Valorization of Mango By-Products to Enhance the Nutritional Content of Maize Complementary Porridges
Abstract
:1. Introduction
2. Materials and Methods
2.1. Chemicals
2.2. Plant Materials
2.3. Sample Preparation
2.4. Determination of Proximate Composition
2.5. Determination of Mineral Content
2.6. Determination of Total Phenolic Content
2.7. Determination of Antioxidant Capacity
2.7.1. Using ABTS Radical Scavenging Activity
2.7.2. Using DPPH Radical Scavenging Activity
2.8. In Vitro Gastrointestinal Digestion
2.9. Determination of Porridge Viscosity
2.10. Statistical Analysis
3. Results and Discussion
3.1. Nutrient Composition
3.2. Mineral Content
3.3. Total Phenolic Content and Antioxidant Capacity
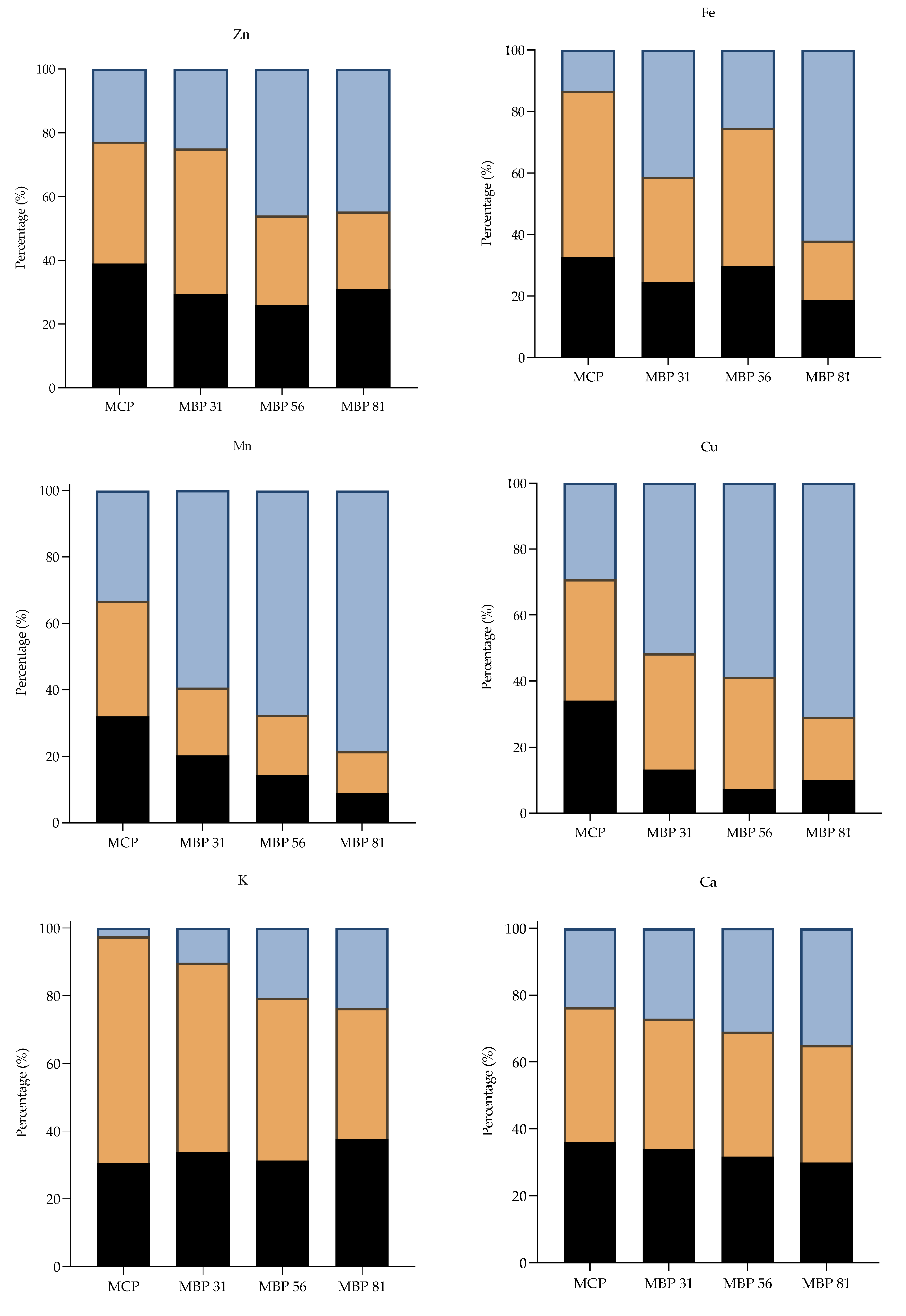
3.4. Bioaccessibility of Minerals during In Vitro Gastrointestinal Digestion
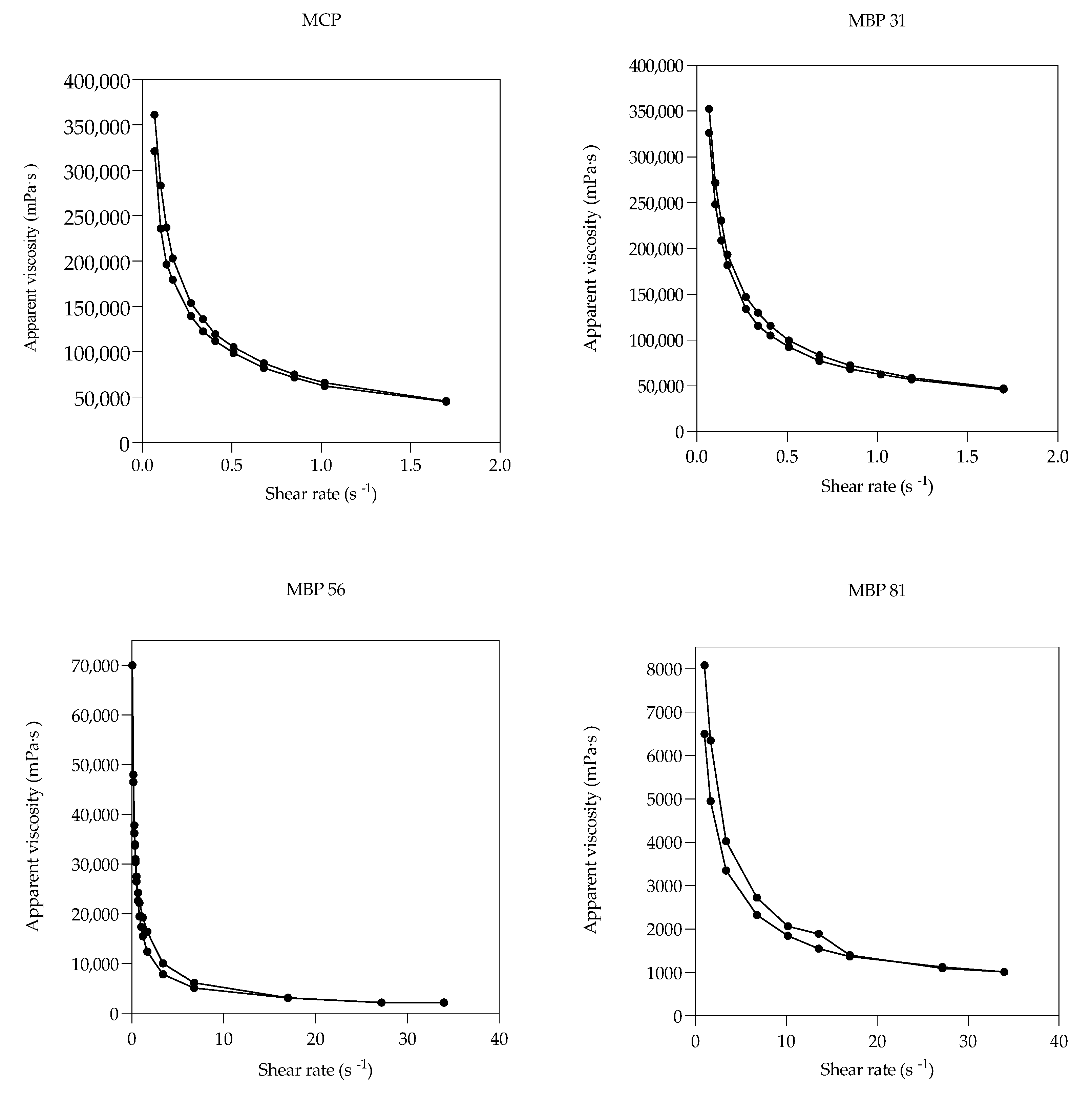
3.5. Viscosity of the Porridges
4. Conclusions
Author Contributions
Funding
Data Availability Statement
Acknowledgments
Conflicts of Interest
References
- Sagar, N.A.; Pareek, S.; Sharma, S.; Yahia, E.M.; Lobo, M.G. Fruit and vegetable waste: Bioactive compounds, their extraction, and possible utilization. Compr. Rev. Food Sci. Food Saf. 2018, 17, 512–531. [Google Scholar] [CrossRef] [PubMed] [Green Version]
- Ahmed, J.; Ramaswamy, H.S.; Hiremath, N. The effect of high pressure treatment on rheological characteristics and colour of mango pulp. Int. J. Food Sci. Technol. 2005, 40, 885–895. [Google Scholar] [CrossRef]
- FAOSTAT. Food and Agriculture Data. 2020. Available online: http://www.fao.org/faostat/en/#data/QC (accessed on 5 October 2020).
- Muchiri, D.R.; Mahungu, S.R.; Gituanja, S.N. Studies on mango (Mangifera indica L.) kernel fat of some Kenyan varieties in Meru. J. Am. Oil. Chem. Soc. 2012, 89, 1567–1575. [Google Scholar] [CrossRef]
- Singh, D.; Siddiq, M.; Greiby, I.; Dolan, K.D. Total phenolics, antioxidant activity, and functional properties of ‘Tommy Atkins’ mango peel and kernel as affected by drying methods. Food Chem. 2013, 141, 2649–2655. [Google Scholar] [CrossRef]
- Jahurul, M.H.A.; Zaidul, I.S.M.; Ghafoor, K.; Al-Juhaimi, F.Y.; Nyam, K.L.; Norulaini, N.A.; Sahena, F.; Omar, A.K.M. Mango (Mangifera indica L.) by-products and their valuable components: A review. Food Chem. 2015, 183, 173–180. [Google Scholar] [CrossRef]
- Castro-vargas, H.I.; Vivas, D.B.; Barbosa, J.O.; Johanna, S.; Medina, M.; Aristizabal, F.; Parada-alfonso, F. Bioactive phenolic compounds from the agroindustrial waste of Colombian mango cultivars ‘Sugar Mango’ and ‘Tommy Atkins’—An alternative for their use and valorization. Antioxidants 2019, 8, 41. [Google Scholar] [CrossRef] [Green Version]
- Ranum, P.; Peña-Rosas, J.P.; Garcia-Casal, M.N. Global maize production, utilization, and consumption. Ann. N. Y. Acad. Sci. 2014, 1312, 105–112. [Google Scholar] [CrossRef]
- Qamar, S.; Aslam, M.; Huyop, F.; Javed, M.A. Comparative study for the determination of nutritional composition in commercial and noncommercial maize flours. Pak. J. Bot. 2017, 49, 519–523. [Google Scholar]
- Shiriki, D.; Igyor, M.A.; Gernah, D.I. Nutritional evaluation of complementary food formulations from maize, soybean and peanut fortified with moringa oleifera leaf powder. Food Nutr. Sci. 2015, 6, 494–500. [Google Scholar] [CrossRef] [Green Version]
- Kruger, J.; Taylor, J.R.N.; Ferruzzi, M.G.; Debelo, H. What is food-to-food fortification? A working definition and framework for evaluation of efficiency and implementation of best practices. Compr. Rev. Food Sci. Food Saf. 2020, 19, 3618–3658. [Google Scholar] [CrossRef]
- Pobee, R.A.; Johnson, P.N.T.; Akonor, P.T.; Buckman, S.E. Nutritional, pasting and sensory properties of a weaning food from rice (Oryza sativa), soybeans (Glycine max) and kent mango (Mangifera indica) flour blends. Afr. J. Food Agric. Nutr. Dev. 2017, 17, 11533–11551. [Google Scholar] [CrossRef]
- Ashoush, I.S.; Gadallah, M.G.E. Utilization of mango peels and seed kernels powders as sources of phytochemicals in biscuit. World J. Dairy Food Sci. 2011, 6, 35–42. [Google Scholar]
- Awolu, O.O. Influence of defatted mango kernel seed flour addition on the rheological characteristics and cookie making quality of wheat flour. Food Sci. Nutr. 2018, 6, 2363–2373. [Google Scholar] [CrossRef] [Green Version]
- Blancas-benitez, F.J.; Avena-bustillos, R.D.J.; Montalvo-gonzález, E.; Sáyago-ayerdi, S.G.; Mchugh, T.H. Addition of dried ‘Ataulfo’ mango (Mangifera indica L.) by-products as a source of dietary fiber and polyphenols in starch molded mango snacks. J. Food Sci. Technol. 2015, 52, 7393–7400. [Google Scholar] [CrossRef]
- AOAC. Official Methods of Analysis of Association of Official Analytical Chemists (AOAC). Official Methods of Analysis of AOAC International, 18th ed.; AOAC International: Arlington, VA, USA, 2010. [Google Scholar]
- Ashoka, S.; Peake, B.M.; Bremner, G.; Hageman, K.J.; Reid, M.R. Comparison of digestion methods for ICP-MS determination of trace elements in fish tissues. Anal. Chim. Acta 2009, 653, 191–199. [Google Scholar] [CrossRef]
- Gonzales, G.B.; Smagghe, G.; Raes, K.; Van camp, J. Combined alkaline hydrolysis and ultrasound-assisted extraction for the release of nonextractable phenolics from cauli flower (Brassica oleracea var. botrytis) waste. J. Agric. Food Chem. 2014, 62, 3371–3376. [Google Scholar] [CrossRef]
- Huynh, N.T.; Smagghe, G.; Gonzales, G.B.; Van camp, J.; Raes, K. Enzyme-assisted extraction enhancing the phenolic release from cauliflower (Brassica oleracea L. var. botrytis) outer leaves. J. Agric. Food Chem. 2014, 62, 7468–7476. [Google Scholar] [CrossRef]
- Singleton, V.L.; Orthofer, R.; Lamuela-Raventós, R.M. Analysis of total phenols and other oxidation substrates and antioxidants by means of folin-ciocalteu reagent. Methods Enzymol. 1999, 299, 152–178. [Google Scholar] [CrossRef]
- Re, R.; Pellegrini, N.; Proteggente, A.; Pannala, A.; Yang, M.; Rice-Evans, C. Antioxidant activity applying an improved Abts radical cation decolorization assay. Free Radic. Biol. Med. 1999, 26, 1231–1237. [Google Scholar] [CrossRef]
- Brand-Williams, W.; Cuvelier, M.E.; Berset, C. Use of a free radical method to evaluate antioxidant activity. LWT–Food Sci. Technol. 1995, 28, 25–30. [Google Scholar] [CrossRef]
- Minekus, M.; Alminger, M.; Alvito, P.; Ballance, S.; Bohn, T.; Bourlieu, C.; Carrière, F.; Boutrou, R.; Corredig, M.; Dupont, D.; et al. Standardised static in vitro digestion method suitable for food-an international consensus. Food Funct. 2014, 5, 1113–1124. [Google Scholar] [CrossRef] [Green Version]
- Mutua, J.K.; Imathiu, S.; Owino, W. Evaluation of the proximate composition, antioxidant potential, and antimicrobial activity of mango seed kernel extracts. Food Sci. Nutr. 2017, 5, 349–357. [Google Scholar] [CrossRef]
- Bertha, C.T.; Alberto, S.B.J.; Tovar, J.; Sáyago-Ayerdi, S.G.; Zamora-Gasga, V.M. In vitro gastrointestinal digestion of mango by-product snacks: Potential absorption of polyphenols and antioxidant capacity. Int. J. Food Sci. Technol. 2019, 54, 3091–3098. [Google Scholar] [CrossRef]
- Rai, S.; Kaur, A.; Singh, B. Quality characteristics of gluten free cookies prepared from different flour combinations. J. Food Sci. Technol. 2014, 51, 785–789. [Google Scholar] [CrossRef] [Green Version]
- Celia, M.; Hauly, D.O. Inulin and oligofructosis: A review about functional properties, prebiotic effects and importance for food industry. Semin. Ciênc. Exatas Tecnol. 2002, 23, 105–117. [Google Scholar]
- Kaur, H.; Gill, B.S.; Karwasra, B.L. In vitro digestibility, pasting, and structural properties of starches from different cereals. Int. J. Food Prop. 2018, 21, 70–85. [Google Scholar] [CrossRef] [Green Version]
- Nguyen, N.M.P.; Le, T.T.; Vissenaekens, H.; Gonzales, G.B.; Van Camp, J.; Smagghe, G.; Raes, K. In vitro antioxidant activity and phenolic profiles of tropical fruit by-products. Int. J. Food Sci. Technol. 2019, 54, 1169–1178. [Google Scholar] [CrossRef]
- Abdalla, A.E.M.; Darwish, S.M.; Ayad, E.H.E.; El-Hamahmy, R.M. Egyptian mango by-product 1. Compositional quality of mango seed kernel. Food Chem. 2007, 103, 1134–1140. [Google Scholar] [CrossRef]
- Baye, K.; Guyot, J.P.; Mouquet-Rivier, C. The unresolved role of dietary fibers on mineral absorption. Crit. Rev. Food Sci. Nutr. 2017, 57, 949–957. [Google Scholar] [CrossRef]
- Sanz-Penella, J.M.; Laparra, J.M.; Sanz, Y.; Haros, M. Bread supplemented with amaranth (Amaranthus cruentus): Effect of phytates on in vitro iron absorption. Plant. Foods Hum. Nutr. 2012, 67, 50–56. [Google Scholar] [CrossRef]
- Fernández-García, E.; Carvajal-Lérida, I.; Pérez-Gálvez, A. In vitro bioaccessibility assessment as a prediction tool of nutritional efficiency. Nutr. Res. 2009, 29, 751–760. [Google Scholar] [CrossRef] [PubMed]
- Gibson, R.S. Content and bioavailability of trace elements in vegetarian diets. Am. J. Clin. Nutr. 1994, 59, 1223S–1232S. [Google Scholar] [CrossRef] [PubMed]
- Hemalatha, S.; Platel, K.; Srinivasan, K. Zinc and iron contents and their bioaccessibility in cereals and pulses consumed in India. Food Chem. 2007, 102, 1328–1336. [Google Scholar] [CrossRef]
- Sandstrom, B. Micronutrient interactions: Effects on absorption and bioavailability. Br. J. Nutr. 2001, 85, S181–S185. [Google Scholar] [CrossRef]
- Bourne, M.C. Food Texture and Viscosity: Concept and Measurement, 2nd ed.; Academic Press: New York, NY, USA, 2002. [Google Scholar]
- Corradini, C.; Lantano, C.; Cavazza, A. Innovative analytical tools to characterize prebiotic carbohydrates of functional food interest. Anal. Bioanal. Chem. 2013, 405, 4591–4605. [Google Scholar] [CrossRef]
- Arocha, M.; De, E.; Gómez, M.; Rosell, C.M. Effect of different fibers on batter and gluten-free layer cake properties. LWT–Food Sci. Technol. 2012, 48, 209–214. [Google Scholar] [CrossRef]





| Raw Materials | Composite Porridge Formulation | |||
|---|---|---|---|---|
| MCP | MBP 31% | MBP 56% | MBP 81% | |
| Maize flour (g) | 300 | 206.2 | 131.9 | 57.6 |
| Mango seed (g) | 0 | 66.1 | 129.3 | 192.5 |
| Mango kernel (g) | 0 | 27.7 | 38.8 | 49.9 |
| Energy (kcal) | 1213.7 | 1200 | 1200 | 1200 |
| Mango Kernel | Mango Seed | Maize Flour | |
|---|---|---|---|
| Moisture | 36.6 ± 0.02 | 51.7 ± 0.01 | 6.14 ± 0.04 |
| Carbohydrate | 18.5 ± 7.82 | 6.85 ± 3.15 | 81.26 ± 0.95 |
| Fat | 2.92 ± 0.02 | 12.0 ± 1.43 | 4.26 ± 0.63 |
| Protein | 1.58 ± 0.07 | 4.94 ± 0.09 | 3.29 ± 0.14 |
| Ash | 0.70 ± 0.07 | 1.39 ± 0.06 | 0.23 ± 0.05 |
| Soluble dietary fiber | 5.07 ± 0.76 | 1.83 ± 0.93 | 2.21 ± 0.06 |
| Insoluble dietary fiber | 34.6 ± 7.04 | 21.6 ± 7.41 | 2.61 ± 0.06 |
| Total dietary fiber | 39.7 ± 7.80 | 23.4 ± 8.45 | 4.82 ± 0.00 |
| Mineral | Mango Kernel | Mango Seed | Maize Flour |
|---|---|---|---|
| Copper, Cu | 5.13 ± 0.27 | 3.39 ± 0.51 | 0.57 ± 0.04 |
| Iron, Fe | 4.65 ± 0.16 | 4.29 ± 0.23 | 0.69 ± 0.06 |
| Manganese, Mn | 1.14 ± 0.07 | 1.42 ± 0.03 | 0.18 ± 0.04 |
| Zinc, Zn | 2.01 ± 0.08 | 2.01 ± 0.43 | 0.74 ± 0.09 |
| Potassium, K | 163 ± 19 | 405 ± 28 | 76.7 ± 4.2 |
| Sodium, Na | 103 ± 6 | 139 ± 10 | 29.6 ± 0.5 |
| Calcium, Ca | 395 ± 24 | 504 ± 14 | 82.8 ± 0.4 |
| Magnesium, Mg | 76.5 ± 2.8 | 121 ± 1 | 19.5 ± 0.2 |
| Mineral | MCP | MBP 31 | MBP 56 | MBP 81 | p Value |
|---|---|---|---|---|---|
| Copper, Cu | 0.32 ± 0.02 a | 0.39 ± 0.04 a | 0.37 ± 0.03 a | 0.34 ± 0.02 a | 0.349 |
| Iron, Fe | 0.29 ± 0.04 b | 0.36 ± 0.02 ab | 0.49 ± 0.03 a | 0.47 ± 0.03 ab | 0.030 |
| Manganese, Mn | 0.08 ± 0.01 c | 0.12 ± 0.01 bc | 0.15 ± 0.01 b | 0.22 ± 0.01 a | 0.001 |
| Zinc, Zn | 0.38 ± 0.02 b | 0.28 ± 0.00 b | 0.47 ± 0.00 ab | 1.06 ± 0.21 a | 0.021 |
| Potassium, K | 7.02 ± 0.53 c | 16.3 ± 0.6 bc | 25.36 ± 0.93 b | 40.7 ± 3.7 a | 0.001 |
| Sodium, Na | 22.8 ± 2.5 a | 24.8 ± 2.6 a | 19.9 ± 0.2 a | 23.2 ± 1.3 a | 0.432 |
| Calcium, Ca | 57.4 ± 2.5 a | 55.1 ± 7.1 a | 57.0 ± 0.5 a | 54.8 ± 3.1 a | 0.956 |
| Magnesium, Mg | 63.3 ± 3.8 a | 68.7 ± 8.3 a | 71.7 ± 0.1 a | 80.3 ± 4.0 a | 0.256 |
| TPC (GAE) | Antioxidant Capacity | ||
|---|---|---|---|
| ABTS (TE) | DPPH (TE) | ||
| Materials (mg/100 g dw) | |||
| Mango kernel | 263 ± 0.59 | 745 ± 13.45 | 670 ± 2.93 |
| Mango seed | 3714 ± 11.91 | 10568 ± 73.05 | 10659 ± 419.69 |
| Maize flour | 18.7 ± 0.00 | 15.66 ± 5.49 | 4.08 ± 1.30 |
| Formulated Porridges (mg/100 g wt) | |||
| MCP | 2.20 ± 0.09 d | 12.5 ± 0.90 d | 3.46 ± 0.09 d |
| MBP 31 | 131 ± 3.46 c | 853 ± 42.5 c | 530 ± 1.86 c |
| MBP 56 | 309 ± 1.87 b | 1569 ± 80.3 b | 1245 ± 18.0 b |
| MBP 81 | 479 ± 11.08 a | 3846 ± 22.7 a | 2276 ± 17.9 a |
| p-value | 0.000 | 0.000 | 0.000 |
Publisher’s Note: MDPI stays neutral with regard to jurisdictional claims in published maps and institutional affiliations. |
© 2021 by the authors. Licensee MDPI, Basel, Switzerland. This article is an open access article distributed under the terms and conditions of the Creative Commons Attribution (CC BY) license (https://creativecommons.org/licenses/by/4.0/).
Share and Cite
Mandha, J.; Shumoy, H.; Matemu, A.O.; Raes, K. Valorization of Mango By-Products to Enhance the Nutritional Content of Maize Complementary Porridges. Foods 2021, 10, 1635. https://doi.org/10.3390/foods10071635
Mandha J, Shumoy H, Matemu AO, Raes K. Valorization of Mango By-Products to Enhance the Nutritional Content of Maize Complementary Porridges. Foods. 2021; 10(7):1635. https://doi.org/10.3390/foods10071635
Chicago/Turabian StyleMandha, Juliana, Habtu Shumoy, Athanasia O. Matemu, and Katleen Raes. 2021. "Valorization of Mango By-Products to Enhance the Nutritional Content of Maize Complementary Porridges" Foods 10, no. 7: 1635. https://doi.org/10.3390/foods10071635
APA StyleMandha, J., Shumoy, H., Matemu, A. O., & Raes, K. (2021). Valorization of Mango By-Products to Enhance the Nutritional Content of Maize Complementary Porridges. Foods, 10(7), 1635. https://doi.org/10.3390/foods10071635

