Comparative Analysis of the Chemical Composition and Physicochemical Properties of the Mucilage Extracted from Fresh and Dehydrated Opuntia ficus indica Cladodes
Abstract
:1. Introduction
2. Materials and Methods
2.1. Vegetal Material
2.2. Mucilage Extraction from O. ficus indica Cladodes
2.3. Proximal Chemical Analysis
2.4. Calcium Content Analysis
2.5. Morphological Characterization of O. ficus indica Cladodes and Mucilage Obtained from Fresh and Dehydrated Cladodes
2.6. Characterization of the Mucilage Extracted from Fresh and Dehydrated O. ficus indica Cladodes by Fourier Transform Infrared (FT-IR) Analysis
2.7. Z Potential
2.8. Viscosity of the Mucilage Extracted from Fresh and Dehydrated O. ficus indica Cladodes
2.9. Thermogravimetric Analysis (TGA)
2.10. Color Measurement
2.11. Texture Profile Analysis (TPA)
2.12. Statistical Analysis
3. Results and Discussion
3.1. Yield and Separation Efficiency of the Mucilage Extracted from Fresh and Dried O. ficus indica Cladodes
3.2. Chemical Composition of Mucilage Extracted from Fresh and Dehydrated Cladodes
3.3. Morphology of Mucilage Extracted from Fresh and Dehydrated Cladodes
3.4. FTIR Spectral Characterization of the Mucilage Extracted from Cladodes
3.5. Z Potential and Particle Size
3.6. Viscosity of the Mucilage Extracted from Fresh and Dehydrated Cladodes
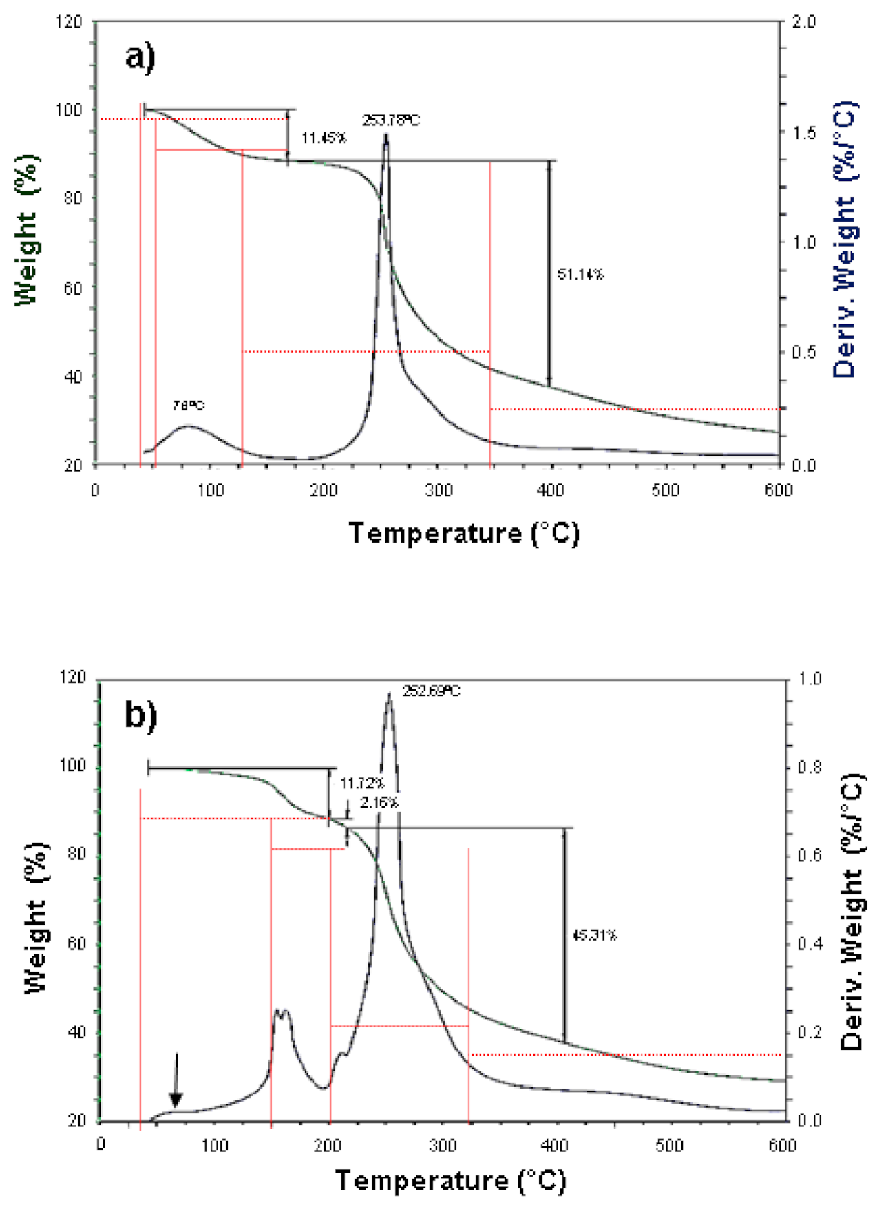
3.7. Thermogravimetric Analysis
3.8. Color Parameters of Mucilage Extracted from Cladodes
3.9. Texture Attributes of the Mucilage Extracted from Cladodes
4. Conclusions
Author Contributions
Funding
Institutional Review Board Statement
Informed Consent Statement
Data Availability Statement
Acknowledgments
Conflicts of Interest
References
- Maki-Díaz, G.; Peña-Valdivia, C.; García-Nava, R.; Arévalo-Galarza, M.; Calderón-Zavala, G.; Anaya-Rosales, S. Physical and chemical characteristics of cactus stems (Opuntia ficus-indica) for exportation and domestic markets. Rev. Agro. 2015, 49, 31–51. [Google Scholar]
- Contreras-Padilla, M.; Gutiérrez-Cortez, E.; Valderrama-Bravo, M.; Rojas-Molina, I.; Espinosa-Arbeláez, G.; Suárez-Vargas, R.; Rodríguez-García, M. Effects of drying process on the physicochemical properties of nopal cladodes at different maturity stages. Plant Foods Hum. Nutr. 2012, 67, 44–49. [Google Scholar] [CrossRef] [PubMed]
- Kaur, M.; Kaur, A.; Sharma, R. Pharmacological actions of Opuntia ficus indica: A Review. J. App. Pharm. Sci. 2011, 2, 15–18. [Google Scholar] [CrossRef] [Green Version]
- Osuna-Martínez, U.; Reyes-Esparza, J.; Rodríguez-Fragoso, L. Cactus (Opuntia ficus-indica): A review on in antioxidants propierties and potential pharmacological use in chronic diseases. Nat. Prod. Chem. Res. 2014, 2, 153. [Google Scholar] [CrossRef] [Green Version]
- Tilahun, Y.; Welegerima, G. Pharmacological potential of cactus pear (Opuntia ficus-indica): A review. Int. J. Pharmacogn. Phytochem. Res. 2018, 7, 1360–1363. [Google Scholar]
- Rojas-Molina, I.; Gutiérrez-Cortez, E.; Moustapha, E.; Rojas-Molina, A.; Ibarra-Alvarado, C.; Rivera-Muñoz, E.; De Real, A.; Aguilera-Barreiro, A. Characterization of calcium compounds in Opuntia ficus indica as a source of calcium for human diet. J. Chem. 2015, 2015, 710328. [Google Scholar] [CrossRef] [Green Version]
- Hernández-Becerra, E.; Gutiérrez-Cortez, E.; Del Real, A.; Rojas-Molina, A.; Rodríguez-García, M.; Rubio, M.; Quintero-García, M.; Rojas-Molina, I. Bone mineral density, mechanical, microstructural properties and mineral content of the femur in growing rats fed with Opuntia ficus indica as calcium source in diet. Nutrients 2017, 9, 108. [Google Scholar] [CrossRef] [PubMed] [Green Version]
- Quintero-García, M.; Gutiérrez-Cortez, E.; Rojas-Molina, A.; Mendoza-Ávila, M.; Del Real, A.; Rubio, E.; Jiménez-Mendoza, D.; Rojas-Molina, I. Calcium bioavailability of Opuntia ficus-indica cladodes in an ovariectomized rat model of postmenopausal bone loss. Nutrients 2020, 12, 1431. [Google Scholar] [CrossRef]
- Mendoza-Ávila, M.; Gutiérrez-Cortez, E.; Quintero-García, M.; Del Real, A.; Rivera-Muñoz, E.; Ibarra-Alvarado, C.; Rubio, E.; Jiménez-Mendoza, D.; Rojas-Molina, I. Calcium bioavailability in the soluble and insoluble fibers extracted from Opuntia ficus indica at different maturity stages in growing rats. Nutrients 2020, 12, 3250. [Google Scholar] [CrossRef]
- Medina-Torres, L.; González-Laredo, R.; Gallegos-Infante, J.; Rocha-Guzmán, N. Drying kinetics of nopal (Opuntia ficus indica) using three different methods and their mechanical properties. Food. Sci. Technol. 2008, 41, 1183–1188. [Google Scholar] [CrossRef]
- Medina-Torres, L.; Brito-De la Fuente, E.; Torrestiana-Sánchez, B.; Katthain, R. Rheological properties of the mucilage gum (Opuntia ficus-indica). Food Hydrocoll. 2000, 14, 417–424. [Google Scholar] [CrossRef]
- Espino-Díaz, M.; Ornelas-Paz, J.; Martínez-Téllez, M.; Santillán, C.; Barbosa-Cánovas, G.; Zamudio-Flores, P.; Olivas, G. Development and characterization of edible films based on mucilage of Opuntia ficus-indica (L.). Int. J. Food. Sci. 2010, 75, E347–E352. [Google Scholar] [CrossRef]
- Medina-Torres, L.; García-Cruz, E.; Calderas, F.; Rodríguez-Ramírez, J. Microencapsulation by spray drying of gallic acid with nopal mucilage (Opuntia ficus indica). Food Sci. Techno. Int. 2013, 50, 642–650. [Google Scholar] [CrossRef]
- Zambrano-Zaragoza, M.; Gutiérrez-Cortez, E.; Del Real, A.; González-Reza, R.; Galindo-Pérez, M.; Quintanar-Guerrero, M. Effect of coating on polyphenol oxidase and pectin methylesterase activities. Innov. Food Sci. Emerg. Technol. 2014, 22, 188–192. [Google Scholar] [CrossRef]
- Archana, G.; Sabina, K.; Babuskin, S.; Radhakrishnan, K.; Fayidh, M.; Babu, P.; Sivarajan, M.; Sukumar, M. Preparation and characterization of mucilage polysaccharide for biomedical applications. Carbohydr. Polym. 2013, 98, 89–94. [Google Scholar] [CrossRef] [PubMed]
- Rodríguez-González, S.; Martínez-Flores, H.; Chávez-Moreno, C.; Macías-Rodríguez, I.; Zavala-Mendoza, E.; Garnica-Romo, M.; Chacón-García, L. Extraction and characterization of mucilage from wild species of Opuntia. J. Foods Process. Preserv. 2014, 37, 285–292. [Google Scholar]
- Contreras-Padilla, M.; Rodríguez-García, E.; Gutiérrez-Cortez, E.; Valderrama-Bravo, M.; Rojas-Molina, I.; Rivera-Muñoz, E. Physicochemical and rheological characterization of Opuntia ficus mucilage at three different maturity stages of cladode. Eur. Polym. J. 2016, 78, 226–234. [Google Scholar] [CrossRef]
- Saenz, C.; Sepúlveda, E.; Matsuhiro, B. Opuntia spp mucilage’s: A functional component with industrial perspectives. J. Arid. Environ. 2004, 57, 275–290. [Google Scholar] [CrossRef]
- AOAC. Official Methods of Analysis of AOAC International, 17th ed.; AOAC: Gaithersburg, MD, USA, 2000. [Google Scholar]
- Bostan, A.; Seyed, M.A.; Farhoosh, R. Optimization of hydrocolloid extraction from wild sage seed (Salvia macrosiphon) using response surface. Int. J. Food Prop. 2010, 13, 1380–1392. [Google Scholar] [CrossRef] [Green Version]
- Bai, Z.; Hu, X.; Wang, B.; Hu, Z.; Yang, X.; Zao, T. Optimization of shaft-seal water system of cutter suction dredger based on high efficiency centrifugal separation technology. Sep. Purif. Technol. 2020, 236, 116267. [Google Scholar] [CrossRef]
- ASTM. Libro Annual de Normas ASTM. Sección 11. Agua y Tecnología Ambiental; Agua. © Attribution Non-Commercial (BY-NC); ASTM Int.: West Conshohocken, PA, USA, 2012; Volume 11. [Google Scholar]
- American Association of Cereal Chemists. Approved Methods; American Association of Cereal Chemists: St. Paul, MN, USA, 2000. [Google Scholar]
- Mendoza-Avila, M.; Rojas-Molina, I.; Cornejo-Villegas, M.; Del Real-Lopez, A.; Rivera-Muñoz, E.; Rodríguez-García, M.; Gutiérrez-Cortez, E. Physicochemical properties and resistant starch content of corn tortilla flours refrigerated at different storage times. Foods 2020, 469, 2–20. [Google Scholar]
- Hussain, N.; Ishak, I.; Sulaiman, R.; Fauzi, W.M.; Coorey, R. Influence of processing conditions on rheological properties of aqueous extract chia (Salvia hispanica L.) mucilage. Food Res. 2020, 4, 227–236. [Google Scholar] [CrossRef]
- Gheribi, R.; Puchot, L.; Pierre, V.; Jaoued-Grayaa, N.; Mezni, M.; Habibi, Y.; Khaoula, K. Development of plasticized edible films from Opuntia ficus-indica mucilage: A comparative study of various polyol plasticizers. Carbohydr. Polym. 2018, 190, 204–211. [Google Scholar] [CrossRef]
- Sepúlveda, E.; Sáenz, C.; Aliaga, E.; Aceituno, C. Extraction and characterization of mucilage in Opuntia spp. J. Arid. Environ. 2007, 68, 534–545. [Google Scholar] [CrossRef]
- Monrroy, M.; García, E.; Ríos, K.; Renán, J. Extraction and physicochemical characterization of mucilage extracted from Opuntia cochenillifera (L.) Miller. J. Chem 2017, 2017, 4301901. [Google Scholar] [CrossRef] [Green Version]
- Missaoui, M.; D’Antuono, I.; D’Imperio, M.; Linsalata, V.; Buokhchina, S.; Logrieco, A.; Cardinali, A. Characterization of micronutrients, bioaccesibility and antioxidant activity of prickly pear cladodes as functional ingredient. Molecules 2020, 2176, 2–14. [Google Scholar]
- Ho, C.H.L.; Cacacea, J.E.; Mazza, G. Extraction of lignans, proteins and carbohydrates from flaxseed meal with pressurized low polarity water. LWT Food Sci. Technol. 2007, 40, 1637–1647. [Google Scholar] [CrossRef]
- Hernández-Urbiola, M.; Contreras-Padilla, M.; Perez-Torrero, E.; Hernández-Quevedo, G.; Rojas-Molina, I.; Cortes, M. Study of nutritional composition of nopal (Opuntia ficus indica cv. Redonda) at different maturity stages. Open Nutr. J. 2010, 4, 1–6. [Google Scholar] [CrossRef] [Green Version]
- Grosso, C.; Valentão, P.; Ferreres, F.; Andrade, P.B. Alternative and efficient extraction methods for marine-derived compounds. Mar. Drugs 2015, 13, 3182–3230. [Google Scholar] [CrossRef] [PubMed] [Green Version]
- Cong, Q.; Chen, H.; Liao, W.; Xiao, F.; Wang, P.; Qin, Y.; Ding, K. Structural characterization and effect on anti-angiogenic activity of a fucoidan from Sargassum fusiforme. Carbohydr. Polym. 2016, 136, 899–907. [Google Scholar] [CrossRef]
- Gomez, L.; Alvarez, C.; Zhao, M.; Tiwari, U.; Curtin, J.; Garcia-Vaquero, M.; Tiwari, B.K. Innovative processing strategies and technologies to obtain hydrocolloids from macroalgae for food applications. Carbohydr. Polym. 2020, 248, 116784. [Google Scholar] [CrossRef]
- Capello, C.; Fischer, U.; Hungerbuhler, K. What is a Green Solvent? A comprehensive framework for the environmental assessment of solvents. Green Chem. 2007, 9, 927–934. [Google Scholar] [CrossRef]
- Matos, G.S.; Pereira, S.G.; Genisheva, Z.A.; Gomes, A.M.; Teixeira, J.A.; Rocha, C.M.R. Advances in extraction methods to recover added-value compounds from seaweeds: Sustainability and Functionality. Foods 2021, 10, 516. [Google Scholar] [CrossRef] [PubMed]
- León-Martínez, F.M.; Méndez -Lagunas, L.L.; Rodríguez-Ramírez, J. Spray drying of nopal mucilage (Opuntia ficus-indica): Effects on powder properties and characterization. Carbohydr. Polym. 2010, 81, 864–870. [Google Scholar] [CrossRef]
- Otálora, M.; Carriazo, J.; Iturriaga, L.; Nazacero, M.; Osorio, C. Microencapsulation of betalains obtained from cactus fruit (Opuntia ficus indica) by spray drying using cactus cladode mucilage and maltodextrin as encapsulating agents. Food Chem. 2015, 187, 174–181. [Google Scholar] [CrossRef] [PubMed]
- Toit, A.; Wit, M.; Arno, H. Cultivar and harvest month influence the nutrient content of Opuntia spp. cactus pear cladode mucilage extracts. Molecules 2018, 23, 2–12. [Google Scholar]
- Gebresamuel, N.; Gebre-Mariam, T. Comparative physico-chemical characterization of the mucilages of two cactus pears (Opuntia spp.) Obtained from Mekelle, northern Ethiopia. J. Biomater. Nanobiotechnol. 2012, 3, 79–86. [Google Scholar] [CrossRef] [Green Version]
- Charuwat, P.; Boardman, G.; Bott, C.; Novak, J.T. Thermal degradation of long chain fatty acids. Water Environ. Res. 2018, 90, 278–287. [Google Scholar] [CrossRef]
- Majdoub, H.; Roudesli, S.; Picton, L.; Le Cerf, D.; Muller, G.; Grisel, M. Prickly pear nopals pectin from Opuntia ficus indica physico-chemical study in dilute and semi-dilute solutions. Carbohyd. Polym. 2001, 46, 69–79. [Google Scholar] [CrossRef]
- Goycoolea, F.; Cardenas, A. Pectins from Opuntia spp.: A short review. J. Prof. Assoc. Cactus. Dev. 2003, 5, 17–29. [Google Scholar]
- Fiber Analysis of Animal Feed-FOSS Analytical. Available online: File:///C:/Users/USUARIO/Downloads/eBook-Fibre-analysis-of-animal-feed-GB.pdf (accessed on 5 April 2021).
- El-Mostafa, K.; Kharrassi, Y.; Badreddine, A.; Andreoletti, P.; Vamecq, J.; Kebbaj, M.; Latruffe, N.; Lizard, G.; Nasser, B.; Cherkaoui-Malki, M. Nopal cactus (Opuntia ficus-indica) as a source of bioactive compounds for nutrition, health and disease. Molecules 2014, 19, 14879–14901. [Google Scholar] [CrossRef] [Green Version]
- Mounir, B.; Younes, E.G.; Asmaa, M.; Abdeljalil, Z.; Abdellah, A. Physico-chemical changes in cladodes of Opuntia ficus-indica as a function of the growth stage and harvesting areas. J. Plant Physiol. 2020, 251, 153196. [Google Scholar] [CrossRef]
- McClements, D.J. Protein-stabilized emulsions. Curr. Opin. Colloid Interface Sci. 2004, 9, 305–313. [Google Scholar] [CrossRef]
- Malainine, M.; Dufresne, A.; Dupeyre, D.; Vignon, R.; Mahrouuz, M. First evidence for the presence of weddellite crystallites in Opuntia ficus indica parenchyma. Z. Naturforsch. C J. Biosci. 2003, 58, 812–816. [Google Scholar] [CrossRef]
- Perrotta, V.; Arambarri, A. Cladodes anatomy of Opuntia (Cactaceae) from province of Buenos Aires (Argentina). Bol. Soc. Argent. Bot. 2018, 53, 345–357. [Google Scholar] [CrossRef] [Green Version]
- Conde, L. Anatomical comparisons of five species of Opuntia (Cactaceae). Missouri. Bot. Gard. 1975, 62, 425–473. [Google Scholar] [CrossRef]
- Trachtenber, S.; Mayer, A. Biophysical properties of Opuntia ficus-indica mucilage. Phytochemistry 1982, 21, 2835–2843. [Google Scholar] [CrossRef]
- Silva, H.; Acevedo, E.; Silva, P. Anatomía del tejido fotosintético de diez taxa de Opuntia establecidos en el secano árido mediterráneo de Chile. Rev. Chil. Hist. Nat. 2001, 341–351. [Google Scholar]
- Rani, B.; Kawatra, A. Fibre constituents of some foods. Plant Foods Hum. Nutr. 1994, 45, 343–347. [Google Scholar] [CrossRef] [PubMed]
- Ventura-Aguilar, R.I.; Bosquez-Molina, E.; Bautista-Baños, S.; Rivera-Cabrera, F. Cactus stem (Opuntia ficus-indica Mill): Anatomy, physiology and chemical composition with emphasis on its biofunctional properties. J. Sci. Food. Agric. 2017, 97, 5065–5073. [Google Scholar] [CrossRef] [PubMed]
- Bayar, N.; Kriaa, M.; Kammoun, R. Extraction and characterization of three polysaccharides extracted from Opuntia ficus indica cladodes. I. J. Biol. Macromol. 2016, 2, 441–450. [Google Scholar] [CrossRef] [PubMed]
- Chlup, P.H.; Bernard, D.; Stewart, G.G. Disc stack centrifuge operating parameters and their impact on yeast physiology. Int. J. Biol. Macromol. 2008, 114, 45–61. [Google Scholar] [CrossRef]
- Milledge, J.J.; Heaven, S. Disc stack centrifugation separation and cell disruption of microalgae: A technical note. Env. Nat. Resour. Res. 2011, 1, 17–24. [Google Scholar] [CrossRef] [Green Version]
- Das, S.; Chaudhury, A. Recent advances in lipid nanoparticle formulations with solid matrix for oral drug delivery. Pharm. Sci. Tech. 2011, 12, 62–76. [Google Scholar] [CrossRef] [PubMed] [Green Version]
- Quinzio, C.; Ayunta, C.; Alancay, M.; López de Mishima, B.; Iturriaga, L. Physicochemical and rheological properties of mucilage extracted from Opuntia ficus indica (L. Miller). Comparative study with guar gum and xanthan gum. J. Food Meas. Charact. 2017, 12, 459–470. [Google Scholar] [CrossRef]
- Cortés-Camargo, S.; Gallardo-Rivera, R.; Barragán-Huerta, B.; Dublán-García, O.; Román-Guerrero, A.; Pérez-Alonso, C. Exploring the potential of mesquite gum-nopal mucilage mixtures: Physicochemical and functional properties. J. Food. Sci. 2017, 83, 113–121. [Google Scholar] [CrossRef]
- Faria, M.; Mislaine, K.; Nicoletti, V. Characterization of biopolymers and soy protein isolate-high-methoxyl pectin complex. Polímeros 2017, 27, 62–67. [Google Scholar]
- Harnsilawat, T.; Pongsawatmanit, R.; McClements, D.J. Characterization of b-lactoglobulin–sodium alginate interactions in aqueous solutions: A calorimetry, light scattering, electrophoretic mobility and solubility study. Food Hydrocoll. 2006, 20, 577–585. [Google Scholar] [CrossRef]
- Bai, L.; Liu, F.; Xu, X.; Huan, S.; Gu, J.; McClements, D. Impact of polysaccharide molecular characteristics on viscosity enhancement and depletion flocculation. J. Food Eng. 2017, 207, 35–45. [Google Scholar] [CrossRef]
- Rosland, S.; Yusof, Y.; Chin, N.; Chang, L.; Ghazali, H.; Ghani, M.; Ishak, I. The effect of particle size on the physical properties of arabic gum powder. J. Food Procees. Eng. 2020, 43, e13368. [Google Scholar] [CrossRef]
- Begum, R.; Yusof, Y.; Gulzarul, M.; Uddin, B. Sctructural and functional properties of pectin extracted from jackfruit (Artocarpus heterophyllus) waste: Effects of drying. I. J. Food Sci. Prop. 2017, 20, S190–S201. [Google Scholar] [CrossRef] [Green Version]
- Acartürk, F.; Armagan, C. Comparision of guar gum from different sources for the preparation of prolonged-release or colon-specific dosage forms. Pharm. Dev. Technol. 2009, 14, 271–277. [Google Scholar] [CrossRef] [PubMed]
- Köse, M.D.; Bayraktar, O.; Heinz, Ö.K. Application of Complex Coacervates in Controlled Delivery. In Design and Development of New Nanocarriers, 2nd ed.; Grumezescu, A.M., Ed.; William Andrew Publishing, Elsevier Inc.: Cambridge, MA, USA, 2018; pp. 475–507. [Google Scholar]
- Rao, A.M. Flow and Functional Models for Rheological Properties of Fluid Foods. In Rheology of Fluid, Semisolid, and Solid Foods, Principles and Applications, 3rd ed.; Barbosa-Cánovas, G.V., Ed.; Springer: New York, NY, USA, 2013; pp. 27–61. [Google Scholar]
- Bastian, E.R. Fluids. In Microfluidics: Modelling, Mechanics and Mathematics, 1st ed.; Elsevier Inc.: Cambridge, MA, USA, 2017; pp. 250–259. [Google Scholar]
- Mierczyńska, J.; Cybulska, J.; Sołowiej, B.; Zdunek, A. Effect of Ca2+, Fe2+ and Mg2+ on rheological properties of new food matrix made of modified cell wall polysaccharides from apple. Carbohydr. Polym. 2015, 133, 547–555. [Google Scholar] [CrossRef]
- Toit, A.; De Wit, M.; Fouché, H.J.; Venter, S.L.; Hugo, A. Relationship between weather conditions and the physicochemical characteristics of cladodes and mucilage from two cactus pear species. PLoS ONE 2020, 15, e0237517. [Google Scholar]
- Zambrano-Zaragoza, M.L.; Gutiérrez-Cortez, E.; Del Real, A.; Ricardo, M.; González-Reza, R.M.; Galindo-Pérez, M.J.; Quintanar-Guerrero, D. Fresh-cut Red Delicious apples coating using tocopherol/mucilage nanoemulsion: Effect of coating on polyphenol oxidase and pectin methylesterase activities. Food Res. Int. 2014, 62, 974–983. [Google Scholar] [CrossRef]
- Zohuriaan, M.J.; Shokrolahi, F. Thermal studies on natural and modified gums. Polym. Test. 2004, 23, 575–579. [Google Scholar] [CrossRef]
- Singh, S.; Bothara, S.B. Morphological, physico-chemical and structural characterization of mucilage isolated from the seeds of Buchanania lanzan Spreng. Int. J. Public Health 2014, 3, 33–39. [Google Scholar] [CrossRef]
- Manals-Cutiño, E.; Penedo-Medina, M.; Giralt-Ortega, G. Análisis termogravimétrico y térmico diferencial de diferentes biomasas vegetales. Tec. Quím. 2011, 31, 180–190. [Google Scholar]
- Andreu, L.; Nuncio-Jáuregui, N.; Carbonell-Barrachina, Á.A.; Legua, P.; Hernández, F. Antioxidant properties and chemical characterization of Spanish Opuntia ficus-indica Mill. cladodes and fruits. J. Sci. Food Agric. 2018, 98, 1566–1573. [Google Scholar] [CrossRef]
- Madera-Santana, T.J.; Vargas-Rodríguez, L.; Núñez-Colín, C.A.; González-García, F.; Peña-Caballero, V.; Núñez-Gastélum, J.A.; Gallegos-Vázquez, C.; Rodríguez-Núñez, R. Mucilage from cladodes of Opuntia spinulifera Salm-Dyck: Chemical, morphological, structural and thermal characterization. CyTA J. Food 2018, 16, 650–657. [Google Scholar] [CrossRef] [Green Version]
- Cruz-Rubio, J.M.; Mueller, M.; Loeppert, R.; Viernstein, H.; Praznik, W. The Effect of Cladode drying techniques on the prebiotic potential and molecular characteristics of the mucilage extracted from Opuntia ficus-indica and Opuntia joconostle. Sci. Pharm. 2020, 88, 43–59. [Google Scholar] [CrossRef]
- Bala, P.; Samantaray, B.K.; Srivastava, S.K. Dehydration transformation in Ca-montmorillonite. Bull. Mater. Sci. 2000, 23, 61–67. [Google Scholar] [CrossRef] [Green Version]
- Nowrouzi, I.; Mohammadi, A.H.; Manshad, K.A. Characterization and likelihood application of extracted mucilage from Hollyhocks plant as a natural polymer in enhanced oil recovery process by alkali-surfactant-polymer (ASP) slug injection into sandstone oil reservoirs. J. Mol. Liq. 2020, 320, 114445. [Google Scholar] [CrossRef]
- Munir, H.; Shahidb, M.; Anjumc, F.; Mudgil, D. Structural, thermal and rheological characterization of modified Dalbergia sissoo gum-A medicinal gum. Int. J. Biol. Macromol. 2016, 84, 236–245. [Google Scholar] [CrossRef] [PubMed]
- Berovič, M. Sterilization in Biotechnology. In Comprehensive Biotechnology, 2nd ed.; Moo-Young, M., Ed.; Academic Press: Cambridge, MA, USA, 2011; Volume 2, pp. 135–150. [Google Scholar]
- Camelo, L.; Wilches-Torres, A.; Cárdenas-Chaparro, A.; Gómez, J.; Otálora, M. Preparation and Physicochemical Characterization of softgels cross-Linked with cactus mucilage extracted from cladodes of Opuntia Ficus-Indica. Molecules 2019, 24, 2531. [Google Scholar] [CrossRef] [PubMed] [Green Version]
- Gónzalez, D.; Luna, B.; Martínez-Ávila, G.; Rodríguez, H.; Avendaño, V.; Rojas, R. Formulation and characterizationof edible films based on organic mucilage from mexican Opuntia ficus-indica. Coatings 2019, 9, 506. [Google Scholar] [CrossRef] [Green Version]
- Liguori, G.; Gentile, C.; Gaglio, R.; Perrone, A.; Guarcello, R.; Francesa, N.; Fretto, S.; Inglese, P.; Settanni, L. Effect of addition of Opuntia ficus-indica mucilage on the biological leavening physical, nutritional, antioxidant and sensory aspects of bread. J. Biosci. Bioeng. 2020, 129, 184–191. [Google Scholar] [CrossRef]
- Steet, J.; Tong, C. Quantification of color change resulting from pheophytinization and nonenzymatic browning reactions in thermally processed green peas. Agric. Food Chem. 1996, 44, 1531–1537. [Google Scholar] [CrossRef]
- Yilmaz, C.; Gökmen, V. Chlorophyll. In Encyclopedia of Food and Health, 1st ed.; Caballero, B., Finglas, P.M., Toldrá, F., Eds.; Academic Press: Oxford, UK, 2016; pp. 37–41. [Google Scholar]
- Tai, A.; Bianchini, R.; Tachowicz, J. Texture analysis of cosmetic, pharmaceutical raw materials and formulations. Int. J. Cosmet. Sci. 2014, 36, 291–304. [Google Scholar] [CrossRef]
- Nishinari, K.; Kohyama, K.; Kumagai, H.; Funami, T.; Bourne, M.C. Parameters of texture profile analysis. Food Sci. Technol. Res. 2013, 19, 519–521. [Google Scholar] [CrossRef] [Green Version]
- Pelleg, M. The instrumental texture profile analysis revisited. J. Texture Stud. 2019, 50, 262–268. [Google Scholar] [CrossRef] [PubMed]
- Di Monaco, R.; Cavella, S.; Masi, P. Predicting sensory cohesiveness, hardness and springiness of solid foods from instrumental measurements. J. Texture Stud. 2008, 39, 129–149. [Google Scholar] [CrossRef]
- Adhikari, B.; Howes, T.; Bhandari, B.R.; Truong, V. Stickiness in foods: A review of mechanisms and test methods. Int. J. Food Sci. Technol. 2001, 4, 1–33. [Google Scholar] [CrossRef]




| Component | FNM | DNM |
|---|---|---|
| Moisture (%) | 4.12 ± 0.02 a | 4.19 ± 0.02 a |
| Fat (%) | 2.11 ± 0.10 a | 2.13 ± 0.01 a |
| Protein (%) | 6.52 ± 0.10 a | 7.93 ± 0.02 b |
| Ashes (%) | 3.15 ± 0.02 a | 5.18 ± 0.02 b |
| Crude fiber (%) | 0.33 ± 0.01 a | 0.31 ± 0.01 a |
| NFE (%) | 83.77 ± 0.02 a | 80.26 ± 0.04 b |
| Calcium (mg/g) | 15.18 ± 0.15 a | 19.05 ± 0.25 b |
| Type of Mucilage | Concentration (% w/v) | K | n |
|---|---|---|---|
| FNM | 1 | 0.0635 | 0.7273 |
| 1.5 | 0.2517 | 0.5824 | |
| 2 | 0.8697 | 0.4335 | |
| 2.5 | 1.6245 | 0.3828 | |
| DNM | 1 | 0.3854 | 0.5414 |
| 1.5 | 0.8657 | 0.4927 | |
| 2 | 1.5288 | 0.4519 | |
| 2.5 | 2.8021 | 0.4171 |
| Type of Mucilage | No. of Decomposition Stage | Temperature Range °C | DTG max. °C | Weight Loss % |
|---|---|---|---|---|
| FNM | 1 | 45–125 | 76 | 11.45 |
| 2 | 200–350 | 254 | 51.14 | |
| DNM | 1 | 125–200 | 151 and 164 | 11.42 |
| 2 | 210–325 | 252 | 45.31 |
| Type of Mucilage | L* | a* | b* |
|---|---|---|---|
| FNM | 90.34 ± 0.23 a | +18.31 ± 0.15 a | +22.29 ± 0.10 a |
| DNM | 84.58 ± 0.16 b | +21.21 ± 0.11 b | +27.57 ± 0.10 b |
| Type of Mucilage | Cohesiveness | Adhesiveness (J × 10−3) | Springiness (m) | Hardness (g) | Compressibility (g·s) |
|---|---|---|---|---|---|
| DNM | 0.72 ± 0.01 a | 3.21 ± 0.01 a | 0.63 ± 0.01 a | 11.29 ± 0.04 a | 77.11 ± 0.02 a |
| FNM | 0.97 ± 0.01 b | 5.95 ± 0.01 b | 1.13 ± 0.06 b | 6.19 ± 0.02 b | 42.42 ± 0.02 b |
Publisher’s Note: MDPI stays neutral with regard to jurisdictional claims in published maps and institutional affiliations. |
© 2021 by the authors. Licensee MDPI, Basel, Switzerland. This article is an open access article distributed under the terms and conditions of the Creative Commons Attribution (CC BY) license (https://creativecommons.org/licenses/by/4.0/).
Share and Cite
Quintero-García, M.; Gutiérrez-Cortez, E.; Bah, M.; Rojas-Molina, A.; Cornejo-Villegas, M.d.l.A.; Del Real, A.; Rojas-Molina, I. Comparative Analysis of the Chemical Composition and Physicochemical Properties of the Mucilage Extracted from Fresh and Dehydrated Opuntia ficus indica Cladodes. Foods 2021, 10, 2137. https://doi.org/10.3390/foods10092137
Quintero-García M, Gutiérrez-Cortez E, Bah M, Rojas-Molina A, Cornejo-Villegas MdlA, Del Real A, Rojas-Molina I. Comparative Analysis of the Chemical Composition and Physicochemical Properties of the Mucilage Extracted from Fresh and Dehydrated Opuntia ficus indica Cladodes. Foods. 2021; 10(9):2137. https://doi.org/10.3390/foods10092137
Chicago/Turabian StyleQuintero-García, Michelle, Elsa Gutiérrez-Cortez, Moustapha Bah, Alejandra Rojas-Molina, María de los Angeles Cornejo-Villegas, Alicia Del Real, and Isela Rojas-Molina. 2021. "Comparative Analysis of the Chemical Composition and Physicochemical Properties of the Mucilage Extracted from Fresh and Dehydrated Opuntia ficus indica Cladodes" Foods 10, no. 9: 2137. https://doi.org/10.3390/foods10092137
APA StyleQuintero-García, M., Gutiérrez-Cortez, E., Bah, M., Rojas-Molina, A., Cornejo-Villegas, M. d. l. A., Del Real, A., & Rojas-Molina, I. (2021). Comparative Analysis of the Chemical Composition and Physicochemical Properties of the Mucilage Extracted from Fresh and Dehydrated Opuntia ficus indica Cladodes. Foods, 10(9), 2137. https://doi.org/10.3390/foods10092137

