Phenolics Profile, Antioxidant Activity and Flavor Volatiles of Pear Juice: Influence of Lactic Acid Fermentation Using Three Lactobacillus Strains in Monoculture and Binary Mixture
Abstract
:1. Introduction
2. Materials and Methods
2.1. Preparation of Bacterial Strains
2.2. Preparation of Pear Juice and Fermentation
2.3. Determination of Colony Counts
2.4. Determination of Physicochemical Properties
2.5. Determination of Phytochemical Concentration
2.5.1. Total Phenolic Content (TPC)
2.5.2. Total Flavonoid Content (TFC)
2.6. Determination of Antioxidant Activities
2.6.1. DPPH Radical Scavenging Ability (RSA)
2.6.2. ABTS Radical Scavenging Ability Assay (RSA)
2.6.3. Ferric Reducing Antioxidant Power (FRAP) Assay
2.7. Determination of Organic Acids and Phenolics Profile
2.8. Determination of Flavor Volatiles
2.9. Sensory Analysis
2.10. Statistical Analysis
3. Results and Discussion
3.1. Colony Counts of LABs in Pear Juice during Fermentation
3.2. TSS, pH, Titratable Acid, Organic Acid, and Total Sugar in Pear Juice during Fermentation
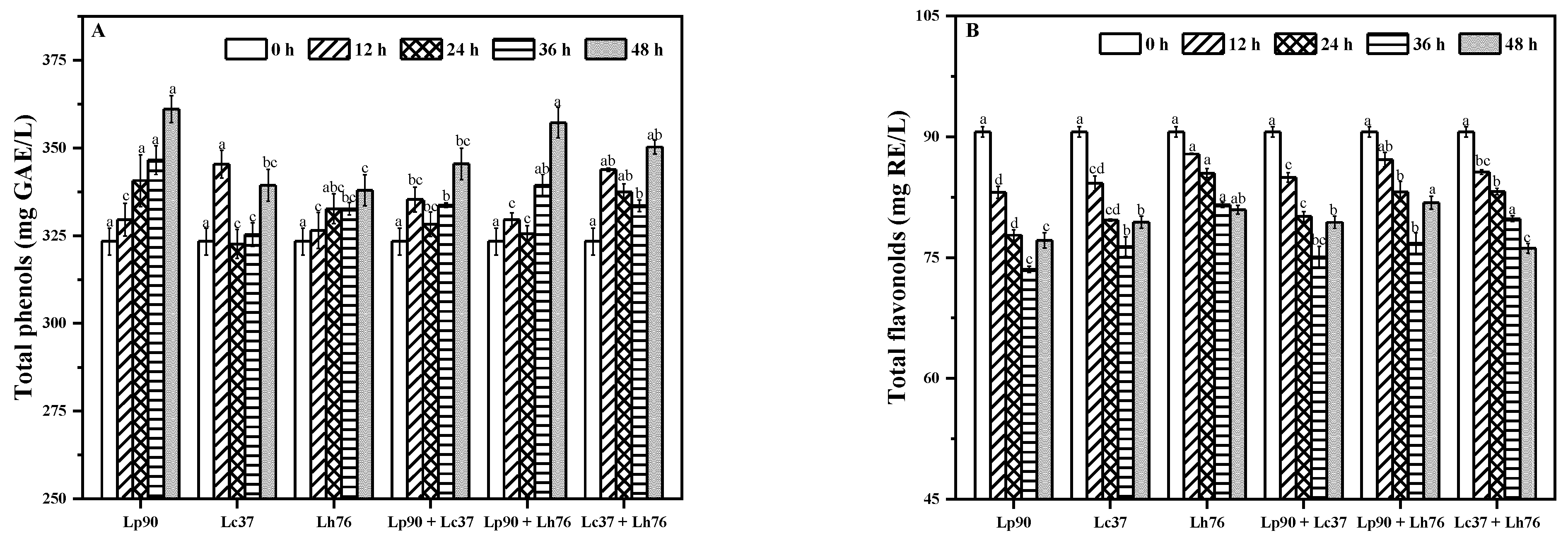
3.3. Changes in Phytochemical Properties during Fermentation
3.4. Phenolics Profile and Antioxidant Activity
3.5. Flavor Volatiles
3.6. Color Properties
3.7. Sensory Evaluation
4. Conclusions
Supplementary Materials
Author Contributions
Funding
Data Availability Statement
Conflicts of Interest
References
- Ankolekar, C.; Pinto, M.; Greene, D.; Shetty, K. In Vitro bioassay based screening of antihyperglycemia and antihypertensive activities of Lactobacillus acidophilus fermented pear juice. Innov. Food Sci. Emerg. 2012, 13, 221–230. [Google Scholar] [CrossRef]
- Sarkar, D.; Ankolekar, C.; Pinto, M.; Shetty, K. Dietary functional benefits of Bartlett and Starkrimson pears for potential management of hyperglycemia, hypertension and ulcer bacteria Helicobacter pylori while supporting beneficial probiotic bacterial response. Food Res. Int. 2015, 69, 80–90. [Google Scholar] [CrossRef]
- Li, X.; Zhang, J.; Gao, W.; Wang, H. Study on chemical composition, anti-inflammatory and anti-microbial activities of extracts from Chinese pear fruit (Pyrus bretschneideri Rehd.). Food Chem. Toxicol. 2012, 50, 3673–3679. [Google Scholar] [CrossRef]
- Hanhineva, K.; Torronen, R.; Bondia-Pons, I.; Pekkinen, J.; Kolehmainen, M.; Mykkanen, H.; Poutanen, K. Impact of dietary polyphenols on carbohydrate metabolism. Int. J. Mol. Sci. 2010, 11, 1365–1402. [Google Scholar] [CrossRef] [PubMed]
- Mantzourani, I.; Kazakos, S.; Terpou, A.; Alexopoulos, A.; Bezirtzoglou, E.; Bekatorou, A.; Plessas, S. Potential of the probiotic Lactiplantibacillus plantarum ATCC 14917 strain to produce functional fermented pomegranate juice. Foods 2018, 8, 4. [Google Scholar] [CrossRef] [PubMed] [Green Version]
- Acinalbiac, M.; Filannino, P.; Arora, K.; Ros, A.D.; Gobbetti, M.; Cagno, R.D. Role of lactic acid bacteria phospho-β-glucosidases during the fermentation of cereal by-products. Foods 2021, 10, 97. [Google Scholar] [CrossRef] [PubMed]
- Ricci, A.; Cirlini, M.; Levante, A.; Dall’Asta, C.; Galaverna, G.; Lazzi, C. Volatile profile of elderberry juice: Effect of lactic acid fermentation using L. plantarum, L. rhamnosus and L. casei strains. Food Res. Int. 2018, 105, 412–422. [Google Scholar] [CrossRef]
- Gao, Y.; Hamid, N.; Gutierrez-Maddox, N.; Kantono, K.; Kitundu, E. Development of a probiotic beverage using breadfruit flour as a substrate. Foods 2019, 8, 214. [Google Scholar] [CrossRef] [Green Version]
- Markkinen, N.; Laaksonen, O.; Nahku, R.; Kuldjarv, R.; Yang, B. Impact of lactic acid fermentation on acids, sugars, and phenolic compounds in black chokeberry and sea buckthorn juices. Food Chem. 2019, 286, 204–215. [Google Scholar] [CrossRef]
- Bontsidis, C.; Mallouchos, A.; Terpou, A.; Nikolaou, A.; Plessas, S. Microbiological and chemical properties of chokeberry juice fermented by novel lactic acid bacteria with potential probiotic properties during fermentation at 4 °C for 4 weeks. Foods 2021, 10, 768. [Google Scholar] [CrossRef]
- Alencar, L.W.; Costa, M.T.; Araújo, P.I.; Lucena, D.M.L.; Marcos, D.S.L.; Ferreira, M.J.; de Souzad, E.L.; Fernandes, E.G.; Magnani, M. Effects of Lactobacillus acidophilus LA-3 on physicochemical and sensory parameters of açaí and mango based smoothies and its survival following simulated gastrointestinal conditions. Food Res. Int. 2018, 114, 159–168. [Google Scholar]
- Wu, C.; Li, T.; Qi, J.; Jiang, T.; Xu, H.; Lei, H. Effects of lactic acid fermentation-based biotransformation on phenolic profiles, antioxidant capacity and flavor volatiles of apple juice. LWT-Food Sci. Technol. 2020, 122, 109064. [Google Scholar] [CrossRef]
- Li, T.; Jiang, T.; Liu, N.; Wu, C.; Xu, H.; Lei, H. Biotransformation of phenolic profiles and improvement of antioxidant capacities in jujube juice by select lactic acid bacteria. Food Chem. 2021, 339, 127859. [Google Scholar] [CrossRef]
- Li, Z.; Teng, J.; Lyu, Y.; Hu, X.; Zhao, Y.; Wang, M. Enhanced antioxidant activity for apple juice fermented with Lactiplantibacillus plantarum ATCC14917. Molecules 2018, 24, 51. [Google Scholar] [CrossRef] [Green Version]
- Kwaw, E.; Ma, Y.; Tchabo, W.; Apaliya, M.T.; Sackey, A.S.; Wu, M.; Xiao, L. Impact of ultrasonication and pulsed light treatments on phenolics concentration and antioxidant activities of lactic-acid-fermented mulberry juice. LWT-Food Sci. Technol. 2018, 92, 61–66. [Google Scholar] [CrossRef]
- Ramirez, J.E.; Zambrano, R.; Sepúlveda, B.; Kennelly, E.J.; Simirgiotis, M.J. Anthocyanins and antioxidant capacities of six Chilean berries by HPLC-HR-ESI-ToF-MS. Food Chem. 2015, 176, 106–114. [Google Scholar] [CrossRef]
- Cagno, R.D.; Filannino, P.; Vincentini, O.; Cantatore, V.; Cavoski, I.; Gobbetti, M. Fermented Portulaca oleracea L. juice: A novel functional beverage with potential ameliorating effects on the intestinal inflammation and epithelial injury. Nutrients 2019, 11, 248. [Google Scholar] [CrossRef] [PubMed] [Green Version]
- Natić, M.M.; Dabić, D.Č.; Papetti, A.; Akšić, M.M.F.; Ognjanov, V.; Ljubojević, M.; Tešić, Ž.L. Analysis and characterisation of phytochemicals in mulberry (Morus alba L.) fruits grown in Vojvodina, North Serbia. Food Chem. 2015, 171, 128–136. [Google Scholar] [CrossRef]
- Joanna, K. Chemical composition and antioxidant capacity of different anatomical parts of pear (Pyrus communis L.). Food Chem. 2016, 203, 491–497. [Google Scholar]
- Rios-Corripio, G.; Welti-Chanes, J.; Rodríguez-Martínez, V.; Guerrero-Beltrán, J.Á. Influence of high hydrostatic pressure processing on physicochemical characteristics of a fermented pomegranate (Punica granatum L.) beverage. Innov. Food Sci. Emerg. 2020, 59, 102249. [Google Scholar] [CrossRef]
- Bujna, E.; Farkas, N.A.; Tran, A.M.; Dam, M.S.; Nguyen, Q.D. Lactic acid fermentation of apricot juice by mono- and mixed cultures of probiotic Lactobacillus and Bifidobacterium strains. Food Sci. Biotechnol. 2018, 27, 547–554. [Google Scholar] [CrossRef]
- Bogue, J.; Collins, O.; Troy, A.J. Chapter 2—Market analysis and concept development of functional foods A2—Bagchi, Debasis. In Developing New Functional Food and Nutraceutical Products; Nair, S., Ed.; Academic Press: San Diego, CA, USA, 2017; pp. 29–45. [Google Scholar]
- Chen, H.; Xiao, G.; Xu, Y.; Yu, Y.; Wu, J.; Zou, B. High hydrostatic pressure and co-fermentation by Lactobacillus rhamnosus and Gluconacetobacter xylinus improve flavor of yacon-litchi-longan juice. Foods 2019, 8, 308. [Google Scholar] [CrossRef] [Green Version]
- Kambhampati, V.; Sabyasachi, M.; Pradhana, R.C.; Jayabalanb, R. Effect of probiotification with Lactiplantibacillus plantarum MCC 2974 on quality of Sohiong juice. LWT-Food Sci. Technol. 2019, 108, 55–60. [Google Scholar]
- Xu, X.; Bao, Y.; Wu, B.; Lao, F.; Hu, X.; Wu, J. Chemical analysis and flavor properties of blended orange, carrot, apple and Chinese jujube juice fermented by selenium-enriched probiotics. Food Chem. 2019, 289, 250–258. [Google Scholar] [CrossRef] [PubMed]
- Kwaw, E.; Ma, Y.; Tchabo, W.; Apaliya, M.T.; Wu, M.; Sackey, A.S.; Xiao, L.; Elrasheid, H.T. Effect of Lactobacillus strains on phenolic profile, color attributes and antioxidant activities of lactic-acid-fermented mulberry juice. Food Chem. 2018, 250, 148–154. [Google Scholar] [CrossRef] [PubMed]
- de Oliveira, S.D.; Araújo, C.M.; da Silva Campelo Borges, G.; dos Santos Lima, M.; Viera, V.B.; Garcia, E.F.; de Souza, E.L.; de Oliveira, M.E.G. Improvement in physicochemical characteristics, bioactive compounds and antioxidant activity of acerola (Malpighia emarginata D.C.) and guava (Psidium guajava L.) fruit by-products fermented with potentially probiotic Lactobacilli. LWT-Food Sci. Technol. 2020, 134, 110200. [Google Scholar] [CrossRef]
- Filannino, P.; Di Cagno, R.; Gobbetti, M. Metabolic and functional paths of lactic acid bacteria in plant foods: Get out of the labyrinth. Curr. Opin. Biotechnol. 2018, 49, 64–72. [Google Scholar] [CrossRef]
- Slattery, L.; O’Callaghan, J.; Fitzgerald, G.F.; Beresford, T.; Ross, R.P. Invited review: Lactobacillus helveticus-A thermophilic dairy starter related to gut bacteria. J. Dairy Sci. 2010, 93, 4435–4454. [Google Scholar] [CrossRef]
- Jyoti, T.; Suchandra, C.; Sunita, G.; Subrata, C.; Prasad, S.V.; Arun, S. Analysis of free and bound aroma compounds of pomegranate (Punica granatum L.). LWT-Food Sci. Technol. 2014, 59, 461–466. [Google Scholar]
- Melgarejo, P.; Calín-Sánchez, Á.; Vázquez-Araújo, L.; Hernández, F.; Martínez, J.J.; Legua, P.; Carbonell-Barrachina, A.Á. Volatile composition of pomegranates from 9 Spanish cultivars using headspace solid phase microextraction. J. Food Sci. 2011, 76, S114–S120. [Google Scholar] [CrossRef] [PubMed]
- Cheng, Y.; Liu, L.; Zhao, G.; Shen, C.; Yan, H.; Guan, J.; Yang, K. The effects of modified atmosphere packaging on core browning and the expression patterns of PPO and PAL genes in ‘Yali’ pears during cold storage. LWT-Food Sci. Technol. 2015, 60, 1243–1248. [Google Scholar] [CrossRef]





| Organic Acids | RT (min) | Control | Lp90 | Lc37 | Lh76 | Lp90 + Lc37 | Lp90 + Lh76 | Lc37 + Lh76 |
|---|---|---|---|---|---|---|---|---|
| Oxalic acid | 4.89 | 0.27 ± 0.00 a | 0.25 ± 0.01 a,b | 0.23 ± 0.01 b | 0.24 ± 0.02 b | 0.24 ± 0.01 b | 0.23 ± 0.00 b | 0.24 ± 0.01 b |
| Tartaric acid | 5.34 | 0.54 ± 0.02 a | 0.28 ± 0.02 b | 0.23 ± 0.02 c,d | 0.20 ± 0.01 c,d | 0.25 ± 0.02 b,c | 0.18 ± 0.01 d | 0.23 ± 0.02 b,c |
| Malic acid | 6.83 | 2.09 ± 0.09 a | ND | ND | ND | ND | ND | ND |
| Lactic acid | 8.36 | ND | 7.79 ± 0.07 a | 5.83 ± 0.03 e | 7.02 ± 0.01 c | 7.41 ± 0.04 b | 6.64 ± 0.05 d | 7.39 ± 0.19 b |
| Citric acid | 10.59 | 0.26 ± 0.01 a | 0.13 ± 0.01 b | 0.04 ± 0.01 e | 0.10 ± 0.00 b | 0.06 ± 0.00 d | 0.03 ± 0.00 e | 0.07 ± 0.00 d |
| RT (min) | Control | Lp90 | Lc37 | Lh76 | Lp90 + Lc37 | Lp90 + Lh76 | Lc37 + Lh76 | |
|---|---|---|---|---|---|---|---|---|
| Phenolic acids | ||||||||
| Gallic acid | 3.15 | 22.40 ± 0.22 c,d | 21.93 ± 0.46 d | 21.74 ± 0.19 d,e | 23.35 ± 0.05 b,c | 20.66 ± 0.65 e | 23.74 ± 0.73 b | 26.82 ± 0.36 a |
| Caffeic acid | 4.76 | ND | ND | ND | 3.22 ± 0.03 b | ND | ND | 5.55 ± 0.31 a |
| Vanillic acid | 22.19 | ND | 0.67 ± 0.05 c | 0.77 ± 0.01 a,b | 0.72 ± 0.02 b,c | 0.71 ± 0.03 b,c | 0.66 ± 0.05 c | 0.85 ± 0.05 a |
| Syringic acid | 24.64 | 2.30 ± 0.13 a | 0.98 ± 0.01 b,c | 0.81 ± 0.00 c | 1.12 ± 0.03 b | 0.85 ± 0.05 c | 1.06 ± 0.12 b | 0.98 ± 0.09 b,c |
| p-Coumaric acid | 35.21 | 0.49 ± 0.02 a | 0.42 ± 0.03 b | 0.31 ± 0.02 c | 0.33 ± 0.01 c | ND | ND | ND |
| Chlorogenic acid | 36.27 | 26.04 ± 0.58 a | 2.74 ± 0.04 e | 3.66 ± 0.06 d | ND | 8.21 ± 0.27 b,c | 7.65 ± 0.16 c | 8.87 ± 0.25 b |
| Ferulic acid | 37.68 | 0.99 ± 0.07 a | 0.34 ± 0.01 c | 0.38 ± 0.01 b,c | 0.40 ± 0.00 b,c | 0.33 ± 0.02 c | ND | 0.44 ± 0.01 b |
| Flavonoids | ||||||||
| Catechin | 15.40 | 256.99 ± 0.73 a | ND | ND | ND | ND | ND | ND |
| Epicatechin | 28.14 | 4.77 ± 0.02 a | 2.50 ± 0.09 d | 4.16 ± 0.04 b | 3.71 ± 0.12 c | ND | ND | ND |
| Rutin | 37.87 | 10.88 ± 0.25 a | 10.81 ± 0.05 a | 9.51 ± 0.03 b | 9.72 ± 0.13 b | 10.59 ± 0.18 a | 8.69 ± 0.28 c | 9.69 ± 0.21 b |
| Naringenin | 51.56 | 1.90 ± 0.14 a | 1.94 ± 0.13 a | 1.95 ± 0.05 a | 1.92 ± 0.04 a | 1.93 ± 0.07 a | 1.95 ± 0.06 a | 1.95 ± 0.05 a |
| Phenolic glycoside | ||||||||
| Arbutin | 2.63 | 215.74 ± 0.76 c,d | 225.43 ± 0.56 ab | 224.48 ± 0.46 a,b | 210.26 ± 1.30 d | 228.91 ± 2.42 a | 224.82 ± 4.66 a,b | 219.06 ± 4.04 b,c |
| Hyperoside | 38.52 | 2.83 ± 0.04 a | 2.19 ± 0.10 c | 2.08 ± 0.08 c | 2.53 ± 0.02 a,b | 2.21 ± 0.07 c | 2.23 ± 0.18 b,c | 2.29 ± 0.17 b,c |
| Phlorizin | 43.80 | 0.32 ± 0.01 a | 0.22 ± 0.00 b | 0.30 ± 0.00 a | 0.21 ± 0.02 b | 0.21 ± 0.02 b | 0.20 ± 0.02 b | 0.21 ± 0.01 b |
Publisher’s Note: MDPI stays neutral with regard to jurisdictional claims in published maps and institutional affiliations. |
© 2021 by the authors. Licensee MDPI, Basel, Switzerland. This article is an open access article distributed under the terms and conditions of the Creative Commons Attribution (CC BY) license (https://creativecommons.org/licenses/by/4.0/).
Share and Cite
Wang, L.; Zhang, H.; Lei, H. Phenolics Profile, Antioxidant Activity and Flavor Volatiles of Pear Juice: Influence of Lactic Acid Fermentation Using Three Lactobacillus Strains in Monoculture and Binary Mixture. Foods 2022, 11, 11. https://doi.org/10.3390/foods11010011
Wang L, Zhang H, Lei H. Phenolics Profile, Antioxidant Activity and Flavor Volatiles of Pear Juice: Influence of Lactic Acid Fermentation Using Three Lactobacillus Strains in Monoculture and Binary Mixture. Foods. 2022; 11(1):11. https://doi.org/10.3390/foods11010011
Chicago/Turabian StyleWang, Leyu, Hexin Zhang, and Hongjie Lei. 2022. "Phenolics Profile, Antioxidant Activity and Flavor Volatiles of Pear Juice: Influence of Lactic Acid Fermentation Using Three Lactobacillus Strains in Monoculture and Binary Mixture" Foods 11, no. 1: 11. https://doi.org/10.3390/foods11010011
APA StyleWang, L., Zhang, H., & Lei, H. (2022). Phenolics Profile, Antioxidant Activity and Flavor Volatiles of Pear Juice: Influence of Lactic Acid Fermentation Using Three Lactobacillus Strains in Monoculture and Binary Mixture. Foods, 11(1), 11. https://doi.org/10.3390/foods11010011

