Acrylamide Exposure from Common Culinary Preparations in Spain, in Household, Catering and Industrial Settings
Abstract
:1. Introduction
2. Materials and Methods
2.1. Chemicals and Reagents
2.2. Sample Design
2.3. Acrylamide Determination by Liquid Chromatography–Electrospray Ionisation–Tandem Mass Spectrometry (LC-MS/MS)
2.4. Estimation of Dietary Exposure to Acrylamide
2.5. Statistical Analyses
3. Results and Discussion
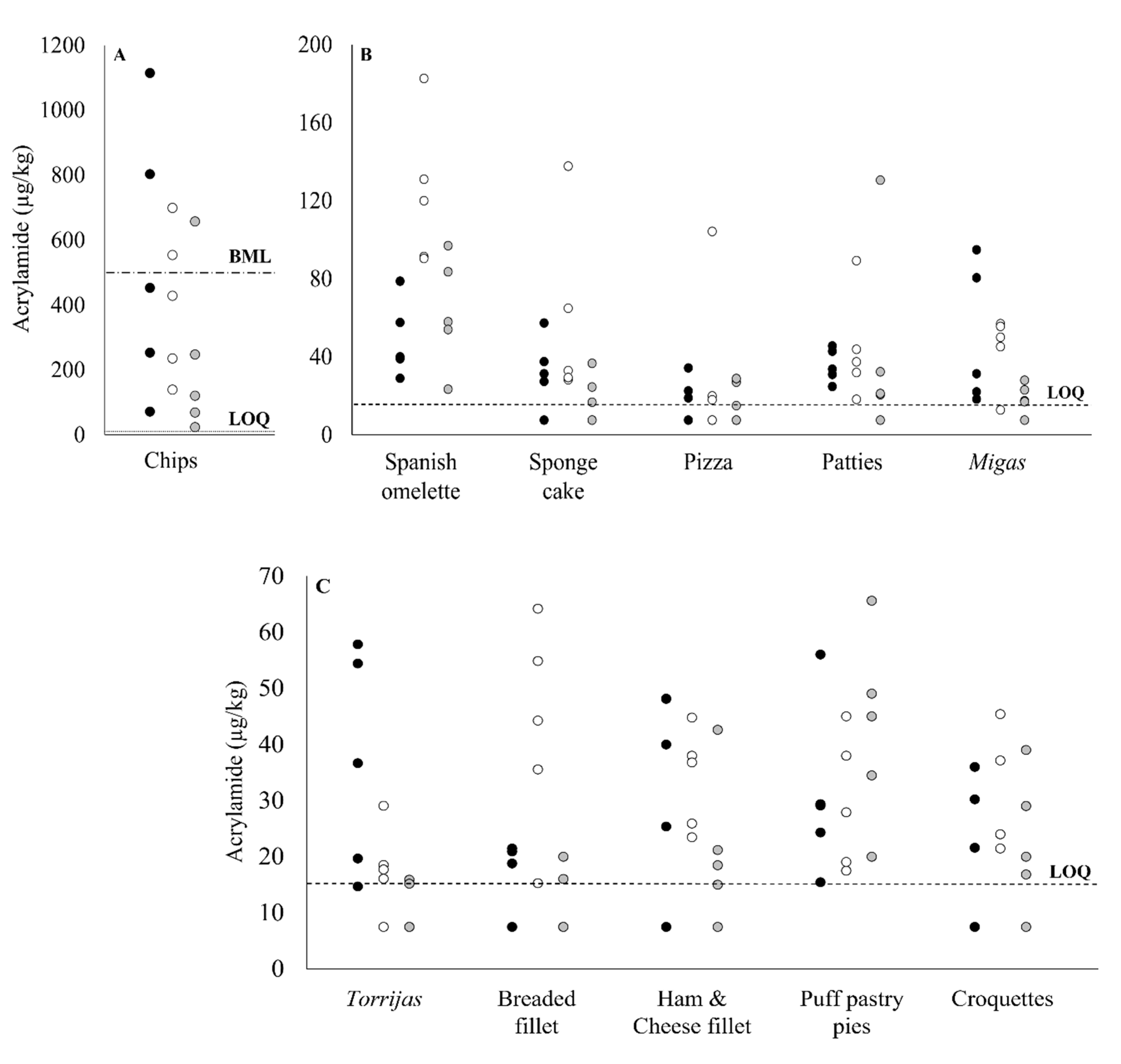
3.1. Acrylamide Content in the Food Groups
3.2. Effect of the Culinary Setting
3.3. Acrylamide Exposure in Different Food Groups and Settings
4. Conclusions
Supplementary Materials
Author Contributions
Funding
Acknowledgments
Conflicts of Interest
References
- Monteiro, C.A.; Moubarac, J.C.; Levy, R.B.; Canella, D.S.; Louzada, M.L.D.C.; Cannon, G. Household availability of ultra-processed foods and obesity in nineteen European countries. Public Health Nutr. 2018, 21, 18–26. [Google Scholar] [CrossRef] [Green Version]
- Delgado-Andrade, C. Maillard reaction products: Some considerations on their health effects. Clin. Chem. Lab. Med. 2014, 52, 53–60. [Google Scholar] [CrossRef]
- MAPAMA (Ministry of Agriculture, Fisheries and Foods). Report on Food Consumption in Spain in 2020. 2021. Available online: https://www.mapa.gob.es/es/alimentacion/temas/consumo-tendencias/informe-anual-consumo-2020_baja-res_tcm30-562704.pdf (accessed on 1 June 2021).
- EFSA (European Food Safety Authority). Scientific opinion on acrylamide in food. EFSA J. 2015, 13, 4104. [Google Scholar]
- Mesías, M.; Delgado-Andrade, C.; Morales, F.J. Alternative food matrices for snack formulations in terms of acrylamide formation and mitigation. J. Sci. Food. Agric. 2019, 99, 2048–2051. [Google Scholar] [CrossRef] [PubMed] [Green Version]
- FoodDrinkEurope (FDE). 2019. Available online: https://www.fooddrinkeurope.eu/uploads/publications_documents/FoodDrinkEurope_Acrylamide_Toolbox_2019.pdf (accessed on 12 June 2021).
- EC (European Commission). Commission regulation (EU) 2017/2158 of 20 November 2017 establishing mitigation measures and benchmark levels for the reduction of the presence of acrylamide in food. OJ 2017, L304, 24–44. [Google Scholar]
- Rufian-Henares, J.A.; Arribas-Lorenzo, G.; Morales, F.J. Acrylamide content of selected Spanish foods: Survey of biscuits and bread derivatives. Food Addit. Contam. 2007, 24, 343–350. [Google Scholar] [CrossRef] [Green Version]
- Karasek, L.; Wenzl, T.; Anklam, E. Determination of acrylamide in roasted chesnuts and chestnut-based foods by isotope dilution HPLC-MS/MS. Food Chem. 2009, 114, 1555–1558. [Google Scholar] [CrossRef]
- Kruszewski, B.; Obiedziński, M.W. Impact of raw materials and production processes on furan and acrylamide contents in dark chocolate. J. Agric. Food Chem. 2020, 68, 2562–2569. [Google Scholar] [CrossRef]
- Commission Recommendation 2019/1888 of 7 November 2019 on the monitoring of the presence of acrylamide in certain foods (C/2019/7876). OJ 2019, L290, 31–33.
- Mesías, M.; Delgado-Andrade, C.; Holgado, F.; Morales, F.J. Impact of the consumer cooking practices on acrylamide formation during the preparation of French fries in Spanish households. Food Addit. Contam. Part A 2020, 37, 254–266. [Google Scholar] [CrossRef]
- Mesías, M.; Morales, F.J. Acrylamide in commercial potato crisps from Spanish market: Trends from 2004 to 2014 and assessment of the dietary exposure. Food Chem. Toxicol. 2015, 81, 104–110. [Google Scholar] [CrossRef] [Green Version]
- WHO (World Health Organization). Instructions for Electronic Submission of Data on Chemical Contaminants in Foods-Appendix 4: Evaluation of Low-Level Contamination in Foods. 2003. Available online: http://www.who.int/foodsafety/chem/instructions_GEMSFood_january_2012.pdf?ua=1 (accessed on 1 May 2021).
- Abt, E.; Robin, L.; McGrath, S.; Srinivasan, J.; Dinovi, M.; Adachi, Y.; Chirtel, S. Acrylamide levels and dietary exposure from foods in the United States, an update based on 2011–2015 data. Food Addit. Contam. Part A 2019, 36, 1475–1490. [Google Scholar] [CrossRef] [PubMed]
- Barón Cortés, W.R.; Vásquez Mejía, S.M.; Suárez Mahecha, H. Consumption study and margin of exposure of acrylamide in food consumed by the Bogotá population in Colombia. J. Food Compost. Anal. 2021, 100, 103934. [Google Scholar] [CrossRef]
- Mesias, M.; Delgado-Andrade, C.; Holgado, F.; Morales, F. Acrylamide in French fries prepared at primary school canteens. Food Funct. 2020, 11, 1489–1497. [Google Scholar] [CrossRef] [PubMed] [Green Version]
- Sanny, M.; Jinap, S.; Bakker, E.J.; van Boekel, M.A.J.S.; Luning, P.A. Possible causes of variation in acrylamide concentration in French fries prepared in food service establishments: An observational study. Food Chem. 2012, 132, 134–143. [Google Scholar] [CrossRef]
- Bermudo, E.; Moyano, E.; Puignou, L.; Galceran, M.T. Liquid chromatography coupled to tandem mass spectrometry for the analysis of acrylamide in typical Spanish products. Talanta 2008, 76, 389–394. [Google Scholar] [CrossRef]
- Delgado-Andrade, C.; Mesías, M.; Morales, F.J.; Seiquer, I.; Navarro, P. Assessment of acrylamide intake of Spanish boys aged 11-14 years consuming a traditional and balanced diet. LWT Food Sci. Technol. 2012, 46, 16–22. [Google Scholar] [CrossRef]
- Branciari, R.; Roila, R.; Ranucci, D.; Altissimi, M.S.; Mercuri, M.L.; Haouet, N.M. Estimation of acrylamide exposure in Italian schoolchildren consuming a canteen menu: Health concern in three age groups. Int. J. Food Sci. Nutr. 2020, 71, 122–131. [Google Scholar] [CrossRef]
- Delgado-Andrade, C.; Morales, F.J.; Seiquer, I.; Navarro, M.P. Maillard reaction products profile and intake from Spanish typical dishes. Food Res. Int. 2010, 43, 1304–1311. [Google Scholar] [CrossRef]
- Amrein, T.M.; Bachmann, S.; Noti, A.; Biedermann, M.; Barbosa, M.F.; Biedermann-Brem, S.; Grob, K.; Keiser, A.; Realini, P.; Escher, F.; et al. Potential of acrylamide formation, sugars, and free asparagine in potatoes: A comparison of cultivars and farming systems. J. Agric. Food Chem. 2003, 51, 5556–5560. [Google Scholar] [CrossRef] [PubMed]
- Mestdagh, F.J.; De Meulenaer, B.; Van Poucke, C.; Detavernier, C.; Cromphout, C.; Van Peteghem, C. Influence of oil type on the amounts of acrylamide generated in a model system and in French fries. J. Agric. Food Chem. 2005, 53, 6170–6174. [Google Scholar] [CrossRef]
- Nimni, M.E.; Han, B.; Cordoba, F. Are we getting enough sulfur in our diet? Nutr. Metab. 2007, 4, 24. [Google Scholar] [CrossRef] [Green Version]
- Adams, A.; Hamdani, S.; Van Lancker, F.; Méjri, S.; De Kimpe, N. Stability of acrylamide in model systems and its reactivity with selected nucleophiles. Food Res. Int. 2010, 43, 1517–1522. [Google Scholar] [CrossRef]
- Mojska, H.; Gielecinska, I.; Szponar, L.; Oltarzewski, M. Estimation of the dietary acrylamide exposure of the Polish population. Food Chem. Toxicol. 2010, 48, 2090–2096. [Google Scholar] [CrossRef]
- Normandin, L.; Bouchard, M.; Ayotte, P.; Blanchet, C.; Becalski, A.; Bonvalot, Y.; Phaneuf, D.; Lapointe, C.; Gagné, M.; Courteau, M. Dietary exposure to acrylamide in adolescents from a Canadian urban center. Food Chem. Toxicol. 2013, 57, 75–83. [Google Scholar] [CrossRef] [PubMed]
- U.S. Food and Drug Administration (FDA). Survey Data on Acrylamide in Food: Individual Food Products. 2015. Available online: https://www.fda.gov/food/chemicals/survey-data-acrylamide-food (accessed on 12 May 2021).
- Deribew, H.A.; Woldegiogis, A.Z. Acrylamide levels in coffee powder, potato chips and French fries in Addis Adaba city of Ethiopia. Food Control 2021, 123, 107727. [Google Scholar] [CrossRef]
- Svensson, K.; Abramsson, L.; Becker, W.; Glynn, A.; Hellenäs, K.-E.; Lind, Y.; Rosén, J. Dietary intake of acrylamide in Sweden. Food Chem. Toxicol. 2003, 41, 1581–1586. [Google Scholar] [CrossRef]
- U.S. Food and Drug Administration (FDA). Survey Data on Acrylamide in Food: Total Diet Study Results. 2006. Available online: https://www.fda.gov/food/chemicals/survey-data-acrylamide-food-total-diet-study-results#table4 (accessed on 22 May 2021).
- Mesías, M.; Delgado-Andrade, C.; Morales, F.J. Process contaminants in battered and breaded foods prepared at public food service establishments. Food Control 2020, 114, 107217. [Google Scholar] [CrossRef]
- Ahmad, S.; Ahmad Tarmizi, A.H.; Razak, R.A.; Jinap, S.; Norliza, S.; Sulaiman, R.; Sanny, M. Selection of vegetable oils and frying cycles influencing acrylamide formation in the intermittently fried beef nuggets. Foods 2021, 10, 257. [Google Scholar] [CrossRef]
- Michalak, J.; Gujska, E.; Czarnowska-Kujawska, M.; Nowak, F. Effect of different home-cooking methods on acrylamide formation in pre-prepared croquettes. J. Food Compos. Anal. 2017, 56, 134–139. [Google Scholar] [CrossRef]
- Esposito, F.; Velotto, S.; Rea, T.; Stasi, T.; Cirillo, T. Occurrence of acrylamide in Italian baked products and dietary exposure assessment. Molecules 2020, 25, 4156. [Google Scholar] [CrossRef] [PubMed]
- Perera, C.; Embuscado, M.E. Texture Design for Breaded and Battered Foods. In Food Texture Design and Optimization; Dar, Y.L., Light, J.M., Eds.; Wiley Blackwell: Chicago, IL, USA, 2014; pp. 128–158. [Google Scholar]
- Constantin, O.; Kukurová, K.; Neagu, C.; Bednáriková, A.; Ciesarova, Z.; Rapeanu, G. Modelling of acrylamide formation in thermally treated red bell peppers (Capsicum annuum L.). Eur. Food Res. Technol. 2014, 238, 149–156. [Google Scholar] [CrossRef]
- Pedreschi, F. Fried and dehydrated potato products. In Advances in Potato Chemistry and Technology; Jaspreet, S., Lovedeep, K., Eds.; Academic Press: San Diego, CA, USA, 2009; pp. 319–337. [Google Scholar]
- Sanny, M.; Luning, P.A.; Jinap, S.; Bakker, E.J.; van Boekel, M.A. Effect of frying instructions for food handlers on acrylamide concentration in French fries: An explorative study. J. Food Prot. 2013, 76, 462–472. [Google Scholar] [CrossRef] [PubMed]
- Powers, S.J.; Mottram, D.; Curtis, A.; Halford, N. Progress on reducing acrylamide levels in potato crisps in Europe, 2002 to 2019. Food Addit. Contam. Part A 2021, 38, 782–806. [Google Scholar] [CrossRef]
- Mesias, M.; Nouali, A.; Delgado-Andrade, C.; Morales, F.J. How far is the Spanish snack sector from meeting the acrylamide Regulation 2017/2158? Foods 2020, 9, 247. [Google Scholar] [CrossRef] [Green Version]
- Grob, K.; Biedermann, M.; Biedermann-Brem, S.; Noti, A.; Imhof, D.; Amrein, T.; Pfefferle, A.; Bazzocco, D. French fries with less than 100 μg/kg acrylamide. A collaboration between cooks and analysts. Eur. Food Res. Technol. 2003, 217, 185–194. [Google Scholar] [CrossRef]


| Food Group | % Samples <LOQ | Acrylamide (µg/kg) | |||||
|---|---|---|---|---|---|---|---|
| Mean | SD | Median | P90 | Minimum | Maximum | ||
| Potato-based food | |||||||
| Chips | - | 391a | 320 | 253 | 927 | 23 | 1114 |
| Spanish omelette | - | 78b | 43 | 79 | 152 | 23 | 183 |
| Cereal-based food | |||||||
| Torrijas | 33 | 21b | 16 | 16 | 56 | <LOQ | 58 |
| Sponge cake | 20 | 36b | 32 | 29 | 94 | <LOQ | 138 |
| Food based on cereal mix with meat, fish or vegetables | |||||||
| Breaded fillet | 33 | 23b | 18 | 19 | 59 | <LOQ | 64 |
| Ham and cheese fillet | 20 | 27b | 14 | 25 | 46 | <LOQ | 48 |
| Pizza | 40 | 22b | 24 | 18 | 62 | <LOQ | 104 |
| Puff pastry pies | - | 34b | 15 | 29 | 60 | 15 | 66 |
| Patties | 7 | 41b | 31 | 32 | 106 | <LOQ | 131 |
| Migas | 7 | 37b | 26 | 28 | 86 | <LOQ | 95 |
| Croquettes | 20 | 24b | 12 | 24 | 42 | <LOQ | 45 |
| Food Groups | Acrylamide (µg/kg) | Analytical Methodology | Origin | Literature Reference |
|---|---|---|---|---|
| Potato-based food | ||||
| Chips | 63–799 | GC-MS/MS | Restaurant | [27] |
| 152–1023 | GC-TOF-MS | Restaurant | [18] | |
| 151–505 | GC-TOF-MS | Institutional caterers | [18] | |
| 150–392 | GC-TOF-MS | Chain fast food service | [18] | |
| 291–970 | LC-ESI-MS/MS | Restaurant | [28] | |
| 1590–2390 | LC-ESI-MS/MS | Household | [28] | |
| 201 | n.i. | Data submitted by food associations | [4] | |
| 332 | n.i. | Data submitted by European countries | [4] | |
| 20–1330 | n.i. | Household | [29] | |
| 190–1090 | n.i. | Restaurant | [29] | |
| 418 | LC-MS/MS | Restaurant | [15] | |
| 206 | LC-MS/MS | Household | [15] | |
| 27–4200 | LC-ESI-MS/MS | Household | [12] | |
| 20–4000 | LC-ESI-MS/MS | School canteen | [17] | |
| 187 | LC-ESI-MS | Local markets | [16] | |
| 36–1411 | HPLC-DAD | Street vendors | [30] | |
| Spanish omelette | 135 | LC-MS/MS | n.i. | [19] |
| 240 a | LC-ESI-MS | Supermarkets | [22] | |
| 128 a | LC-ESI-MS | Catering | [20] | |
| 151 | HPLC-DAD | School canteen | [21] | |
| Cereal-based food | ||||
| Torrijas | 16 a | LC-ESI-MS | Collective catering | [20] |
| Sponge cake | <30 | LC-MS/MS | Supermarkets | [31] |
| Food based on cereal mix with meat, fish or vegetables | ||||
| Breaded fillet | 19 | n.i. | n.i. | [32] |
| 40 | LC-ESI-MS/MS | Restaurant/school canteen | [33] | |
| 451 | GC-MS | Local supplier (market) | [34] | |
| Ham and cheese fillet | 32 | LC-ESI-MS/MS | Restaurant/school canteen | [33] |
| Croquettes | 285–420 | RP-HPLC | Supermarkets | [35] |
| 36 | LC-ESI-MS/MS | Restaurant/school canteen | [33] |
| Food Group | Portion (g) | Exposure (µg/Serving) | |||||
|---|---|---|---|---|---|---|---|
| Household | Catering Services | Industrial | |||||
| Mean ± SD | Min–Max | Mean ± SD | Min–Max | Mean ± SD | Min–Max | ||
| Potato-based food | |||||||
| Chips | 100 | 53.8 ± 42.1a | 7.1–111.4 | 41.1 ± 22.7a | 13.9–69.8 | 22.3 ± 25.6a | 2.3–65.6 |
| Spanish omelette | 150 | 7.3 ± 2.9a | 4.5–12.2 | 18.5 ± 5.7b | 14.0–28.3 | 9.5 ± 4.3a | 4.6–15.0 |
| Cereal-based food | |||||||
| Torrijas | 160 | 5.9 ± 3.1a | 3.2–9.5 | 2.8 ± 1.2ab | 2.5–4.8 | 2.1 ± 0.6b | 1.3–2.6 |
| Sponge cake | 60 | 1.9 ± 1.1a | 1.7–3.6 | 3.5 ± 2.8a | 1.8–4.1 | 1.1 ± 0.7a | 1.1–2.3 |
| Food based on cereal mix with meat, fish or vegetables | |||||||
| Breaded fillet | 100 | 1.5 ± 0.7a | 1.9–2.1 | 4.3 ± 1.9b | 1.5–6.4 | 1.2 ± 0.6a | 1.6–2.0 |
| Ham and cheese fillet | 100 | 2.6 ± 1.9a | 2.5–4.8 | 3.4 ± 0.9a | 2.3–4.5 | 2.1 ± 1.3a | 1.5–4.3 |
| Pizza | 160 | 2.9 ± 1.8a | 3.0–5.5 | 5.0 ± 6.6a | 2.9–16.7 | 2.8 ± 1.7a | 2.4–4.6 |
| Puff pastry pies | 180 | 6.2 ± 3.0a | 2.8–10.2 | 5.9 ± 2.4a | 3.2–8.2 | 8.6 ± 3.4a | 3.7–12.0 |
| Patties | 310 | 10.7 ± 2.6a | 7.7–14.1 | 13.2 ± 8.1a | 5.6–27.7 | 12.7 ± 15.0a | 6.4–40.5 |
| Migas | 150 | 7.4 ± 5.3a | 2.8–15.1 | 6.6 ± 2.7a | 2.5–8.9 | 2.8 ± 1.2a | 2.6–4.4 |
| Croquettes | 50 | 1.0 ± 0.7a | 1.2–2.0 | 1.5 ± 0.5a | 1.2–2.6 | 1.1 ± 0.6a | 0.9–2.2 |
Publisher’s Note: MDPI stays neutral with regard to jurisdictional claims in published maps and institutional affiliations. |
© 2021 by the authors. Licensee MDPI, Basel, Switzerland. This article is an open access article distributed under the terms and conditions of the Creative Commons Attribution (CC BY) license (https://creativecommons.org/licenses/by/4.0/).
Share and Cite
González-Mulero, L.; Mesías, M.; Morales, F.J.; Delgado-Andrade, C. Acrylamide Exposure from Common Culinary Preparations in Spain, in Household, Catering and Industrial Settings. Foods 2021, 10, 2008. https://doi.org/10.3390/foods10092008
González-Mulero L, Mesías M, Morales FJ, Delgado-Andrade C. Acrylamide Exposure from Common Culinary Preparations in Spain, in Household, Catering and Industrial Settings. Foods. 2021; 10(9):2008. https://doi.org/10.3390/foods10092008
Chicago/Turabian StyleGonzález-Mulero, Lucía, Marta Mesías, Francisco J. Morales, and Cristina Delgado-Andrade. 2021. "Acrylamide Exposure from Common Culinary Preparations in Spain, in Household, Catering and Industrial Settings" Foods 10, no. 9: 2008. https://doi.org/10.3390/foods10092008
APA StyleGonzález-Mulero, L., Mesías, M., Morales, F. J., & Delgado-Andrade, C. (2021). Acrylamide Exposure from Common Culinary Preparations in Spain, in Household, Catering and Industrial Settings. Foods, 10(9), 2008. https://doi.org/10.3390/foods10092008

