The Effect of Rice vs. Wheat Ingestion on Postprandial Gastroesophageal Reflux (GER) Symptoms in Patients with Overlapping GERD-Irritable Bowel Syndrome (IBS)
Abstract
1. Introduction
2. Materials and Methods
2.1. Study Subjects
2.2. Study Design
2.3. Interventional Meals
2.4. Breath Tests
2.5. Statistical Analysis
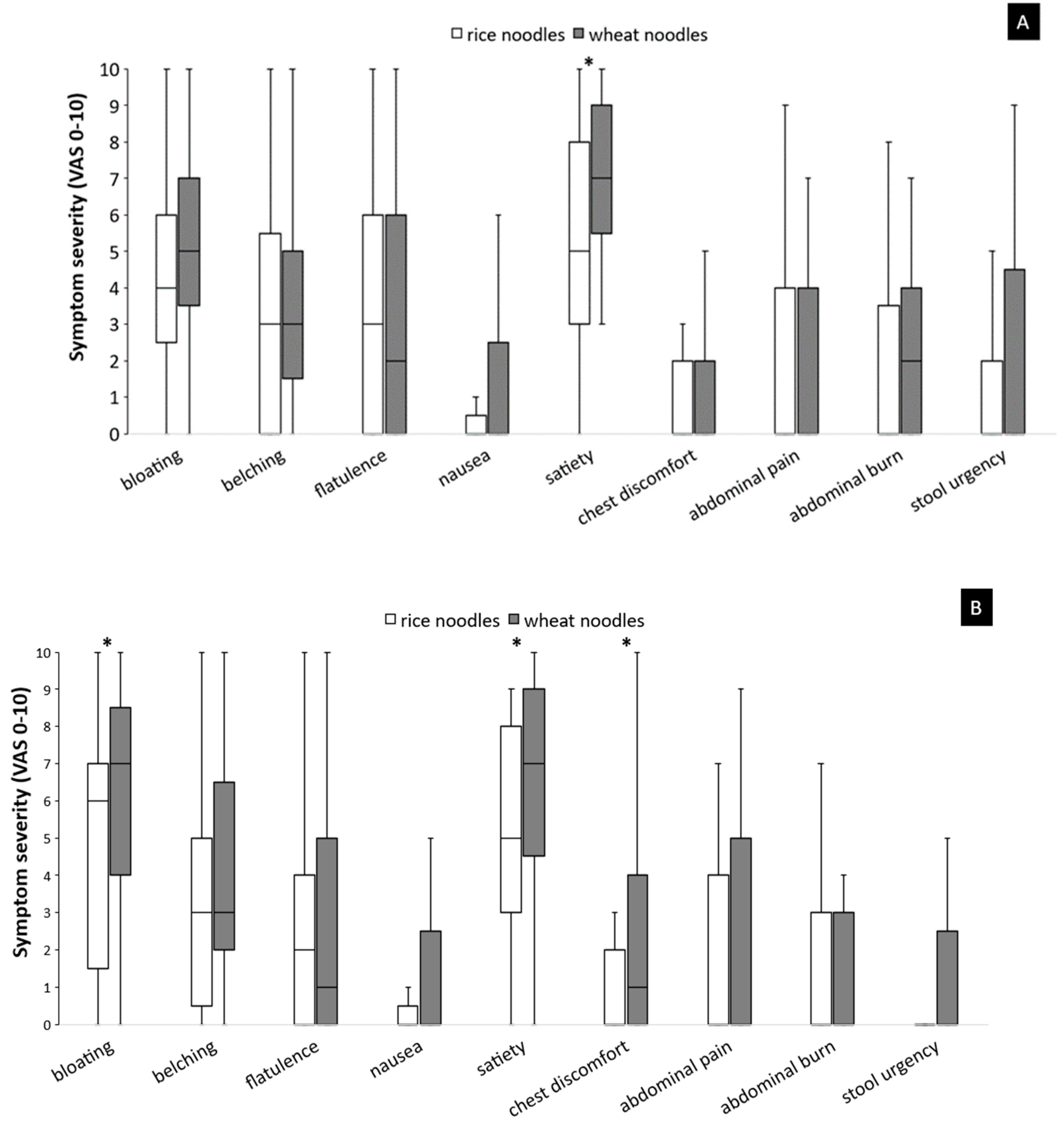
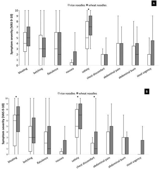
3. Results
3.1. Effects of Wheat vs. Rice Ingestion on Typical GERD Symptoms
3.2. Effects of Wheat vs. Rice Ingestion on Other GI Symptoms
3.3. H2 and CH4 Production after Rice vs. Wheat Ingestion
3.4. The Correlation between Postprandial Symptoms and H2 and CH4 Production
4. Discussion
5. Conclusions
Author Contributions
Funding
Institutional Review Board Statement
Informed Consent Statement
Acknowledgments
Conflicts of Interest
References
- Farré, R.; Tack, J. Food and symptom generation in functional gastrointestinal disorders: Physiological aspects. Am. J. Gastroenterol. 2013, 108, 698–706. [Google Scholar] [CrossRef] [PubMed]
- Spencer, M.; Chey, W.D.; Eswaran, S. Dietary Renaissance in IBS: Has Food Replaced Medications as a Primary Treatment Strategy? Curr. Treat. Options Gastroenterol. 2014, 12, 424–440. [Google Scholar] [CrossRef] [PubMed]
- Barrow, L.; Steed, K.P.; Spiller, R.C.; Watts, P.J.; Melia, C.D.; Davies, M.C.; Wilson, C.G. Scintigraphic demonstration of lactulose-induced accelerated proximal colon transit. Gastroenterology 1992, 103, 1167–1173. [Google Scholar] [CrossRef]
- Jouët, P.; Sabaté, J.M.; Coffin, B.; Lémann, M.; Jian, R.; Flourié, B. Fermentation of starch stimulates propagated contractions in the human colon. Neurogastroenterol. Motil. 2011, 23, 450–456 e176. [Google Scholar] [CrossRef]
- Ropert, A.; Cherbut, C.; Rozé, C.; Le Quellec, A.; Holst, J.J.; Fu-Cheng, X.; des Varannes, S.B.; Galmiche, J.P. Colonic fermentation and proximal gastric tone in humans. Gastroenterology 1996, 111, 289–296. [Google Scholar] [CrossRef]
- Piche, T.; Zerbib, F.; Varannes, S.B.; Cherbut, C.; Anini, Y.; Roze, C.; le Quellec, A.; Galmiche, J.P. Modulation by colonic fermentation of LES function in humans. Am. J. Physiol. Gastrointest. Liver Physiol. 2000, 278, G578–G584. [Google Scholar] [CrossRef] [PubMed]
- Dalile, B.; Van Oudenhove, L.; Vervliet, B.; Verbeke, K. The role of short-chain fatty acids in microbiota-gut-brain communication. Nat. Rev. Gastroenterol. Hepatol. 2019, 16, 461–478. [Google Scholar] [CrossRef]
- Mönnikes, H.; Heading, R.C.; Schmitt, H.; Doerfler, H. Influence of irritable bowel syndrome on treatment outcome in gastroesophageal reflux disease. World J. Gastroenterol. 2011, 17, 3235–3241. [Google Scholar]
- Lovell, R.M.; Ford, A.C. Prevalence of gastro-esophageal reflux-type symptoms in individuals with irritable bowel syndrome in the community: A meta-analysis. Am. J. Gastroenterol. 2012, 107, 1793–1801. [Google Scholar] [CrossRef]
- Nastaskin, I.; Mehdikhani, E.; Conklin, J.; Park, S.; Pimentel, M. Studying the overlap between IBS and GERD: A systematic review of the literature. Dig. Dis. Sci. 2006, 51, 2113–2120. [Google Scholar] [CrossRef]
- van Lanen, A.S.; de Bree, A.; Greyling, A. Efficacy of a low-FODMAP diet in adult irritable bowel syndrome: A systematic review and meta-analysis. Eur. J. Nutr. 2021, 60, 3505–3522. [Google Scholar] [CrossRef] [PubMed]
- Hahn, J.; Choi, J.; Chang, M.J. Effect of Low FODMAPs Diet on Irritable Bowel Syndromes: A Systematic Review and Meta-Analysis of Clinical Trials. Nutrients 2021, 13, 2460. [Google Scholar] [CrossRef]
- Zilić, S.; Barać, M.; Pešić, M.; Dodig, D.; Ignjatović-Micić, D. Characterization of proteins from grain of different bread and durum wheat genotypes. Int. J. Mol. Sci. 2011, 12, 5878–5894. [Google Scholar] [CrossRef] [PubMed]
- Fabian, C.; Ju, Y.H. A review on rice bran protein: Its properties and extraction methods. Crit. Rev. Food Sci. Nutr. 2011, 51, 816–827. [Google Scholar] [CrossRef]
- Gonlachanvit, S. Are rice and spicy diet good for functional gastrointestinal disorders? J. Neurogastroenterol. Motil. 2010, 16, 131–138. [Google Scholar] [CrossRef]
- Levitt, M.D.; Hirsh, P.; Fetzer, C.A.; Sheahan, M.; Levine, A.S. H2 excretion after ingestion of complex carbohydrates. Gastroenterology 1987, 92, 383–389. [Google Scholar] [CrossRef]
- Linlawan, S.; Patcharatrakul, T.; Somlaw, N.; Gonlachanvit, S. Effect of Rice, Wheat, and Mung Bean Ingestion on Intestinal Gas Production and Postprandial Gastrointestinal Symptoms in Non-Constipation Irritable Bowel Syndrome Patients. Nutrients 2019, 11, 2061. [Google Scholar] [CrossRef] [PubMed]
- USDA. Food Data Central. Available online: https://ndb.nal.usda.gov/ndb/search/list (accessed on 30 November 2021).
- Varney, J.; Barrett, J.; Scarlata, K.; Catsos, P.; Gibson, P.R.; Muir, J.G. FODMAPs: Food composition, defining cutoff values and international application. J. Gastroenterol. Hepatol. 2017, 32 (Suppl. 1), 53–61. [Google Scholar] [CrossRef] [PubMed]
- Halmos, E.P.; Power, V.A.; Shepherd, S.J.; Gibson, P.R.; Muir, J.G. A diet low in FODMAPs reduces symptoms of irritable bowel syndrome. Gastroenterology 2014, 146, 67–75.e5. [Google Scholar] [CrossRef]
- Ong, D.K.; Mitchell, S.B.; Barrett, J.S.; Shepherd, S.J.; Irving, P.M.; Biesiekierski, J.R.; Smith, S.; Gibson, P.R.; Muir, J.G. Manipulation of dietary short chain carbohydrates alters the pattern of gas production and genesis of symptoms in irritable bowel syndrome. J. Gastroenterol. Hepatol. 2010, 25, 1366–1373. [Google Scholar] [CrossRef]
- Shepherd, S.J.; Gibson, R.P. Fructose malabsorption and symptoms of irritable bowelsyndrome: Guidelines for effective dietary management. Am. Diet. Assoc. 2006, 106, 1631–1639. [Google Scholar] [CrossRef] [PubMed]
- Biesiekierski, J.R.; Rosella, O.; Rose, R.; Liels, K.; Barrett, J.S.; Shepherd, S.J.; Gibson, P.R.; Muir, J.G. Quantification of fructans, galacto-oligosacharides and other short-chain carbohydrates in processed grains and cereals. J. Hum. Nutr. Diet. 2011, 24, 154–176. [Google Scholar] [CrossRef]
- Simren, M.; Stotzer, P.O. Use and abuse of hydrogen breath tests. Gut 2006, 55, 297–303. [Google Scholar] [CrossRef] [PubMed]
- Camilleri, M.; Mangel, A.W.; Fehnel, S.E.; Drossman, D.A.; Mayer, E.A.; Talley, N.J. Primary endpoints for irritable bowel syndrome trials: A review of performance of endpoints. Clin. Gastroenterol. Hepatol. 2007, 5, 534–540. [Google Scholar] [CrossRef]
- Rivière, P.; Vauquelin, B.; Rolland, E.; Melchior, C.; Roman, S.; Bruley des Varannes, S.; Mion, F.; Gourcerol, G.; Sacher-Huvelin, S.; Zerbib, F. Low FODMAPs diet or usual dietary advice for the treatment of refractory gastroesophageal reflux disease: An open-labeled randomized trial. Neurogastroenterol. Motil. 2021, 33, e14181. [Google Scholar] [CrossRef]
- Gonlachanvit, S.; Maurer, A.H.; Fisher, R.S.; Parkman, H.P. Regional gastric emptying abnormalities in functional dyspepsia and gastro-oesophageal reflux disease. Neurogastroenterol. Motil. 2006, 18, 894–904. [Google Scholar] [CrossRef]
- Vanden Berghe, P.; Janssen, P.; Kindt, S.; Vos, R.; Tack, J. Contribution of different triggers to the gastric accommodation reflex in humans. Am. J. Physiol. Gastrointest. Liver Physiol. 2009, 297, G902–G906. [Google Scholar] [CrossRef][Green Version]
- Patcharatrakul, T.; Kriengkirakul, C.; Chaiwatanarat, T.; Gonlachanvit, S. Acute Effects of Red Chili, a Natural Capsaicin Receptor Agonist, on Gastric Accommodation and Upper Gastrointestinal Symptoms in Healthy Volunteers and Gastroesophageal Reflux Disease Patients. Nutrients 2020, 12, 3740. [Google Scholar] [CrossRef]
- Iwasaki, Y.; Saito, O.; Tanabe, M.; Inayoshi, K.; Kobata, K.; Uno, S.; Morita, A.; Watanabe, T. Monoacylglycerols activate capsaicin receptor, TRPV1. Lipids 2008, 43, 471–483. [Google Scholar] [CrossRef] [PubMed]
- Di Stefano, M.; Carnevale Maffè, G.; Bergonzi, M.; Mengoli, C.; Formagnana, P.; Di Sabatino, A.; Corazza, G.R. The effect of gluten on intestinal fermentation, gastric and gallbladder emptying in healthy volunteers. Dig. Liver Dis. 2015, 47, 751–756. [Google Scholar] [CrossRef]
- Anderson, I.H.; Levine, A.S.; Levitt, M.D. Incomplete absorption of the carbohydrate in all-purpose wheat flour. N. Engl. J. Med. 1981, 304, 891–892. [Google Scholar] [CrossRef] [PubMed]
- Nachman, F.; Vázquez, H.; González, A.; Andrenacci, P.; Compagni, L.; Reyes, H.; Sugai, E.; Moreno, M.L.; Smecuol, E.; Hwang, H.J.; et al. Gastroesophageal reflux symptoms in patients with celiac disease and the effects of a gluten-free diet. Clin. Gastroenterol. Hepatol. 2011, 9, 214–219. [Google Scholar] [CrossRef] [PubMed]
- Usai, P.; Manca, R.; Cuomo, R.; Lai, M.A.; Russo, L.; Boi, M.F. Effect of gluten-free diet on preventing recurrence of gastroesophageal reflux disease-related symptoms in adult celiac patients with nonerosive reflux disease. J. Gastroenterol. Hepatol. 2008, 23, 1368–1372. [Google Scholar] [CrossRef]
- Cuomo, A.; Romano, M.; Rocco, A.; Budillon, G.; Del Vecchio Blanco, C.; Nardone, G. Reflux oesophagitis in adult coeliac disease: Beneficial effect of a gluten free diet. Gut 2003, 52, 514–517. [Google Scholar] [CrossRef]
- Mansueto, P.; Soresi, M.; Peralta, S.; Perricone, S.; La Blasca, F.; Sichera, R.; Giambalvo, O.; Carroccio, A. Self-reported nonceliac wheat sensitivity in an outpatient digestive endoscopy center: High frequency but insufficient medical approach. Eur. J. Gastroenterol. Hepatol. 2021. [Google Scholar] [CrossRef] [PubMed]



| Wheat Noodles (n = 21) | Rice Noodles (n = 21) | |
|---|---|---|
| GERD symptoms (Visual analog scale 0–10) | ||
| Heartburn | 0(0–0) | 0(0–0) |
| Regurgitation | 1(0–2.5) | 0(0–0) |
| Other GI symptoms (Visual analog scale 0–10) | ||
| Bloating | 3(0–5.5) | 3(0–3.5) |
| Belching | 2(0–6) | 2(0–3.5) |
| Flatulence | 2(0–6) | 1(0–4) |
| Nausea | 0(0–1.5) | 0(0–1) |
| Satiety | 5(3.5–5.5) | 5(2–6) |
| Chest discomfort | 0(0–0) | 0(0–0) |
| Abdominal pain | 0(0–2.5) | 0(0–3) |
| Abdominal burn | 0(0–2.5) | 0(0–2.5) |
| Stool urgency | 0(0–0) | 0(0–0) |
Publisher’s Note: MDPI stays neutral with regard to jurisdictional claims in published maps and institutional affiliations. |
© 2021 by the authors. Licensee MDPI, Basel, Switzerland. This article is an open access article distributed under the terms and conditions of the Creative Commons Attribution (CC BY) license (https://creativecommons.org/licenses/by/4.0/).
Share and Cite
Patcharatrakul, T.; Linlawan, S.; Plaidum, S.; Gonlachanvit, S. The Effect of Rice vs. Wheat Ingestion on Postprandial Gastroesophageal Reflux (GER) Symptoms in Patients with Overlapping GERD-Irritable Bowel Syndrome (IBS). Foods 2022, 11, 26. https://doi.org/10.3390/foods11010026
Patcharatrakul T, Linlawan S, Plaidum S, Gonlachanvit S. The Effect of Rice vs. Wheat Ingestion on Postprandial Gastroesophageal Reflux (GER) Symptoms in Patients with Overlapping GERD-Irritable Bowel Syndrome (IBS). Foods. 2022; 11(1):26. https://doi.org/10.3390/foods11010026
Chicago/Turabian StylePatcharatrakul, Tanisa, Sittikorn Linlawan, Suppawatsa Plaidum, and Sutep Gonlachanvit. 2022. "The Effect of Rice vs. Wheat Ingestion on Postprandial Gastroesophageal Reflux (GER) Symptoms in Patients with Overlapping GERD-Irritable Bowel Syndrome (IBS)" Foods 11, no. 1: 26. https://doi.org/10.3390/foods11010026
APA StylePatcharatrakul, T., Linlawan, S., Plaidum, S., & Gonlachanvit, S. (2022). The Effect of Rice vs. Wheat Ingestion on Postprandial Gastroesophageal Reflux (GER) Symptoms in Patients with Overlapping GERD-Irritable Bowel Syndrome (IBS). Foods, 11(1), 26. https://doi.org/10.3390/foods11010026

