to the frontier-electron theory of chemical reactivity. J. Am. Chem. Soc. 1984, 106, 4049–4050. [Google Scholar] [CrossRef]
- Geerlings, P.; De Proft, F.; Langenaeker, W. Conceptual density functional theory. Chem. Rev. 2003, 103, 1793–1873. [Google Scholar] [CrossRef] [PubMed]
- Yang, W.; Mortier, W.J. The use of global and local molecular parameters for the analysis of the gas-phase basicity of amines. J. Am. Chem. Soc. 1986, 108, 5708–5711. [Google Scholar] [CrossRef] [PubMed]
- Oláh, J.; Van Alsenoy, C.; Sannigrahi, A. Condensed fukui functions derived from stockholder charges: Assessment of their performance as local reactivity descriptors. J. Phys. Chem. A 2002, 106, 3885–3890. [Google Scholar] [CrossRef]
- Le Floch, J.P.; Escuyer, P.; Baudin, E.; Baudon, D.; Perlemuter, L. Blood glucose area under the curve: Methodological aspects. Diabetes Care 1990, 13, 172–175. [Google Scholar] [CrossRef] [PubMed]
- Fekedulegn, D.B.; Andrew, M.E.; Burchfiel, C.M.; Violanti, J.M.; Hartley, T.A.; Charles, L.E.; Miller, D.B. Area under the curve and other summary indicators of repeated waking cortisol measurements. Psychosom. Med. 2007, 69, 651–659. [Google Scholar] [CrossRef] [PubMed] [Green Version]
- Myerson, J.; Green, L.; Warusawitharana, M. Area under the curve as a measure of discounting. J. Exp. Anal. Behav. 2001, 76, 235–243. [Google Scholar] [CrossRef] [PubMed] [Green Version]
- Brotzel, F.; Chu, Y.C.; Mayr, H. Nucleophilicities of primary and secondary amines in water. J. Org. Chem. 2007, 72, 3679–3688. [Google Scholar] [CrossRef] [PubMed]
- Yang, K.; Prasse, C.; Greenberg, M.M. Effect of histone lysine methylation on DNA lesion reactivity in nucleosome core particles. Chem. Res. Toxicol. 2019, 32, 910–916. [Google Scholar] [CrossRef]
- Shannon, D.A.; Weerapana, E. Covalent protein modification: The current landscape of residue-specific electrophiles. Curr. Opin. Chem. Biol. 2015, 24, 18–26. [Google Scholar] [CrossRef]
- Poole, L.B. The basics of thiols and cysteines in redox biology and chemistry. Free Radic. Biol. Med. 2015, 80, 148–157. [Google Scholar] [CrossRef] [Green Version]
- Xie, R.; Tu, M.; Carvin, J.; Wu, Y. Detoxification of biomass hydrolysates with nucleophilic amino acids enhances alcoholic fermentation. Bioresour. Technol. 2015, 186, 106–113. [Google Scholar] [CrossRef] [Green Version]
- Croom, E. Chapter three-metabolism of xenobiotics of human environments. In Progress in Molecular Biology and Translational Science; Hodgson, E., Ed.; Academic Press: Oxford, UK, 2012; pp. 31–88. [Google Scholar]
- Dwyer, D.S. Electronic properties of the amino acid side chains contribute to the structural preferences in protein folding. J. Biomol. Struct. Dyn. 2001, 18, 881–892. [Google Scholar] [CrossRef] [PubMed]
- Dwyer, D.S. Electronic properties of amino acid side chains: Quantum mechanics calculation of substituent effects. BMC Chem. Biol. 2005, 5, 2. [Google Scholar] [CrossRef] [PubMed] [Green Version]
- Menger, F.M.; Mandell, L. Electronic Interpretation of Organic Chemistry; Springer: Berlin/Heidelberg, Germany, 1980. [Google Scholar]
- Cameli, N.; Mariano, M.; Ardigò, M.; Corato, C.; Paoli, G.D.; Berardesca, E. Comparative instrumental evaluation of efficacy and safety between a binary and a ternary system in chemexfoliation. J. Cosmet. Dermatol. 2017, 17, 788–796. [Google Scholar] [CrossRef] [PubMed]
- Bentley, T.W. Nucleophilicity parameters for amines, amino acids and peptides in water. Variations in selectivities for quinone methides. Org. Biomol. Chem. 2011, 9, 6685–6690. [Google Scholar] [CrossRef] [PubMed]
- Christensen, H.N. New insights into intravenous peptide metabolism. Nutr. Rev. 1995, 53, 100–102. [Google Scholar] [CrossRef] [PubMed]
- Papazi, A.; Kotzabasis, K. Inductive and resonance effects of substituents adjust the microalgal biodegradation of toxical phenolic compounds. J. Biotechnol. 2008, 135, 366–373. [Google Scholar] [CrossRef]




| Asymptote/(a) | Response Range/(b) | Slope/(c) | Adjusted R2 | Area Under Curve/(AUC) | |
|---|---|---|---|---|---|
| Cys | 99.73 | 96.46 | 0.55 | 0.9923 | 6611.0294 |
| Pro | 98.03 | 60.49 | 0.90 | 0.9681 | 5613.1525 |
| His | 99.98 | 68.95 | 0.93 | 0.9777 | 5256.3847 |
| CML | 95.45 | 91.13 | 0.93 | 0.9997 | 4765.1886 |
| Val | 79.88 | 61.57 | 0.95 | 0.9241 | 3782.85 |
| Ile | 88.63 | 77.40 | 0.96 | 0.9943 | 3737.7741 |
| Met | 86.06 | 70.20 | 0.94 | 0.9801 | 3418.3037 |
| Arg | 100.00 | 103.20 | 0.97 | 0.9826 | 2763.1127 |
| Asn | 100.00 | 90.49 | 0.98 | 0.9750 | 2550.7153 |
| Lys | 100.00 | 99.00 | 0.98 | 0.9585 | 2446.4263 |
| Thr | 69.73 | 78.10 | 0.96 | 0.9828 | 2436.15446 |
| Gly | 87.37 | 80.96 | 0.98 | 0.9396 | 2389.0043 |
| Phe | 61.38 | 65.23 | 0.96 | 0.9934 | 2349.8997 |
| Asp | 46.53 | 32.88 | 0.92 | 0.9577 | 2214.9758 |
| Ala | 37.27 | 57.51 | 0.75 | 0.9688 | 2192.8232 |
| Trp | 30.49 | 21.84 | 0.76 | 0.9801 | 1848.3408 |
| Glu | 27.53 | 30.99 | 0.47 | 0.9555 | 1720.8173 |
| Leu | 40.46 | 35.41 | 0.96 | 0.9593 | 1639.2518 |
| Ser | 100.00 | 98.41 | 0.99 | 0.9951 | 1526.9632 |
| Gln | 37.65 | 33.30 | 0.93 | 0.9339 | 1518.9773 |
| Tyr | - | - | - | - | - |
| Adduct | Formula | Precursor Ion/(m/z) | Product Ion (Relative Intensity %) |
|---|---|---|---|
| L-Cys-4-MC | C10H13NO4S | 244.0594 | 127.0189 (100); 155.0128 (87.4); 86.9896 (6.2) 227.0353 (3.3) |
| L-Pro-4-MBQ | C12H13NO4 | 236.0892 | 192.1011 (100.0); 208.0955 (54.9); 70.0655 (16.1); 162.0908 (12.6) |
| L-His-4-MBQ | C13H13N3O4 | 276.0946 | 95.0594 (100.0); 232.1043 (53.3); 138.0524 (28.3) |
| L-His-4MC | C13H15N3O4 | 278.1102 | 232.1066 (100.0); 217.0944 (32.9); 83.0602 (30.4) |
| CML-4-MBQ | C15H20N2O6 | 325.1398 | 84.0815 (100.0); 130.0874 (30.4); 152.0717 (18.8); 206.1187 (10.2) |
| L-Val-4-MBQ | C12H15NO4 | 238.1044 | 192.0982 (100.0); 164.1049 (86.2); 110.0595 (11.5); 122.0595 (8.0); 210.1104 (4.6); 150.0535 (2.3) |
| L-Ile-4MC | C11H13NO5 | 254.1360 | Null |
| L-Met-4-MBQ | C12H15NO4S | 270.0761 | 61.0109 (100.0); 133.0312 (52.8); 176.0695 (43.6); 148.0751 (22.4); 224.0729 (14.4); 194.0795 (14.0) |
| L-Agr-4-MBQ | C13H18N4O4 | 295.1102 | 70.0642 (100.0); 90.9763 (41.7); 164.1045 (18.3) |
| L-Asn-4-MBQ | C11H12N2O5 | 252.9946 | 118.9190 (56.9); 168.9032 (52.4); 220.9165 (44.9) |
| L-Lys-4-MBQ | C13H18N2O4 | 267.1315 | 84.0808 (100.0); 136.9303 (34.3); 118.9184 (23.3); 178.9184 (12.4); 206.1156 (11.4); 222.1148 (8.6) |
| L-Thr-4-MBQ | C11H13NO5 | 240.0842 | 150.0543 (100.0); 122.0597 (70.2); 196.0589 (19.9); 178.0489 (7.5) |
| Gly-4-MBQ | C9H9NO4 | 196.0568 | 122.0592 (100.0); 94.0644 (45.2); 150.0538 (37.0) |
| L-Phe-4-MC | C16H19NO4 | 288.1207 | 120.0808 (100.0); 166.0860 (13.5); 149.0572 (2.9) |
| L-Asp-4-MBQ | C11H11NO6 | 254.0831 | Null |
| L-Asp-4-MC-L-Asp | C15H18N2O10 | 387.1258 | 205.0582 (100.0) |
| L-Ala-4-MBQ | C10H11NO4 | 210.0714 | 136.0747 (100.0); 164.0692 (54.3) |
| L-Trp-4-MBQ | C18H16N2O4 | 325.1146 | 252.0984 (100.0) |
| L-Trp-4-MBC | C18H18N2O4 | 327.1308 | 188.0696 (46.6); 146.0591 (34.5); 123.0435 (32.8); 205.0953 (6.0) |
| L-Glu-4-MBQ | C12H13NO6 | 268.0787 | 250.0680 (15.4); 222.0733 (57.3); 204.0631 (25.6); 176.0694 (100.0); 148.0743 (51.3) |
| L-Leu-4MC | C13H19NO4 | 254.1363 | 123.0441 (100.0); 86.0952 (50.0) |
| L-Ser-4-MBQ | C10H11NO5 | 226.0680 | 152.0699 (100.0); 180.0641 (66.3); 123.0672 (32.9); 196.0583 (6.6) |
| L-Gln-4-MBQ | C12H14N2O5 | 267.0928 | 250.0679 (54.2); 86.0596 (42.9); 222.0734 (40.8); 130.0491 (38.8) |
| L-Tyr-4-MBQ | C16H15NO5 | 302.0966 | 107.0474 (100.0); 150.0529 (41.9); 196.0575 (17.2); 256.0938 (3.7) |
| Global Nucleophilic Index | Global Electrophilic Index | |
|---|---|---|
| Cys | 0.0910 | 0.0249 |
| Pro | 0.0852 | 0.0209 |
| His | 0.1143 | 0.0177 |
| CML | 0.0639 | 0.0293 |
| Val | 0.0657 | 0.0258 |
| Ile | 0.0713 | 0.0237 |
| Met | 0.1103 | 0.0238 |
| Arg | 0.1297 | 0.0188 |
| Asn | 0.0546 | 0.0286 |
| Lys | 0.0841 | 0.0238 |
| Thr | 0.0700 | 0.0239 |
| Gly | 0.0624 | 0.0253 |
| Phe | 0.0720 | 0.0276 |
| Asp | 0.0545 | 0.0289 |
| Ala | 0.0647 | 0.0252 |
| Trp | 0.1261 | 0.0220 |
| Glu | 0.0553 | 0.0284 |
| Leu | 0.0664 | 0.0256 |
| Ser | 0.0665 | 0.0244 |
| Gln | 0.0545 | 0.0280 |
| Tyr | 0.1004 | 0.0241 |
| CEL | 0.0665 | 0.0366 |
| Pentosidine | 0.1510 | 0.0320 |
| Pyrraline | 0.0914 | 0.0346 |
Publisher’s Note: MDPI stays neutral with regard to jurisdictional claims in published maps and institutional affiliations. |
© 2022 by the authors. Licensee MDPI, Basel, Switzerland. This article is an open access article distributed under the terms and conditions of the Creative Commons Attribution (CC BY) license (https://creativecommons.org/licenses/by/4.0/).
Share and Cite
Zhang, Z.; Li, L.; Li, Y.; Wu, Y.; Zhang, X.; Qi, H.; Li, B. Insight on a Competitive Nucleophilic Addition Reaction of Nε-(Carboxymethyl) Lysine or Different Amino Acids with 4-Methylbenzoquinone. Foods 2022, 11, 1421. https://doi.org/10.3390/foods11101421
Zhang Z, Li L, Li Y, Wu Y, Zhang X, Qi H, Li B. Insight on a Competitive Nucleophilic Addition Reaction of Nε-(Carboxymethyl) Lysine or Different Amino Acids with 4-Methylbenzoquinone. Foods. 2022; 11(10):1421. https://doi.org/10.3390/foods11101421
Chicago/Turabian StyleZhang, Zhenhui, Lin Li, Yuting Li, Yi Wu, Xia Zhang, Haiping Qi, and Bing Li. 2022. "Insight on a Competitive Nucleophilic Addition Reaction of Nε-(Carboxymethyl) Lysine or Different Amino Acids with 4-Methylbenzoquinone" Foods 11, no. 10: 1421. https://doi.org/10.3390/foods11101421
APA StyleZhang, Z., Li, L., Li, Y., Wu, Y., Zhang, X., Qi, H., & Li, B. (2022). Insight on a Competitive Nucleophilic Addition Reaction of Nε-(Carboxymethyl) Lysine or Different Amino Acids with 4-Methylbenzoquinone. Foods, 11(10), 1421. https://doi.org/10.3390/foods11101421
