Development of an Accelerated Stability Model to Estimate Purple Corn Cob Extract Powder (Moradyn) Shelf-Life
Abstract
:1. Introduction
2. Materials and Methods
2.1. Chemicals
2.2. Moradyn Corn Cob Extract (MCE) Preparation
2.3. Stress Conditions and Accelerated Stability Model Validation
2.4. Chemical Characterization by RP-HPLC-WVD
RP-HPLC-WVD Method Validation
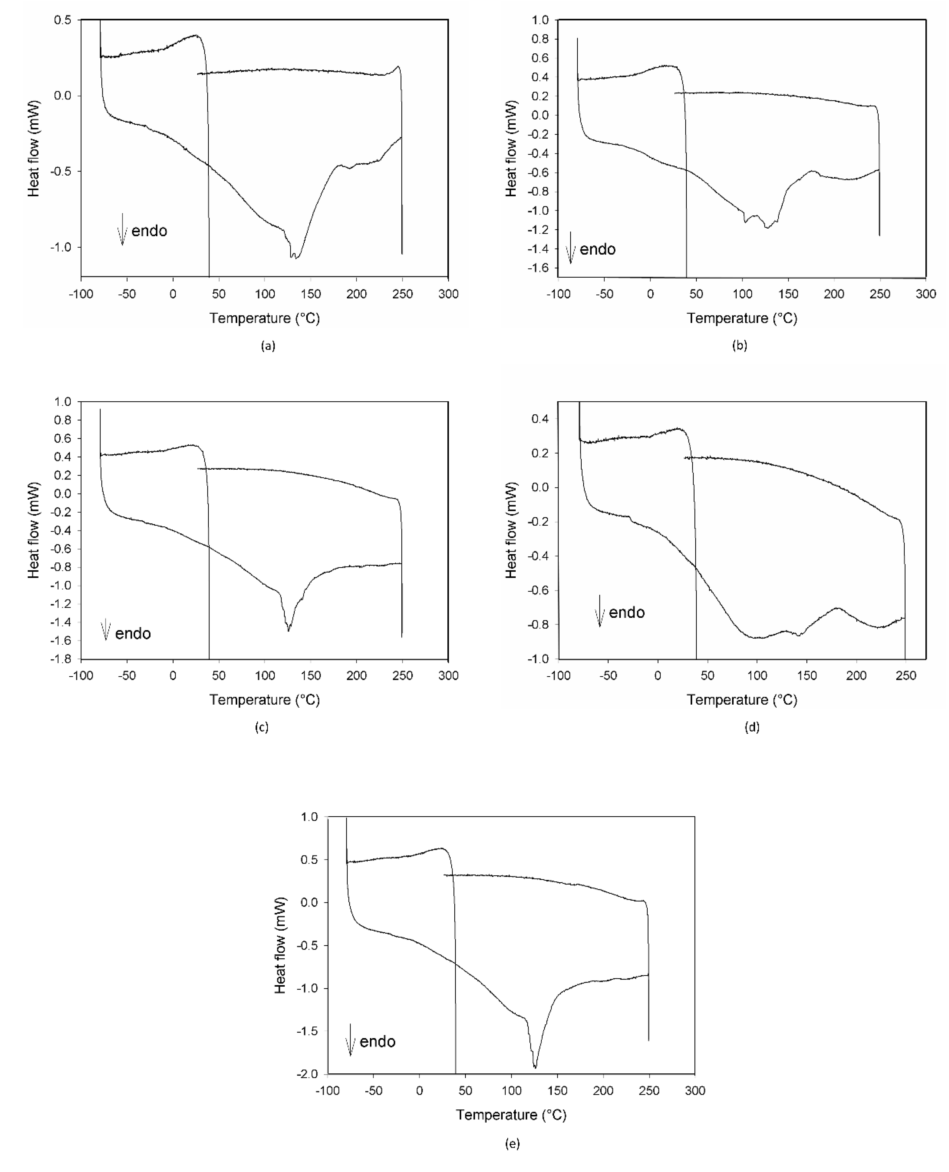
2.5. Solid-State Characterization
2.6. Statistical Analysis
3. Results and Discussion
3.1. HPLC Validation
3.2. Preliminary Physico-Chemical Characterization of the Raw Materials and Their Mixtures
3.3. Stability Assessment Model
3.3.1. Degradation Kinetics
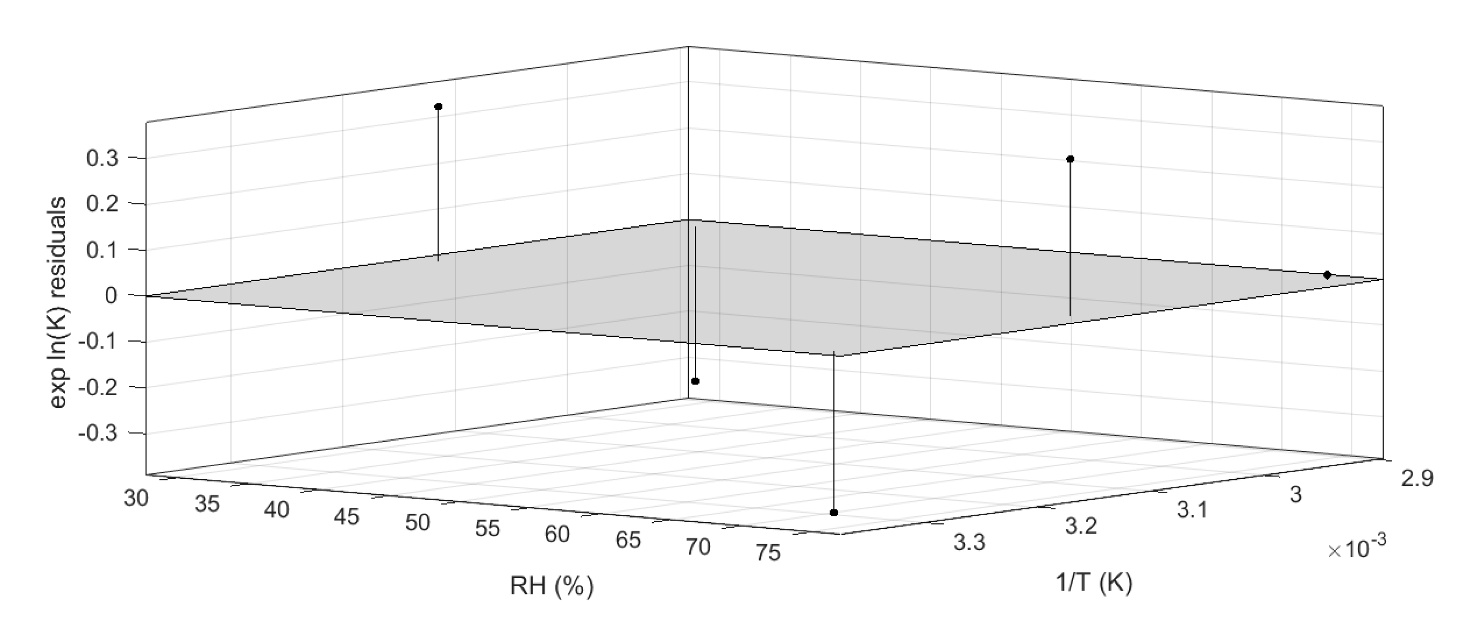
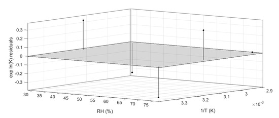
3.3.2. Determination of Ea, lnA, and B Arrhenius Equation Terms and Development of a Mathematical Model
3.4. Mathematical Model Validation
3.5. MCE Quality Assessment
4. Conclusions
Author Contributions
Funding
Institutional Review Board Statement
Informed Consent Statement
Data Availability Statement
Conflicts of Interest
References
- Melse-Boonstra, A. Bioavailability of Micronutrients From Nutrient-Dense Whole Foods: Zooming in on Dairy, Vegetables, and Fruits. Front. Nutr. 2020, 7, 101. [Google Scholar] [CrossRef] [PubMed]
- Panickar, K.S.; Jewell, D.E. The beneficial role of anti-inflammatory dietary ingredients in attenuating markers of chronic low-grade inflammation in aging. Horm. Mol. Biol. Clin. Investig. 2015, 23, 59–70. [Google Scholar] [CrossRef] [PubMed]
- Panche, A.N.; Diwan, A.D.; Chandra, S.R. Flavonoids: An overview. J. Nutr. Sci. 2016, 5, e47. [Google Scholar] [CrossRef] [PubMed] [Green Version]
- Sirtori, C.R.; Pavanello, C.; Calabresi, L.; Ruscica, M. Nutraceutical approaches to metabolic syndrome. Ann. Med. 2017, 49, 678–697. [Google Scholar] [CrossRef]
- Zhang, L.; McClements, D.J.; Wei, Z.; Wang, G.; Liu, X.; Liu, F. Delivery of synergistic polyphenol combinations using biopolymer-based systems: Advances in physicochemical properties, stability and bioavailability. Crit. Rev. Food Sci. Nutr. 2019, 60, 2083–2209. [Google Scholar] [CrossRef]
- Kapcum, C.; Uriyapongson, J. Effects of storage conditions on phytochemical and stability of purple corn cob extract powder. Food Sci. Technol. 2018, 38, 301–305. [Google Scholar] [CrossRef] [Green Version]
- Ahmadian, Z.; Niazmand, R.; Pourfarzad, A. Microencapsulation of Saffron Petal Phenolic Extract: Their Characterization, In Vitro Gastrointestinal Digestion, and Storage Stability. J. Food Sci. 2019, 84, 2745–2757. [Google Scholar] [CrossRef]
- Dutta, S.; Bhattacharjee, P. Nanoliposomal encapsulates of piperine-rich black pepper extract obtained by enzyme-assisted supercritical carbon dioxide extraction. J. Food Eng. 2017, 201, 49–56. [Google Scholar] [CrossRef]
- Jafari, S.M.; Mahdavi-Khazaeia, K.; Hemmati-Kakhki, A. Microencapsulation of saffron petal anthocyanins with cress seedgum compared with Arabic gum through freeze drying. Carbohydr. Polym. 2016, 140, 20–25. [Google Scholar] [CrossRef] [Green Version]
- Pal, S.; Bhattacharjee, P. Spray dried powder of lutein-rich supercritical carbon dioxide extract of gamma-irradiated marigold flowers: Process optimization, characterization and food application. Powder Technol. 2018, 327, 512–523. [Google Scholar] [CrossRef]
- Patel, L.J.; Raval, M.; Patel, S.G.; Patel, A.J. Development and Validation of Stability Indicating High-Performance Thin-Layer Chromatographic (HPTLC) Method for Quantification of Asiaticoside from Centella asiatica L. and its Marketed Formulation. J. AOAC Int. 2019, 102, 1014–1020. [Google Scholar] [CrossRef]
- Pieczykolan, E.; Kurek, M.A. Use of guar gum, gum arabic, pectin, beta-glucan and inulin for microencapsulation of anthocyanins from chokeberry. Int. J. Biol. Macromol. 2019, 129, 665–671. [Google Scholar] [CrossRef]
- Tonon, R.V.; Brabet, C.; Hubinger, M.D. Anthocyanin stability and antioxidant activity of spray-dried açai (Euterpe oleracea Mart.) juice produced with different carrier agents. Food Res. Int. 2010, 43, 907–914. [Google Scholar] [CrossRef]
- ICH Steering Committee. Ich Harmonised Tripartite Guideline, Stability Testing of New Drug Substances and Products. Int. Conf. Harmon. 2003, 4, 1–24. [Google Scholar]
- European Medicines Agency. CPMP/QWP/122/02-Guide Line on Stability Testing: Stability Testing on Existing Active Substances and Related Finished Products. 2003. Available online: https://www.ema.europa.eu/en/stability-testing-existing-active-ingredients-related-finished-products (accessed on 4 June 2020).
- World Health Organization. Guidelines on Safety Monitoring of Herbal Medicines in Pharmacovigilance Systems. 2004. Available online: https://apps.who.int/iris/handle/10665/43034 (accessed on 10 October 2019).
- Calixto, J. Efficacy, safety, quality control, marketing and regulatory guidelines for herbal medicines (phytotherapeutic agents). Braz. J. Med Biol. Res. 2000, 33, 179–189. [Google Scholar] [CrossRef]
- Fibigr, J.; Satínský, D.; Solich, P. Current trends in the analysis and quality control of food supplements based on plant extracts. Anal. Chim. Acta 2018, 1036, 1–15. [Google Scholar] [CrossRef]
- Xin, W.; Hongbingc, Z.; Shanshana, F.; Yidana, Z.; Zhena, Y.; Simiao, F.; Pengweia, Z.; Yanjuna, Z. Quality markers based on biological activity: A new strategy for the quality control of traditional Chinese medicine. Phytomedicine 2018, 44, 103–108. [Google Scholar]
- Pferschy-Wenzig, E.-M.; Bauer, R. The relevance of pharmacognosy in pharmacological research on herbal medicinal products. Epilepsy Behav. 2015, 52, 344–362. [Google Scholar] [CrossRef]
- Ferron, L.; Colombo, R.; Mannucci, B.; Papetti, A. A New Italian Purple Corn Variety (Moradyn) Byproduct Extract: Antiglycative and Hypoglycemic In Vitro Activities and Preliminary Bioaccessibility Studies. Molecules 2020, 25, 1958. [Google Scholar] [CrossRef] [Green Version]
- Waterman, K.C. The Application of the Accelerated Stability Assessment Program (ASAP) to Quality by Design (QbD) for Drug Product Stability. AAPS PharmSciTech 2011, 12, 932–937. [Google Scholar] [CrossRef]
- Waterman, K.C.; Adami, R.C. Accelerated aging: Prediction of chemical stability of pharmaceuticals. Int. J. Pharm. 2005, 293, 101–125. [Google Scholar] [CrossRef]
- Grenspan, L. Humidity fixed points of binary saturated aqueous solutions. J. Res. Natl. Bur. Stand. A Phys. Chem. 1976, 81, 89–96. [Google Scholar] [CrossRef]
- ICH Guideline Q2(R1). Validation of Analytical Procedures: Text and Methodology; Somatek Inc.: San Diego, CA, USA, 2005. [Google Scholar]
- Guo, J.; Giusti, M.; Kaletunça, G. Encapsulation of purple corn and blueberry extracts in alginate-pectin hydrogel particles: Impact of processing and storage parameters on encapsulation efficiency. Food. Res. Int. 2018, 107, 414–422. [Google Scholar] [CrossRef]
- Lao, F.; Giusti, M.M. The effect of pigment matrix, temperature and amount of carrier on the yield and final color properties of spray dried purple corn (Zea mays L.) cob anthocyanin powders. Food Chem. 2017, 227, 376–382. [Google Scholar] [CrossRef]
- Khazaeia, K.M.; Jafaria, S.M.; Ghorbania, M.; Kakhkib, A.H. Application of maltodextrin and gum Arabic in microencapsulation of saffron petal’s anthocyanins and evaluating their storage stability and color. Carbohydr. Polym. 2014, 105, 57–62. [Google Scholar] [CrossRef]
- Alsante, K.M.; Ando, A.; Brown, R.; Ensing, J.; Hatajik, T.D.; Kong, W.; Tsuda, Y. The role of degradant profiling in active pharmaceutical ingredients and drug products. Adv. Drug Deliv. Rev. 2007, 59, 29–37. [Google Scholar] [CrossRef]
- Fan, Z.; Zhang, L. One- and Two-Stage Arrhenius Models for Pharmaceutical Shelf Life Prediction. J. Biopharm. Stat. 2015, 25, 307–316. [Google Scholar] [CrossRef]
- Khalid, H.; Zhari, I.; Amirin, S.; Pazilah, I. Accelerated Stability and Chemical Kinetics of Ethanol Extracts of Fruit of Piper sarmentosum Using High Performance Liquid Chromatography. Iran. J. Pharm. Res. IJPR 2011, 10, 403–413. [Google Scholar]
- Bezzerra, M.A.; Santelli, R.E.; Oliveira, E.P.; Villar, L.S.; Escaleira, L.A. Response surface methodology (RS31. M) as a tool for optimization in analytical chemistry. Talanta 2008, 76, 965–977. [Google Scholar] [CrossRef]
- Fu, M.; Perlman, M.; Lu, Q.; Varga, C. Pharmaceutical solid-state kinetic stability investigation by using moisture-modified Arrhenius equation and JMP statistical software. J. Pharm. Biomed. Anal. 2015, 107, 370–377. [Google Scholar] [CrossRef]








| Storage Condition | Monitoring Times |
|---|---|
| 25 °C-75% RH | 0 d, 1 d, 3 d, 7 d, 14 d |
| 45 °C-30% RH | 0 h, 4 h, 8 h, 3 d, 7 d |
| 45 °C-75% RH | 0 h, 4 h, 8 h, 3 d, 7 d |
| 70 °C-30% RH | 0 h, 4 h, 8 h, 1 d, 3 d |
| 70 °C-75% RH | 0 h, 4 h, 8 h, 1 d, 3 d |
| Condition | Time (h) | Exp Degradation (%) ± DS | Predicted Degradation (%) | Dev (%) | Ave Dev (%) |
|---|---|---|---|---|---|
| 70 °C-75% RH | 2 | 5.311 ± 1.67 | 7.10 | 11.51 | 6.27 |
| 5 | 18.953 ± 7.38 | 20.46 | 5.41 | ||
| 24 | 87.553 ± 0.54 | 85.25 | 1.89 | ||
| 45 °C-75% RH | 4 | 4.194 ± 0.825 | 3.35 | 15.86 | 13.72 |
| 24 | 28.444 ± 0.255 | 20.09 | 24.34 | ||
| 96 | 79.292 ± 3.35 | 80.36 | 0.95 | ||
| 45 °C-30% RH | 96 | 15.841 ± 5.67 | 15.52 | 1.45 | 3.2 |
| 120 | 18.237 ± 6,66 | 19.40 | 4.37 | ||
| 168 | 28.651 ± 0.896 | 27.16 | 3.78 |
| Compound | Reduction (%) | ||
|---|---|---|---|
| 45 °C-30% RH (120 h) | 45 °C-75% RH (24 h) | 70 °C-75% RH (5 h) | |
| cyanidin-3-O-glucoside | 21.70 ± 1.66 | 28.72 ± 0.16 | 19.13 ± 6.08 |
| perlagonidin-3-O-glucoside | 20.78 ± 2.77 | 25.59 ± 6.99 | 14.57 ± 5.7 |
| peonidin-3-O-glucoside | 30.70 ± 3.9 | 30 ± 1.07 | 34.45 ± 4.49 |
| myricetin-3,7-di-O-hexoside | 0 | 8.44 ± 1.89 | 3.02 ± 2,66 |
| quercetin-7-O-glucoside | 0 | 0 | 0 |
| kaempferol-7-O-(6″-O-malonyl)-hexoside | 0 | 1.59 ± 0.99 | 27.15 ± 4.71 |
| isorhamnetin-7-O-rutinoside | 0 | 0 | 12.96 ± 1.14 |
| isorhamnetin-3-O-hexoside | 7.41 ± 3.83 | 0 | 29.18 ± 10.63 |
Publisher’s Note: MDPI stays neutral with regard to jurisdictional claims in published maps and institutional affiliations. |
© 2021 by the authors. Licensee MDPI, Basel, Switzerland. This article is an open access article distributed under the terms and conditions of the Creative Commons Attribution (CC BY) license (https://creativecommons.org/licenses/by/4.0/).
Share and Cite
Ferron, L.; Milanese, C.; Colombo, R.; Papetti, A. Development of an Accelerated Stability Model to Estimate Purple Corn Cob Extract Powder (Moradyn) Shelf-Life. Foods 2021, 10, 1617. https://doi.org/10.3390/foods10071617
Ferron L, Milanese C, Colombo R, Papetti A. Development of an Accelerated Stability Model to Estimate Purple Corn Cob Extract Powder (Moradyn) Shelf-Life. Foods. 2021; 10(7):1617. https://doi.org/10.3390/foods10071617
Chicago/Turabian StyleFerron, Lucia, Chiara Milanese, Raffaella Colombo, and Adele Papetti. 2021. "Development of an Accelerated Stability Model to Estimate Purple Corn Cob Extract Powder (Moradyn) Shelf-Life" Foods 10, no. 7: 1617. https://doi.org/10.3390/foods10071617
APA StyleFerron, L., Milanese, C., Colombo, R., & Papetti, A. (2021). Development of an Accelerated Stability Model to Estimate Purple Corn Cob Extract Powder (Moradyn) Shelf-Life. Foods, 10(7), 1617. https://doi.org/10.3390/foods10071617

